Research on the Game Strategy of Mutual Safety Risk Prevention and Control of Industrial Park Enterprises under Blockchain Technology
Abstract
1. Introduction
2. Game Modeling
2.1. Problem Description and Mechanism Analysis
2.2. Basic Assumptions
2.3. Model Construction
3. Analysis of the Model under Static Incentives and Disincentives
3.1. Stability Analysis of Core Business Strategies
3.2. Strategic Stability Analysis of Supporting Companies
3.3. Analysis of the Stability of Government Strategies
3.4. Strategy Portfolio Stability Analysis
4. Analysis of the Model under the Dynamic Reward and Punishment Mechanism
4.1. Static Rewards and Dynamic Penalties
4.2. Dynamic Rewards and Static Penalties
4.3. Dynamic Rewards and Penalties
5. Simulation Analysis
5.1. Impact of Incentives and Disincentives
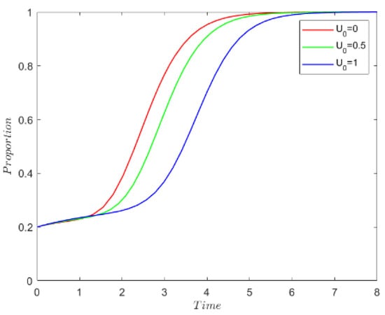
5.2. Influence of Reference Points
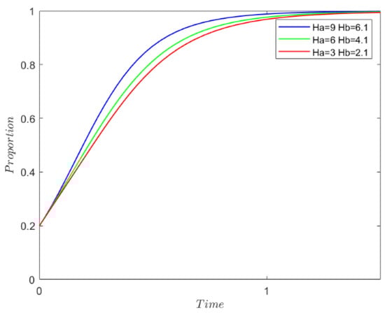
5.3. The Impact of the Return on Active Investment by the Firms
6. Conclusions and Management Implications
6.1. Conclusions
- (1)
- Park enterprises’ risk prevention and control are influenced by various elements, including external factors and decision-makers’ supervisory factors. Enhancing the benefits of active regulation, enhancing the perceived value of punishment, and reducing the cost of blockchain technology help enterprises choose active inputs, thereby enhancing the overall risk management process. In terms of the decision-makers’ own factor values, adjusting the reference point, value perception and other factor values will help the park enterprise risk mutual aid prevention and control system to evolve in the direction of theoretical optimisation.
- (2)
- There is a significant difference in the effect of different reward and punishment reward and punishment policies on corporate behavior. Currently, the government’s static award policy is uncertain and ineffective, as it increases the financial burden on the government and hinders the ability of companies to restrain enterprises. Only the case of dynamic punishment has a relatively small role in promoting the system. Therefore, the government in the process of emergency management supervision work should be actively adjusted for the enterprise’s choice of reward and punishment policy, to mobilise enterprises to invest in mutual aid in preventing and controlling safety risks.
- (3)
- The government division has implemented a dynamic punishment mechanism to address the shortcomings of static reward and punishment mechanisms, combining multiple incentives and penalties to enhance investment decision-making, safety risk prevention, and enterprise control in the park. The dynamic reward and punishment mechanism provides a more flexible and positive response to the safety risk mutual aid prevention and control of enterprises in the park. In future research and practice, further attention should be paid to the implementation details of the dynamic incentive and dynamic penalty mechanism, the improvement of the regulatory framework, and the deepening of the cooperation between different types of enterprises, so as to further enhance the effectiveness and sustainability of mutual aid in the prevention and control of safety risks in park enterprises.
6.2. Recommendations and Management Insights
- (1)
- Blockchain technology promotes the level of safety risk prevention and control by creating a stricter regulatory environment. The cost of blockchain technology application for enterprises should be reduced. The formulation and implementation of the regulatory framework under blockchain technology should be strengthened so that it is more in line with the actual needs of enterprise safety risk prevention and control. In order to reduce the cost of enterprises’ investment in safety risk mutual aid and the use of blockchain technology, and promote more enterprises to participate in safety risk mutual aid prevention and control.
- (2)
- Government regulators can fully exploit the role of blockchain technology through incentive policies or reward mechanisms, and improve the enthusiasm of core enterprises and supporting enterprises in security prevention and control through “technological means + management strategy”, so as to drive the security level of the entire park system to improve. Core enterprises are encouraged to play a pivotal role in the co-creation of safety technology innovation, sharing of safety management experience, co-construction of emergency response teams, and joint investigation and management of risks and hidden dangers. Supporting enterprises are encouraged to actively invest and participate actively in the operation of the blockchain safety risk monitoring and early warning platform, so as to enhance the security trust among enterprises and reasonably control the cost of security input. Award and punishment mechanisms must be flexible. When a good atmosphere is formed in the park for mutual assistance in safety risk prevention and control, and the concept of integrating development and safety is deeply rooted in people’s hearts, enterprises will invest in safety risk prevention and control more actively, and the government should weaken the penalty policy at this time, and appropriately reduce the upper limit of prize punishment, and fulfill the prize punishment system.
- (3)
- Encourage enterprises in the park to provide continuous feedback on their experiences in practice so that the dynamic reward and dynamic penalty mechanism can be continuously improved. Flexibly adjust the mechanism to make it more in line with actual needs and ensure that the security control system can adapt to changing threats. Promote closer interaction and communication between regulators and enterprises. Understanding the actual problems faced by enterprises aids in adjusting regulatory policies to better align with the actual situation and enhance operability.
Author Contributions
Funding
Data Availability Statement
Conflicts of Interest
References
- Liu, S.; Cheng, Y.; Mei, Q. Research on the evolution of strategy choice for work safety of enterprises in the industrial park—From the perspective of spillover effect. Syst. Eng. Theory Pract. 2020, 40, 3284–3297. [Google Scholar]
- Chen, C.; Reniers, G.; Khakzad, N. Integrating safety and security resources to protect chemical industrial parks from man-made domino effects: A dynamic graph approach. Reliab. Eng. Syst. Saf. 2019, 191, 106470. [Google Scholar] [CrossRef]
- Xu, H.J.; Mei, Q.; Liu, S.X.; Zhang, J.J.; Khan, M.A.S. Understand, track and develop enterprise workplace safety, and sustainability in the industrial park. Heliyon 2023, 9, e16717. [Google Scholar] [CrossRef]
- Yang, M.; Shi, L.Y.; Liu, B.Q. Risks assessment and driving forces of urban environmental accident. J. Clean. Prod. 2022, 340, 130710. [Google Scholar] [CrossRef]
- Chen, J.; Zorigt, D. Managing Occupational Health and Safety in the Mining Industry. J. Bus. Res. 2013, 66, 2321–2331. [Google Scholar] [CrossRef]
- Li, W.; Zhou, T.; Mei QLiu, X.; Imran, M. Evolution of micro and small enterprises’ work safety behavior in high-risk industries. Small Bus. Econ. 2023, 60, 85–104. [Google Scholar] [CrossRef]
- Zhou, Q.; Mei, Q.; Liu, S.; Zhang, J.; Wang, Q. Driving Mechanism Model for the Supply Chain Work Safety Management Behavior of Core Enterprises—An Exploratory Research Based on Grounded Theory. Front. Psychol. 2022, 12, 807370. [Google Scholar] [CrossRef]
- Karanikas, N.; Weber, D.; Bruschi, K.; Brown, S. Identification of systems thinking aspects in ISO 45001:2018 on occupational health & safety management. Saf. Sci. 2022, 148, 105671. [Google Scholar]
- García-Gómez, F.J.; González-Gaya, C.; Rosales-Prieto, V.F. An Approach to Health and Safety Assessment in Industrial Parks. Sustainability 2020, 12, 3646. [Google Scholar] [CrossRef]
- Heikkil, A.M.; Malmén, Y.; Nissil, M.; Kortelainen, H. Challenges in risk management in multi-company industrial parks. Saf. Sci. 2010, 48, 430–435. [Google Scholar] [CrossRef]
- Wang, B.; Wu, C. Safety informatics as a new, promising and sustainable area of safety science in the information age. J. Clean. Prod. 2020, 252, 119852. [Google Scholar] [CrossRef]
- Priyanka, E.B.; Thangavel, S.; Gao, X.; Sivakumar, N.S. Digital twin for oil pipeline risk estimation using prognostic and machine learning techniques. J. Ind. Inf. Integr. 2022, 26, 100272. [Google Scholar] [CrossRef]
- Wang, B.; Yun, M.T.; Liu, Q.; Wang, Y.J. Precision safety management (PSM): A novel and promising approach to safety management in the precision era. Saf. Sci. 2023, 157, 105931. [Google Scholar] [CrossRef]
- Swan, M. Blockchain Thinking: The Brain as a Decentralized Autonomous Corporation [Commentary]. IEEE Technol. Soc. Mag. 2015, 34, 41–52. [Google Scholar] [CrossRef]
- Ouyang, L.W.; Yuan, Y.; Cao, Y.M.; Wang, F.Y. A novel framework of collaborative early warning for COVID-19 based on blockchain and smart contracts. Inf. Sci. 2021, 570, 124–143. [Google Scholar] [CrossRef] [PubMed]
- Kuznetsova, E.; Louhichi, R.; Zio, E.; Farel, R. Input-output Inoperability Model for the Risk Analysis of Eco-Industrial Parks. J. Clean. Prod. 2017, 164, 779–792. [Google Scholar] [CrossRef]
- Wu, J.; Zhang, L.; Bai, Y.; Reniers, G. A safety investment optimization model for power grid enterprises based on System Dynamics and Bayesian network theory. Reliab. Eng. Syst. Saf. 2022, 221, 108331. [Google Scholar] [CrossRef]
- Ryu, J.; Lee, D.K.; Park, C.; Ahn, Y.; Lee, S.; Choi, K.; Jung, T. Assessment of the vulnerability of industrial parks to flood in South Korea. Nat. Hazards 2016, 82, 811–825. [Google Scholar] [CrossRef]
- Nenonen, S.; Vasara, J. Safety Management in Multiemployer Worksites in the Manufacturing Industry: Opinions on Co-Operation and Problems Encountered. Int. J. Occup. Saf. Ergon. 2013, 19, 168–183. [Google Scholar] [CrossRef]
- Liu, S.X.; Li, H.F.; Mei, Q. Research on System Dynamic of Buying Work Safety Services in Small and Medium-Sized Enterprises. J. Syst. Sci. Syst. Eng. 2021, 30, 339–362. [Google Scholar] [CrossRef]
- Kjell Hausken, J.Z. The impact of disaster on the strategic interaction between company and government. Eur. J. Oper. Res. 2013, 225, 363–376. [Google Scholar] [CrossRef]
- Jiang, F. On the application of big data technology in emergency management of Industrial Park. Agro Food Ind. Hi-Tech 2017, 28, 3579–3582. [Google Scholar]
- Ahmed, S.F.; Alam, M.S.; Hoque, M.; Lameesa, A.; Afrin, S.; Farah, T.; Kabir, M.; Shafiullah, G.M.; Muyeen, S. Industrial Internet of Things enabled technologies, challenges, and future directions. Comput. Electr. Eng. 2023, 110, 108847. [Google Scholar] [CrossRef]
- Treiblmaier, H.; Rejeb, A. Exploring blockchain for disaster prevention and relief: A comprehensive framework based on industry case studies. J. Bus. Logist. 2023, 44, 550–582. [Google Scholar] [CrossRef]
- Lewontin, R.C. Journal of Theoretical Biology; Cambridge University Press: Cambridge, UK, 1961; Volume 1, pp. 382–403. [Google Scholar]
- Reniers, G.; Cuypers, S.; Pavlova, Y. A game-theory based Multi-plant Collaboration Model (MCM) for cross-plant prevention in a chemical cluster. J. Hazard. Mater. 2011, 209, 164–176. [Google Scholar] [CrossRef] [PubMed]
- Kahneman, D.; Tversky, A. Prospect Theory: An Analysis of Decision under Risk; Social Science Electronic Publishing: Rochester, NY, USA, 1979. [Google Scholar]
- Thaler, R.H. Mental Accounting and Consumer Choice. Mark. Sci. 2008, 4, 199–214. [Google Scholar] [CrossRef]
- Nafziger, A.K.K.J. Goals and bracketing under mental accounting. J. Econ. Theory 2016, 162, 305–351. [Google Scholar]
- Chen, Y.; Liu, X.; Tadikamalla, P.R.; Qu, M.; Wang, Y. Evolutionary game analysis for multi-level collaborative governance under public crisis in China: From a value perception perspective. Risk Anal. 2023, 44, 582–611. [Google Scholar] [CrossRef]
- Deng, J.; Su, C.; Zhang, Z.M.; Wang, X.P.; Wang, C.P. Evolutionary game analysis of chemical enterprises’ emergency management investment decision under dynamic reward and punishment mechanism. J. Loss Prev. Process Ind. 2024, 87, 105230. [Google Scholar] [CrossRef]
- Gurevich, G.; Kliger, D.; Levy, O. Decision-making under uncertainty—A field study of cumulative prospect theory. J. Bank. Financ. 2009, 33, 1221–1229. [Google Scholar] [CrossRef]
- Tversky, A.; Kahneman, D. Advances in Prospect Theory: Cumulative Representation of Uncertainty. J. Risk Uncertain. 1992, 5, 297–323. [Google Scholar] [CrossRef]
- Pu, H.; Wang, X.; Li, T.; Su, C. Dynamic control of low-carbon efforts and process innovation considering knowledge accumulation under dual-carbon policies. Comput. Ind. Eng. 2024, 196, 110526. [Google Scholar] [CrossRef]
- Wang, X.; Shen, Y.; Su, C. Exploring the willingness and evolutionary process of public participation in community shared energy storage projects: Evidence from four first-tier cities in China. J. Clean. Prod. 2024, 472, 143462. [Google Scholar] [CrossRef]






| Parameters | Sense |
|---|---|
| Probability of active input from core firms | |
| Probability of negative inputs from supporting firms | |
| Probability of strict regulation by government regulators | |
| Perceived cost of active engagement by core businesses | |
| Perceived cost of positive inputs from supporting companies | |
| Perceived costs of active regulation by government regulators | |
| The extent to which the core business actively invests in contributing to its own level of security | |
| The extent to which positive inputs from supporting companies contribute to their own level of safety | |
| Gain in units with improved safety levels | |
| Positive externalities of safety investments in core firms | |
| Accompanying Business Benefits | |
| Government regulators regulate earnings | |
| Positive park security externalities | |
| Negative park security externalities | |
| Incentive levels (active engagement) | |
| Penalty amount (negative inputs) | |
| Probability of positive inputs/negative inputs being detected (probability in case of negative regulation; 1 in case of positive regulation) | |
| Reputational damage to government regulators | |
| Value added to the reputation of government regulators | |
| Risk transfer coefficient | |
| Risk spillover factor | |
| risk factor | |
| Risk of security incidents | |
| Probability of a security incident | |
| Blockchain technology application costs |
| Government Regulator | |||
|---|---|---|---|
| Active supervision | Negative regulation | ||
| Active engagement by core businesses | Supporting Companies active participation | ||
| Supporting Companies Negative inputs | |||
| Negative inputs by core businesses | Supporting Companies active participation | ||
| Supporting Companies Negative inputs | |||
| Balance Point | Positive and Negative Symbols | Stability | |
|---|---|---|---|
| (0, 0, 0) | (×, ×, ×) | saddle point | |
| (1, 0, 0) | (×, ×, ×) | saddle point | |
| (0, 1, 0) | (×, ×, ×) | saddle point | |
| (0, 0, 1) | (×, ×, ×) | saddle point | |
| (1, 1, 0) | (×, ×, ×) | saddle point | |
| (1, 0, 1) | (×, ×, ×) | saddle point | |
| (0, 1, 1) | (×, ×, ×) | saddle point | |
| (1, 1, 1) | (×, ×, ×) | saddle point |
| Parametric | |||||||||||||||
|---|---|---|---|---|---|---|---|---|---|---|---|---|---|---|---|
| initial value | 0.2 | 0.3 | 0.4 | 5 | 3 | 3 | 1 | 1 | 3 | 3 | 2.1 | 3 | 5 | 5 | 0.5 |
| parametric | |||||||||||||||
| initial value | 8 | 8 | 0.2 | 0.5 | 0.5 | 10 | 0.5 | 0.03 | 1 | 1 | 1 | 0.88 | 0.88 | 0.98 | 0.98 |
Disclaimer/Publisher’s Note: The statements, opinions and data contained in all publications are solely those of the individual author(s) and contributor(s) and not of MDPI and/or the editor(s). MDPI and/or the editor(s) disclaim responsibility for any injury to people or property resulting from any ideas, methods, instructions or products referred to in the content. |
© 2024 by the authors. Licensee MDPI, Basel, Switzerland. This article is an open access article distributed under the terms and conditions of the Creative Commons Attribution (CC BY) license (https://creativecommons.org/licenses/by/4.0/).
Share and Cite
Su, C.; Deng, J.; Li, X.; Cheng, F.; Huang, W.; Wang, C.; He, W.; Wang, X. Research on the Game Strategy of Mutual Safety Risk Prevention and Control of Industrial Park Enterprises under Blockchain Technology. Systems 2024, 12, 351. https://doi.org/10.3390/systems12090351
Su C, Deng J, Li X, Cheng F, Huang W, Wang C, He W, Wang X. Research on the Game Strategy of Mutual Safety Risk Prevention and Control of Industrial Park Enterprises under Blockchain Technology. Systems. 2024; 12(9):351. https://doi.org/10.3390/systems12090351
Chicago/Turabian StyleSu, Chang, Jun Deng, Xiaoyang Li, Fangming Cheng, Wenhong Huang, Caiping Wang, Wangbo He, and Xinping Wang. 2024. "Research on the Game Strategy of Mutual Safety Risk Prevention and Control of Industrial Park Enterprises under Blockchain Technology" Systems 12, no. 9: 351. https://doi.org/10.3390/systems12090351
APA StyleSu, C., Deng, J., Li, X., Cheng, F., Huang, W., Wang, C., He, W., & Wang, X. (2024). Research on the Game Strategy of Mutual Safety Risk Prevention and Control of Industrial Park Enterprises under Blockchain Technology. Systems, 12(9), 351. https://doi.org/10.3390/systems12090351
