How to Effectively Promote Vaccination during Public Health Emergencies: Through Inter-Organizational Interaction
Abstract
1. Introduction
2. Research Framework and Game Model
2.1. Description of Research Problems and Research Design
2.2. Settings and Explanation of Public Health Emergency Vaccination Game Model
2.3. Derivation of Public Health Emergency Vaccination Game Model
2.3.1. Replication Dynamic Equation (RDE) of Health Management Departments
2.3.2. RDE of Vaccinologists
2.3.3. RDE of the Public
2.4. Stability Analysis of Public Health Emergency Vaccination Game Model
2.4.1. Equilibrium Points of Public Health Emergency Vaccination Game Model
2.4.2. Analysis of Strategic Stability of Health Management Departments
2.4.3. Analysis of Strategic Stability of Vaccinologists
2.4.4. Analysis of Strategic Stability of the Public
3. Simulation Analysis of Public Health Emergency Vaccination Game System
3.1. Analyzing the Influence of the Range of Vaccination (δ)
3.2. Analyzing the Influence of the Diversification of Vaccination Information Release (φ)
3.3. Analyzing the Influence of the Level of Emergency Collaboration between Health Management Departments and Vaccinologists (θ)
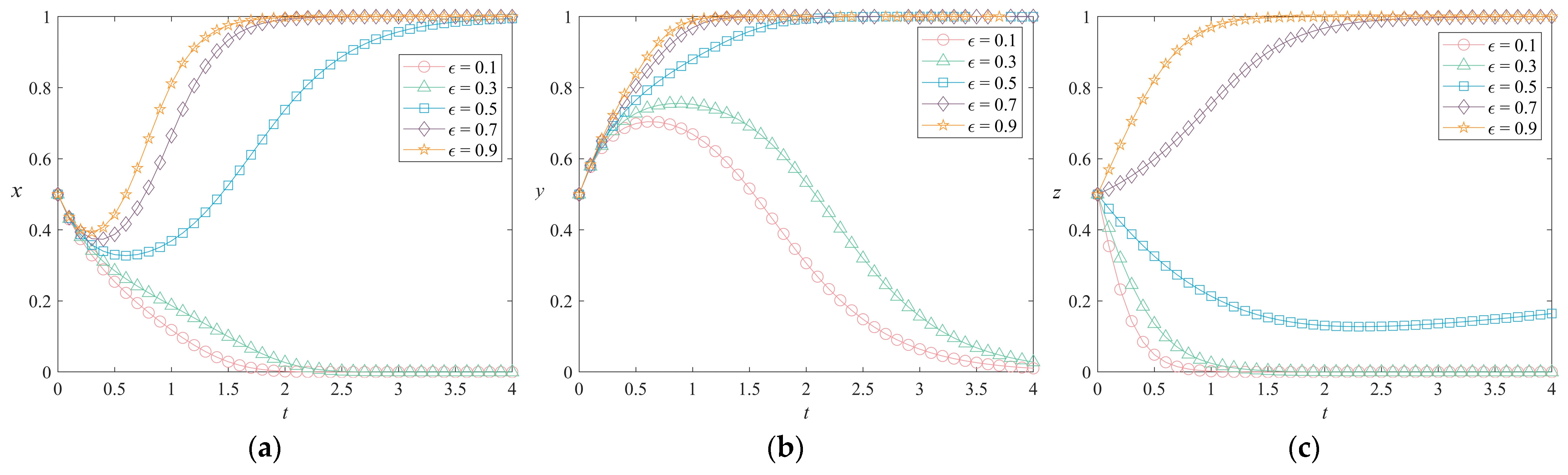
3.4. Analyzing the Influence of the Public’s Awareness of Emergency Protection (ε)
4. Discussion
5. Conclusions and Implications
5.1. Overall Conclusions
- (1)
- The range of vaccination, diversification of vaccination information release, level of emergency collaboration, and public’s awareness of emergency protection can all contribute to the formation of a public health emergency vaccination game system with a positive promotion strategy, active guidance strategy, and active vaccination strategy, which can effectively promote vaccination.
- (2)
- The range of vaccination affected both the costs of health management departments and the perceived losses of health management departments in public health emergencies. The diversification of vaccination information release has an impact on the costs to health management departments and vaccinologists, and also affects the emergency and vaccination benefits of health management departments and vaccinologists. Therefore, the influences of the range of vaccination and the diversification of vaccination information release on the strategy evolution of game subjects have two sides, and game trajectories have a tendency to exhibit fluctuation and repetition.
- (3)
- The level of emergency collaboration between health management departments and vaccinologists can reduce the costs of implementing vaccination. Collaboration can also enhance the enthusiasm of health management departments and vaccinologists to select a positive promotion strategy and an active guidance strategy.
- (4)
- A high level of public awareness of emergency protection can enhance the public’s understanding of viruses associated with public health emergencies and can increase their resolve to participate in vaccination. In addition, the higher the public’s awareness of emergency protection, the easier it is for health management departments and vaccinologists to publicize vaccine knowledge and answer vaccination-related questions.
- (5)
- When (1,1,1) is the stable state of the public health emergency vaccination game system, the convergence speed of health management departments and vaccinologists to form a stable strategy is greater than that of the public. This indicates that, although the public lags behind in selecting the active vaccination strategy, they may have increased enthusiasm for participating in vaccination due to the promotion strategies of health management departments and vaccinologists. Correspondingly, vaccination rates and coverage can also be improved.
5.2. Further Implications
- (1)
- Improving vaccination plans and strategies. Systematic and complete vaccination strategies guarantee the orderly implementation of vaccination. Therefore, the first step is to improve strategies pertaining to important matters such as clearing the target population, selecting a vaccine, and setting vaccination requirements according to the transmission characteristics of the virus. Moreover, a differentiated management plan for vaccination can be developed and implemented for high-risk groups and the general population. Secondly, continuous attention should be paid to the progress and effectiveness of vaccination. According to vaccine research, combined with knowledge of public health emergencies and virus mutation, the vaccination strategy should be adjusted to respond to the whole-cycle characteristics of public health emergencies. Thirdly, it is necessary to improve the whole-process traceability system of vaccines and the safety supervision to strengthen the process management and ensure efficient and smooth development, production, transportation, and delivery of vaccines.
- (2)
- Strengthening cross-departmental collaboration for vaccination. Cross-departmental collaboration (via, e.g., response linkage and working consultation) is important to support the implementation of vaccination. Specifically, it is necessary to strengthen the collaboration between upper and lower departments. Health management departments at higher levels should strengthen overall planning and coordination, and guide health management departments at lower levels to organize and implement vaccination work. Additionally, health management departments should provide guidance to local disease control departments, communities, and hospitals, and emphasize the responsibility of vaccination. It is also necessary to strengthen the collaboration between different functional departments. Vaccine research and development, production, transportation, and delivery—as well as supply, supervision, and other safeguarding measures—require the participation of multiple departments. For example, in the process of vaccine research and development, the collaboration of science and technology management departments, health management departments, and scientific research institutions is needed. In the process of vaccination, the collaboration of health management departments, communities, and hospitals is needed. In the process of vaccine safety supervision, the collaboration of health administration departments, drug administration departments, and market supervision departments is needed. In addition, the Chinese government has promoted a nationwide information system for vaccination and cross-departmental collaboration on vaccination at the data level, which is also worthy of note.
- (3)
- Mobilizing the enthusiasm of vaccinologists to participate in vaccination. Increasing the enthusiasm of vaccinologists to guide the public to participate in vaccination is important to promote the implementation of vaccination. Health management departments and related departments should provide incentives and platforms for vaccinologists. They should communicate with vaccinologists in a timely manner, fully respect their professional expertise, and listen to their suggestions about the implementation of vaccination. Moreover, commendation should be given to vaccinologists publicly so as to enhance their authority and reputation. Health management departments should build diversified communication platforms for vaccinologists to guide the public to participate in vaccination. For example, vaccinologists can be invited to participate in cross-departmental consultation meetings and vaccination press conferences. Teams of vaccinologists can also be established to provide on-site guidance for the implementation of vaccination. Through the above measures, vaccinologists can be more involved in vaccination during public health emergencies.
- (4)
- Encouraging the public’s initiative to participate in vaccination. The eagerness of the public to participate in vaccination is not only related to self-motivation, but also to the way government departments release vaccination information. Firstly, it is necessary to cultivate the public’s awareness about the means of protection against viruses and other public health emergencies in daily life. This can help to strengthen a whole population’s grasp of health knowledge and improve risk perception, information assessment, and self-protection abilities. Secondly, during public health emergencies, it is necessary to publicize vaccination knowledge, policy interpretations, and vaccination trends via various media such as public announcements, posters, education manuals, and short publicity videos, to maximize the different channels by which the public can obtain information about vaccination. Moreover, government departments can release information mainly through official channels and coordinate follow-up through multiple media platforms. Thirdly, organization and management of vaccination implementation should be improved. The vaccination location should be reasonable, the number of vaccination personnel should be appropriate, and vaccination appointments should be reservable online in advance to make public participation as convenient as possible.
Author Contributions
Funding
Data Availability Statement
Conflicts of Interest
References
- Assefa, Y.; Gilks, C.F.; Reid, S.; van de Pas, R.; Gete, D.G.; Van Damme, W. Analysis of the COVID-19 pandemic: Lessons towards a more effective response to public health emergencies. Glob. Health 2022, 18, 10. [Google Scholar] [CrossRef]
- Dryhurst, S.; Schneider, C.R.; Kerr, J.; Freeman, A.L.J.; Recchia, G.; van der Bles, A.M.; Spiegelhalter, D.; van der Linden, S. Risk perceptions of COVID-19 around the world. J. Risk Res. 2020, 23, 994–1006. [Google Scholar] [CrossRef]
- Bryce, C.; Ring, P.; Ashby, S.; Wardman, J.K. Resilience in the face of uncertainty: Early lessons from the COVID-19 pandemic. J. Risk Res. 2020, 23, 880–887. [Google Scholar] [CrossRef]
- Liu, J.; Dong, C.; An, S.; Mai, Q. Dynamic Evolution Analysis of the Emergency Collaboration Network for Compound Disasters: A Case Study Involving a Public Health Emergency and an Accident Disaster during COVID-19. Healthcare 2022, 10, 500. [Google Scholar] [CrossRef]
- Liu, J.; Dong, C. Cross-departmental emergency coordination characteristics formed by multiple risks: Evidence from production safety special emergency campaigns across government levels in China. Int. J. Disaster Risk Reduct. 2024, 111, 104672. [Google Scholar] [CrossRef]
- Kerr, S.; Bedston, S.; Cezard, G.; Sampri, A.; Murphy, S.; Bradley, D.T.; Morrison, K.; Akbari, A.; Whiteley, W.; Sullivan, C.; et al. Undervaccination and severe COVID-19 outcomes: Meta-analysis of national cohort studies in England, Northern Ireland, Scotland, and Wales. Lancet 2024, 403, 554–566. [Google Scholar] [CrossRef]
- Notarte, K.I.; Catahay, J.A.; Velasco, J.V.; Pastrana, A.; Ver, A.T.; Pangilinan, F.C.; Peligro, P.J.; Casimiro, M.; Guerrero, J.J.; Gellaco, M.M.L.; et al. Impact of COVID-19 vaccination on the risk of developing long-COVID and on existing long-COVID symptoms: A systematic review. eClinicalMedicine 2022, 53, 101624. [Google Scholar] [CrossRef]
- Macklin, G.R.; Peak, C.; Eisenhawer, M.; Kurji, F.; Mach, O.; Konz, J.; Gast, C.; Bachtiar, N.S.; Bandyopadhyay, A.S.; Zipursky, S. Enabling accelerated vaccine roll-out for Public Health Emergencies of International Concern (PHEICs): Novel Oral Polio Vaccine type 2 (nOPV2) experience q. Vaccine 2023, 411, A122–A127. [Google Scholar] [CrossRef]
- Najjar-Debbiny, R.; Gronich, N.; Khoury, J.; Amar, M.; Stein, N.; Goldstein, L.H.; Saliba, W. Effectiveness of Paxlovid in Reducing Severe Coronavirus Disease 2019 and Mortality in High-Risk Patients. Clin. Infect. Dis. 2023, 76, 1158–1159. [Google Scholar] [CrossRef]
- Utami, A.M.; Rendrayani, F.; Khoiry, Q.A.; Noviyanti, D.; Suwantika, A.A.; Postma, M.J.; Zakiyah, N. Economic evaluation of COVID-19 vaccination: A systematic review. J. Glob. Health 2023, 13, 06001. [Google Scholar] [CrossRef]
- Watson, O.J.; Barnsley, G.; Hogan, A.B.; Winskill, P.; Ghani, A.C. Global impact of the first year of COVID-19 vaccination: A mathematical modelling study (vol 22, pg 1293, 2022). Lancet Infect. Dis. 2023, 23, E400. [Google Scholar] [CrossRef]
- Li, J.; Zhang, Y.; Zhang, X.; Liu, L. Influenza and Universal Vaccine Research in China. Viruses 2023, 15, 116. [Google Scholar] [CrossRef]
- Shah, A.; Coiado, O.C. COVID-19 vaccine and booster hesitation around the world: A literature review. Front. Med. 2023, 9, 1054557. [Google Scholar] [CrossRef]
- Wang, G.; Yao, Y.; Wang, Y.; Gong, J.; Meng, Q.; Wang, H.; Wang, W.; Chen, X.; Zhao, Y. Determinants of COVID-19 vaccination status and hesitancy among older adults in China. Nat. Med. 2023, 29, 623. [Google Scholar] [CrossRef]
- Chen, S.; Zhang, Z.; Yang, J.; Wang, J.; Zhai, X.; Barnighausen, T.; Wang, C. Fangcang shelter hospitals: A novel concept for responding to public health emergencies. Lancet 2020, 395, 1305–1314. [Google Scholar] [CrossRef]
- Wei, J.; Wang, L.; Yang, X. Game analysis on the evolution of COVID-19 epidemic under the prevention and control measures of the government. PLoS ONE 2020, 15, e0240961. [Google Scholar] [CrossRef]
- Hong, S. COVID-19 vaccine communication and advocacy strategy: A social marketing campaign for increasing COVID-19 vaccine uptake in South Korea. Humanit. Soc. Sci. Commun. 2023, 10, 109. [Google Scholar] [CrossRef]
- Zhou, Y.; Zhang, J.; Yang, Y. Navigating Resource Challenges in Health Emergencies: The Role of Information Diffusion and Virus Spread in Demand Dynamics. Systems 2024, 12, 95. [Google Scholar] [CrossRef]
- Firouzabadi, N.; Ghasemiyeh, P.; Moradishooli, F.; Mohammadi-Samani, S. Update on the effectiveness of COVID-19 vaccines on different variants of SARS-CoV-2. Int. Immunopharmacol. 2023, 117, 109968. [Google Scholar] [CrossRef] [PubMed]
- Ceban, F.; Kulzhabayeva, D.; Rodrigues, N.B.; Di Vincenzo, J.D.; Gill, H.; Subramaniapillai, M.; Lui, L.M.W.; Cao, B.; Mansur, R.B.; Ho, R.C.; et al. COVID-19 vaccination for the prevention and treatment of long COVID: A systematic review and meta-analysis. Brain Behav. Immun. 2023, 111, 211–229. [Google Scholar] [CrossRef]
- Rai, R.K.; Tiwari, P.K.; Khajanchi, S. Modeling the influence of vaccination coverage on the dynamics of COVID-19 pandemic with the effect of environmental contamination. Math. Methods Appl. Sci. 2023, 46, 12425–12453. [Google Scholar] [CrossRef]
- Niu, Y.; Tao, Z.; Zhang, H. Dynamics of Interagency Networks under Stress in Public Health Emergencies: Evidence from China. Public Perform. Manag. 2022, 45, 799–827. [Google Scholar] [CrossRef]
- Liu, J.; Song, Y.; An, S.; Dong, C.; Lian, C. Exploring time evolution characteristics of the collaborative mode in emergency information release of public health emergencies: A network analysis of response to COVID-19 from the central government of China. Front. Public Health 2022, 10, 970514. [Google Scholar] [CrossRef]
- Kamran, M.A.; Kia, R.; Goodarzian, F.; Ghasemi, P. A new vaccine supply chain network under COVID-19 conditions considering system dynamic: Artificial intelligence algorithms. Socio-Econ. Plan. Sci. 2023, 85, 101378. [Google Scholar] [CrossRef]
- Lazarus, J.V.; Wyka, K.; White, T.M.; Picchio, C.A.; Gostin, L.O.; Larson, H.J.; Rabin, K.; Ratzan, S.C.; Kamarulzaman, A.; El-Mohandes, A. A survey of COVID-19 vaccine acceptance across 23 countries in 2022. Nat. Med. 2023, 29, 366–375. [Google Scholar] [CrossRef] [PubMed]
- Whitehead, H.S.; French, C.E.; Caldwell, D.M.; Letley, L.; Mounier-Jack, S. A systematic review of communication interventions for countering vaccine misinformation. Vaccine 2023, 41, 1018–1034. [Google Scholar] [CrossRef]
- Bergen, N.; Kirkby, K.; Fuertes, C.V.; Schlotheuber, A.; Menning, L.; Mac Feely, S.; O’Brien, K.; Hosseinpoor, A.R. Global state of education-related inequality in COVID-19 vaccine coverage, structural barriers, vaccine hesitancy, and vaccine refusal: Findings from the Global COVID-19 Trends and Impact Survey. Lancet Glob. Health 2023, 11, E207–E217. [Google Scholar] [CrossRef]
- Liu, J.; Dong, C. Understanding the Complex Adaptive Characteristics of Cross-Regional Emergency Collaboration in China: A Stochastic Evolutionary Game Approach. Fractal Fract. 2024, 8, 98. [Google Scholar] [CrossRef]
- Dong, C.; Liu, J.; Mi, J. Information-Driven Integrated Healthcare: An Analysis of the Cooperation Strategy of County Medical Community Based on Multi-Subject Simulation. Healthcare 2023, 11, 2019. [Google Scholar] [CrossRef]
- Dong, C.; Liu, J.; Mi, J. How to Enhance Data Sharing in Digital Government Construction: A Tripartite Stochastic Evolutionary Game Approach. Systems 2023, 11, 212. [Google Scholar] [CrossRef]
- Ouyang, Y.; Zhao, H. Evolutionary Game Analysis of Collaborative Prevention and Control for Public Health Emergencies. Sustainability 2022, 14, 15089. [Google Scholar] [CrossRef]
- Xiao, Y.; Peng, Q.; Xu, W. Evolutionary Game Analysis of Cross-Regional Coordinated Governance of Major Public Health Emergencies: The Example of the Spread of the COVID-19 Outbreak. Math. Probl. Eng. 2021, 2021, 9992163. [Google Scholar] [CrossRef]
- Nan, R.; Chen, J.; Zhu, W. Evolutionary game analysis of multiple subjects in the management of major public health emergencies. Heliyon 2024, 10, e29823. [Google Scholar] [CrossRef]
- Yuan, Y.; Du, L.; Luo, L.; Cui, L. Allocation strategy of medical supplies during a public health emergency: A tripartite evolutionary game perspective. Sci. Rep. 2023, 13, 9571. [Google Scholar] [CrossRef]
- Cao, F.; Zhang, L.; Wu, Y. The Whistleblower’s Dilemma: An Evolutionary Game Analysis of the Public Health Early Warning System. Discret. Dyn. Nat. Soc. 2022, 2022, 5796428. [Google Scholar] [CrossRef]
- Wang, Y.; Qi, L.; Cai, S. How can the collaborative participation of regulators, whistleblowers, and parties effectively promote rumor management in public health emergencies? Front. Public Health 2024, 12, 1399905. [Google Scholar] [CrossRef]
- Chen, L.; Li, H.; Tian, F.; Xie, C.; Zhao, L. Research on Psychological Crisis Intervention Strategies under Emergencies: An Analysis Based on the Four-Party Evolutionary Game. Sustainability 2023, 15, 15226. [Google Scholar] [CrossRef]
- Liu, J.; Dong, C.; An, S. Integration and modularization: Research on urban cross-regional emergency cooperation based on the network approach. Int. J. Disaster Risk Reduct. 2022, 82, 103375. [Google Scholar] [CrossRef]
- Fan, R.; Wang, Y.; Lin, J. Study on Multi-Agent Evolutionary Game of Emergency Management of Public Health Emergencies Based on Dynamic Rewards and Punishments. Int. J. Environ. Res. Public Health 2021, 18, 8278. [Google Scholar] [CrossRef]
- Lu, B.; Zhu, L. Public health events emergency management supervision strategy considering citizens’ and new media’s different ways of participation. Soft Comput. 2022, 26, 11749–11769. [Google Scholar] [CrossRef]
- Zhao, Y.; Jiang, Y.; Zhang, W.; Zhu, Y. Relationship between Risk Perception, Emotion, and Coping Behavior during Public Health Emergencies: A Systematic Review and Meta-Analysis. Systems 2023, 11, 181. [Google Scholar] [CrossRef]













| Parameter | Meaning of Parameter | Range of Parameter |
|---|---|---|
| C1 | The research and development costs of vaccines for health management departments. | |
| C2 | The implementation costs of vaccination for health management departments. | |
| C3 | The costs for health management departments of responding to the public’s demand for vaccination. | |
| K | The costs for vaccinologists of guiding the public to participate in vaccination. | |
| W | The costs for the public of participation in vaccination. | |
| L1 | Health management departments’ perceived losses from public health emergencies. | |
| L2 | Vaccinologists’ perceived losses from public health emergencies. | |
| L3 | The public’s perceived losses from public health emergencies. | |
| E1 | Health management departments’ perceived social security and economic development benefits from promoting vaccination. | |
| E2 | Vaccinologists’ perceived benefits from guiding the public to participate in vaccination. | |
| E3 | The public’s perceived benefits from vaccination. | |
| G1 | Public credibility benefits gained by health management departments for promoting vaccination and effectively preventing and controlling public health emergencies. | |
| G2 | Reputation benefits gained by vaccinologists for guiding the public to participate in vaccination. | |
| α | The implementation intensity of health management departments to promote vaccination. | |
| β | Vaccinologists’ initiatives to guide the public to participate in vaccination. | |
| γ | The public’s initiative to vaccinate. | |
| δ | The range of vaccination. | |
| φ | The diversification of vaccination information release. | |
| θ | The level of emergency collaboration between health management departments and vaccinologists. | |
| ε | The public’s awareness of emergency protection when facing public health emergencies. |
| Health Management Departments | Vaccinologists | The Public | |
|---|---|---|---|
| Active Vaccination Strategy z | Passive Vaccination Strategy 1 − z | ||
| Positive promotion strategy x | Active guidance strategy y | , , | , , |
| Passive guidance strategy 1 − y | , , | , , | |
| Negative promotion strategy 1 − x | Active guidance strategy Y | , , | , , |
| Passive guidance strategy 1 − y | , , | , , | |
| Equilibrium Point | Eigenvalue | ||
|---|---|---|---|
| λ1 | λ2 | λ3 | |
| E1 (0,0,0) | |||
| E2 (0,1,0) | |||
| E3 (0,0,1) | |||
| E4 (1,0,0) | |||
| E5 (1,1,0) | |||
| E6 (1,0,1) | |||
| E7 (0,1,1) | |||
| E8 (1,1,1) | |||
Disclaimer/Publisher’s Note: The statements, opinions and data contained in all publications are solely those of the individual author(s) and contributor(s) and not of MDPI and/or the editor(s). MDPI and/or the editor(s) disclaim responsibility for any injury to people or property resulting from any ideas, methods, instructions or products referred to in the content. |
© 2024 by the authors. Licensee MDPI, Basel, Switzerland. This article is an open access article distributed under the terms and conditions of the Creative Commons Attribution (CC BY) license (https://creativecommons.org/licenses/by/4.0/).
Share and Cite
Song, Y.; Ma, R.; Lian, C.; Guo, Y.; An, S. How to Effectively Promote Vaccination during Public Health Emergencies: Through Inter-Organizational Interaction. Systems 2024, 12, 312. https://doi.org/10.3390/systems12080312
Song Y, Ma R, Lian C, Guo Y, An S. How to Effectively Promote Vaccination during Public Health Emergencies: Through Inter-Organizational Interaction. Systems. 2024; 12(8):312. https://doi.org/10.3390/systems12080312
Chicago/Turabian StyleSong, Yuwei, Ruining Ma, Chenxi Lian, Yanan Guo, and Shi An. 2024. "How to Effectively Promote Vaccination during Public Health Emergencies: Through Inter-Organizational Interaction" Systems 12, no. 8: 312. https://doi.org/10.3390/systems12080312
APA StyleSong, Y., Ma, R., Lian, C., Guo, Y., & An, S. (2024). How to Effectively Promote Vaccination during Public Health Emergencies: Through Inter-Organizational Interaction. Systems, 12(8), 312. https://doi.org/10.3390/systems12080312
