Two-Part Tariff Policy and Total Factor Productivity of Pumped Storage Industry: Stimulation or Failure?
Abstract
1. Introduction
2. Literature Review
2.1. The Impact of Price Policy on Total Factor Productivity
2.2. The Efficiency of Energy Storage Industry
3. Methodology and Data
3.1. Model Setting
3.2. Variables
3.2.1. Dependent Variable: Total Factor Productivity
3.2.2. Independent Variable
3.2.3. Variable Used in Mechanism Analysis
3.2.4. Control Variables
3.3. Description of Sample
4. Development of China’s Pumped Storage Industry
4.1. Price Mode
- (1)
- Leasing mode (2004–2014). In 2004, NDRC issued the Notice on Issues Related to the Construction and Management of Pumped Storage Power Stations, stipulating that pumped storage power plants are mainly constructed and managed by power grid operating enterprises. In this mode, the pumped storage power plant is built by an independent power generation enterprise, and the grid operator pays a fixed annul lease fee to the pumped storage power plant, which is approved by the national price department. Correspondingly, electricity prices are no longer implemented, and social capital is not allowed to enter.
- (2)
- TPT mode (2014–present): In 2014, NDRC issued the Circular on Issues Related to Improving the Price Formation Mechanism for Pumped Storage Power Plants, which proposed a price mechanism for pumped storage power plants, a Two-Part Tariff. The TPT consists of two components, the capacity tariff and the electricity tariff. Specifically, capacity tariffs primarily reflect the value of ancillary services such as standby, frequency regulation, phase regulation and black start provided by pumped storage power plants, and are intended to compensate for the fixed costs of the plant, including construction investment, loan repayments and depreciation. It is usually calculated by the transformer capacity or maximum demand, independent of actual generation. The electricity price is mainly reflected in the benefit of peak shaving and valley filling realized by pumped storage power station, so as to make up for the variable cost such as pumped power loss. Its on-grid price equals to the benchmark on-grid price of local coal-fired units, and the pumping price is 75%. More importantly, for some economically developed regions, it is encouraged to use market-based approaches to price formation. In 2021, the launch of the Opinions on Further Improving the Price Formation Mechanism for Pumped Storage puts higher emphasis on the price marketization.
4.2. Plants Distribution and TFP
5. Empirical Analyses
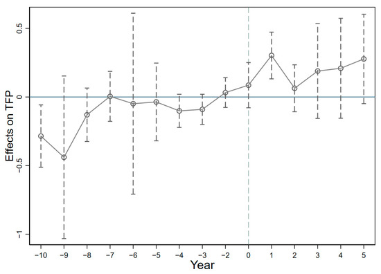
5.1. Paralleled Trend
5.2. Results and Analysis of Baseline Regression
5.3. Robustness Test
5.3.1. Replace the Dependent Variable
5.3.2. Exclude the Influence of Special Samples
5.3.3. Use Cluster Robust Standard Errors
5.3.4. Placebo Test
5.4. Endogeneity Test
5.5. Mechanism Analyses
6. Further Analyses
6.1. The Heterogeneity of Geographic Location
6.2. The Heterogeneity of Energy Dependence
6.3. The Heterogeneity of Environmental Regulation
6.4. The Heterogeneity of Green Finance
7. Conclusions and Suggestions
Author Contributions
Funding
Data Availability Statement
Acknowledgments
Conflicts of Interest
References
- IEA. Electricity Market Report 2023; IEA publication: Paris, France, 2023; Available online: https://www.iea.org/reports/electricity-market-report-update-2023 (accessed on 9 October 2023).
- Guo, Z.J.; Wei, W.; Chen, L.J.; Dong, Z.Y.; Mei, S.W. Impact of Energy Storage on Renewable Energy Utilization: A Geometric Description. IEEE Trans. Sustain. Energe 2021, 2, 874–885. [Google Scholar] [CrossRef]
- Kong, L.; Yan, C.; Huang, J.Q. A Review of Nanocarbon Current Collectors Used in Electrochemical Energy Storage Devices. New Carb Mater. 2017, 32, 481–500. [Google Scholar] [CrossRef]
- Jurasz, J.; Dqbek, P.B.; Kazmierczak, B.; Kies, A.; Wdowikowski, M. Large Scale Complementary Solar and Wind Energy Sources Coupled with Pumped-storage Hydroelectricity for Lower Silesia. Energy 2018, 161, 183–192. [Google Scholar] [CrossRef]
- Wei, J.Y.; Jian, D.Y. Advantage of Variable-speed Pumped Storage Plants for Mitigating Wind Power Variations: Integrated Modelling and Performance Assessment. Appl. Energy 2019, 237, 481–500. [Google Scholar] [CrossRef]
- Lin, B.Q.; Xie, Y.J. Energy Low—Carbon Transition and the Development of the Energy Storage Industry in China. Soc. Sci. Guangdong 2023, 5, 17–26+286. (In Chinese) [Google Scholar]
- Qiao, S.; Chen, H.H.; Zhang, R.R. Examining the Impact of Factor Price Distortions and Social Welfare on Innovation Efficiency from the Microdata of Chinese Renewable Energy Industry. Renew. Sustain. Energe Rev. 2021, 143, 110901. [Google Scholar] [CrossRef]
- Ai, H.S.; Xiong, S.Y.; Li, K.; Jia, P.R. Electricity Price and Industrial Green Productivity: Does the “Low-Electricity Price Trap” Exist. Energy 2020, 207, 118239. [Google Scholar] [CrossRef]
- Yin, M. Third-party Assessment: Getting Out of the Way of Market-based Price Reforms—Based on Observations in the Oil and Electricity Sectors. Academics 2015, 2, 210–218. (In Chinese) [Google Scholar]
- Qu, J.Y.; Li, K.; Ye, Z.; Shao, S. The Impact of Differential Power Pricing Policy on Firm Productivity in China: Evidence from Iron and Steel Firms. J. Asian Econ. 2020, 80, 101478. [Google Scholar] [CrossRef]
- Zhao, L.; Lin, L.G. The Impact of Electricity Pricing Policy on Total Factor Productivity. Econ. Perspect. 2021, 10, 64–81. (In Chinese) [Google Scholar]
- Jia, J.Q.; Sun, Z.L.; Li, X.D. Does the Grain Price Support Policy Improve Chinas’ Grain Total Factor Productivity? -Taking the Minimum Purchase Price Policy of Wheat as an Example. Rural. Econ. 2019, 1, 67–72. (In Chinese) [Google Scholar]
- Liu, S.S.; Yin, S.S.; Yin, C.; Sheng, Y. Does the Price of Natural Resources Affect Firms’ Total Factor Productivity? Evidence From a Natural Experiment in China. Econ. Anal. Policy 2021, 70, 37–50. [Google Scholar] [CrossRef]
- Chen, J.X.; Zhang, L.; Deng, G.D. Has the Wind Power Price Policy Promoted the High-Quality Development of China’s Wind Power Industry?—Analysis Based on Total Factor Productivity. Sustainability 2023, 11, 8878. [Google Scholar] [CrossRef]
- Gamtessa, S.; Olani, A.B. Energy price, energy efficiency, and capital productivity: Empirical investigations and policy implications. Energe Econ. 2018, 72, 650–666. [Google Scholar] [CrossRef]
- Ren, X.H.; Liu, Z.Q.; Jin, C.L.; Lin, R.Y. Oil price uncertainty and enterprise total factor productivity: Evidence from China. Int. Rev. Econ. Financ. 2023, 83, 201–218. [Google Scholar] [CrossRef]
- Zheng, X.M.; Wu, C.K.; He, S.J. Impacts of China’s Differential Electricity Pricing on the Productivity of Energy-intensive Industries. Energe Econ. 2021, 94, 105050. [Google Scholar] [CrossRef]
- Gonseth, C.; Cadot, O.; Mathys, N.A.; Thalmann, P. Energy-tax Changes and Competitiveness: The Role of Adaptive Capacity. Energe Econ. 2015, 48, 127–135. [Google Scholar] [CrossRef]
- Yu, H.W.; Duan, J.H.; Du, W.; Xue, S.; Sun, J.H. China’s Energy Storage Industry: Develop Status, Existing Problems and Countermeasures. Renew. Sustain. Energe Rev. 2017, 71, 767–784. [Google Scholar] [CrossRef]
- Kaun, B.; Chen, S. Cost-effectiveness of Energy Storage in California, Electric Power Research Institute (EPRI) 2013. Available online: http://refhub.elsevier.com/S1364-0321(16)31159-5/sbref21 (accessed on 12 October 2023).
- Denholm, P.; Jorgenson, J.; Hummon, M.; Jenkin, T.; Palchak, D. Value of Energy Storage for Grid Applications; National Renewable Energy Lab(NREL): Golden, CO, USA, 2013. [Google Scholar] [CrossRef]
- Yang, Y.S.; Cheng, J.; Cao, G.P. The Economic Benefit Analysis of Large Scale Energy Storing Device. Battery Bimon. 2011, 41, 19–21. [Google Scholar]
- He, M.; Xiao, W.; Zhou, J.S.; Zhang, Q.Y.; Cui, L.W. Performance Characteristics, Spatial Connection and Industry Prospects for China’s Energy Storage Industry Based on Chinese Listed Companies. J. Energy Storage 2023, 62, 106907. [Google Scholar] [CrossRef]
- Zhang, X.J.; Lian, J.J.; Tao, Y.Z.; Ma, C.; Chen, D.Y.; Chen, M.; Xu, B.B. Capacity tariff mechanism of a pumped hydro storage station: Pricing approaches for reducing benefit allocation unfairness of integrated renewable energy systems. J. Energy Storage 2023, 71, 108156. [Google Scholar] [CrossRef]
- Ma, B.; Geng, S.P.; Tan, C.X.; Niu, D.X.; He, Z.J. Game Analysis of Wind Storage Joint Ventures Participation in Power Market Based on a Double-Layer Stochastic Optimization Model. Processes 2019, 7, 896. [Google Scholar] [CrossRef]
- Li, H.; Zheng, H.W.; Zhou, B.W.; Li, G.D.; Yang, B.; Hu, B.; Ma, M. Two-Part Tariff of Pumped Storage Power Plants for Wind Power Accommodation. Sustainability 2023, 14, 5603. [Google Scholar] [CrossRef]
- Qiu, T.; Xu, B.L.; Wang, Y.S.; Dvorkin, Y.; Kirschen, D.S. Stochastic Multistage Coplanning of Transmission Expansion and Energy Storage. IEEE Trans. Power Syst. 2017, 32, 643–652. [Google Scholar] [CrossRef]
- Luo, Y.H.; Zhang, X.W.; Yang, D.S.; Sun, Q.Y. Emission Trading Based Optimal Scheduling Strategy of Energy Hub with Energy Storage and Integrated Electric Vehicles. J. Mod. Power Syst. Clean 2020, 8, 267–275. [Google Scholar] [CrossRef]
- Khani, H.; Farag, H.E.Z. Joint Arbitrage and Operating Reserve Scheduling of Energy Storage Through Optimal Adaptive Allocation of the State of Charge. IEEE Trans. Sustain. Energy 2019, 10, 1705–1717. [Google Scholar] [CrossRef]
- Zhang, Y.X.; Xu, Y.; Yang, H.M.; Dong, Z.Y.; Zhang, R. Optimal Whole-Life-Cycle Planning of Battery Energy Storage for Multi-Functional Services in Power Systems. IEEE Trans. Sustain. Energy 2020, 11, 2077–2086. [Google Scholar] [CrossRef]
- Chen, L.; Wu, H.J. Research Status and Potential Problems of Differences-in-Differences Method in China. J. Quant. Technol. Econ. 2015, 32, 133–148. (In Chinese) [Google Scholar] [CrossRef]
- Wang, C.; Wang, L. Green Credit and Industrial Green Total Factor Productivity: The Impact Mechanism and Threshold Effect Tests. J. Environ. Manag. 2023, 331, 117266. [Google Scholar] [CrossRef]
- Lopez, A. Outsourcing and Firm Productivity: A Production Function Approach. Empir. Econ. 2014, 47, 977–998. [Google Scholar] [CrossRef]
- Shen, Z.Y.; Wu, H.T.; Bai, K.X.; Hao, Y. Integrating Economic, Environmental and Societal Performance Within the Productivity Measurement. Technol. Forecast. Soc. 2022, 176, 124463. [Google Scholar] [CrossRef]
- Jiakui, C.; Abbas, J.; Najam, H.; Liu, J.N.; Abbas, J. Green Technological Innovation, Green Finance, and Financial Development and Their Role in Green Total Factor Productivity: Empirical Insights from China. J. Clean. Prod. 2023, 382, 135131. [Google Scholar] [CrossRef]
- Casu, B.; Ferrari, A.; Zhao, T. Regulatory Reform and Productivity Change in Indian Banking. Rev. Econ. Stat. 2013, 95, 1066–1077. [Google Scholar] [CrossRef]
- Wanker, P.; Tsionas, M.G.; Chen, Z.F.M.; Antunes, J.J. Dynamic Network DEA and SFA Models for Accounting and Financial Indicators with an Analysis of Super-efficiency in Stochastic Frontiers: An Efficiency Comparison in OECD Banking. Int. Rev. Econ. Financ. 2020, 69, 456–468. [Google Scholar] [CrossRef]
- Tone, K.; Tsutsui, M. An Epsilon-Based Measure of Efficiency in DEA—A Third Pole of Technical Efficiency. Eur. J. Oper. Res. 2010, 207, 1554–1563. [Google Scholar] [CrossRef]
- Berchicci, L. Towards an Open R&D System: Internal R&D Investment, External Knowledge Acquisition and Innovative Performance. Res. Policy 2013, 42, 117–127. [Google Scholar] [CrossRef]
- Hasanov, F.J.; Mukhtarov, S.; Suleymanov, E. The Role of Renewable Energy and Total Factor Productivity in Reducing CO2 Emissions in Azerbaijan. Fresh Insights from a New Theoretical Framework Coupled with Autometrics. Energy Strategy Rev. 2023, 47, 101079. [Google Scholar] [CrossRef]
- Mannasoo, K.; Hein, H.; Ruubel, R. The Contributions of Human Capital, R&D Spending and Convergence to Total Factor Productivity Growth. Reg. Stud. 2018, 52, 1598–1611. [Google Scholar] [CrossRef]
- Barseghyan, L.; DiCecio, R. Entry costs, Industry Structure, and Cross-country Income and TFP Differences. J. Econ. Theory 2011, 146, 1828–1851. [Google Scholar] [CrossRef]
- Kijek, A.; Kijek, T. Nonlinear Effects of Human Capital and R&D on TFP: Evidence from European Regions. Sustainability 2020, 12, 1808. [Google Scholar] [CrossRef]
- Chen, C.F. Green Total Factor Productivity of Chinese Industry and its Influencing Factors-an Empirical based on ML Productivity Index and Dynamic Panel Model. Stat. Res. 2016, 33, 53–62. [Google Scholar] [CrossRef]
- Liu, X.; Li, Y.C.; Chen, X.H.; Liu, J. Evaluation of Low Carbon City Pilot Policy Effect on Carbon Abatement in China: An Empirical Evidence Based on Time-varying DID Model. Cities 2022, 123, 103582. [Google Scholar] [CrossRef]
- Hsieh, C.; Klenow, P. Misallocation and Manufacturing TFP in China and India. Q. J. Econ. 2009, 124, 1403–1448. [Google Scholar] [CrossRef]
- Zhou, D.; Yuan, S.; Xie, D.C. Voluntary Environmental Regulation and Urban Innovation: Evidence from Low-carbon Pilot Cities Program in China. Technol. Forecast. Soc. 2022, 175, 121388. [Google Scholar] [CrossRef]
- Cao, Y.M.; Chen, S. Rebel on the Canal: Disrupted Trade Access and Social Conflict in China. Am. Econ. Rev. 2022, 122, 1555–1590. [Google Scholar] [CrossRef]
- Bellemare, M.F.; Masaki, T.; Pepinsky, T.B. Lagged Explanatory Variables and the Estimation of Causal Effect. J. Polit. 2017, 79, 949–963. [Google Scholar] [CrossRef]
- Kung, H.; Schmid, L. Innovation, Growth, and Asset Prices. J. Financ. 2015, 70, 1001–1037. [Google Scholar] [CrossRef]
- Zhao, S.X.; He, X.Y.; Faxritdinovna, K.U. Does Industrial Structure Changes Matter in Renewable Energy Development? Mediating Role of Green Finance Development. Renew. Energe 2023, 201, 350–358. [Google Scholar] [CrossRef]
- Wang, R.; Tan, J.L.; Yao, S.L. Are Natural Resources a Blessing or a Curse for Economic Development? The Importance of Energy Innovations. Resour. Policy 2023, 72, 102042. [Google Scholar] [CrossRef]
- Zhang, H.Y.; Chen, H.H.; Lao, K.S.; Ren, Z.Y. The Impacts of Resource Endowment, and Environmental Regulations on Sustainability-Empirical Evidence Based on Data from Renewable Energy Enterprises. Energies 2022, 15, 4678. [Google Scholar] [CrossRef]
- Lanoie, P.; Patry, M.; Lajeunesse, R. Environmental Regulation and Productivity: Testing the Porter Hypothesis. J. Product. 2008, 30, 121–128. [Google Scholar] [CrossRef]
- Li, C.Z.; Umair, M. Does Green Finance Development Goals Affects Renewable Energy in China. Renew. Energe 2023, 203, 895–905. [Google Scholar] [CrossRef]
- Mohanty, S.; Nanda, S.S.; Soubhari, T.; Vishnu, N.S.; Biswal, S.; Patnaik, S. Emerging Research Trends in Green Finance: A Bibliometric Overview. J. Risk Financ. Manag. 2023, 16, 108. [Google Scholar] [CrossRef]
- Jahanger, A.; Balsalobre-Lorente, D.; Ali, M.; Samour, A.; Abbas, S.; Tursoy, T.; Joof, F. Going Away or Going Green in ASEAN Countries: Testing the Impact of Green Financing and Energy on Environmental Sustainability. Energy Eviron. 2023, 0958305X231171346. [Google Scholar] [CrossRef]
- Lee, C.C.; Lee, C.C. How Does Green Finance Affect Green Total Factor Productivity? Evidence from China. Energe Econ. 2022, 107, 105863. [Google Scholar] [CrossRef]




| Index | Variable | Variable Description | Literature Source |
|---|---|---|---|
| Input indexes | Capital input | Net value of fixed assets (CNY 100 million) | [21] |
| Labor input | Number of employees on board (people) | [8] | |
| Remuneration of employees on board (CNY 100 million) | [10] | ||
| Innovation input | The research and test expenses of pumped storage power plants (CNY million) | [21] | |
| Intermediate input | Pumping power consumption (100 million kWh) | [21] | |
| Expected output indexes | Pumped storage power generation | Pumping power generation (100 million kWh) | [14] |
| Types | Variables | Symbols | Definitions | Literature Source |
|---|---|---|---|---|
| Dependent variable | Total factor productivity in the pumped storage industry | TFP | EBM-GML index | [38] |
| Independent variable | Whether TPT policy was implemented | DID | Equals to 1 if the region implemented a TPT policy in this year, otherwise equals to 0. | [14] |
| Mediating variable | Innovation input of pumped storage industry | inno | The research and test expenses of pumped storage power plants (CNY million) | [39] |
| Control variables | Renewable energy development | wind | Wind power generation (100 million kw·h) | [40] |
| solar | Solar power generation (100 million kw·h) | [40] | ||
| Equipment capability | num | The number of installed units of pumped storage power plants (set) | - | |
| vol | The installed volume of pumped storage power plants (10 thousand kw·h) | - | ||
| Industrial human capital | ham | The investment in employee education at pumped storage power plants (CNY million) | [41] | |
| Regional economic development | urb | Urbanization rate (%) | [13] | |
| pgdp | Per capita GDP (CNY/person) | [14] | ||
| Regional industrial structure | ind | The ratio of value added in the secondary sector to value added in the tertiary sector (%) | [42] | |
| Regional energy structure | ene | Share of coal consumption (%) | [14] | |
| ele | Share of thermal power generation (%) | [14] | ||
| Regional innovation environment | edu | Number of university students per 100,000 population (person) | [43] | |
| pat | Number of patents granted per 10,000 population (item) | [43] | ||
| Regional openness | ope | Total import and export trade as a share of GDP (%) | [44] |
| Variable | Obs | Unit | Mean | Std. Dev | Min | Max |
|---|---|---|---|---|---|---|
| TFP | 188 | - | 1.047 | 0.248 | 0.442 | 2.481 |
| DID | 188 | - | 0.484 | 0.501 | 0.000 | 1.000 |
| inno | 188 | CNY 106 | 2.332 | 1.951 | 0.017 | 8.767 |
| wind | 188 | 108 kwh | 57.443 | 70.130 | 0.000 | 317.660 |
| solar | 188 | 108 kwh | 24.201 | 44.528 | 0.000 | 206.450 |
| num | 188 | set | 5.968 | 4.485 | 2.000 | 24.000 |
| vol | 188 | 104 kwh | 4.691 | 0.849 | 2.079 | 6.590 |
| ham | 188 | CNY 106 | 0.774 | 0.438 | 0.290 | 2.381 |
| urb | 188 | % | 59.100 | 11.800 | 36.00 | 86.600 |
| pgdp | 188 | CNY 104/person | 5.530 | 2.752 | 1.005 | 16.422 |
| ind | 188 | % | 105.600 | 38.500 | 19.400 | 199.000 |
| ene | 188 | % | 92.000 | 41.700 | 2.500 | 246.100 |
| ele | 188 | % | 82.600 | 16.000 | 39.800 | 99.700 |
| edu | 188 | % | 2.800 | 1.100 | 1.400 | 6.800 |
| pat | 188 | piece | 13.296 | 14.487 | 0.366 | 61.161 |
| ope | 188 | % | 39.800 | 40.700 | 5.100 | 158.400 |
| Variable | Dependent Variable: TFP | |||||
|---|---|---|---|---|---|---|
| OLS | FE | Dynamic FE | ||||
| (1) | (2) | (3) | (4) | (5) | (6) | |
| L.TFP | −0.0695 ** | −0.1140 ** | ||||
| (0.0278) | (0.0448) | |||||
| DID | 0.0025 | 0.0901 * | −0.1150 | 0.5620 ** | 0.0681 | 0.5540 * |
| (0.0391) | (0.0487) | (0.1500) | (0.2330) | (0.0431) | (0.2990) | |
| Constant | 1.0460 *** | 1.2340 *** | 1.1430 *** | 1.1360 | 1.0370 *** | 1.2160 |
| (0.0276) | (0.3180) | (0.1330) | (0.8610) | (0.0569) | (0.8820) | |
| Control | NO | YES | NO | YES | NO | YES |
| vif | - | 8.00 | - | 8.00 | - | 8.04 |
| Province FE | NO | NO | YES | YES | YES | YES |
| Year FE | NO | NO | YES | YES | YES | YES |
| N | 188 | 188 | 188 | 188 | 172 | 172 |
| R2 | - | - | 0.124 | 0.200 | 0.153 | 0.221 |
| Variables | Dependent Variable: TFP | ||
|---|---|---|---|
| Replace Dependent Variable | Exclude Special Samples | Use Cluster Robust Standard Errors | |
| (1) | (2) | (3) | |
| DID | 0.1990 * | 0.2660 * | 0.3550 ** |
| (0.1060) | (0.1460) | (0.1450) | |
| Constant | 1.0820 ** | 1.3810 * | 1.4720 * |
| (0.3850) | (0.7740) | (0.7450) | |
| Control | YES | YES | YES |
| Province FE | YES | YES | YES |
| Year FE | YES | YES | YES |
| N | 188 | 172 | 188 |
| R2 | 0.158 | 0.203 | 0.191 |
| Variables | Dependent Variable: TFP | |||
|---|---|---|---|---|
| Two Years Ahead | One Year Ahead | One Year Lag | Two Years Lag | |
| (1) | (2) | (3) | (4) | |
| DID | 0.0447 | 0.0223 | 0.1100 ** | 0.1580 *** |
| (0.0457) | (0.0517) | (0.0463) | (0.0479) | |
| Constant | 3.5610 * | 3.4950 * | 3.1400 * | 3.8270 * |
| (1.6500) | (1.7290) | (1.6580) | (1.8560) | |
| Control | YES | YES | YES | YES |
| Province FE | YES | YES | YES | YES |
| Year FE | NO | NO | NO | NO |
| N | 125 | 125 | 125 | 125 |
| R2 | 0.249 | 0.248 | 0.259 | 0.265 |
| Variables | 1-Stage Regression | 2-Stage Regression |
|---|---|---|
| Dependent Variable: DID | Dependent Variable: TFP | |
| (1) | (2) | |
| IV | 0.4055 *** | |
| (0.0622) | ||
| DID | 0.1393 *** | |
| (0.0687) | ||
| Constant | 0.2847 | 2.2937 *** |
| (1.3563) | (0.5252) | |
| Control | YES | YES |
| N | 172 | 172 |
| R2 | 0.795 | 0.305 |
| 1-stage regression F statistic | 93.51 | |
| Cragg–Donald Wald F statistic | 34.57 | |
| Kleibergen–Paap Wald F statistic | 43.89 | |
| Kleibergen–Paap rk LM statistic | 8.93 | |
| Variables | Mediating Variable: Innovation Input | |||
|---|---|---|---|---|
| (1) | (2) | (3) | (4) | |
| Inno | TFP | Inno | TFP | |
| DID | 1.2980 *** | 0.0757 *** | 4.5180 * | 0.1100 |
| (0.3450) | (0.0258) | (2.2370) | (0.1230) | |
| inno | 0.0033 ** | 0.0110 * | ||
| (0.0055) | (0.0056) | |||
| Constant | −6.8010 ** | 1.2480 *** | −3.2380 | 1.7030 * |
| (3.1360) | (0.2210) | (4.3020) | (0.8480) | |
| Control | YES | YES | YES | YES |
| Province FE | NO | NO | YES | YES |
| Year FE | NO | NO | YES | YES |
| N | 188 | 188 | 188 | 188 |
| R2 | - | - | 0.416 | 0.150 |
| Year | 2005 | 2006 | 2007 | 2008 | 2009 | 2010 | 2011 | 2012 |
|---|---|---|---|---|---|---|---|---|
| Innovation input (CNY million/station) | 1.16 | 1.18 | 1.20 | 1.13 | 1.08 | 1.14 | 1.20 | 1.31 |
| growth rate of innovation input (%) | 3.47 | 1.30 | 2.14 | −5.94 | −4.86 | 6.08 | 5.29 | 8.67 |
| Year | 2013 | 2014 | 2015 | 2016 | 2017 | 2018 | 2019 | 2020 |
| Innovation input (CNY million/station) | 1.32 | 1.43 | 1.56 | 1.64 | 1.80 | 1.69 | 1.87 | 1.97 |
| growth rate of innovation input (%) | 1.30 | 8.05 | 9.52 | 4.98 | 9.89 | −6.12 | 10.59 | 5.18 |
| Variables | Dependent Variable: TFP | |||||||
|---|---|---|---|---|---|---|---|---|
| Geographic Location | Energy Dependence | Environmental Regulation | Green Finance | |||||
| East | Central | High | Low | High | Low | High | Low | |
| (1) | (2) | (3) | (4) | (5) | (6) | (7) | (8) | |
| DID | −0.2390 | 0.5710 ** | −0.2660 | 0.4930 * | 0.1750 | 0.2740 * | 0.5840 * | 0.0018 |
| (0.1690) | (0.2090) | (0.9360) | (0.2120) | (0.4640) | (0.1320) | (0.2890) | (0.3090) | |
| Constant | 2.2850 | 1.4800 | −6.9780 | 0.2170 | 1.5880 | −0.4610 | −0.7240 | 1.4320 |
| (1.9830) | (1.3420) | (5.8520) | (1.8450) | (1.5350) | (1.8130) | (2.4310) | (1.0690) | |
| Control | YES | YES | YES | YES | YES | YES | YES | YES |
| Province FE | YES | YES | YES | YES | YES | YES | YES | YES |
| Year FE | YES | YES | YES | YES | YES | YES | YES | YES |
| N | 125 | 63 | 106 | 82 | 87 | 101 | 111 | 77 |
| R2 | 0.253 | 0.755 | 0.239 | 0.620 | 0.5470 | 0.3060 | 0.2990 | 0.6290 |
Disclaimer/Publisher’s Note: The statements, opinions and data contained in all publications are solely those of the individual author(s) and contributor(s) and not of MDPI and/or the editor(s). MDPI and/or the editor(s) disclaim responsibility for any injury to people or property resulting from any ideas, methods, instructions or products referred to in the content. |
© 2024 by the authors. Licensee MDPI, Basel, Switzerland. This article is an open access article distributed under the terms and conditions of the Creative Commons Attribution (CC BY) license (https://creativecommons.org/licenses/by/4.0/).
Share and Cite
Yu, Z.; Li, W.; Chen, J.; Wu, B. Two-Part Tariff Policy and Total Factor Productivity of Pumped Storage Industry: Stimulation or Failure? Systems 2024, 12, 199. https://doi.org/10.3390/systems12060199
Yu Z, Li W, Chen J, Wu B. Two-Part Tariff Policy and Total Factor Productivity of Pumped Storage Industry: Stimulation or Failure? Systems. 2024; 12(6):199. https://doi.org/10.3390/systems12060199
Chicago/Turabian StyleYu, Zhen, Weidong Li, Jingyu Chen, and Bingyu Wu. 2024. "Two-Part Tariff Policy and Total Factor Productivity of Pumped Storage Industry: Stimulation or Failure?" Systems 12, no. 6: 199. https://doi.org/10.3390/systems12060199
APA StyleYu, Z., Li, W., Chen, J., & Wu, B. (2024). Two-Part Tariff Policy and Total Factor Productivity of Pumped Storage Industry: Stimulation or Failure? Systems, 12(6), 199. https://doi.org/10.3390/systems12060199

