You are currently viewing a new version of our website. To view the old version click .
Systems
  • Article
  • Open Access

11 December 2024

How Does the Digital Innovation Ecosystem Enable Green Regional Development? A Dynamic QCA Study in China

,
and
1
School of Entrepreneurship, Wuhan University of Technology, Wuhan 430070, China
2
School of Management, Wuhan University of Technology, Wuhan 430070, China
*
Author to whom correspondence should be addressed.
This article belongs to the Section Systems Practice in Social Science

Abstract

The impact of digital empowerment on green innovation is increasingly evident, enabling various subjects to improve the integration of innovation elements and enhance innovation efficacy across a broader temporal and spatial scope. A comprehensive examination of the mechanisms that underlie this process is required. This paper constructs the ‘elements-subjects-environments’ research framework of digital innovation ecosystems, collecting data from 30 provinces in China from 2017 to 2021 and using green total factor productivity (GTFP) to evaluate the level of green regional development. In this study, the dynamic qualitative comparative analysis (QCA) method is employed to analyze the intricate causal mechanisms and configurations of green regional development that are driven by digital innovation ecosystems from both temporal and spatial perspectives. The results show that: (1) green regional development requires the interaction of multiple elements, subjects, and the environment, and a single condition does not constitute a necessary condition; (2) there are four pathways with different configurations for high-level green development: data elements-driven enterprise application innovation, data elements-driven enterprise-user co-creation, data elements-driven multi-collaborative innovation, and digital environment-driven university basic innovation; (3) the temporal and spatial dimensions of China’s green regional development pathways are heterogeneous: the significance of data elements in fostering green regional development is increasing; the multi-collaborative innovation configuration is facilitating the green development of the eastern and central regions, whereas the western and northeastern regions are progressing at a relatively slow pace. This study provides theoretical and practical insights to promote the integration of digital innovation and green development.

1. Introduction

Digitalization produces significant transformations across various subjects of the socio-economic system [1], facilitating the optimization of industrial structures and improving energy efficiency, which in turn present unparalleled opportunities for green regional development [2]. Current research has shown that digital innovations by enterprises [3], users [4], universities [5], and governments [6] can improve regional green development from various perspectives. However, green regional development is a complex, systemic undertaking, and the collaborative mechanisms through which digitalization improves green development within the system are not well-defined. Therefore, this study aims to construct a comprehensive research framework for the digital innovation ecosystem, and utilizes qualitative comparative analysis (QCA) to investigate the inherent synergistic mechanisms by which combinations of innovation elements and subjects propel green regional development across various contexts. This work can facilitate the more efficient allocation of digital innovation resources and components, customized to diverse regional conditions and developmental phases, thus expediting green regional progress. The findings of this study provide substantial theoretical insights for promoting the comprehensive integration of digitalization and green transformation within regional and national innovation systems.
Many studies have explored the impact of digitization on green regional development. From a micro-technology perspective, some studies have pointed out that the deployment of digital technology will decrease carbon emissions and improve energy efficiency, leading to environmentally sustainable regional development. For instance, Wang et al. [7] constructed an evaluation index system for the level of digital technology and found that a substantial rise in digital technology adoption in China can enhance industrial energy productivity, reduce energy consumption, and decrease environmental pollution; Liu et al. [8] discovered that digital technologies can help improve energy efficiency and promote green technological innovations, lowering carbon emissions. From a meso-industry perspective, some studies have discovered that digitalization is a significant factor in the green transformation of industry [9]. For instance, Gu et al. [10] studied the Beijing-Tianjin-Hebei urban agglomeration and found that industrial digitization can enhance green development efficiency. They also found a spatial spillover effect, which can lead to green development in the surrounding regions. The upgrading of industrial structures is a means by which the digital economy fosters green regional development [11]. From a macro-policy perspective, some studies found that different digital policies will effectively curb regional carbon emissions and promote green regional development, such as the e-commerce pilot city policy [12], fiscal and tax digitization [13], digital inclusive finance [14], etc.
While previous studies have conducted preliminary investigations into how digitalization affects green regional development, with a focus on the effects of factors such as technological innovation, industrial structure, and policy environment on green regional development, the current body of research has some limitations. Firstly, green regional development is a systemic endeavor that results from the collaborative efforts of various elements and subjects. It is difficult to provide a comprehensive explanation of this phenomenon by focusing solely on one dimension. In particular, a comprehensive examination of the interactions and synergies among different subjects in the digital innovation ecosystem, including enterprises, users, and universities, in order to facilitate green development remains insufficiently explored.
Secondly, in the digital era, data have emerged as a significant determinant of production and are increasingly playing an important role in facilitating green development [15,16]. Nevertheless, the current pool of research on the impact of data elements on green development is relatively insufficient. While previous research focused on the impact of data elements on enhancing the environmental performance of firms, fostering green innovation, increasing managers’ environmental awareness, and reducing the risks associated with green corporate competition [17,18], there remains a dearth of comprehensive investigations into the ways in which data elements can effectively facilitate green regional development by interacting with other innovation elements and subjects.
Thirdly, as the world’s second-largest economy, China exemplifies a case of considerable global significance. The extensive territory demonstrates significant regional diversity, characterized by differing levels of economic development, resource availability, industrial frameworks, and policy contexts. Optimizing these regional advantages via digital policies and institutional innovations to attain synchronized green development has emerged as a significant challenge. Many countries worldwide confront the simultaneous challenges of sustaining economic growth and alleviating environmental degradation [19]. Investigating distinct regional approaches to digitally-driven green development, informed by China’s experiences, requires additional examination.
Therefore, based on the digital innovation ecosystem theory [20,21], this study provides a comprehensive analysis of the various dimensions encompassing data elements, subject traits, and institutional rules and explores how their interactions within the digital innovation ecosystem foster green regional development. We use data from 30 Chinese provinces from 2017 to 2021 to analyze how data elements, enterprise application innovation, user participation innovation, university basic innovation, digital policy environment, and digital inclusive finance coupling drive green regional development. The first step in assessing green regional development is to evaluate green total factor productivity (GTFP) using a GML index based on the SBM-GML directional distance function [22]. The necessity test of conditions on the obtained results is then performed using the NCA method [23]. The dynamic QCA method is used to analyze configurations of green regional development, considering various elements and subjects [24], which seeks to explore the complex causal relationship between green regional development and its influencing factors from both a temporal and spatial perspective. This study helps to elucidate the “black box” of the green development formation mechanism in digital innovation ecosystems, identify the core elements that drive green regional development, and establish the theoretical groundwork for high-quality and green development in China and developing economies.
This study has the potential to contribute in the following ways: firstly, it investigates the impact of data elements, which are emerging production factors, on green regional development. This research enhances the theoretical framework of green regional development through digitalization, examining the virtualization and replicability attributes of data elements and positioning them as the fundamental link among various digital innovation subjects. Secondly, this study constructs a theoretical framework that integrates digital innovation elements, subjects, and environments, allowing an in-depth analysis of the collaborative mechanisms through which various digital innovation subjects and element combinations propel green development from a systems perspective, thereby broadening the research scope in this domain. Thirdly, this study uses the dynamic (QCA) approach to explore the effects of temporal and spatial elements on green regional development, which elucidates the configurational pathways through which various elements and subjects collaboratively promote green development across diverse regions and temporal contexts, offering innovative methodological support for theoretical inquiry.

2. Literature Review and Theoretical Framework

The theory of the innovation ecosystem has undergone significant expansion and seamless integration with digital innovation, resulting in the emergence of a novel theoretical construct known as the digital innovation ecosystem. The digital innovation ecosystem is a multifaceted economic system that is founded on digital technology and data elements. It is a collaborative effort among various subjects in the field to facilitate the flow and combination of digital resources, thereby generating new products and services [20,25,26].
The ambiguity, uncertainty, and dynamics of digital innovation ecosystems have become increasingly complex due to the characteristics of digital technology and digital innovation activities, such as high plasticity and openness [27]. Consequently, the configurations of digital innovation ecosystems to drive green regional development have changed in terms of elements, subjects, forms of interaction, and environments. In terms of innovation elements, digital innovation ecosystems offer more open innovation resources for green development. The addition of data as a new production factor not only reduces the impact of traditional innovation factors on the system [15], but also increases inter-subjective synergies, altering the behavioral logic of the innovation ecosystem. In terms of innovation subjects, digital innovation ecosystems offer a more diverse and adaptable range of subjects for green development, as a result of the development of innovation subjects towards virtualization, the participation of a large number of heterogeneous subjects in the system of collaborative innovation and value creation, and more open and flexible digital innovation activities [28]. Additionally, the significance of users in the digital innovation ecosystem has increased [29]. In terms of subject interaction, digital innovation ecosystems provide more efficient and closer synergies for green development. This phenomenon has a heightened ecological nature, with subjects able to engage in more intimate interactions across multiple levels, boundaries, and spatial dimensions [30]. In terms of the innovation environment, digital innovation ecosystems build a more unique innovation environment for green development. Digital policies and financial environments can guide and regulate innovation activities, broaden the range of innovation participants, and improve the efficiency of green regional innovation, particularly in China, a policy-orientated country [31].
In contemporary times, an increasing number of countries recognize the importance of establishing a robust innovation ecosystem for developing innovation capacity and improving innovation performance. Digital innovation ecosystems emphasize the interdependence and collaboration of various subjects within the system, as well as their capacity to adapt to changes in the internal and external environments, in order to foster the creation and sharing of value [32]. This co-evolutionary relationship is also recognized as key to achieving development in innovation ecosystems [33]. The development of green innovation activities will be ensured by the influence of the environment on innovation elements and subjects in the evolution of the digital innovation ecosystem. Additionally, the innovation ecosystem can synergistically regulate the system’s evolution to provide comprehensive support for green development [34].
As a result, this study develops a theoretical framework that includes digital innovation elements (data), digital innovation subjects (enterprises, users, and universities), and digital innovation environments (digital policies and digital finance). It also conducts a thorough examination of the mechanisms by which the various subjects in the digital innovation ecosystem collaborate to drive green development. This research seeks to provide a theoretical and practical foundation for promoting high-quality and environmentally friendly development in China. The theoretical framework is shown in Figure 1. The different circles and line styles are used to categorize elements: The dashed line represents data as a basic element, flowing between subjects (enterprises, users, universities) and environments (digital policies, finance). Arrows indicate collaboration among different subjects, whereas the outer circle delineates the dynamic boundaries of the digital innovation ecosystem (refer to Appendix A for the entire analysis). This dynamic process results in the emergence of high and non-high green development, as evaluated through Green Total Factor Productivity (GTFP).
Figure 1. A theoretical framework for digital innovation ecosystems driving green regional development.

3. Methodology

3.1. Research Methods

This study uses the fsQCA approach to explore the causal and complex mechanisms of digital innovation ecosystems that drive green regional development. The reasons are as follows: Firstly, digital innovation ecosystems are typically complex systems, and green regional development is also the result of the collaborative efforts of multiple subjects and elements. It is usually difficult to explain the mechanism with a single independent factor. The QCA approach is based on Boolean algebra and set theory to explore the effect of combinations of multiple condition variables on the results [35]. This applies to the complex systems problem in this study. Secondly, the QCA approach is more flexible to the requirements of the study sample, applying not only to small and large samples but also to medium-sized samples of 10 or 15 to 50 cases. This study was conducted in 30 Chinese provinces, with a sample size that matched the method. Thirdly, because none of the condition variables in this study can be considered binary, this paper uses the fsQCA method to address the issue of set membership degrees. Finally, the traditional QCA approach often uses cross-sectional data, which ignores the sequence and dynamics of conditions. Therefore, this study uses the dynamic QCA method, proposed by Castro and Ariño [24] and supported by the R language package, to explore how various subjects and elements in the digital innovation ecosystem affect green regional development over time.
However, the fsQCA method examines whether condition variables are necessary from a qualitative standpoint. To address this limitation, this paper uses the Necessary Condition Analysis (NCA) to examine necessary relationships [23]. The NCA approach not only determines whether conditions are necessary, but it also evaluates the bottleneck levels that these conditions need to achieve to contribute to the outcome. As a result, this paper uses the NCA approach to examine the necessary relationship between multiple conditions in the digital innovation ecosystem and green regional development, followed by the fsQCA method to test the robustness of the necessity analysis results.

3.2. Research Samples and Data Collection

Every province is regarded in this study as a digital innovation ecosystem. Considering the availability of data, we formed our study’s analytic sample of 30 provinces in China (except Hong Kong, Macao, Taiwan, and Tibet). Some of the data on university basic innovation come from China’s Higher Education Steering Committee for Library and Information Work; some of the data on the Digital Policy Environment come from the China Internet Network Information Centre (CINIC); digital inclusive finance data come from ‘The Peking University Digital Financial Inclusion Index of China (PKU-DFIIC)’, released by the Peking University Digital Finance Research Center and Ant Financial Group; other data are sourced from the National Bureau of Statistics, as well as the China Statistical Yearbook, China Science and Technology Statistical Yearbook, China Environment Statistical Yearbook, China Energy Statistical Yearbook, China Urban Statistical Yearbook, and regional statistical yearbooks, covering the period from 2017 to 2021.

3.2.1. Outcome Variable: GTFP

Green total factor production (GTFP) is used in this study to evaluate a region’s green development level [2]. GTFP evaluates not only concerns about resource efficiency, but also the increased productivity that comes from green innovation and sustainable practices [36]. GTFP, as an economic efficiency indicator that incorporates resource and environmental constraints as well as traditional total factor productivity (TFP) input constraints, is critical in achieving the twin goals of economic development and environmental protection. Its growth has become an important indicator of regional environmental performance, revealing the long-term viability of economic development and the balance between economic and environmental safeguards [37].
According to Liu and Xin [22], this study adopts a GML index based on the SBM directional distance function to measure GTFP.
1.
A province K is represented as D M U k , and it uses N inputs: x = ( x 1 , x 2 , , x n ) R N + and produces M desirable outputs: y = ( y 1 , y 2 , , y m ) R M + , and I undesirable outputs: b = b 1 , b 2 , , b i R I + . Therefore, we construct the following global production possibility set:
P G ( x ) = y t , b t : t = 1 T k = 1 K z k t y k m t y k m t , m ; t = 1 T k = 1 K z k t b k i t = b k i t , i ; t = 1 T k = 1 K z k t x k n t x k n t , n ; t = 1 T k = 1 K z k t = 1 , z k t 0 , k
where z k t represents the weight of each cross-section.
2.
The global SBM directional distance function is given as follows:
S V G x t , k , y t , k , b t , k , g x , g y , g b = max s x , s y , s b 1 N n = 1 N s n x g n x + 1 M + 1 m = 1 M s m y g m y + i = 1 I s i b g i b 2 s . t . t = 1 T k = 1 K z k t x k n t + s n x = x k n t , n ; t = 1 T k = 1 K z k t y k m t s m y = y k m t , m ; t = 1 T k = 1 K z k t b k i t + s i b = b k i t , i ;   k = 1 K z k t = 1 , z k t 0 , k ;   s m y 0 , m ; s i b 0 , i
where ( g x , g y , g b ) respectively represent the direction vectors for decreasing inputs, increasing desirable outputs, and decreasing undesirable outputs; and ( s x , s y , s b ) represent inputs redundancy, desirable outputs insufficiency and undesired outputs redundancy, respectively.
3.
With reference to Oh [38], we construct a GML index based on the SBM directional distance function:
G M L t t + 1 = 1 + S V G ( x t , y t , b t , g x , g y , g b ) 1 + S V G ( x t + 1 , y t + 1 , b t + 1 , g x , g y , g b )
where G M L t t + 1 represents the change of the GML index in period t + 1 relative to period t.
This study uses capital, labor, and energy as input indicators: For capital input, we use the perpetual inventory method to measure the productive capital stock in each province. To ensure the continuity of data, they are converted into the 2017 base period using the fixed asset investment index, and the depreciation rate is 9.6% [22,39]. For labor input, we use the number of employed people at the end of the year in each province. For energy input, we use regional total electricity consumption. Output indicators include desirable output and undesirable output: For desirable output, we use the GDP of each province, and it is converted based on the year 2017. For undesirable output, we use industrial waste water, SO2 and smoke (powder) dust emissions. This study uses the GML index to represent the growth of GTFP. Data are collected for the years 2017–2022; therefore, the GTFP is calculated to be the value for the years 2018–2022 ( G M L 2017 2018 = 1 ). Additionally, considering that the performance of green total factor productivity exhibits a certain time lag, in this study, the lag period is set to one year, meaning that the condition variables from 2017 to 2021 are analyzed in relation to GTFP from 2018 to 2022. The measurement and description of variables are provided in Table 1.
Table 1. Variable measurement and description.

3.2.2. Condition Variables

Data elements: we use the number of IPv4 addresses, the number of broadband internet access ports, and mobile internet access traffic to measure the development of regional data elements [40].
Enterprise application innovation: we use the number of websites per 100 enterprises in each province, the proportion of enterprises engaged in e-commerce activities in the region, and the internal R&D expenditure of enterprises to measure the enterprise application innovation capability [41].
User participation innovation: we use mobile phone penetration rate, the number of mobile internet users, and the proportion of online retail sales in the total retail sales of consumer goods to measure the level of regional user participation in innovation [42].
University basic innovation: we use the proportion of annual funding allocated to the acquisition of electronic library resources, and the internal R&D expenditure to measure the foundational innovation capability of universities [43].
Digital policy environment: we use the number of government websites per 10,000 people, and the proportion of science and technology expenditure in the general public budget to measure regional digital innovation policy environment [44,45].
Digital inclusive finance: we use the regional Digital Financial Inclusion Index to measure the regional digital financial environment [46].
The entropy method is used to standardize the condition variables, which contain multiple measures. The weights are then computed, and composite scores for each case are obtained.

3.3. Calibration

The data of variables have to be calibrated to transform regular data into fuzzy set data, ranging from 0 to 1, before the fsQCA analysis. The three calibration points of full membership, the cross-over point, and full non-membership are 75%, 50%, and 25% [35]. To avoid cases with an affiliation of 0.5 losing their analytical validity, 0.001 was added to them, according to the existing research [35,47]. The calibration results and descriptive statistics are shown in Table 2.
Table 2. Calibration results and descriptive statistics.

4. Results

4.1. Necessity Analysis of Single Conditions

This study uses ceiling regression (CR) and ceiling envelopment (CE) to generate functions that are analyzed to obtain effect size and Monte Carlo simulation replacement test results, as shown in Table 3. If the effect size (d) is more than 0.1 and p-value is significant, it is confirmed that the condition variable is a necessary condition for the outcome variable [23,48]. The results show that the effect sizes (d) of all the condition variables are less than 0.1 and therefore do not constitute a necessary condition for high green regional development.
Table 3. NCA results.
The bottleneck level in NCA is analyzed, and the heatmap of results is shown in Figure 2. The level of bottlenecks is represented by a color scale, where the value is lower when the color is closer to yellow, higher when the color is closer to green, and there is no bottleneck level for this condition when the color is white. The bottleneck level analysis results show that 0.3% digital inclusive finance is needed to achieve 30% high green regional development; 0.5% enterprise application innovation and 1.8% digital inclusive finance are needed to achieve 70% high green regional development; 2.8% enterprise application innovation, 1.0% digital policy environment and 2.9% digital inclusive finance are needed to achieve 100% high green regional development.
Figure 2. The heatmap of NCA bottleneck level (%) analysis.
Additionally, this paper uses the necessity analysis of fsQCA to perform a robust test of the necessary results. The analysis of necessity for green regional development is shown in Table 4. The consistency of all condition variables is not greater than 0.9 [47]. The results show that a single condition variable, similar to NCA results, cannot lead to high green regional development.
Table 4. fsQCA necessity test results.

4.2. Configuration Analysis

To ensure the explanatory strength of the configuration, this study set the consistency threshold to 0.8, and the case number threshold was set to 1 and the PRI threshold to 0.75 to retain more than 75% of the case data in the truth table. The core and edge conditions are identified by comparing the nesting relationship between intermediate and parsimonious solutions; that is, conditions appearing in both intermediate and parsimonious solutions are considered core conditions, while conditions appearing only in intermediate solutions are edge conditions [47]. The configuration of high green regional development from 2017 to 2021 is shown in Table 5.
Table 5. Configuration of high green regional development.

4.2.1. Configurations of High Green Regional Development

There are four configurations to produce high green regional development with overall consistency of 0.851 and overall coverage of 0.606, as shown in Table 5.
(1)
Data elements-driven enterprise application innovation
Configuration H1’s consistency and raw coverage are 0.885 and 0.127, respectively. Regions can achieve a high level of green development using high data elements combined with high enterprise application innovation when university basic innovation and digital policy environment conditions are both absent. Therefore, we name it the ‘Data elements-driven enterprise application innovation’ model. Typical cases are: Hebei (2019, 2020, 2021) and Henan (2018, 2019). Take Hebei Province as an example: In 2021, five data centers, including the DataPort-Alibaba Zhangbei Zhongdu Grassland Data Center, the GDS Smart Data Analytics Cloud Computing Center, and the Tencent Huailai Dongyuan Cloud Data Center, were chosen as national green data centers, making Hebei first in the country in terms of the number of centers. These data centers provide enterprises with robust computing capacity and data resources while also achieving more energy-efficient, low-carbon green operations [49]. Meanwhile, the electronic information industry chain in Hebei is complete, and as major enterprises continue to gather, in 2021, the province’s electronic information industry achieved a main business income of CNY 236.77 billion, an increase of 22.4% year on year. Henan has persistently pushed for the growth of Luoyang Big Data Industrial Park, Puyang Big Data Wisdom Ecological Park, and Hebi 5G Industrial Park from 2018 to 2019, leading to the consolidation of numerous high-caliber digital industries. By 2018, such initiatives had attracted more than 150 enterprises in the big data sector, resulting in an industrial output value of CNY 15 billion. The rapid growth and clustering of the digital industry in Henan effectively realized the potential of data elements, accelerating the transformation of green technologies and reducing energy consumption. In the digital age, enterprises can use data as an innovative tool to improve production efficiency, reduce energy consumption, and achieve a win-win situation in terms of economic and environmental benefits, providing a strong impetus to support the region’s green development [50]. Additionally, the rapid flow and transformation of data elements have enabled regions to achieve digital industry clustering, providing strong impetus to support the region’s green development [51].
(2)
Data elements-driven enterprise-user co-creation
Configuration H2’s consistency and raw coverage are 0.825 and 0.162, respectively. Regions can achieve a high level of green development using high data elements, high enterprise application innovation, and high user participation innovation when digital inclusive finance is absent. Therefore, we name it the ‘Data elements-driven enterprise-user co-creation’ model. Typical cases are: Sichuan (2017, 2018, 2019) and Shandong (2017, 2018), etc. Sichuan Province, for example, established the first national supercomputing center in western China, and Huawei Kunpeng Ecological Base and China Telecom Cloud Computing Centre were built to form the ‘supercomputing and intelligent computing and cloud computing and edge computing’ model, which provides advanced arithmetic power and data resources to enterprises, universities, and the government. At the same time, Sichuan’s high-tech enterprises were rapidly developing, with more than 5600 national high-tech enterprises in Sichuan Province in 2019. Data-driven decision-making and management helped to reduce resource waste and energy emissions while helping enterprises to improve production efficiency [52]. In addition, Sichuan’s permanent population reached 83.75 million in 2019, with a total annual mobile Internet user access flow of 5.84 billion GB, as a result of the acceleration of industrial transfers from the eastern regions and the advancement of the Western Development Strategy between 2017 and 2019. Shandong showed comparable tendencies. From 2017 to 2018, digital assets in the province were continuously improved as a result of operators such as China Mobile and China Unicom expanding or establishing data centers. Simultaneously, the rate of industrial digital development in the region grew. Leading the nation in 2017, Shandong invested CNY 1.67 trillion in technological advancements, resulting in a 3.2% reduction in energy consumption in large-scale industries. The strong mobile Internet user flow can provide a large amount of green product consumption data, and provide directional guidance for enterprises’ green innovation, promote market expansion of green products, and further stimulate the vitality of green regional development [53].
(3)
Data elements-driven multi-collaborative innovation
Configuration H3’s consistency and raw coverage are 0.864 and 0.453, respectively. Regions can achieve a high level of green development using high data elements, high university basic innovation, high digital inclusive finance amid high enterprise application innovation, and high digital policy environment. Therefore, we name it the ‘Data elements-driven multi-collaborative innovation’ model. Typical cases are: Beijing (2017, 2018, 2019, 2020, 2021) and Hubei (2018, 2019, 2020, 2021), etc. Taking Beijing as an example, Beijing is the forerunner of the national digital economy, with a relatively complete data infrastructure, data training center, intelligent computing power center, and so on, to help different subjects effectively use digital resources to achieve green technology development. In the meantime, Peking University, Tsinghua University, Beijing Institute of Technology, and other top universities in the country are gathered here, taking advantage of regional data elements and arithmetic resources to achieve major technological breakthroughs in a variety of cutting-edge fields. Furthermore, Beijing’s digital financial inclusion efforts continued to increase, and the average household loan balance of small and micro-enterprises achieved a significant reduction in pressure; in 2021, the number of small and micro-enterprise loan households in the Beijing banking sector increased by more than 100,000 year-on-year, and the average household loan balance of small and micro-enterprises decreased by CNY 2,395,000 year-on-year. From 2018 to 2021, over 80 data centers were operational in Hubei Province, accommodating more than 108,000 server racks. A prime example of this is the Three Gorges Big Data Centre, a zero-carbon data center that utilizes cutting-edge digital technologies to significantly reduce energy consumption. Hubei is also the educational center of central China, with renowned universities like Wuhan University and Huazhong University fostering advancements in addressing green regional challenges by providing cutting-edge research and talent. Additionally, Hubei has made significant progress in the field of digital inclusive finance. Digital financial institutions were able to provide essential loans to small businesses and rural areas in townships by 2021, with a coverage rate of 96.53%. The rapid flow and transformation of data elements not only significantly enhance enterprise innovation capabilities but also accelerate collaboration with universities and users, fostering a multi-collaborative innovation ecosystem. Digital policy and digital inclusive finance help enterprises obtain the capital required for digital innovation by lowering investment and financing costs, while the multi-collaborative digital innovation ecosystem encourages regional industrial upgrading and green development [54,55].
(4)
Digital environment-driven university basic innovation
Configuration H4’s consistency and raw coverage are 0.870 and 0.073, respectively. Regions can achieve a high level of green development using high university basic innovation and high digital policy environment, when data elements and enterprise application innovation are both absent. Therefore, we name it the ‘Digital environment-driven university basic innovation’ model. Typical cases are: Tianjin (2019, 2020, 2021). Tianjin, for example, published a series of digital policies, such as the Tianjin Action Program for Promoting the Development of the Digital Economy (2019–2023) and the Tianjin Three-Year Action Program for Accelerating Digital Development (2021–2023) to encourage the participation of various subjects in collaborative innovation. Meanwhile, in terms of digital inclusive finance, Tianjin increased loan investment for SMEs by increasing specialized loans, agriculture-related loans, lowering the cost of loans, and providing risk guarantees, among other measures. Effective digital policy implementation and digital inclusive financing foster a more open innovation environment for green regional development by allowing for the efficient flow and allocation of resources such as capital, technology, and talent within the region. Between 2019 and 2021, universities in Tianjin, represented by Tianjin University and Nankai University, leveraged their strong expertise to achieve significant advancements in digital-related fields. These achievements have been integrated into local industries, such as the State Grid’s photovoltaic energy storage industry, accelerating the integration of digital and green technology and reducing energy consumption and emissions, promoting overall green regional development. Universities are instrumental in the advancement of green regional development by serving as primary knowledge producers and collaborating with governments [56]. Funding support, policy incentives, and resource sharing are all examples of the favorable external environment that digital policies foster for university-based basic innovation. This not only enhances their initiative in researching digital technologies but also fosters the commercialization and industrial application of universities’ innovation [57].

4.2.2. Configurations of Non-High Green Regional Development

There are six configurations which produce non-high green regional development with overall consistency of 0.848 and overall coverage of 0.702, as shown in Table 6.
Table 6. Configuration of non-high green regional development.
In configurations L1 and L2, non-high antecedent conditions are either core or peripheral conditions, and there is no presence of high antecedent conditions. This underscores the fact that the digital innovation ecosystem is impeded by the absence of any essential elements, subjects, or environmental factors, which restricts green regional development. In configurations L4, L5, and L6, the lack of data as a core condition for digital innovation limits green development, despite the presence of other conditions as core or peripheral conditions. Data are fundamental for advancing green technology innovation and improving production efficiency. The isolated presence of other conditions is inadequate to promote significant advancement in green development without data. Configuration L3 further demonstrates that, while data are a critical condition, the absence of other conditions—such as enterprises, universities, or policies—results in failure to achieve high green development.
The majority of cases occur in Qinghai, Gansu, Xinjiang, Inner Mongolia, Guangxi, Jilin, Heilongjiang, Liaoning, and other western and northeastern regions. In these regions, the underdevelopment of digital and physical infrastructure poses significant challenges to digital innovation and green development, as it limits the foundation for data flow and utilization [58]. Local enterprises often lack the resources and capacity for innovation, while universities and users in these regions show lower levels of participation in digital and green initiatives. Additionally, regional governments may tend to prioritize economic growth over sustainability, resulting in insufficient policy support or incentives for green transitions [59]. The impetus for green development is undermined by the combination of these conditions, which restricts the ability of these regions to effectively leverage digital innovation ecosystems to improve GTFP.

4.3. Temporal and Spatial Bidimensional Evolutionary Pathways of High Green Regional Development Configurations

China’s green regional growth pathways vary among provinces and phases, reflecting the diversity and unevenness of innovation elements, subjects, and environments. Figure 3 shows the evolution of the provinces covered by the high green development configurations (H1, H2, H3, and H4) from 2017 to 2021. By projecting the cases representing different configurations over time onto a map, the temporal and spatial effects in these configuration pathways become more visible. The use of different colors in the figure represents the four configurations, and the white color indicates areas with no data or non-high green development, allowing for a clear visual distinction and aiding in the analysis of their geographic distribution and evolution over time.
Figure 3. Evolutionary pathways of high green development configurations (2017–2021). Note: subfigures (ae) correspond to the provinces covered by the high green development configurations, 2017–2021, respectively.
In terms of temporal dimension, configuration H1 (data elements-driven enterprise application innovation) did not take shape in 2017, but has steadily emerged since 2018, first represented by Henan Province. It peaked in 2019 and included both Henan and Hebei provinces. Since then, the field of application for configuration H1 has shrunk, with only Hebei remaining in this pathway after 2020. Since 2017, configuration H2 (data elements-driven enterprise-user co-creation) has been able to explain the green development pathways in regions such as Jiangsu, Zhejiang, Guangdong, Sichuan, and Shandong and was the configuration that covered the most cases in that year, implying that H2 was the main pathway for high green regional development in 2017. However, various green regional development configurations shifted over the next two years, and by 2019, only Sichuan and Hunan were covered by this pathway. Configuration H3 (data elements-driven multi-collaborative innovation) initially covered only Beijing in 2017, but has since expanded to include Jiangsu, Zhejiang, Shandong, Guangdong, Sichuan, Hunan, Hubei, Anhui, Fujian, and other regions. It is the primary pathway for green development in the current region. Tianjin has represented configuration H4 (digital environment-driven university basic innovation) since 2019 and will continue to do so until 2021.
In terms of the spatial dimension, the high green development pathways mostly serve the economically developed regions of the center and east. Beijing, Guangdong, Zhejiang, Jiangsu, and Sichuan are typical cases, with most provinces retaining high levels of green development until 2021. Furthermore, the transformation of high green regional development pathways shows that each province presents a unique green development pathway in different development periods, while the current trend shows that as the digitalization process deepens, the green development path is gradually shifting to configuration H3 (data elements-driven multi-collaborative innovation).

4.3.1. Temporal Effects Analysis on High Green Development Configurations

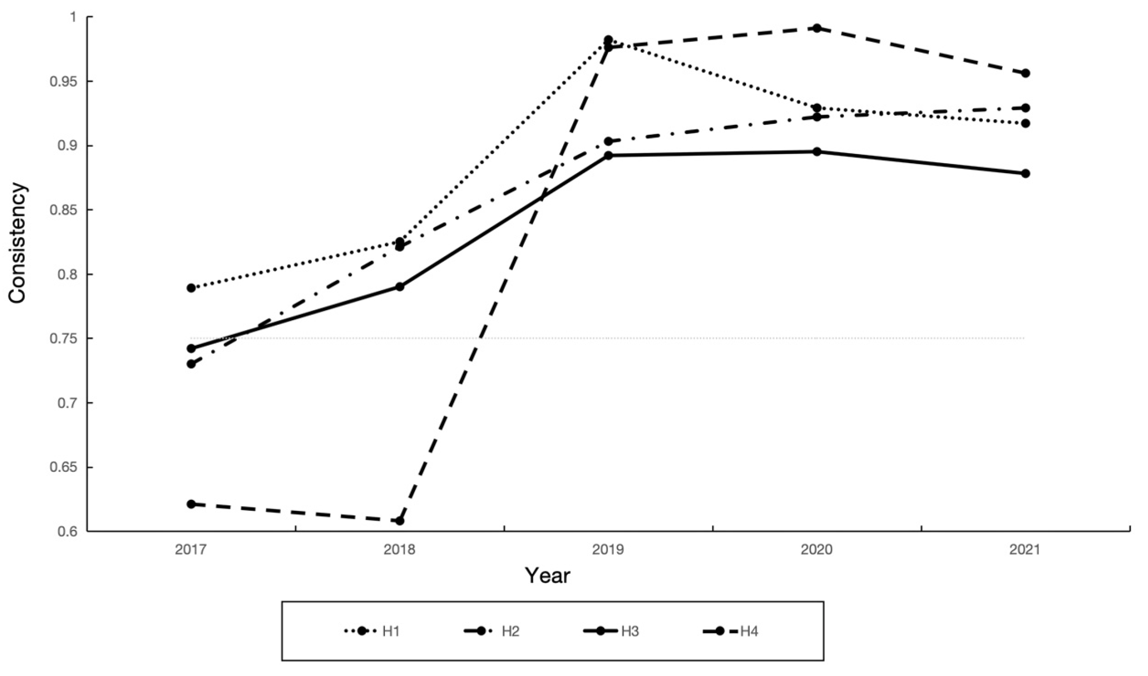
To further investigate the temporal effects of high green development configurations, this study discusses the between-consistency adjusted distance and the changes in consistency for each configuration. The results of the between-consistency adjusted distance are shown in Table 5. Between-consistency adjusted distances for configurations H1, H2, and H3 are 0.104, 0.116, and 0.096, respectively, which are less than the threshold value of 0.2, and there is no obvious temporal effect; in contrast, the between-consistency adjusted distance for configuration H4 is 0.275, which is greater than 0.2, and there is a significant temporal effect [24].
Combined with changes in the consistency level between configurations (as show in Figure 4), we find that the consistency level of configuration H1 (data elements-driven enterprise application innovation) was higher than the minimum acceptable standard of 0.75 in 2017–2021 [60], which demonstrates that this pathway has a stable validity in promoting green development. Specifically, the level of consistency of configuration H1 increased rapidly between 2017 and 2019, peaking in 2019, which demonstrated the strong short-term impetus of data elements and enterprise application innovation for green development. After 2019, the effect of H1 began to weaken and become more stable, which reflected the limitations of the ‘data elements-driven enterprise application innovation’ model: when the accumulation of data elements and enterprise application innovation capacity reaches a certain level, its marginal effect on green development may diminish. At this stage, relying solely on data elements and green innovation enterprise inputs may be insufficient to produce long-term improvements in green regional development.
Figure 4. Changes in the level of consistency between configurations (2017–2021).
The consistency of configuration H2 (data elements-driven enterprise-user co-creation) is lower than 0.75 in 2017, which may be attributed to the nascent stage of the digital economy, where enterprises had a limited capacity to leverage data elements and had not yet fully utilized user feedback to drive green innovation. Additionally, user engagement in green development was still emerging, resulting in the green development pathway being less significant during this period. From 2018 onwards, configuration H2’s consistency steadily improved. The accelerated flow of information and feedback mechanisms driven by data elements raised user awareness of green products and services, while also enabling enterprises to respond quickly to users’ demands. This contributed to the optimization and widespread adoption of green technologies. This bidirectional interaction is expected to further advance green regional development.
The consistency of configuration H3 (data elements-driven multi-collaborative innovation) fell below 0.75 in 2017, most likely due to difficulties with data acquisition and utilization encountered by various subjects during the early stages of digital infrastructure development. At the time, the multi-subject synergy mechanism had not yet been fully established, and the role of data elements in fostering collaborative efforts towards green development remained limited. The deeper integration of data elements facilitated closer collaboration and interaction among enterprises, users, universities, and governments, collectively advancing green regional development. Notably, the consistency for configuration H3 peaked in 2019. In the following two years, the consistency of this pathway fluctuated and declined moderately, though to a lesser extent, posing new challenges for the future of multi-collaborative innovation-driven green development. For instance, the impetus of multifaceted collaborative innovation may be diminished in specific regions or phases as a result of the new constraints imposed by legal and policy issues regarding data privacy, security, and data sharing [61].
In both 2018 and 2019, the consistencies for configuration H4 (digital environment-driven university basic innovation) were below 0.75, indicating that this pathway had insufficient influence on green development during this period. Although regions have begun to recognize the potential of digital policies and digital inclusive finance in driving green development, the implementation of related policies and financial inclusion remain inadequate, and the advancement of green development is constrained at the initial stages of investment. The consistency of H4 increased significantly after 2019 and remained for the next two years. The scope of support for various innovation subjects within the ecosystem was broadened by enacting a series of policies to advance digitalization and build a digitally inclusive financial environment. This significantly increased the innovation capacity and willingness of other regional subjects to engage in green innovation, resulting in strong institutional and environmental support for green development.
Overall, the pathways to green development across China’s regions exhibit variability at different stages. Notably, the consistency of the data elements-driven green development pathways (H1, H2, and H3) demonstrates smoother overall fluctuations, indicating greater stability. Despite facing varying limitations, these configurations consistently highlight data elements as the central driver, underscoring their critical role in advancing green regional development. In contrast, the fluctuation observed in configuration H4 is relatively pronounced, reflecting a more complex evolutionary pathway. Environmental factors play a particularly crucial role in shaping this configuration’s development pathway. Initially, inputs related to digital policy and digital financial inclusion within the innovation ecosystem may not significantly enhance the level of green development and could even lead to brief periods of regression or fluctuation. However, their impact notably intensifies in later stages, demonstrating a robust momentum for development.

4.3.2. Spatial Effects Analysis of High Green Development Configurations

To further investigate the spatial effects of high green development configurations, this study discusses the within-consistency adjusted distance. The results of the within-consistency adjusted distance are shown in Table 5. Within-consistency adjusted distances for configurations H1, H2, and H3 are 0.213, 0.322, and 0.253, respectively, which are more than the threshold value of 0.2, and thus may have a significant spatial effect [24]. Given that the current dynamic QCA has not developed appropriate methods to further explore spatial effects (within-group effects), this study uses the Kruskal–Wallis H test to identify if there was a statistically significant variation in the coverage of pathways across various regions [62]. The 30 provinces were divided into four major regions based on economic criteria: east, center, west, and northeast. Additional regional classification variables were introduced. Furthermore, the samples underwent preliminary testing for regional categorization to determine whether there are differences in the extent of coverage of each configuration across regions. The results of the Kruskal–Wallis H test are shown in Table 7. The results show that there are significant regional differences (p < 0.01) in configuration H3, so further analysis of the pairwise comparisons is necessary.
Table 7. Results of the Kruskal–Wallis H test.
The coverage of configuration H3 (data elements-driven multi-collaborative innovation) varies primarily in the eastern and northeastern regions (0.008 ***), eastern and western regions (0.003 ***), central and northeastern regions (0.015 **), and central and western regions (0.010 **). This variation highlights the disparities in green development levels across China’s various regions. The data-driven green development model, which involves collaboration among enterprises, users, universities, and the digital environment, has emerged as the most popular strategy for advancing green development in the eastern and central regions. This phenomenon can be attributed to stronger digital infrastructure, higher enterprise innovation capacity, increased user participation, and stronger policy support in these areas, all of which contribute to the effectiveness of multidimensional collaborative innovation. In contrast, the western and northeastern regions face challenges due to weaker digital infrastructure, less dynamic enterprise environments, and insufficient policy support. As a result, the advancement of this pathway in these regions is still in its early stages, necessitating additional development. To facilitate coordinated green regional development in the western and northeastern regions, relevant departments should integrate local industrial and cultural features, strengthen digital infrastructure and policy support, and maximize the synergistic and multiplying impact of data elements.

4.4. Robust Analysis

To test the robustness of the results, the case threshold was raised from 1 to 2, and the results of the configuration remained essentially unchanged (Table 8); the consistency threshold was raised from 0.8 to 0.85, and the results of the configuration remained essentially unchanged (Table 9). Therefore, the results of this study are robust.
Table 8. Raising the case threshold from 1 to 2.
Table 9. Raising the consistency threshold from 0.8 to 0.85.

5. Conclusions and Implications

5.1. Conclusions

This paper constructs a theoretical framework of the digital innovation ecosystem that includes data elements as the innovation element and considers enterprises, users, and universities as innovation subjects, while policies and inclusive finance represent the innovation environment. It investigates the interactions between these elements, subjects, and the environment. The study uses a GML index based on the SBM directional distance function to assess Green Total Factor Productivity (GTFP) across various Chinese provinces, as well as dynamic QCA to explore the pathways through which the digital innovation ecosystem promotes green development. The main findings of the study are as follows:
  • A single condition—such as data elements, enterprise application innovation, user participation innovation, university basic innovation, digital policy environment, and digital inclusive finance—is not a necessary condition for efficient green development; high green regional development requires the interaction of multiple elements.
  • There are four pathways to achieving high green regional development, characterized by a causal asymmetry of ‘All roads lead to Rome’, namely ‘data elements-driven enterprise application innovation’, ‘data elements-driven enterprise-user co-creation’, ‘data elements-driven multi-collaborative innovation’, and ‘digital environment-driven university basic innovation’.
  • The configurations of digital innovation ecosystems driving green development vary in the temporal and spatial dimensions. Temporally, data elements serve as a core driving force that steadily advances green regional development, with their significance increasing annually. Spatially, the efficiency of digital innovation ecosystems in driving green development varies significantly by area in China. The eastern and central regions have achieved significant success using the multi-collaborative innovation pathway; however, the western and northeastern regions lag behind, owing to a lack of crucial aspects such as data elements.
The results of this study are relevant not only to China but also offer significant insights for other developing nations confronting the simultaneous challenges of industrialization and digitalization. These nations frequently encounter challenges, including inequitable resource allocation, constrained digital competencies, and unstable economic frameworks. This study presents four pathways (H1–H4) of the digital innovation ecosystem that provide practical guidance. In instances of inadequate digital infrastructure and substantial pressure on enterprises to digitally innovate, the implementation of digital policies and digital inclusive finance can mitigate digitalization expenses for enterprises while addressing obstacles in the transfer of technological advancements between universities and firms, thus facilitating the convergence of digital and green technologies. Meanwhile, directing the demand for the amalgamation of digital and green outcomes can enhance user engagement in the digital innovation process, expediting the commercialization of the convergence of digital and green technologies, and ultimately elevating the green development level of developing nations.

5.2. Implications

This study can provide valuable insights into the implementation of green development in China and other developing economies. First, green development is the result of a collaborative interaction between multiple subjects and elements within the digital innovation ecosystem. It is recommended that regions adopt a system view to improve integration and collaborative relationships among firms, universities, users, and other subjects. Considerable focus is given to the evolution of the function of users in the digital age, as well as the establishment of a diversified, collaborative, and effective digital innovation ecosystem.
This study also emphasizes the significance of data elements within digital innovation ecosystems for green development. Our findings show that the importance of data elements in green regional development is increasing. As a result, the appropriate departments should improve the collection, integration, and oversight of individual, organizational, and regional data. The departments should accelerate the development of data storage and transmission infrastructure, improve the market system for data elements, fully utilize the benefits of data volume, and persistently promote the role of data elements. However, leveraging data elements to promote green development may encounter challenges related to data privacy and security, potentially impeding progress. On the one hand, the extensive collection and utilization of data may lead to privacy violations, thereby affecting public and business trust in digital technologies. The erosion of trust might reduce the willingness to share data, consequently restricting its application in green technology innovation [63]. On the other hand, inadequate digital infrastructure in some regions and unequal access to digital tools among various subjects accelerate the digital divide, limiting the utilization of data elements in less-developed areas and hindering green regional development [64]. We propose enhancing data security regulatory frameworks through the promotion of data encryption technologies, the improvement of privacy protection laws, and the fortification of data-sharing platform security to ensure data safety and compliance, thereby fostering trust in data sharing. Furthermore, subsidies and skill training can reduce barriers to accessing digital tools, facilitating equal participation among subjects in data-driven green development.
In the case of emerging economies like China, it is necessary to create distinct green development strategies based on the available resources in various regions. Furthermore, encouraging digitization is critical for driving green regional development that is suited for particular local circumstances. For example, it is recommended to gradually accelerate the construction of digital infrastructure, such as 5G networks and fiber broadband, in energy development areas and remote western regions to enhance data flow and transformation efficiency. Local universities and enterprises can simultaneously promote cross-regional innovation by establishing close collaborations with leading institutions and businesses in neighboring provinces, such as Shanxi and Sichuan, which exhibit higher levels of digital development. By utilizing the plentiful natural resources in western regions, including solar, wind, and hydropower, initiatives may prioritize the advancement of clean energy projects and the exploration of the integration of digital and green technologies in sectors like renewable energy equipment manufacturing and smart energy management. In the northeastern region, where traditional industries encounter significant pressures from structural transformation, it is advisable to enhance support via digital policies. Pilot digital economy policies should drive the green upgrading of traditional industries, leveraging smart manufacturing technologies to optimize production processes, as part of the revitalization strategy of the Northeast. The Northeast hosts several universities, including Northeastern University and Harbin Institute of Technology, recognized for their significant contributions to advanced industrial research. Policies may be implemented to enhance collaborations between regional enterprises and universities, thereby expediting the commercialization of digital technologies. Moreover, digital inclusive financial support is essential for both regions. Creating specialized digital financial service centers to provide targeted loans and financing options for enterprises can promote active participation in green projects among businesses and users, which would improve the region’s green development.
Previous studies indicate notable disparities in green development performance, policy implementation, and the influence of digital technologies between developed and developing countries [65,66,67,68]. Transition economies differ from developed nations, where infrastructure, industrial structures, and institutional conditions are well-established. Our study, based on China—the largest developing economy—provides a promising new context for the generalizability of the research findings to other developing countries. According to the study by Cui et al. [69] on China and the Belt and Road countries, while developing nations face similar green development challenges, the pathways they adopt differ significantly. Therefore, in advancing green development, various nations can utilize these pathways in accordance with their specific national circumstances. Some countries may be better equipped for a data-driven enterprise innovation model, whereas others may depend more on digital policies and digital inclusive finance support. The primary suggestion is that each nation can selectively refer to suitable digital innovation and green development strategies according to its unique conditions rather than conforming to a universal model. Furthermore, our research shows that the importance of data elements is steadily increasing in supporting green development in China. The swift progression of digital technologies has positioned data as a crucial asset for driving innovation. Other developing nations should emphasize the significance of data elements. By leveraging China’s experience, these nations can optimize data resource development and utilization, foster the amalgamation of digital and green technologies, and consequently propel green development. By establishing a robust data infrastructure and enhancing data circulation and sharing mechanisms, developing countries can optimize the value of data during their digital transformation, thereby securing a competitive global advantage in green development.

5.3. Limitations

This study has several limitations that present opportunities for future investigations. Firstly, this study considers data elements, enterprise application innovation, user participation innovation, university basic innovation, digital policy environment, and digital inclusive finance as antecedent conditions that influence green development in the digital innovation ecosystem. However, the investigation of these factors is still somewhat incomplete. Future studies may enhance and broaden these dimensions, especially considering the increasing influence of artificial intelligence (AI) on diverse subjects within the ecosystem [70]. For instance, investigating how AI enhances digital innovation ecosystems to promote green development, or analyzing AI as a pivotal component within the innovation ecosystem and its potential effects on green development strategies. Conducting research on AI-driven innovation ecosystems or artificial intelligence innovation ecosystems could provide fresh insights for future research. Furthermore, it is advisable to broaden the research scope by examining additional developing countries to assess green development pathways within diverse cultural and national contexts. The impact of digital innovation ecosystems on green development may vary between developed and developing nations due to differing conditions, necessitating further investigation. Comparative analyses across regions and nations may yield extensive theoretical and practical insights to guide green global development strategies.
Secondly, given the constraints of data availability, this study consults the relevant literature and selects some scientific and technological statistics to describe the indicators of condition variables, which may have certain limitations. Future research could expanded and refine this aspect in several key directions. First, it is necessary to integrate dynamic and real-time data in order to establish a more comprehensive and scientific evaluation system for data elements. Using digital technologies such as big data analysis and artificial intelligence to quantify the flow, sharing efficiency, and utilization value of data elements can offer a more nuanced understanding of their dynamic impact on green development. Second, future research can expand the scope of data sources by incorporating micro-level data from enterprises and meso-level data from industries [71], which would assist in the identification of the collaborative mechanisms and specific contributions of various actors within the digital innovation ecosystem.
Thirdly, given the nascent stage of research on digital innovation and green development, this paper has limited its data analysis to the years 2017–2021. However, it is crucial to acknowledge that dynamic evolution is a significant aspect of the digital innovation ecosystem. Future research may focus on gathering extended time-series data to examine the trends of digital innovation and sustainable development over time, or implement a phased or segmented methodology to examine the effects of the digital innovation ecosystem on green development across various stages, including early, mid, and mature phases, to reveal patterns in ecosystem evolution. Moreover, concentrating on pivotal years associated with significant policy alterations or technological advancements (e.g., the implementation of digital economy policies or the extensive utilization of artificial intelligence) may yield critical insights into their distinct effects on digital innovation ecosystems and green development. Furthermore, studies can create simulation models based on digital innovation ecosystems to better understand how green regional development performs over time and in various spatial contexts. This approach can uncover a more comprehensive mechanism for the dynamic development of green regional development.

Author Contributions

L.L.: Writing—review and editing, Methodology, Conceptualization. Y.Z.: Writing—original draft, Data curation, Visualization. D.X.: Writing—review and editing, Validation, Supervision. All authors have read and agreed to the published version of the manuscript.

Funding

This work was supported by MOE (Ministry of Education in China) Project of Humanities and Social Sciences (Project No. 21YJC630063).

Data Availability Statement

Data will be made available on request.

Conflicts of Interest

The authors declare no conflicts of interest.

Appendix A

Appendix A.1. The Impact of Digital Innovation Elements on Green Regional Development

Data elements have emerged as a significant determinant of production, following technology, capital, labor, and land. They play a crucial role in promoting green development and high-quality economic growth. On the one hand, data elements possess the attributes of virtualization, substantial capacity, diverse types, and significant application value. These qualities facilitate the efficient flow and integration of data within the virtual environment [72]. A variety of data types have the potential to overcome the constraints imposed by geographical and functional divisions of work, and can be quickly utilized and modified within innovation ecosystems. This type of data transparency at the spatial level can not only maximize the impact of data utilization by different subjects but also strengthen collaboration among different subjects, improve the effectiveness of green innovation technology development, and stimulate economic growth towards sustainable transformation. On the other hand, the shareability and replicability of data elements provide significant opportunities for improving the flow and accessibility of green information across multiple subjects. Large-scale application of digital technology enables enterprises to use data elements for more efficient prediction, modeling, and analysis of various green trends [73], providing strong support for long-term economic growth. In addition, as the scale and diversity of data grow and the number of users increases, data, as an unlimited resource, can continually give meaningful contributions to various subjects. They not only enhance energy efficiency in the manufacturing process and reduce pollutant emissions, but also create positive externalities with other production factors across various application scenarios, thereby facilitating the economy’s transition towards environmentally sustainable and high-quality development [15].

Appendix A.2. The Impact of Digital Innovation Subjects on Green Regional Development

Appendix A.2.1. Enterprise Application Innovation

Enterprises play an important part in the innovation system by engaging in innovative activities. Through independent research and development or the implementation of advanced digital technologies, they change conventional production methods and business processes, resulting in the creation of new products, services, and business models that are better suited to the green era, realizing a breakthrough in green innovation [74]. Meanwhile, propelled by market demand, user expectations, and governmental guidance, enterprises can actively acquire and evaluate market input and implement green innovation [75]. These actions can enable enterprises to achieve lower energy costs and emission reductions, improve efficiency and performance in their manufacturing processes, and enhance their market competitiveness, establishing a mutually beneficial outcome in terms of both economic and environmental advantages [50,76]. In addition, enterprises may develop digital platforms and collaborate with other subjects (e.g., universities) to conduct research on green technologies and sustainable development, leading to increased industrialization and commercial viability [77,78]. This not only promotes green collaboration between enterprises and other subjects in the system, but also achieves green synergy and optimization throughout the industrial chain [51].

Appendix A.2.2. User Participation Innovation

Users are not only consumers of environmentally friendly products, but also important contributors to the development of green innovation. On one side, users now have unprecedented access to green knowledge and information through online and offline science popularization platforms, which has led to ongoing shifts in environmental consciousness, consumption patterns, and product expectations [79]. This shift will result in an environmentally friendly shift in product design and manufacturing to meet the needs of users and the market [80]. Enterprises will adopt eco-friendly technologies and processes to compete and achieve green production, influenced by users’ preferences for green consumption. On the other hand, users, as significant influencers in society, play an important role in motivating governments, corporations, and other subjects to engage in green innovation [81]. User participation in the government’s environmental policy development and implementation process through online platforms such as opinion gathering and social monitoring not only increases the government’s and enterprises’ transparency and accountability in environmental protection, but also facilitates the successful implementation of green policies [82]. Furthermore, the large user population has accumulated a significant amount of data resources while using green products and actively contributing to digital innovation. Such data can reflect users’ consumption habits and preferences, revealing potential green development requirements and trends. Enterprises and institutions, as major players in the digital innovation ecosystem, can employ data analysis to better understand the needs of users. This understanding can help them improve their green products and services, resulting in significant new value [53].

Appendix A.2.3. University Basic Innovation

Universities are another important player in the digital innovation ecosystem. As knowledge creators at the front end of the product innovation cycle, universities bear the burden of basic and applied research, which is vital for fostering the integration of cutting-edge digital technologies and green technologies [56]. On the one hand, universities help to commercialize basic research through technology transfer, derivative products, and other scientific and technological achievements. Broad integration between industry and academia facilitates the effective transfer of digital technology to industry, enhancing the productivity of traditional industries and fostering green growth in the region [5]. On the other hand, by cultivating professionals who possess both digital proficiency and green consciousness and directing them towards enterprises and associated sectors, universities can facilitate the transition of enterprises towards digitalization and augment their capacity for green innovation [56]. These talents will not only be able to initiate environmentally friendly changes within their organizations, but they will also be able to lead the transformation of various industries by encouraging the integration of digital technologies and green innovations. This will allow for long-term regional development. Moreover, universities extensively promote green concepts and environmental protection knowledge through digital education and research activities, thereby increasing societal environmental consciousness and green consumption habits. For instance, universities may help users in raising awareness of green products and services through online environmental campaigns, green technology exhibits, and participation in sustainability courses, which will foster the formation and expansion of green markets [83].

Appendix A.3. The Impact of Digital Innovation Environments on Green Regional Development

Appendix A.3.1. Digital Policy Environment

Digital policies provide direction and help to subjects in the digital innovation ecosystem as they engage in green innovation. On the one hand, digital policies improve and organize access to digital resources for enterprises, universities, users, and other subjects by establishing digital infrastructure [84]. By developing and implementing digital policies for data privacy and data sharing, it is possible to ensure the rapid and efficient integration of data within legal and secure frameworks. This provides a solid data foundation for various subjects to develop and implement green technologies, promoting continued progress in green development. On the other hand, digital policies provide financial incentives to enterprises, universities, and other innovators in order to promote green regional innovation vitality [55]. Due to the substantial financial investments, extended production cycles, and technical challenges associated with green innovations, many subjects are hesitant or inclined to impede the development of green innovations without adequate safeguards [85]. Therefore, adopting digital policies, such as tax incentives and financial subsidies, can help advance the use of digital technology in green innovation [57]. These measures not only reduce risks and expenses associated with green innovation, but also increase enthusiasm for innovation among various subjects, boosting the overall dynamism of green innovation in the region. Additionally, effective digital policy limitations are critical for governing and monitoring various subjects’ digital innovation activities. For instance, stringent regulations and other measures can effectively monitor and direct enterprises, universities, and other subjects to follow green development principles while implementing digital innovations [86]. This will help to reduce energy consumption and environmental pollution, while also encouraging resource efficiency and environmental sustainability.

Appendix A.3.2. Digital Inclusive Finance

Digital inclusive finance, as a novel financial digital service within the digital innovation ecosystem, enhances the inclusivity of finance through the use of digital technology, encouraging society’s transition to green and sustainable growth. Firstly, digital inclusive finance makes use of digital technologies such as big data and artificial intelligence to solve the geographical limits and information imbalances that exist in traditional financial institutions [87]. This provides small and medium-sized businesses with simple, flexible, and cost-effective financing options. This measure not only effectively addresses small and medium-sized enterprises’ financial inadequacies and obstacles in the process of green innovation, but it also reduces transaction costs and the incidence of non-performing loans [54]. As a result, it constantly boosts SMEs’ willingness to innovate and helps them migrate to green and low-carbon development. Secondly, digital inclusive finance reduces energy consumption in the financial services process by shifting traditional financial activities to the internet and utilizing digital technologies [88]. The aforementioned transformation not only improves the efficacy and convenience of financial services, but it also successfully reduces financial institutions’ environmental impact and the carbon intensity of emissions in the region [89]. Furthermore, digital inclusive finance dismantles market obstacles and facilitates industrial reorganization by enabling efficient information exchange. This efficient information transmission mechanism can improve the organization of regional production factors, stimulate the improvement and modernization of industrial structures, and enable the convergence of green technology innovation capacity to boost regional economic efficiency and sustainable development [90].

References

  1. Kong, H.; Sun, L.; Zhang, W. Digitization and Green Technology Innovation of Chinese Firms Under Government Subsidy Policies. Systems 2024, 12, 447. [Google Scholar] [CrossRef]
  2. Ma, D.; Zhu, Q. Innovation in emerging economies: Research on the digital economy driving high-quality green development. J. Bus. Res. 2022, 145, 801–813. [Google Scholar] [CrossRef]
  3. Guo, L.; Qu, Y.; Tseng, M.L. The interaction effects of environmental regulation and technological innovation on regional green growth performance. J. Clean. Prod. 2017, 162, 894–902. [Google Scholar] [CrossRef]
  4. Zimmerling, E.; Purtik, H.; Welpe, I.M. End-users as co-developers for novel green products and services—An exploratory case study analysis of the innovation process in incumbent firms. J. Clean. Prod. 2017, 162, S51–S58. [Google Scholar] [CrossRef]
  5. Adomako, S.; Tran, M.D. Exploring the effect of R&D support, green technology transfer, sustainable innovation. Sustain. Dev. 2024, 32, 4758–4769. [Google Scholar] [CrossRef]
  6. Wu, H.; Li, Y.; Hao, Y.; Ren, S.; Zhang, P. Environmental decentralization, local government competition, and regional green development: Evidence from China. Sci. Total Environ. 2020, 708, 135085. [Google Scholar] [CrossRef]
  7. Wang, J.; Ma, X.; Zhang, J.; Zhao, X. Impacts of digital technology on energy sustainability: China case study. Appl. Energy 2022, 323, 119329. [Google Scholar] [CrossRef]
  8. Liu, Y.; Zhang, X.; Shen, Y. Technology-driven carbon reduction: Analyzing the impact of digital technology on China’s carbon emission and its mechanism. Technol. Forecast. Soc. Change 2024, 200, 123124. [Google Scholar] [CrossRef]
  9. Yang, X.; Xu, Y.; Razzaq, A.; Wu, D.; Cao, J.; Ran, Q. Roadmap to achieving sustainable development: Does digital economy matter in industrial green transformation? Sustain. Dev. 2024, 32, 2583–2599. [Google Scholar] [CrossRef]
  10. Gu, R.; Li, C.; Yang, Y.; Zhang, J. The impact of industrial digital transformation on green development efficiency considering the threshold effect of regional collaborative innovation: Evidence from the Beijing-Tianjin-Hebei urban agglomeration in China. J. Clean. Prod. 2023, 420, 138345. [Google Scholar] [CrossRef]
  11. Hu, J.; Li, Q. From bits to green: Unraveling the digital economy’s influence on natural resource efficiency. J. Environ. Manag. 2024, 365, 121203. [Google Scholar] [CrossRef] [PubMed]
  12. Wang, H.; Li, Y.; Lin, W.; Wei, W. How does digital technology promote carbon emission reduction? Empirical evidence based on e-commerce pilot city policy in China. J. Environ. Manag. 2023, 325, 116524. [Google Scholar] [CrossRef] [PubMed]
  13. Lv, X.; Wu, Z. The green effect of digital transformation: The impact of digital transformation in fiscal and taxation on regional green development. Econ. Anal. Policy 2024, 81, 787–800. [Google Scholar] [CrossRef]
  14. Guo, D.; Qi, F.; Wang, R.; Li, L. How does digital inclusive finance affect the ecological environment? Evidence from Chinese prefecture-level cities. J. Environ. Manag. 2023, 342, 118158. [Google Scholar] [CrossRef]
  15. Huang, L.; Dou, Y.; Liu, Y.; Wang, J.; Chen, G.; Zhang, X.; Wang, R. Toward a research framework to conceptualize data as a factor of production: The data marketplace perspective. Fundamental Res. 2021, 1, 586–594. [Google Scholar] [CrossRef]
  16. Xiao, J.; Tan, Z.; Han, J. The Power of Big Data: The Impact of Urban Digital Transformation on Green Total Factor Productivity. Systems 2024, 12, 4. [Google Scholar] [CrossRef]
  17. Gao, Q.; Cheng, C.; Sun, G. Big data application, factor allocation, and green innovation in Chinese manufacturing enterprises. Technol. Forecast. Soc. Change 2023, 192, 122567. [Google Scholar] [CrossRef]
  18. Waqas, M.; Honggang, X.; Ahmad, N.; Khan, S.A.R.; Iqbal, M. Big data analytics as a roadmap towards green innovation, competitive advantage and environmental performance. J. Clean. Prod. 2021, 323, 128998. [Google Scholar] [CrossRef]
  19. Ma, R.; Liu, H.; Li, Z.; Ma, Y.; Fu, S. Promoting sustainable development: Revisiting digital economy agglomeration and inclusive green growth through two-tier stochastic frontier model. J. Environ. Manag. 2024, 355, 120491. [Google Scholar] [CrossRef]
  20. Granstrand, O.; Holgersson, M. Innovation ecosystems: A conceptual review and a new definition. Technovation 2020, 90, 102098. [Google Scholar] [CrossRef]
  21. Zhang, C.; Chen, K.; Mu, R. The digital innovation ecosystems: Theory building and a research agenda. Sci. Res. Manag. 2021, 42, 1–11. [Google Scholar] [CrossRef]
  22. Liu, Z.; Xin, L. Has China’s Belt and Road Initiative promoted its green total factor productivity?—Evidence from primary provinces along the route. Energy Policy 2019, 129, 360–369. [Google Scholar] [CrossRef]
  23. Dul, J.; Van der Laan, E.; Kuik, R. A statistical significance test for necessary condition analysis. Organ. Res. Methods 2020, 23, 385–395. [Google Scholar] [CrossRef]
  24. Castro, R.G.; Ariño, M.A. A general approach to panel data set-theoretic research. J. Adv. Manag. Sci. Inf. Syst. 2016, 2, 63–76. [Google Scholar] [CrossRef]
  25. Walrave, B.; Talmar, M.; Podoynitsyna, K.S.; Romme, A.G.L.; Verbong, G.P. A multi-level perspective on innovation ecosystems for path-breaking innovation. Technol. Forecast. Soc. Change 2018, 136, 103–113. [Google Scholar] [CrossRef]
  26. Yoo, Y.; Henfridsson, O.; Lyytinen, K. Research commentary—The new organizing logic of digital innovation: An agenda for information systems research. Inf. Syst. Res. 2010, 21, 724–735. [Google Scholar] [CrossRef]
  27. Lehmann, J.; Recker, J.; Yoo, Y.; Rosenkranz, C. Designing Digital Market Offerings: How Digital Ventures Navigate the Tension Between Generative Digital Technology and the Current Environment. MIS Q. 2022, 46, 1453. [Google Scholar] [CrossRef]
  28. Nambisan, S.; Wright, M.; Feldman, M. The digital transformation of innovation and entrepreneurship: Progress, challenges and key themes. Res. Policy 2019, 48, 103773. [Google Scholar] [CrossRef]
  29. Zhang, X.; Yang, L.; Gao, T.; Zhou, W. The coordination mechanism of value co-creation between developers and users in digital innovation ecosystems. Electron. Mark. 2024, 34, 1. [Google Scholar] [CrossRef]
  30. Breslin, D.; Kask, J.; Schlaile, M.; Abatecola, G. Developing a coevolutionary account of innovation ecosystems. Ind. Mark. Manag. 2021, 98, 59–68. [Google Scholar] [CrossRef]
  31. Chen, S.; Hou, M.; Ding, Z.; Yao, S. Does green location-oriented policy enhance ecological resources and reduce air pollution? Empirical analysis from counties in China. J. Environ. Manag. 2024, 349, 119437. [Google Scholar] [CrossRef] [PubMed]
  32. Tamayo-Orbegozo, U.; Vicente-Molina, M.-A.; Villarreal-Larrinaga, O. Eco-innovation strategic model. A multiple-case study from a highly eco-innovative European region. J. Clean. Prod. 2017, 142, 1347–1367. [Google Scholar] [CrossRef]
  33. Xie, X.; Liu, X.; Blanco, C. Evaluating and forecasting the niche fitness of regional innovation ecosystems: A comparative evaluation of different optimized grey models. Technol. Forecast. Soc. Change 2023, 191, 122473. [Google Scholar] [CrossRef]
  34. Zeng, J.; Chen, X.; Liu, Y.; Cui, R.; Zhao, P. How does the enterprise green innovation ecosystem collaborative evolve? Evidence from China. J. Clean. Prod. 2022, 375, 134181. [Google Scholar] [CrossRef]
  35. Fiss, P.C. Building better causal theories: A fuzzy set approach to typologies in organization research. Acad. Manag. J. 2011, 54, 393–420. [Google Scholar] [CrossRef]
  36. Zhang, C.; Zhu, H.; Li, X. Which productivity can promote clean energy transition—Total factor productivity or green total factor productivity? J. Environ. Manag. 2024, 366, 121899. [Google Scholar] [CrossRef] [PubMed]
  37. Feng, R.; Shen, C.; Dai, D.; Xin, Y. Examining the spatiotemporal evolution, dynamic convergence and drivers of green total factor productivity in China’s urban agglomerations. Econ. Anal. Policy 2023, 78, 744–764. [Google Scholar] [CrossRef]
  38. Oh, D.-h. A global Malmquist-Luenberger productivity index. J. Prod. Anal. 2010, 34, 183–197. [Google Scholar] [CrossRef]
  39. Du, J.; Zhong, Z.; Shi, Q.; Wang, L.; Liu, Y.; Ying, N. Does government environmental attention drive green total factor productivity? Evidence from China. J. Environ. Manag. 2024, 366, 121766. [Google Scholar] [CrossRef]
  40. Pan, H.; Zhao, L.; Ye, L. Measurement and Spatiotemporal Evolution Research on China’s Data Elements Development. Stud. Sci. Sci. 2024. [Google Scholar] [CrossRef]
  41. Guo, J.; Guo, S.; Xu, T. Research on Configuration Path of Multi-Agent Interaction Influencing Green Innovation in Innovation Ecosystem. Sci. Sci. Manag. S.&.T. 2024, 45, 100–114. [Google Scholar]
  42. Li, X.; Rao, M. Research on the development path of the regional digital innovation ecosystem: Configuration analysis based on fsQCA. J. Ind. Eng. Eng. Manag. 2023, 37, 20–31. [Google Scholar] [CrossRef]
  43. Wang, Y.; Jia, C.; Zhang, M.; Zhang, J.; Cai, S. How to Achieve the High-level Ambidexterity Innovation of Regional Innovation Ecosystems? A Configuration Analysis Based on Strategic Triangle. Foreign Econ. Manag. 2024, 46, 87–102. [Google Scholar] [CrossRef]
  44. Li, X.; Rao, M.; Yuan, Y. How to Enhance the Regional Innovation Ecosystem’s Energy-level in the Context of “Data and Intelligence”? Stud. Sci. Sci. 2024, 42, 1988–1999. [Google Scholar] [CrossRef]
  45. Lin, R.; Xie, Z.; Hao, Y.; Wang, J. Improving high-tech enterprise innovation in big data environment: A combinative view of internal and external governance. Int. J. Inf. Manag. 2020, 50, 575–585. [Google Scholar] [CrossRef]
  46. Xiong, M.; Li, W.; Xian, B.T.S.; Yang, A. Digital inclusive finance and enterprise innovation—Empirical evidence from Chinese listed companies. J. Innov. Knowl. 2023, 8, 100321. [Google Scholar] [CrossRef]
  47. Ragin, C.C. Redesigning Social Inquiry: Fuzzy Sets and Beyond; University of Chicago Press: Chicago, IL, USA, 2008. [Google Scholar]
  48. Dul, J. Necessary condition analysis (NCA) logic and methodology of “necessary but not sufficient” causality. Organ. Res. Methods 2016, 19, 10–52. [Google Scholar] [CrossRef]
  49. Ma, S.; Ding, W.; Liu, Y.; Ren, S.; Yang, H. Digital twin and big data-driven sustainable smart manufacturing based on information management systems for energy-intensive industries. Appl. Energy 2022, 326, 119986. [Google Scholar] [CrossRef]
  50. Adu, D.A.; Chen, X.H.; Hasan, M.; Zhu, X.; Jellason, N. The relationship between entrepreneurial energy efficiency orientation and carbon footprint reduction: The mediating role of green networking and identification of barriers to green practices. J. Environ. Manag. 2023, 347, 119256. [Google Scholar] [CrossRef]
  51. Di, K.; Chen, W.; Shi, Q.; Cai, Q.; Zhang, B. Digital empowerment and win-win co-operation for green and low-carbon industrial development: Analysis of regional differences based on GMM-ANN intelligence models. J. Clean. Prod. 2024, 445, 141332. [Google Scholar] [CrossRef]
  52. Zhang, Y.; Ma, S.; Yang, H.; Lv, J.; Liu, Y. A big data driven analytical framework for energy-intensive manufacturing industries. J. Clean. Prod. 2018, 197, 57–72. [Google Scholar] [CrossRef]
  53. Zhou, Q.; Wang, S.; Ma, X.; Xu, W. Digital technologies and corporate green innovation: Opening the “black box” of resource orchestration mechanisms. Sustain. Account. Manag. Policy J. 2024, 15, 884–912. [Google Scholar] [CrossRef]
  54. Lin, B.; Ma, R. How does digital finance influence green technology innovation in China? Evidence from the financing constraints perspective. J. Environ. Manag. 2022, 320, 115833. [Google Scholar] [CrossRef] [PubMed]
  55. Roh, T.; Lee, K.; Yang, J.Y. How do intellectual property rights and government support drive a firm’s green innovation? The mediating role of open innovation. J. Clean. Prod. 2021, 317, 128422. [Google Scholar] [CrossRef]
  56. Sarpong, D.; Boakye, D.; Ofosu, G.; Botchie, D. The three pointers of research and development (R&D) for growth-boosting sustainable innovation system. Technovation 2023, 122, 102581. [Google Scholar] [CrossRef]
  57. Hu, D.; Qiu, L.; She, M.; Wang, Y. Sustaining the sustainable development: How do firms turn government green subsidies into financial performance through green innovation? Bus. Strateg. Environ. 2021, 30, 2271–2292. [Google Scholar] [CrossRef]
  58. Zhou, G.; Xu, H.; Jiang, C.; Deng, S.; Chen, L.; Zhang, Z. Has the Digital Economy Improved the Urban Land Green Use Efficiency? Evidence from the National Big Data Comprehensive Pilot Zone Policy. Land 2024, 13, 960. [Google Scholar] [CrossRef]
  59. Huang, F. How does trade and fiscal decentralization leads to green growth; role of renewable energy development. Renew. Energy 2023, 214, 334–341. [Google Scholar] [CrossRef]
  60. Schneider, C.Q.; Wagemann, C. Set-Theoretic Methods for the Social Sciences: A Guide to Qualitative Comparative Analysis; Cambridge University Press: Cambridge, UK, 2012. [Google Scholar]
  61. Ahl, A.; Goto, M.; Yarime, M.; Tanaka, K.; Sagawa, D. Challenges and opportunities of blockchain energy applications: Interrelatedness among technological, economic, social, environmental, and institutional dimensions. Renew. Sust. Energ. Rev. 2022, 166, 112623. [Google Scholar] [CrossRef]
  62. Fan, X.; Ren, S.; Liu, Y. The driving factors of green technology innovation efficiency—A study based on the dynamic QCA method. Sustainability 2023, 15, 9845. [Google Scholar] [CrossRef]
  63. Ayaburi, E.W.; Treku, D.N. Effect of penitence on social media trust and privacy concerns: The case of Facebook. Int. J. Inf. Manag. 2020, 50, 171–181. [Google Scholar] [CrossRef]
  64. Du, Z.-Y.; Wang, Q. Digital infrastructure and innovation: Digital divide or digital dividend? J. Innov. Knowl. 2024, 9, 100542. [Google Scholar] [CrossRef]
  65. Feng, C.; Wang, M.; Liu, G.-C.; Huang, J.-B. Green development performance and its influencing factors: A global perspective. J. Clean. Prod. 2017, 144, 323–333. [Google Scholar] [CrossRef]
  66. Hunjra, A.I.; Hassan, M.K.; Zaied, Y.B.; Managi, S. Nexus between green finance, environmental degradation, and sustainable development: Evidence from developing countries. Resour. Policy 2023, 81, 103371. [Google Scholar] [CrossRef]
  67. Romano, A.A.; Scandurra, G.; Carfora, A.; Fodor, M. Renewable investments: The impact of green policies in developing and developed countries. Renew. Sust. Energ. Rev. 2017, 68, 738–747. [Google Scholar] [CrossRef]
  68. Wang, L.; Chen, Y.; Ramsey, T.S.; Hewings, G.J. Will researching digital technology really empower green development? Technol. Soc. 2021, 66, 101638. [Google Scholar] [CrossRef]
  69. Cui, L.; Wang, B.; Wang, Y. Have configuration effects driven the coordinated enhancement of green energy system development in China and “Belt and Road” countries?–A qualitative comparative analysis based on panel data. Energy Strategy Rev. 2024, 56, 101570. [Google Scholar] [CrossRef]
  70. Ying, Y.; Cui, X.; Jin, S. Artificial Intelligence and Green Total Factor Productivity: The Moderating Effect of Slack Resources. Systems 2023, 11, 356. [Google Scholar] [CrossRef]
  71. Yin, S.; Zhang, N.; Ullah, K.; Gao, S. Enhancing digital innovation for the sustainable transformation of manufacturing industry: A pressure-state-response system framework to perceptions of digital green innovation and its performance for green and intelligent manufacturing. Systems 2022, 10, 72. [Google Scholar] [CrossRef]
  72. Song, M.; Fisher, R.; Kwoh, Y. Technological challenges of green innovation and sustainable resource management with large scale data. Technol. Forecast. Soc. Change 2019, 144, 361–368. [Google Scholar] [CrossRef]
  73. Liu, X.; Lu, D.; Zhang, A.; Liu, Q.; Jiang, G. Data-driven machine learning in environmental pollution: Gains and problems. Environ. Sci. Technol. 2022, 56, 2124–2133. [Google Scholar] [CrossRef] [PubMed]
  74. Tang, M.; Walsh, G.; Lerner, D.; Fitza, M.A.; Li, Q. Green innovation, managerial concern and firm performance: An empirical study. Bus. Strateg. Environ. 2018, 27, 39–51. [Google Scholar] [CrossRef]
  75. Fernando, Y.; Jabbour, C.J.C.; Wah, W.-X. Pursuing green growth in technology firms through the connections between environmental innovation and sustainable business performance: Does service capability matter? Resour. Conserv. Recycl. 2019, 141, 8–20. [Google Scholar] [CrossRef]
  76. Lyu, Y.; Bai, Y.; Zhang, J. Digital transformation and enterprise low-carbon innovation: A new perspective from innovation motivation. J. Environ. Manag. 2024, 365, 121663. [Google Scholar] [CrossRef]
  77. Li, H.Y.; Liu, Q.; Ye, H.Z. Digital development influencing mechanism on green innovation performance: A perspective of green innovation network. IEEE Access 2023, 11, 22490–22504. [Google Scholar] [CrossRef]
  78. Yang, Z.; Chen, H.; Du, L.; Lin, C.; Lu, W. How does alliance-based government-university-industry foster cleantech innovation in a green innovation ecosystem? J. Clean. Prod. 2021, 283, 124559. [Google Scholar] [CrossRef]
  79. De Canio, F. Consumer willingness to pay more for pro-environmental packages: The moderating role of familiarity. J. Environ. Manag. 2023, 339, 117828. [Google Scholar] [CrossRef]
  80. Sarkar, B.; Ullah, M.; Sarkar, M. Environmental and economic sustainability through innovative green products by remanufacturing. J. Clean. Prod. 2022, 332, 129813. [Google Scholar] [CrossRef]
  81. Shahzad, M.F.; Xu, S.; An, X.; Asif, M.; Jafri, M.A.H. Effect of stakeholder pressure on environmental performance: Do virtual CSR, green credit, environmental and social reputation matter? J. Environ. Manag. 2024, 368, 122223. [Google Scholar] [CrossRef]
  82. Wu, L.; Ma, T.; Bian, Y.; Li, S.; Yi, Z. Improvement of regional environmental quality: Government environmental governance and public participation. Sci. Total Environ. 2020, 717, 137265. [Google Scholar] [CrossRef]
  83. Prieto-Sandoval, V.; Torres-Guevara, L.E.; García-Díaz, C. Green marketing innovation: Opportunities from an environmental education analysis in young consumers. J. Clean. Prod. 2022, 363, 132509. [Google Scholar] [CrossRef]
  84. Filiou, D.; Kesidou, E.; Wu, L. Are smart cities green? The role of environmental and digital policies for Eco-innovation in China. World Dev. 2023, 165, 106212. [Google Scholar] [CrossRef]
  85. Geng, Y.; Zheng, Z.; Ma, Y. Digitization, perception of policy uncertainty, and corporate green innovation: A study from China. Econ. Anal. Policy 2023, 80, 544–557. [Google Scholar] [CrossRef]
  86. Zhang, W.; Luo, Q.; Liu, S. Is government regulation a push for corporate environmental performance? Evidence from China. Econ. Anal. Policy 2022, 74, 105–121. [Google Scholar] [CrossRef]
  87. Wu, H.; Wen, H.; Li, G.; Yin, Y.; Zhang, S. Unlocking a greener future: The role of digital finance in enhancing green total factor energy efficiency. J. Environ. Manag. 2024, 364, 121456. [Google Scholar] [CrossRef]
  88. Mukalayi, N.M.; Inglesi-Lotz, R. Digital financial inclusion and energy and environment: Global positioning of Sub-Saharan African countries. Renew. Sust. Energ. Rev. 2023, 173, 113069. [Google Scholar] [CrossRef]
  89. Wang, X.; Wang, X.; Ren, X.; Wen, F. Can digital financial inclusion affect CO2 emissions of China at the prefecture level? Evidence from a spatial econometric approach. Energy Econ. 2022, 109, 105966. [Google Scholar] [CrossRef]
  90. Xuan, S.; Ge, W.; Yang, P.; Zhang, Y. Exploring digital finance, financial regulations and carbon emission nexus: New insight from resources efficiency, industrial structure and green innovation in China. Resour. Policy 2024, 88, 104452. [Google Scholar] [CrossRef]
Disclaimer/Publisher’s Note: The statements, opinions and data contained in all publications are solely those of the individual author(s) and contributor(s) and not of MDPI and/or the editor(s). MDPI and/or the editor(s) disclaim responsibility for any injury to people or property resulting from any ideas, methods, instructions or products referred to in the content.

Article Metrics

Citations

Article Access Statistics

Multiple requests from the same IP address are counted as one view.