Knowledge Spillovers and Integrated Circuit Innovation Ecosystem Resilience: Evidence from China
Abstract
1. Introduction
2. Theoretical Analysis and Research Hypothesis
2.1. Innovation Ecosystem Resilience
2.2. Knowledge Spillover
2.3. Regional Knowledge Spillovers and IC Innovation Ecosystem Resilience
2.4. The Moderating Role of Knowledge Governance Mechanisms
3. Research Design
3.1. Sample Selection and Data Sources
- (1)
- Explained Variables
- (2)
- Explanatory variables
- (3)
- Moderating variables
- (4)
- Control variables
3.2. Model Construction
- (1)
- Fixed-Effect Model
- (2)
- Spatial Durbin Model
- (3)
- Moderating effect model
4. Analysis of Empirical Results
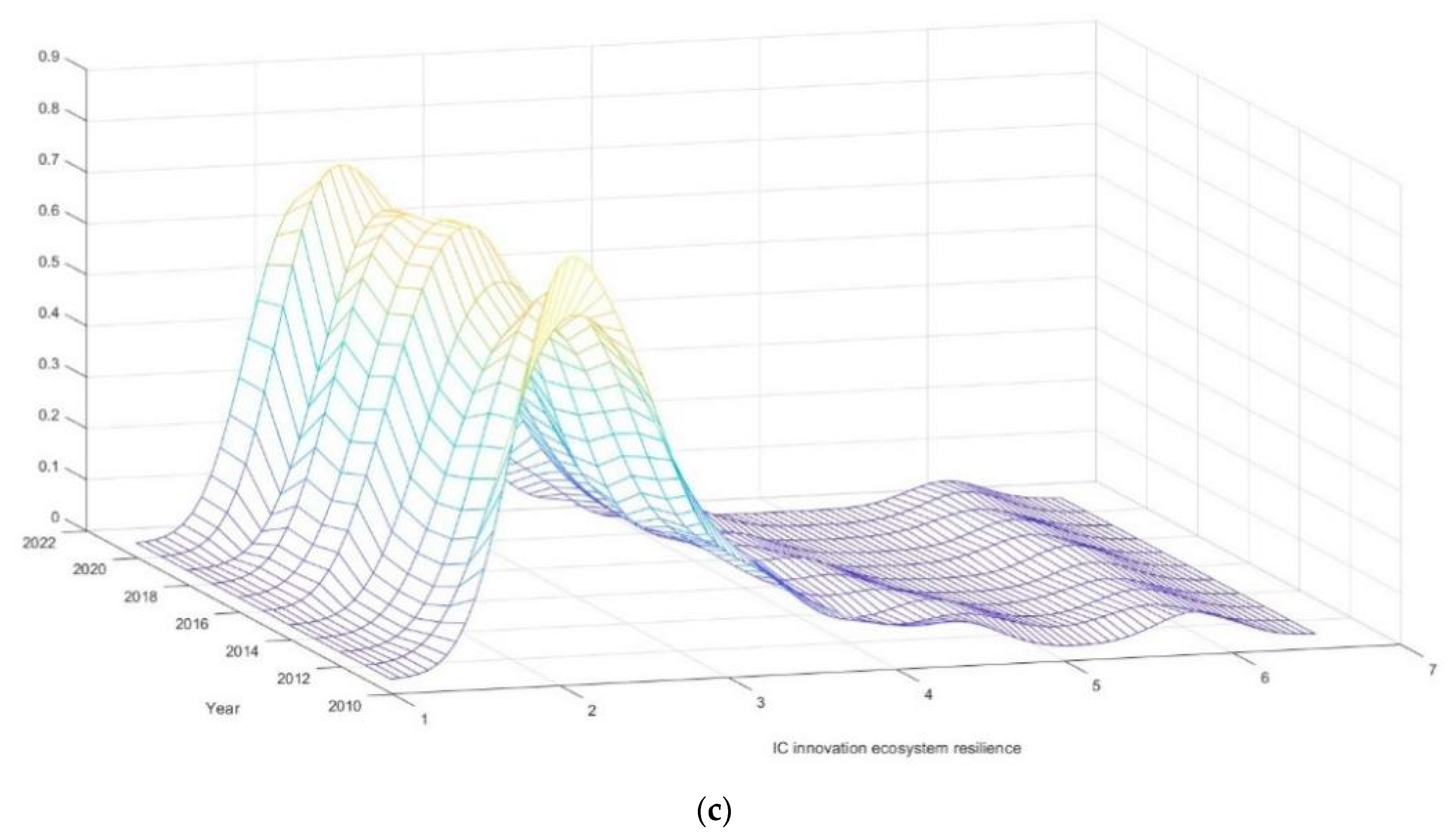
4.1. Analysis of Knowledge Spillover and Innovation Ecosystem Resilience Evolution Trajectory
4.2. The Impact of Intra-Regional Knowledge Spillovers on the Resilience of IC Innovation Ecosystems
4.2.1. Descriptive Statistics and Correlation Analysis
4.2.2. Benchmark Regression Analysis
4.2.3. Analysis of Moderating Effects
4.2.4. Robustness Test and Endogeneity Treatment
4.2.5. Heterogeneity Test
4.3. The Impact of Inter-Regional Knowledge Spillover on the Resilience of IC Innovation Ecosystems
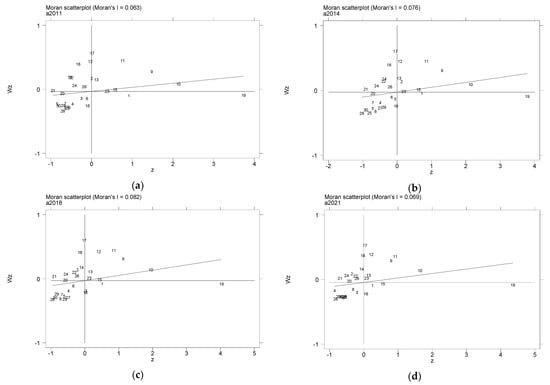
4.3.1. Spatial Correlation Analysis
4.3.2. Measurement Model Selection
4.3.3. Analysis of Spatial Effects
4.3.4. Spatial Moderating Effects of Governance Mechanisms
4.3.5. Heterogeneity Test
4.4. Results and Discussion
5. Conclusions and Limitations
5.1. Conclusions
5.2. Policy Implications
5.3. Limitations
Author Contributions
Funding
Data Availability Statement
Conflicts of Interest
References
- Li, X.; Zheng, F.; Qi, Y.; Zhang, H. Study on the identification of key core technology “strangled” problem of the new generation information technology industry. Kybernetes 2024. [Google Scholar] [CrossRef]
- Wang, F.; Huang, Z. Analysis of international competitive situation of key core technology in strategic emerging industries: New generation of information technology industry as an example. PLoS ONE 2023, 18, e0287034. [Google Scholar] [CrossRef] [PubMed]
- De Vasconcelos Gomes, L.A.; Facin, A.L.F.; Salerno, M.S.; Ikenami, R.K. Unpacking the innovation ecosystem construct: Evolution, gaps and trends. Technol. Forecast. Soc. Change 2018, 136, 30–48. [Google Scholar] [CrossRef]
- Xu, X.; Wang, Z.; Zhou, B.; Zhang, Z. The empirical analysis of knowledge spillover effect measurement. Knowl. Manag. Res. Pract. 2019, 17, 83–95. [Google Scholar] [CrossRef]
- Cerver-Romero, E.; Ferreira, J.J.; Fernandes, C. A scientometric analysis of knowledge spillover research. J. Technol. Transf. 2020, 45, 780–805. [Google Scholar] [CrossRef]
- Morris, A.K.; Fiedler, A.; Audretsch, D.B. Enablers of knowledge spillover entrepreneurship in entrepreneurial ecosystems: Synthesis and future directions. J. Technol. Transf. 2023, 1–25. [Google Scholar] [CrossRef]
- Ali, N.; Phoungthong, K.; Khan, A.; Abbas, S.; Dilanchiev, A.; Tariq, S.; Sadiq, M.N. Does FDI foster technological innovations? Empirical evidence from BRICS economies. PLoS ONE 2023, 18, e0282498. [Google Scholar] [CrossRef]
- Forman, C.; Van Zeebroeck, N. Digital technology adoption and knowledge flows within firms: Can the Internet overcome geographic and technological distance? Res. Policy 2019, 48, 103697. [Google Scholar] [CrossRef]
- Ning, L.; Wang, F.; Li, J. Urban innovation, regional externalities of foreign direct investment and industrial agglomeration: Evidence from Chinese cities. Res. Policy 2016, 45, 830–843. [Google Scholar] [CrossRef]
- Belitski, M.; Martin, J.; Stettler, T.; Wales, W. Organizational scaling: The role of knowledge spillovers in driving multinational enterprise persistent rapid growth. J. World Bus. 2023, 58, 101461. [Google Scholar] [CrossRef]
- Schmidt, S. Balancing the spatial localisation ‘Tilt’: Knowledge spillovers in processes of knowledge-intensive services. Geoforum 2015, 65, 374–386. [Google Scholar] [CrossRef]
- Tang, C.; Dou, J. Exploring the polycentric structure and driving mechanism of urban regions from the perspective of innovation network. Front. Phys. 2022, 10, 855380. [Google Scholar] [CrossRef]
- Hu, F.; Xi, X.; Zhang, Y. Influencing mechanism of reverse knowledge spillover on investment enterprises’ technological progress: An empirical examination of Chinese firms. Technol. Forecast. Soc. Change 2021, 169, 120797. [Google Scholar] [CrossRef]
- Audretsch, D.B.; Feldman, M.P. Knowledge spillovers and the geography of innovation. Handb. Reg. Urban Econ. 2004, 4, 2713–2739. [Google Scholar]
- Song, H.; Lu, Q.; Yu, K.; Qian, C. How do knowledge spillover and access in supply chain network enhance SMEs’ credit quality? Ind. Manag. Data Syst. 2019, 119, 274–291. [Google Scholar] [CrossRef]
- Yuan, Y.; Wu, D. Enterprise digital transformation and supply chain resilience: From the perspective of supply chain spillover. Syst. Eng 2024, 9, 1–22. [Google Scholar]
- Liu, Y.; Qin, Z. Formation mechanism and improvement path of innovation cluster resilience. Fudan J. (Soc. Sci. Ed.) 2024, 66, 177–189. [Google Scholar]
- Li, J. The enhancement effect of industrial intelligence on industrial chain toughness: Theoretical mechanism and empirical evidence. Reform 2024, 7, 80–94. [Google Scholar]
- Liu, J.; Zhou, H.; Chen, F.; Yu, J. The coevolution of innovation ecosystems and the strategic growth paths of knowledge-intensive enterprises: The case of China’s integrated circuit design industry. J. Bus. Res. 2022, 144, 428–439. [Google Scholar] [CrossRef]
- Liu, J.; Yu, J.; Chen, F.; Zhang, Y.; Li, B. How latecomers strategically respond to global-local resources and leverage local ecosystems: Evidence from China’s integrated circuit design firms. Technol. Forecast. Soc. Change 2022, 183, 121872. [Google Scholar] [CrossRef]
- Feng, Y.; Wu, J.; He, P. Global M&A and the development of the IC industry ecosystem in China: What can we learn from the case of Tsinghua Unigroup? Sustainability 2018, 11, 106. [Google Scholar] [CrossRef]
- Chen, J.; Liu, X.; Hu, Y. Establishing a CoPs-based innovation ecosystem to enhance competence-the case of CGN in China. Int. J. Technol. Manag. 2016, 72, 144–170. [Google Scholar] [CrossRef]
- Walrave, B.; Talmar, M.; Podoynitsyna, K.S.; Romme, A.G.L.; Verbong, G.P. A multi-level perspective on innovation ecosystems for path-breaking innovation. Technol. Forecast. Soc. Change 2018, 136, 103–113. [Google Scholar] [CrossRef]
- Carpenter, S.R.; Westley, F.; Turner, M.G. Surrogates for resilience of social–ecological systems. Ecosystems 2005, 8, 941–944. [Google Scholar] [CrossRef]
- Bogers, M.; Chesbrough, H.; Moedas, C. Open innovation: Research, practices, and policies. Calif. Manag. Rev. 2018, 60, 5–16. [Google Scholar] [CrossRef]
- Martin, R. Regional economic resilience, hysteresis and recessionary shocks. J. Econ. Geogr. 2012, 12, 1–32. [Google Scholar] [CrossRef]
- Li, D.; Wang, C.; Li, X. Research on community resilience based on actor network theory: Theoretical framework and application analysis. J. Tongji Univ. (Soc. Sci. Ed.) 2019, 34, 60–71. [Google Scholar]
- Marcus, L.; Colding, J. Placing urban renewal in the context of the resilience adaptive cycle. Land 2023, 13, 8. [Google Scholar] [CrossRef]
- Haneda, S.; Ito, K. Organizational and human resource management and innovation: Which management practices are linked to product and/or process innovation? Res. Policy 2018, 47, 194–208. [Google Scholar] [CrossRef]
- Lu, P.; Yuan, S.; Wu, J. The interaction effect between intra-organizational and inter-organizational control on the project performance of new product development in open innovation. Int. J. Proj. Manag. 2017, 35, 1627–1638. [Google Scholar] [CrossRef]
- Marsili, O.; Salter, A. The dark matter of innovation: Design and innovative performance in Dutch manufacturing. Technol. Anal. Strateg. Manag. 2006, 18, 515–534. [Google Scholar] [CrossRef]
- Leung, T.Y.; Sharma, P. Differences in the impact of R&D intensity and R&D internationalization on firm performance—Mediating role of innovation performance. J. Bus. Res. 2021, 131, 81–91. [Google Scholar]
- Zhang, J.; Zhang, W.; Song, Q.; Li, X.; Ye, X.; Liu, Y.; Xue, Y. Can energy saving policies drive firm innovation behaviors?—Evidence from China. Technol. Forecast. Soc. Change 2020, 154, 119953. [Google Scholar] [CrossRef]
- Xie, X.M.; Liu, X.J. Evaluation and prediction of niche suitability of regional innovation ecosystem: An empirical study based on data from 30 provinces and cities in China from 2009 to 2018. Sci. Res. 2021, 33, 1706–1719. [Google Scholar]
- Feng, W.; Xu, K.; Shao, J. The Mechanism Analysis and Empirical Study of Industrial Innovation Based on the Home Market Scale. China Soft Sci. 2014, 1, 55–67. [Google Scholar]
- Huang, Y.; Chen, Z.; Yin, S. Spatial spillover effects of the digital economy on the green total factor productivity of China’s manufacturing industry. Environ. Res. Commun. 2024, 6, 065006. [Google Scholar] [CrossRef]
- Pan, X.; Gao, Y.; Guo, D.; Cheng, W. Does higher education promote firm innovation in China? Sustainability 2020, 12, 7326. [Google Scholar] [CrossRef]
- Asongu, S.A.; Salahodjaev, R. Demand-side mobile money drivers of financial inclusion: Minimum economic growth thresholds for mobile money innovations. J. Knowl. Econ. 2023, 14, 4848–4865. [Google Scholar] [CrossRef]
- Hou, G.; Feng, C. Innovation-driven policy and firm investment. Financ. Res. Lett. 2024, 61, 105001. [Google Scholar] [CrossRef]
- Song, Y.; Yang, L.; Sindakis, S.; Aggarwal, S.; Chen, C. Analyzing the role of high-tech industrial agglomeration in green transformation and upgrading of manufacturing industry: The case of China. J. Knowl. Econ. 2023, 14, 3847–3877. [Google Scholar] [CrossRef]
- Bao, R.; Liu, T. How does government attention matter in air pollution control? Evidence from government annual reports. Resour. Conserv. Recycl. 2022, 185, 106435. [Google Scholar] [CrossRef]
- Zhou, Z.; Ruan, L.; Ding, Q.K. An evolutionary game study on cross-organizational knowledge sharing behavior in enterprise innovation network. Oper. Res. 2019, 30, 83–90. [Google Scholar]
- Liu, J.; Wang, J.W.; Cheng, Z.H. Research on the influence of Industrial Agglomeration on the Collaborative Innovation Efficiency. China Soft Sci. 2017, 6, 89–98. [Google Scholar]
- Yin, J.; Gong, L.; Wang, S. Large-scale assessment of global green innovation research trends from 1981 to 2016: A bibliometric study. J. Clean. Prod. 2018, 197, 827–841. [Google Scholar] [CrossRef]
- Li, G.P. Discussion on the social cost of technological innovation. Stud. Sci. Sci. 2013, 31, 605–610. [Google Scholar]
- Li, C.; Zhu, J.; Tao, C. How does the innovative factor allocation promote the high quality development of manufacturing industry? J. Innov. Knowl. 2024, 9, 100511. [Google Scholar] [CrossRef]
- Liu, Y.; Qian, Q.; Wang, Y.; Zhang, H. Spatial differentiation and driving factors of scientific and technological innovation efficiency under the background of the digital economy. Struct. Change Econ. Dyn. 2024, 71, 208–220. [Google Scholar] [CrossRef]
- Chen, B.; Chen, Y.; Sun, Y.; Tong, Y.; Liu, L. The measurement, level, and influence of resource allocation efficiency in universities: Empirical evidence from 13 “double first class” universities in China. Humanit. Soc. Sci. Commun. 2024, 11, 955. [Google Scholar] [CrossRef]
- Zhang, Z.; Wang, Z.; Ji, Y.; Liang, S. Dynamic evolution of spatial distribution of energy factor allocation efficiency: Industrial sector in China. Environ. Dev. Sustain. 2024, 1–19. [Google Scholar] [CrossRef]
- Liang, H.; Luan, X.; Guo, J.; Lan, Q. Partner diversity and the survival of joint ventures. Appl. Econ. 2024, 1–15. [Google Scholar] [CrossRef]
- Zaid, M.A.A.; Issa, A. Board committees as catalysts: Divulging the impact of nomination and risk management on corporate eco-innovation and carbon performance. Bus. Strateg. Environ. 2024. [Google Scholar] [CrossRef]
- Zhao, J. How do innovation factor allocation and institutional environment affect high-quality economic development? Evidence from China. J. Innov. Knowl. 2024, 9, 100475. [Google Scholar] [CrossRef]
- Del, V.P.; Secundo, G.; Garzoni, A. Digital Open Innovation for Sustainability: Evidence from Italian big energy corporations. IEEE Trans. Eng. Manag. 2024, 71, 8430–8443. [Google Scholar]
- Shkarupeta, E.; Babkin, A. Eco-innovative development of industrial ecosystems based on the quintuple helix. Int. J. Innov. Stud. 2024, 8, 273–286. [Google Scholar] [CrossRef]
- Wang, J.; Feng, L. Improving the Regional Science and Technology Innovation Ability under the Background of Data Element Marketization: Insights from the Yunnan Province. Sustainability 2024, 16, 7113. [Google Scholar] [CrossRef]
- Bohnsack, R.; Rennings, M.; Block, C.; Bröring, S. Profiting from innovation when digital business ecosystems emerge: A control point perspective. Res. Policy 2024, 53, 104961. [Google Scholar] [CrossRef]
- Asheim, B.T.; Smith, H.L.; Oughton, C. Regional innovation systems: Theory, empirics and policy. Reg. Stud. 2011, 45, 875–891. [Google Scholar] [CrossRef]
- Fan, F.; Yang, B.; Wang, S. The convergence mechanism and spatial spillover effects of urban industry-university-research collaborative innovation performance in China. Technol. Anal. Strateg. Manag. 2023, 1–17. [Google Scholar] [CrossRef]
- Zhang, S.; Wang, X. Does innovative city construction improve the industry–university–research knowledge flow in urban China? Technol. Forecast. Soc. Change 2022, 174, 121200. [Google Scholar] [CrossRef]
- Adner, R.; Kapoor, R. Value creation in innovation ecosystems: How the structure of technological interdependence affects firm performance in new technology generations. Strateg. Manag. J. 2010, 31, 306–333. [Google Scholar] [CrossRef]
- Kolesnikov, S.; Goldstein, A.P.; Sun, B.; Chan, G.; Narayanamurti, V.; Anadon, L.D. A framework and methodology for analyzing technology spillover processes with an application in solar photovoltaics. Technovation 2024, 134, 103048. [Google Scholar] [CrossRef]
- Fotopoulos, G. Knowledge spillovers, entrepreneurial ecosystems and the geography of high growth firms. Entrep. Theory Pract. 2023, 47, 1877–1914. [Google Scholar] [CrossRef]
- Wang, S.; Liu, C.; Zhou, Z. Government-enterprise Green Collaborative Governance and Urban Carbon Emission Reduction: Empirical Evidence from Green PPP Programs. Environ. Res. 2024, 257, 119335. [Google Scholar] [CrossRef] [PubMed]
- Xu, X.; Dong, X.; Chi, R.; Li, J. How does heterogeneous spillover of knowledge affect economic geography?—An extended local spillover model. Socio-Econ. Plan. Sci. 2022, 83, 101153. [Google Scholar] [CrossRef]
- Øjvind, N.R.; Sørensen, E.; Torfing, J. Drivers of collaborative governance for the green transition. Public Manag. Rev. 2024, 1–26. [Google Scholar] [CrossRef]
- David, B.A.; Maksim Belitski, R.C. Start-ups, Innovation and Knowledge Spillovers. J. Technol. Transf. 2021, 46, 1995–2016. [Google Scholar]
- Ferreira, J.M.; Fernandes, C.I. The effects of knowledge spillovers, digital capabilities, and innovation on firm performance: A moderated mediation model. Technol. Forecast. Soc. Change 2024, 200, 123086. [Google Scholar] [CrossRef]
- Wang, X.; Wang, W.; Wu, Y.; Jin, S. Research on the Effect of Information Infrastructure Construction on Low-Carbon Technology Knowledge Flow. Sustainability 2023, 15, 7390. [Google Scholar] [CrossRef]
- Jung, Y.R.; Lee, J.; Hwang, J.; Gava, N.L. Knowledge spillovers and innovation performance of the originator: The moderating effect of technological alliances. J. Innov. Knowl. 2024, 9, 100540. [Google Scholar] [CrossRef]
- Sergio, I.; Iandolo, S.; Ferragina, A.M. Inter-sectoral and inter-regional knowledge spillovers: The role of ICT and technological branching on innovation in high-tech sectors. Technol. Forecast. Soc. Change 2023, 194, 122728. [Google Scholar] [CrossRef]
- No, J.Y. Localized Knowledge Spillovers and Organizational Capabilities: Evidence from the Canadian Manufacturing Sector. J. Korea Trade 2023, 27, 91–112. [Google Scholar] [CrossRef]
- Mao, B.H.; Gu, J.; Lu, Q. A pipeline for urban knowledge spillover: Based on the internal linkage of cross-regional multilocation enterprises. Cities 2023, 143, 104585. [Google Scholar] [CrossRef]
- Qin, X.; Wang, X.; Kwan, M.P. The contrasting effects of interregional networks and local agglomeration on R&D productivity in Chinese provinces: Insights from an empirical spatial Durbin model. Technol. Forecast. Soc. Change 2023, 193, 122608. [Google Scholar]
- Polidoro, J.F.; Jacobs, C. Knowledge diffusion in nascent industries: Asymmetries between startups and established firms in spurring inventions by other firms. Strateg. Manag. J. 2024, 45, 807–845. [Google Scholar] [CrossRef]
- Fershtman, C.; Gandal, N. Direct and indirect knowledge spillovers: The “social network” of open-source projects. Rand J. Econ. 2011, 42, 70–91. [Google Scholar] [CrossRef]
- Wicaksono, A.; Ririh, K.R. Understanding technological knowledge spillover in a science technology park ecosystem: An ethnographic study. Asian J. Technol. Innov. 2022, 30, 559–580. [Google Scholar] [CrossRef]
- Grandori, A. Entrepreneurial governance and the nature of the entrepreneurial firm. Small Bus. Econ. 2024, 1–14. [Google Scholar] [CrossRef]
- Min, M.; Zhou, X.; Zhang, Z. Interactive mechanisms between formal and informal knowledge governance mechanisms in predicting knowledge processes in China. Knowl. Manag. Res. Pract. 2024, 22, 256–268. [Google Scholar] [CrossRef]
- Moradi, M.; Hepsø, V.; Schiefloe, P.M. Institutional complexity and governance in open-source ecosystems: A case study of the oil and gas industry. J. Innov. Knowl. 2024, 9, 100523. [Google Scholar] [CrossRef]
- Aslam, M.S.; Qammar, A.; Ali, I.; Yaqub, M.Z.; Ahmed, F.; Mohapatra, A.K. Fostering innovation speed and quality in ICT firms: The role of knowledge governance mechanisms, absorptive capacity and environmental dynamism. Technol. Forecast. Soc. Chang. 2024, 205, 123460. [Google Scholar] [CrossRef]
- Zhang, C.; Moosmayer, D.; Wang, M.; Ohana, M. Managing Chinese suppliers’ sustainability performance: The double-edged role of guanxi governance. Ind. Mark. Manag. 2024, 118, 189–199. [Google Scholar] [CrossRef]
- Wu, J.; Hu, Y. Mechanism composition, driving logic and adaptive environment of Contract Governance and Relationship Governance: A comparative case study based on cross-generational changes of family firms. J. Manag. 2019, 20, 14–25. [Google Scholar]
- Li, Y.; Liu, L. Innovation ecosystem knowledge governance mechanism and create a study. Science 2022, 40, 1505–1515. [Google Scholar]
- Li, J.; Liu, B.; Wang, D.; Casady, C.B. The effects of contractual and relational governance on public-private partnership sustainability. Public Adm. 2024. [Google Scholar] [CrossRef]
- Radziwon, A.B.; Bogers, M. Open innovation in SMEs: Exploring inter-organizational relationships in an ecosystem. Technol. Forecast. Soc. Chang. 2019, 146, 573–587. [Google Scholar] [CrossRef]
- Hou, W.; Peng, X.; Wang, L. The Influence of Contractual and Relational Governance on the Sustainable Performance of Public-Private Partnership Projects: Findings from PLS-SEM and fsQCA. J. Knowl. Econ. 2023, 1–27. [Google Scholar] [CrossRef]
- Zhou, J.; Yang, J. Board Governance, Financing Constraints and Technological Innovation: Empirical Evidence from Parent Companies of Enterprise Groups. iBusiness 2022, 14, 1–23. [Google Scholar] [CrossRef]
- Wu, Q.; Zhu, J.; Cheng, Y. The effect of cross-organizational governance on supply chain resilience: A mediating and moderating model. J. Purch. Supply Manag. 2023, 29, 100817. [Google Scholar] [CrossRef]
- Wegner, D.; Sarturi, G.; Klein, L.L. The governance of strategic networks: How do different configurations influence the performance of member firms? J. Manag. Gov. 2022, 26, 1063–1087. [Google Scholar] [CrossRef]
- Wang, Q.; Cheng, T.; Lu, Y.; Liu, H.; Zhang, R.; Huang, J. Underground mine safety and health: A hybrid MEREC–CoCoSo system for the selection of best sensor. Sensors 2024, 24, 1285. [Google Scholar] [CrossRef]
- Xie, X.M.; Yu, H.; Dai, M.X. Population symbiotic network and knowledge spillover effect: An empirical study based on the perspective of symbiotic behavior. Nankai Bus. Rev. 2023, 1–32. [Google Scholar]
- Sargento, A.; Lopes, A.S. Territorial resilience on the aftermaths of COVID-19 crisis—An exploratory analysis on the role of innovation. Reg. Sci. Policy Pract. 2024, 16, 12697. [Google Scholar] [CrossRef]
- Sonmez, Z. Inter-regional inventor collaboration and the commercial value of patented inventions: Evidence from the US biotechnology industry. Ann. Reg. Sci. 2018, 61, 399–438. [Google Scholar] [CrossRef]
- Yu, B.T.; Wang, Z.G. Relational governance, contractual governance and agro-industrial ecosystem evolution. Manag. World 2023, 39, 54–78. [Google Scholar]
- Wang, H.H.; Li, Y.J.; Gong, Y.Y. Technological Diversification, Continuous Innovation and Firm Resilience—The Moderating Role of Dual Networks. Sci. Technol. Prog. Policy 2024, 1–12. [Google Scholar]
- Gao, Y.; Li, Z.; Li, J.Q. Keeping the “right” and innovation: Evidence from task-oriented policies. World Econ. 2024, 5, 96–122. [Google Scholar]





| Theoretical Framework | Standardized Layer |
|---|---|
| evolutionary toughness theory [24] | Diversity–Buffering–Evolution–Mobility–Compatibility |
| ecosystem theory [25] | Ecological resilience–Economic Resilience–Social Resilience–Infrastructure Resilience |
| adaptive circulation theory [26] | Develop–Maintain–Release–Reorganize |
| actor network theory [27] | Reactivity–Adaptability–Resilience |
| Dimension | Indicator | Variable Description | Indicator Source |
|---|---|---|---|
| elemental support | Talent factor allocation | R&D developers [29] | China High-Tech Industry Statistical Yearbook |
| Science and technology factorization | Number of new product development projects [30] | China High-Tech Industry Statistical Yearbook | |
| Allocation of financial elements | Provision for new product development [31] | China High-Tech Industry Statistical Yearbook | |
| R&D investment intensity [32] | China High-Tech Industry Statistical Yearbook | ||
| Energy factor allocation | Energy consumption per unit of GDP [33] | China Statistical Yearbook | |
| structural resistance | Business diversity | Number of enterprises with R&D activities as a percentage of enterprises [34] | China High-Tech Industry Statistical Yearbook |
| Number of enterprises with R&D organizations as a share of enterprises [35] | China High-Tech Industry Statistical Yearbook | ||
| Diversity in higher education | Number of students enrolled in general higher education [36] | China Regional Economic Statistical Yearbook | |
| Number of higher education institutions [37] | China Regional Economic Statistical Yearbook | ||
| environmental restoration | Economic environment | GDP growth rate [38] | China Statistical Yearbook |
| Investment efficiency [39] | China Statistical Yearbook | ||
| Social environment | Industrial agglomeration [40] | China Labor Statistics Yearbook | |
| Ecological environment | Investment in pollution control [41] | China Environmental Statistical Yearbook | |
| functional renewal | Innovative features | Intensity of knowledge protection [42] | China IC Industry Intellectual Property Annual Report |
| Local finance expenditure on science and technology [43] | China Statistical Yearbook | ||
| Production function | Technical output [44] | China Statistical Yearbook | |
| Technical profit [45] | China Industrial Statistics Yearbook |
| Sample Size | Average Value | Upper Quartile | Standard Deviation | Minimum Value | Maximum Values | |
|---|---|---|---|---|---|---|
| Icr | 330 | 2.098 | 1.860 | 0.921 | 1.140 | 6.640 |
| Nksp | 330 | 3.009 | 3.091 | 2.172 | 0 | 8.928 |
| Iksp | 330 | 0.693 | 0.555 | 0.641 | 0.00600 | 3.960 |
| Rgo | 330 | 0.650 | 0.625 | 0.134 | 0.410 | 0.938 |
| Cgo | 330 | 1.320 | 1.282 | 0.401 | 0.100 | 3.043 |
| Variable | Icr | Nksp | Iksp | Rgo | Cgo | tec | tin | fin | con |
|---|---|---|---|---|---|---|---|---|---|
| Icr | 1 | ||||||||
| Nksp | 0.686 *** | 1 | |||||||
| Iksp | 0.571 *** | 0.394 *** | 1 | ||||||
| Rgo | −0.100 * | −0.0390 | −0.114 ** | 1 | |||||
| Cgo | 0.320 *** | 0.497 *** | 0.127 ** | −0.117 ** | 1 | ||||
| tec | 0.843 *** | 0.541 *** | 0.461 *** | −0.156 *** | 0.305 *** | 1 | |||
| tin | 0.0190 | −0.0450 | 0.0380 | −0.219 *** | 0.0550 | 0.186 *** | 1 | ||
| fin | 0.787 *** | 0.716 *** | 0.347 *** | −0.0540 | 0.503 *** | 0.785 *** | 0.319 *** | 1 | |
| con | 0.251 *** | 0.415 *** | 0.158 *** | −0.217 *** | 0.302 *** | 0.162 *** | 0.203 *** | 0.415 *** | 1 |
| VIF | 1.37 | 2.87 | 1.23 | 1.50 | 3.62 | 1.50 | 6.22 | 1.50 |
| Statistic | p | |
|---|---|---|
| Modified Phillips–Perron t | 2.0232 | 0.0215 |
| Phillips–Perron t | −1.8965 | 0.0289 |
| Augmented Dickey–Fuller t | −3.3236 | 0.0004 |
| (1) | (2) | (3) | (4) | |
|---|---|---|---|---|
| Icr | Icr | Icr | Icr | |
| Nksp | 0.060 *** | 0.053 *** | 0.026 *** | 0.032 *** |
| (0.012) | (0.009) | (0.004) | (0.004) | |
| Cgo | 0.268 * | |||
| (0.147) | ||||
| Rgo | 0.011 | |||
| (0.022) | ||||
| Nksp × Cgo | 0.088 *** | |||
| (0.013) | ||||
| Nksp × Rgo | −0.015 *** | |||
| (0.004) | ||||
| tec | 0.039 | −0.012 | 0.004 | |
| (0.043) | (0.016) | (0.017) | ||
| tin | 0.679 *** | 0.758 *** | 0.779 *** | |
| (0.157) | (0.104) | (0.108) | ||
| fin | 0.011 | 0.034 ** | 0.019 | |
| (0.020) | (0.013) | (0.014) | ||
| con | −0.000 | −0.022 | 0.041 | |
| (0.064) | (0.026) | (0.028) | ||
| _cons | 1.905 *** | 2.028 *** | 2.189 *** | 2.209 *** |
| (0.035) | (0.042) | (0.028) | (0.031) | |
| N | 330 | 330 | 330 | 330 |
| R2 | 0.397 | 0.488 | 0.565 | 0.515 |
| id | yes | yes | yes | yes |
| year | yes | yes | yes | yes |
| Tailing Treatment (1) | One-Phase Lag (2) | Alternate Explanatory Variable (3) | Instrumental Variable (4) | |
|---|---|---|---|---|
| Tailing treatment | 0.092 *** | |||
| (0.020) | ||||
| L.Nksp | 0.028 *** | |||
| (0.009) | ||||
| Alternate explanatory variable | 0.074 *** | |||
| (0.017) | ||||
| Instrumental variable | 0.0876 *** | |||
| (3.25) | ||||
| Control variable | Yes | Yes | Yes | Yes |
| Time variable | Yes | Yes | Yes | Yes |
| Province variable | Yes | Yes | Yes | Yes |
| LM statistics | 8.38 ** | |||
| Wald F statistic | 173.201 *** | |||
| N | 272 | 300 | 330 | 300 |
| R2 | 0.557 | 0.497 | 0.492 | 0.489 |
| Yangtze River Delta | Beijing and Tianjin Ring the Bohai Sea | Pan-Pearl River Delta | Middle Part | Northeast | Northwest | |
|---|---|---|---|---|---|---|
| Nksp | 0.070 | 0.032 | 0.061 *** | 0.026 | 0.039 | 0.030 |
| (0.054) | (0.017) | (0.014) | (0.015) | (0.016) | (0.018) | |
| tec | 0.429 * | 0.191 | −0.005 | 0.102 | −0.008 | −0.184 |
| (0.153) | (0.111) | (0.239) | (0.148) | (0.080) | (0.329) | |
| tin | 0.268 ** | 0.105 *** | 0.006 | −0.073 | 0.136 | 0.031 |
| (0.077) | (0.026) | (0.116) | (0.063) | (0.095) | (0.096) | |
| fin | −0.267 ** | 0.063 | 0.106 | 0.012 | 0.528 ** | −0.085 |
| (0.060) | (0.072) | (0.098) | (0.076) | (0.112) | (0.342) | |
| con | −0.035 | −0.165 | −0.081 | −0.082 | 0.126 | −0.000 |
| (0.240) | (0.168) | (0.164) | (0.088) | (0.156) | (0.159) | |
| _cons | 2.295 *** | 1.963 *** | 2.086 *** | 1.872 *** | 1.971 *** | 1.113 * |
| (0.131) | (0.038) | (0.210) | (0.127) | (0.125) | (0.438) | |
| N | 44.000 | 55.000 | 99.000 | 44.000 | 33.000 | 55.000 |
| R2 | 0.851 | 0.818 | 0.389 | 0.814 | 0.910 | 0.301 |
| id | Fixed time | Yes | Yes | Yes | Yes | Yes |
| year | Provincial fixation | Yes | Yes | Yes | Yes | Yes |
| Variables | I | Z | p-Value |
|---|---|---|---|
| a2011 | 0.063 | 2.126 | 0.017 |
| a2012 | 0.079 | 2.450 | 0.007 |
| a2013 | 0.079 | 2.473 | 0.007 |
| a2014 | 0.076 | 2.410 | 0.008 |
| a2015 | 0.075 | 2.425 | 0.008 |
| a2016 | 0.078 | 2.517 | 0.006 |
| a2017 | 0.074 | 2.479 | 0.007 |
| a2018 | 0.082 | 2.666 | 0.004 |
| a2019 | 0.078 | 2.648 | 0.004 |
| a2020 | 0.086 | 2.823 | 0.002 |
| a2021 | 0.069 | 2.603 | 0.005 |
| Test | Statistic | df | p-Value |
|---|---|---|---|
| Spatial error | |||
| Lagrange multiplier | 46.981 | 1 | 0.000 |
| Robust Lagrange multiplier | 74.624 | 1 | 0.000 |
| Spatial lag | |||
| Lagrange multiplier | 8.737 | 1 | 0.003 |
| Robust Lagrange multiplier | 36.381 | 1 | 0.000 |
| Human Capital Matrix | Geographic Distance Matrix | |
|---|---|---|
| Iksp | 0.033 *** [0.0169] | 0.019 ** [0.0086] |
| W × Iksp | 0.110 *** [0.0361] | 0.090 *** [0.0287] |
| W × Icr | −0.278 *** [0.1014] | −0.316 *** [0.1036] |
| Direct effect | 0.029 * [0.0169] | 0.015 * [0.0086] |
| Indirect effect | 0.086 *** [0.0296] | 0.071 *** [0.0223] |
| Total effect | 0.115 *** [0.0324] | 0.086 *** [0.0238] |
| Control variable | Yes | Yes |
| Time fixed effect | Yes | Yes |
| Provincial fixed effect | Yes | Yes |
| Observed value | 330 | 330 |
| R2 | 0.416 | 0.177 |
| AIC | −415.5 | −415.6 |
| BIC | −312.9 | −313.0 |
| Variable | Main | Wx | Direct Effect | Indirect Effect | Total Effect |
|---|---|---|---|---|---|
| Icr | 0.124 *** [0.0181] | 0.111 * [0.0666] | 0.122 *** [0.0178] | 0.069 [0.0478] | 0.191 *** [0.0545] |
| Cgo | −0.037 ** [0.0146] | 0.113 ** [0.0568] | −0.042 *** [0.0122] | 0.103 ** [0.0455] | 0.061 [0.0474] |
| Icr × Cgo | 0.049 *** [0.0104] | −0.078 [0.0551] | 0.053 *** [0.0101] | −0.074 * [0.0436] | −0.020 [0.0454] |
| Icr | 0.110 *** [0.0197] | 0.175 *** [0.0649] | 0.104 *** [0.0198] | 0.110 ** [0.0443] | 0.214 *** [0.0486] |
| Rgo | −0.012 [0.0114] | −0.073 ** [0.0313] | −0.010 [0.0101] | −0.057 ** [0.0253] | −0.068 *** [0.0258] |
| Icr × Rgo | 0.020 * [0.0114] | 0.074 ** [0.0326] | 0.018 [0.0125] | 0.056 ** [0.0255] | 0.074 *** [0.0250] |
| (1) | (2) | (3) | (4) | |
|---|---|---|---|---|
| High Innovation Region | Low Innovation Region | Talent Base | Talent Depression | |
| Direct effect | 0.077 * [0.0177] | 0.116 * [0.0675] | 0.037 ** [0.0164] | 0.038 *** [0.0132] |
| Indirect effect | 0.103 * [0.0555] | −0.243 ** [0.1143] | 0.150 * [0.0895] | 0.040 [0.0388] |
| Total effect | 0.181 *** [0.0612] | −0.127 [0.1361] | 0.187 ** [0.0945] | 0.078 * [0.0419] |
| Control variable | yes | yes | yes | yes |
| Time fixed effect | yes | yes | yes | yes |
| Provincial fixed effect | yes | yes | yes | yes |
| Observed value | 165 | 165 | 110 | 220 |
| R2 | 0.223 | 0.458 | 0.301 | 0.228 |
| AIC | −191.8 | −110.6 | −232.5 | −233.9 |
| BIC | −114.0 | −155.7 | −151.2 | −152.6 |
| Hypothesis | Hypothesis Validation |
|---|---|
| Hypothesis H1: Intra-regional knowledge spillovers will positively affect IC innovation ecosystem resilience. | support |
| Hypothesis H2: There are spatial spillovers in the impact of inter-regional knowledge spillovers on IC innovation ecosystems, and inter-regional knowledge spillovers not only promote the resilience of IC innovation ecosystems in the region, but also act on the resilience of IC innovation ecosystems in neighboring provinces. | support |
| Hypothesis H3a: The contractual governance mechanism can enhance the impact of intra-regional knowledge spillovers on the resilience of IC innovation ecosystems. | support |
| Hypothesis H3b: The contractual governance mechanism can enhance the impact of inter-regional knowledge spillover on the resilience of IC innovation ecosystems. | support |
| Hypothesis H4a: The relationship governance mechanism has the potential to augment the influence of intra-regional knowledge spillover on the resilience of IC innovation ecosystems. | no support |
| Hypothesis H4b: The relationship governance mechanism can enhance the impact of inter-regional knowledge spillover on the resilience of IC innovation ecosystems. | partial support |
Disclaimer/Publisher’s Note: The statements, opinions and data contained in all publications are solely those of the individual author(s) and contributor(s) and not of MDPI and/or the editor(s). MDPI and/or the editor(s) disclaim responsibility for any injury to people or property resulting from any ideas, methods, instructions or products referred to in the content. |
© 2024 by the authors. Licensee MDPI, Basel, Switzerland. This article is an open access article distributed under the terms and conditions of the Creative Commons Attribution (CC BY) license (https://creativecommons.org/licenses/by/4.0/).
Share and Cite
Zhou, S.; Xu, X.; Liu, F. Knowledge Spillovers and Integrated Circuit Innovation Ecosystem Resilience: Evidence from China. Systems 2024, 12, 441. https://doi.org/10.3390/systems12100441
Zhou S, Xu X, Liu F. Knowledge Spillovers and Integrated Circuit Innovation Ecosystem Resilience: Evidence from China. Systems. 2024; 12(10):441. https://doi.org/10.3390/systems12100441
Chicago/Turabian StyleZhou, Shiyu, Xueguo Xu, and Fengmei Liu. 2024. "Knowledge Spillovers and Integrated Circuit Innovation Ecosystem Resilience: Evidence from China" Systems 12, no. 10: 441. https://doi.org/10.3390/systems12100441
APA StyleZhou, S., Xu, X., & Liu, F. (2024). Knowledge Spillovers and Integrated Circuit Innovation Ecosystem Resilience: Evidence from China. Systems, 12(10), 441. https://doi.org/10.3390/systems12100441
