Next Article in Journal
Evolution Mechanism of Public–Private Partnership Project Trust from the Perspective of the Supply Chain
Previous Article in Journal
An Emotional Design Model for Future Smart Product Based on Grounded Theory
 
 
Font Type:
Arial Georgia Verdana
Font Size:
Aa Aa Aa
Line Spacing:
Column Width:
Background:
Article

Optimal Government Subsidy Decision and Its Impact on Sustainable Development of a Closed-Loop Supply Chain

1
The Research Center of Energy Economy, School of Business Administration, Henan Polytechnic University, Jiaozuo 454150, China
2
School of Economics and Management, Tongji University, Shanghai 200092, China
*
Author to whom correspondence should be addressed.
Systems 2023, 11(7), 378; https://doi.org/10.3390/systems11070378
Submission received: 22 May 2023 / Revised: 10 July 2023 / Accepted: 20 July 2023 / Published: 23 July 2023

Abstract

Government subsidies generally play an important role in the sustainable operations management of a closed-loop supply chain (CLSC). This paper investigates the optimal government subsidy decision and its influence on the sustainable development of the CLSC, consisting of one manufacturer, one retailer, and one third-party collector, from the economic, environmental, and social perspectives. Based on game analysis technology, different Stackelberg game models among the government and the CLSC members are formulated to analyze the optimal decisions under different power structures. By conducting theoretic comparative and sensitivity analyses and a case study, the effects of the government subsidy and the power structure are explored from the total profit, environmental benefit, and social welfare. Results show that the subsidy is good for sustainable development of the CLSC, which improves the total profit of the CLSC members, environmental benefit, and social welfare and the improvement effect is more prominent when the CLSC members have unequal bargaining power. Moreover, according to the growth proportion of profit, the retailer and collector benefit more from the subsidy among the CLSC members when they have different bargaining power, otherwise, the CLSC members benefit equally from the subsidy, and the subsidy is more beneficial to the environment compared with the total supply chain profit and social welfare.

1. Introduction

With the rapid economic development, the demand for a wide variety of consumer goods grows quickly and thus generates enormous waste products, most of which are disposed of in landfills and cause inescapable environmental pollution. In recent years, owing to the increasing environmental awareness of customers and the strict environmental regulations of governments, enterprises are encouraged to invest in reverse logistics, which makes the traditional supply chain become a closed loop and more environmentally sustainable. Generally, reverse logistics mainly implements the recycling and remanufacturing processes, which can effectively reduce raw material and energy consumption, and, thus, reduce environmental pollution and save costs [1,2]. This paper mainly focuses on remanufacturing process since the aim of recycling is to remanufacture.
Although remanufacturing is beneficial to environmental protection and cost-saving, the manufacturers may be less motivated to engage in remanufacturing activities because of the following facts. First, some challenges still exist in the remanufacturing procedure due to the complex sources of waste products and the uneven quality of recycled products [3]. Second, some manufacturers may not be able to conduct remanufacturing activities in a lucrative way owing to the lack of mature remanufacturing technology [4]. In such situations, it is indispensable for the government to provide appropriate financial incentives to promote remanufacturing activities. Actually, to accelerate the development of remanufacturing, as an important form of financial incentive, a range of subsidies have been implemented in many countries. For example, subsidy fees for electric products have been assigned by Canadian and Japanese governments [5]. China established specialized funds to provide subsidies to the enterprises that make efforts to remanufacture used products [6].
To investigate the impact of government subsidy on the operations of remanufacturing, several studies have been conducted. For example, Wang et al. [5] examined the impacts of four different single subsidy policies and mixed subsidy policies on the recycling and remanufacturing activities in the Chinese auto-engine remanufacturing industry. Heydari et al. [7] analyzed the government’s role in the improvement of the supply chain coordination by denoting different incentives, including tax exemptions or subsidies to the CLSC members. Wan and Hong [3] explored the effects of subsidy policies including remanufacturing subsidy to one manufacturer and recycling subsidy to two recyclers from the viewpoint of customers, environment and CLSC members. More studies on the impact of the government subsidy are reviewed in Section 2.
It is worth noting that these related studies mainly investigate the external influence of the government subsidy on the performance of the CLSC from the economically and environmentally sustainable perspectives, in which the government merely plays a role of external regulation. In reality, the government may act as a decision-maker to participate in the decision process to make an optimal subsidy level from the social welfare perspective. He et al. [8] mainly investigated the manufacturer’s optimal channel structure and pricing decisions in a dual-channel CLSC with government subsidy offered to consumers buying remanufactured products, and then analysed the optimal subsidy levels under different channel structures from the perspective of social welfare. However, they only study the subsidy to consumers under one type of power structure, i.e., the manufacturer is a leader and the other CLSC members are followers. In various industries, due to the unequal levels of channel power of the CLSC members, different power structures may exist in the CLSC, which affect their decision sequences and, in turn, the performance of the CLSC. Consequently, it is necessary to evaluate how the government determines the optimal subsidy level to improve the sustainable performance of the CLSC under different power structures.
Considering that the government subsidy and power structure play important roles in the sustainable management of the CLSC, and the related analytical studies on this issue are few, this paper attempts to examine the optimal subsidy, pricing, and collecting decisions of a CLSC (including one manufacturer, one retailer, and one third-party collector) together with the government under different power structures and investigate the interactive impacts of the government policy (remanufacturing subsidy) and power structure on these decisions, as well as the sustainable development of the CLSC in three dimensions (i.e., supply chain profit, environmental benefit, and social welfare). It also provides advice for the government to determine a suitable subsidy level from the point of view of social welfare. Specifically, we aim at addressing the following research questions:
  • What are the optimal decisions of the government and CLSC members under different power structures?
  • How does the government subsidy decision affect the supply chain profit, environmental benefit and social welfare?
  • How does the power structure affect the impact of government subsidy on the sustainable performance of the CLSC?
  • Who benefits more from the government subsidy?
To answer the above research questions, we consider a three-echelon decision structure, consisting of the government providing a subsidy, the manufacturer producing new products and remanufacturing used products, the retailer selling new and remanufactured products to the customers, and the third-party collector collecting the used products from the market. This paper considers two power structures between manufacturer, retailer, and third-party collector within the CLSC, i.e., manufacturer Stackelberg and vertical Nash, to maximize their profits. The government always acts as the leader in the whole decision structure, and each player’s bargaining power level decides their position in the CLSC. Based on this, two different game models are formulated to examine the equilibrium strategies of the government and CLSC members. By comparing with the situation without government subsidy, we analyze the impacts of the government subsidy on the performance of the CLSC under different power structures.
The remainder of the paper is organized as follows. Section 2 briefly reviews the related literature. Section 3 presents the problem description and some assumptions. Section 4 proposes two Stackelberg game models and gives the corresponding optimal decisions of the CLSC under different power structures. Section 5 conducts the comparative and sensitivity analyses to discuss the impacts of the government subsidy and power structure and then provides some managerial insights. Some key conclusions and possible extensions for future research are pointed out in Section 6.

2. Literature Review

Two main threads are relevant to our work, (1) pricing decisions in CLSC under different power structures; (2) government finance incentive in supply chain management. In this section, by reviewing the related research, we discuss the research gaps and our contributions.

2.1. Pricing Decisions in CLSC under Different Power Structures

The CLSC integrates the forward supply chain with the reverse chain. Its operation management is more complicated compared with that only the forward supply chain is considered. The pricing decision problem is one of the main streams in the CLSC research.
In practice, the gaming sequences of the CLSC members may be different due to their unequal positions (bargaining power), which directly affects their decisions. For discussing the influence of gaming sequences of the CLSC members on the decisions and performance of the CLSC, many game models under different power structures were explored, including manufacturer-led, retailer-led and collector-led Stackelberg game models or Nash game model [9,10,11]. For example, Karakayali et al. [12] proposed manufacturer-driven and collector-driven models to analyze the optimal retail price of remanufactured products and acquisition price of used products under different power structures. Different from Karakayali et al. [12], Wang et al. [13] discussed the price decision considering reward–penalty mechanisms in the manufacturer-led and collector-led models. Ma et al. [14] studied the decisions of the wholesale price and transfer price in CLSCs with the price of anarchy under the manufacturer-led and retailer-led reverse channel structures and investigated how the different gaming sequences of CLSC members influence the worst-case performance. Wang et al. [15] formulated different Stackelberg game models for the manufacturer-led, the retailer-led, and the third-party-led structures to investigate the impacts of the power structure on the CLSC members’ profits under information symmetry and the information value for the CLSC members under information asymmetry. In addition to Stackelberg game models, Nash game model also has been proposed in these studies. Gao et al. [16] established manufacturer Stackelberg, retailer Stackelberg, and vertical Nash game models to analyze the impact of power structure on the CLSC members’ decisions and profits. Ke et al. [17] considered a CLSC under fuzzy environments and proposed the manufacturer Stackelberg and vertical Nash game models to discuss the influence of power structure on the performance of the chain. Jena and Meena [18] considered omnichannel retailing in CLSC under different channel power structures and proposed manufacturer Stackelberg, retailer Stackelberg, vertical Nash, and cooperation game models to explore the retailing strategy and its impact on CLSC profit. Mahdiraji et al. [19] studied a two-level CLSC with a dual collecting channel and considered the same game models as Jena and Meena [18] to find the optimal economic and environmentally sustainable solutions.
Most of the above studies do not consider dual channels in the forward or reverse chain; however, this situation often exists in CLSC management. Therefore, many scholars investigated the decision problem considering competing retailers or third-party collectors with different game behaviors, such as Johari and Hosseini-Motlagh [20] who proposed the decentralized decision-making models considering two different game behaviors of two retailers in the forward supply chain and two third-party collectors in the reverse supply chain under the remanufacturer Stackelberg game structure. Considering the retailers are in charge of sale and collection, Wang et al. [21] built three game models according to different game behaviors of the two retailers and explored whether the retailers benefit from collusive behavior.

2.2. Government Financial Incentive in Supply Chain Management

Government financial incentives are an economic stimulus for sustainable operations management in the supply chain. Different government financial incentive policies have been studied by many researchers in supply chain management [22,23,24]. As a common form of financial incentive, subsidies have been adopted by many governments. For different purposes, the government will choose different subsidy targets. For example, many governments offered a consumption-subsidy to consumers to stimulate domestic consumption for new or remanufactured products. In such a situation, Ma et al. [25] considered government consumption-subsidy in a dual-channel CLSC to analyze the impact of the consumption-subsidy from the perspective of consumers, enterprises, and the whole CLSC. Zhang et al. [26] analyzed the effects of regulatory policies for remanufacturing (i.e., either a tax or a consumer-subsidy policy) on the economic and environmental benefits, as well as social welfare. Zhang et al. [27] studied the impacts of two government subsidies to consumers for two types of green product on the economic and environmental performance of a two-echelon supply chain. Chen et al. [28] analyzed the impact of the consumer subsidy scheme on a vehicle manufacturer’s profit, the consumer and social welfare.
Of course, the subsidies may also be provided to the supply chain members. For such cases, Liu et al. [29] analyzed the effect of the government subsidy to the collector for e-waste recycling in dual channels under four competitive scenarios. Tan and Guo [30] studied the impact of the government subsidy to the remanufacturer on the performance of a CLSC. Feng et al. [31] investigated how the remanufacturing subsidy for an original equipment manufacturer or an independent remanufacturer affects the equilibrium strategies of the supply chain members, and the economic benefits and social welfare of the supply chain. Wu et al. [32] studied how to design an incentive mechanism to make the retailer report the true information and improve the recovery efficiency under the information asymmetry. Guo et al. [33] considered two programs, trade-old-for-new implemented by the manufacturer, and trade-old-for-cash provided by the third party collector for selling new products and recycling used products, respectively, and investigated the effects of the trade-old-for-new subsidy to the manufacturer on the firms, consumers, and society. Adam et al. [34] discussed the impact of the government incentives toward carbon emission reduction, product return, and energy savings on the optimal decision of the whole CLSC.
There are also some studies that analyze the different impacts of subsidies to consumers and supply chain members. For example, Yu et al. [35] considered how the government determines to subsidize consumers only, manufacturers only, or both to improve consumer welfare and manufacturer profit. Li et al. [36] investigated the impacts of consumer and producer subsidies and channel power structure on promoting innovation investment and increasing the benefit of consumers, supply chain members, and society in a two-tier supply chain. Liu et al. [37] constructed different game models according to different subsidy situations (i.e., subsidies to consumers or to manufacturers) and power structures in a sustainable supply chain to analyze the effects of government subsidies on the effort level of corporate social responsibility, consumer surplus, and supply chain profit. Mondal and Giri [38] developed four models for a sustainable CLSC, consisting of a manufacturer, a retailer, and a third-party collector, under different government policies, including no intervention or a tax-subsidy policy for consumers, or a reward–penalty mechanism for the manufacturer and third-party collector, or both, to discuss the impacts of different types of government interventions on the CLSC members, consumers, and the environment.
However, none of the above studies considers the situation that the government subsidizes more than one CLSC member simultaneously. Jena et al. [39] developed four models, for the cases of, respectively, subsidizing the customer, the collector, and the manufacturer and subsidizing both the manufacturer and collector, to investigate the effects of different subsidy policies on the performance of the CLSC. Wang et al. [6] explored the allocation of the government subsidy among all chain members in the reverse supply chain of e-waste and analyzed the impact of the government subsidy on the recycle quantity and economic benefit. Zhang and Yu [40] studied the impacts of the altruistic behavior of the low-carbon CLSC members and the compound subsidy of the government, including emission reduction subsidy to the manufacturer and recycling subsidy to the retailer, on the total profit and social welfare.

2.3. Research Gaps and Our Contributions

To give a clear comparison of our work with the main related researches, they are compared in Table 1. In accordance with the above review and the comparison in Table 1, the following research gaps and our contributions can be derived.
First, although some researchers study the pricing decision in a CLSC under different power structures, such as Ke et al. [17], Ma et al. [14], and Mahdiraji et al. [19], most of them do not take the factor of government’s financial incentive into consideration. In fact, the government’s financial incentive has great impact on the performance of the CLSC. Therefore, this paper studies the case that considers government subsidy in a CLSC and investigates how the government subsidy affects the optimal decisions of the CLSC members and the sustainable development of the CLSC under different power structures.
Second, most of previous studies that considers government subsidy assume the subsidy as an exogenous factor and analyze the impact of government subsidy on the performance of the CLSC, such as Adam et al. [34], Mondal and Giri [38], and Wang et al. [6], but the optimal subsidy level is not decided from the government’s perspective. This paper considers the government subsidy as an endogenous factor and the government participates in the decision process to determine the optimal subsidy level.
Third, although some studies discuss the government’s optimal subsidy level in the CLSC management [8,26,32,40], they only consider the case of subsidizing consumers or do not consider the effect of power structure on the performance of the CLSC. In this paper, we consider that the government subsidizes the manufacturer to stimulate the remanufacturing activities, and formulate a complicated three-stage Stackelberg game between the government and the CLSC members under different power structures to make their own optimal decisions and discuss the interactive influence of the government subsidy and power structure on the sustainable development of the CLSC.
Fourth, previous studies suggest that government subsidies can improve the economic performance of the CLSC [6,25], but it is not clear who benefits more from the government subsidy among the CLSC members, which will be addressed in this paper. In addition, when the government participates in the decision process, considering the marginal benefit of the subsidy may be decreasing as the subsidy increases, this paper determines the optimal subsidy rate from the perspective of social welfare under a required minimum return rate of the subsidy to balance the social welfare and the return rate of the subsidy.

3. Problem Description and Assumptions

A CLSC with one manufacturer, one retailer, and one third-party collector is considered in this study. In the forward channel, the manufacturer produces new products at unit manufacturing cost c m and wholesales the products to the retailer at unit wholesale price w, and then the products are sold to the customers through the retailer at unit retail price p. In the reverse channel, the waste products from the customers are gathered at unit cost c c with collection rate τ and transferred to the manufacturer with unit transfer price p c by the third-party collector and then remanufactured by the manufacturer at unit remanufacturing cost c r  1. To stimulate the manufacturer to engage in remanufacturing activities, the government subsidizes the manufacturer at a certain percentage (called the subsidy rate) of the total cost of unit remanufactured product (including remanufacturing cost and transfer price), i.e., s ( c r + p c ) , as an incentive of remanufacturing the collected waste products 2. In this way, the structure of the CLSC with government subsidy is illustrated in Figure 1.
In this paper, two power structures of the CLSC are considered regarding the different bargaining power of the CLSC members, which are more in line with real world. One (S) is that the manufacturer has much stronger bargaining power than other members so it performs as a Stackelberg leader and the others are followers. For example, the larger-sized manufacturers like BMW and Toyota often have much stronger bargaining power than other CLSC members. The other structure (N) is that all the members have the same bargaining power and play a Nash game. For instance, some small- or medium-sized manufacturers may face a super retailer like Walmart and Home Depot, and do not have the dominant bargaining power. Then two decision structures among the government and CLSC members and the corresponding decision-making sequences are described as follows (see Figure 2):
(1)
GS: The government, as a Stackelberg leader, is in the dominant position and determines the subsidy rate first. Then the manufacturer is in the subordinate position and decides the wholesale price after observing the government’s decision. Finally, the retailer and the third-party collector are followers and make decisions simultaneously based on the given wholesale price.
(2)
GN: The government is a Stackelberg leader and determines the subsidy rate first. Then as followers, the manufacturer, the retailer, and the collector play a Nash game and make decisions simultaneously.
According to these two different structures, we formulate two Stackelberg game models among the government and CLSC members to explore how the government makes decisions on the subsidy rate under different power structures and their impacts on the sustainable development of the CLSC in three dimensions (i.e., profit of the CLSC, environmental benefit, and social welfare) in the following sections.
For convenience, all the notations of parameters, derived functions, and decision variables used in this paper are collected in Table 2. The unit measurement of profit, price, cost, expenditure, environmental benefit, consumer surplus, and social welfare is $, the market size and demand are measured by number, the unit measurement of subsidy and collection rates is %, and some other parameters have no unit measurement. Moreover, the subscripts g s and g n are used to differentiate the two cases of the problem under GS and GN structures, respectively.
To model the problem and attain closed-form solutions, the following assumptions are considered.
Assumption 1. 
While optimizing their profits, all the CLSC members have access to the same information and are risk-neutral.
Assumption 2. 
Each collected waste product can be remanufactured and the remanufactured product has the same quality with the new one, so it can be resold successfully. This assumption is widely employed in previous relevant studies on CLSC [21,44,45].
Assumption 3. 
Similar to Ke et al. [17] and Wan and Hong [3], the sum of unit remanufacturing cost and unit transfer price is less than the unit manufacturing cost, then the average cost of a new product is c m ( c m c r p c ) τ .
Assumption 4. 
The demand function of this product is linear and formulated as
q = α β p ,
where α is the basic market size of the retailer, and β is the price sensitivity coefficient. This demand function is widely employed in the CLSC models [3,45,46].
Assumption 5. 
Referring to Dou and Cao [47], Ke et al. [17] and Savaskan et al. [45], the total collection cost is denoted as
C = k τ 2 + c c τ q ,
where k τ 2 is the fixed investment cost, c c τ q is the variable collection cost, and k is a scaling parameter, which is assumed to be large enough to guarantee that the profit functions of the CLSC members behave well and have a unique optimal solution, i.e., the second-order derivatives of the profit functions of CLSC members to the decision variables should not be greater than 0. On this basis, we assume that 2 k > c m ( p c c c ) β in this paper.
Assumption 6. 
Social welfare is the sum of supply chain profit, consumer surplus, and environmental benefit deducting subsidy expenditure [8,21,24].
Similar to Johari and Hosseini-Motlagh [20] and Panda [48], the consumer surplus is formulated as
C S = p p m a x q d p = α q β α β ( α β p ) d p = ( α β p ) 2 2 β .
According to Esenduran et al. [49] and Wang et al. [21], the environmental benefit is considered as a linear function of the returned waste products, that is:
E = e τ q = e τ ( α β p ) .
The subsidy is provided to the manufacturer per remanufactured product by the government, so the subsidy expenditure is:
S = s ( c r + p c ) τ q = s ( c r + p c ) τ ( α β p ) .
The total social welfare is derived as
S W = π + C S + E S ,
where π is the total profit of the whole CLSC, C S is the consumer surplus, E is the environmental benefit, and S is the subsidy expenditure.
Assumption 7. 
To guarantee the feasibility of performing the CLSC, the following conditions should be satisfied:
0 < c c < p c , 0 < c r < c m < w < p < α β , p c < c m c r , 0 s 1 .
According to the above problem description and assumptions, the profit functions of the manufacturer, the retailer and the collector are derived, respectively, as follows:
π m = ( w c m + ( c m c r p c + s ( c r + p c ) ) τ ) ( α β p ) ,
π r = ( p w ) ( α β p ) ,
π t = ( p c c c ) τ ( α β p ) k τ 2 .
Then, the total social welfare with government subsidy can be derived as follows:
S W = ( α β p ( s ) ) 2 2 β + ( p ( s ) + ( c m c r c c + e ) τ ( s ) c m ) ( α β p ( s ) ) k τ ( s ) 2 .

4. Model Formulations and Optimal Solutions

This section proposes two corresponding decentralised decision models to discuss the optimal government subsidy decision together with CLSC members’ decisions under the two different structures mentioned above.

4.1. GS Model

In the GS model, the government is in the dominant position and determines the subsidy rate first. Subsequently, the manufacturer decides its wholesale price as it is in a subordinate position. Finally, the retailer and the collector are followers and determine the retail price and collection rate simultaneously. In this situation, a three-stage Stackelberg game model is built.
max s S W = ( α β p ( s ) ) 2 2 β + ( p ( s ) + ( c m c r c c + e ) τ ( s ) c m ) ( α β p ( s ) ) k τ ( s ) 2 s . t . max w π m = ( w c m + ( c m c r p c + s ( c r + p c ) ) τ ) ( α β p ) s . t . max p π r = ( p w ) ( α β p ) max τ π t = ( p c c c ) τ ( α β p ) k τ 2 .
Utilizing backward induction to solve Model (12), the following proposition can be derived and the proof is given in Appendix A.
Proposition 1. 
In the GS model, for a given government subsidy rate s, the response functions of the manufacturer for determining the wholesale price w, the retailer for determining the retail price p and the collector for determining the collection rate τ can be derived as follows
w g s ( s ) = 2 k ( α + β c m ) ( A + D s ) B α β ( 4 k ( A + D s ) B β ) β ,
p g s ( s ) = k ( 3 α + β c m ) ( A + D s ) B α β ( 4 k ( A + D s ) B β ) β ,
τ g s ( s ) = B ( α β c m ) 2 ( 4 k ( A + D s ) B β ) ,
where A = c m c r p c , B = p c c c , and D = c r + p c represent the cost-saving of remanufacturing unit waste product, the income of collecting unit waste product, and the total cost of remanufacturing unit waste product, respectively.
According to Equations (4), (8)–(11), and (13)–(15), the profits of the CLSC members, the environmental benefit and the social welfare under a given government subsidy rate s (denoted as the GS 0 model) can be determined, which are illustrated in Table 3.
As the decisions of all the CLSC members are known by the government, by substituting them into Equation (11), Model (12) is rebuilt as
max s S W = k ( 14 k + ( B 2 A + 2 e 4 D s ) B β ) ( α β c m ) 2 4 β ( 4 k ( A + D s ) B β ) 2 .
Then, the following conclusion is derived for the GS model. The proof is provided in Appendix B.
Proposition 2. 
In the GS model, the optimal decision of the government (denoted as s g s 1 ) is:
s g s 1 = 1 .
By substituting s g s 1 for s in the results of the GS 0 model presented in Table 3, the optimal decisions, CLSC members’ profits, environmental benefit, and social welfare under the optimal subsidy rate s g s 1 (denoted as the GS 1 model) can be derived.
According to Proposition 2, we know that the government will subsidize all the costs of remanufacturing activities to maximize social welfare. However, the marginal benefit of the subsidy may decrease with the subsidy rate, which leads to a waste of public resources. Also, in practice, the government may not only pursue the social welfare maximization but also consider the return rate of the subsidy to increase the utility of the invested capital. So, let us discuss this issue in what follows.
The return rate of the subsidy (i.e., the increment of the social welfare from the unit subsidy) under the GS model can be calculated by the following formula
R g s = S W g s 0 S W a s S ,
where S W a s denotes the social welfare in the case that no subsidy is provided. It can be obtained by simply setting s = 0 .
Then the first-order derivative of R g s to s is deduced as:
R g s s = B D β ( 14 k + ( B 2 A + 2 e ) B β ) 2 ( 4 k A B β ) 2 .
In terms of Assumption 5, we have 2 k > ( A + D ) B β ; clearly, 14 k + ( B 2 A + 2 e ) B β > 0 . Therefore, R g s s < 0 , which implies that the return rate of the subsidy, R g s , is decreasing with s.
To sum up, although the social welfare is increasing with s, the return rate of the subsidy decreases with it, which implies that the marginal benefit of the subsidy is decreasing with the subsidy rate. In such a situation, the government may desire to balance the social welfare and the return rate of the subsidy by maximizing the social welfare under a required minimum return rate r. Consequently, Model (16) is reconstructed as follows:
max s S W = k ( 14 k + ( B 2 A + 2 e 4 D s ) B β ) ( α β c m ) 2 4 β ( 4 k ( A + D s ) B β ) 2 s . t . 48 k 2 + 2 k ( 4 B 6 A + 8 e 7 D s ) B β ( 2 A ( B + 2 e ) + ( B + 2 e 2 A ) D s ) B 2 β 2 2 ( 4 k A B β ) 2 r .
Proposition 3. 
Under the GS model with a required minimum return rate r, the optimal decision of the government (denoted as s g s 2 ) is
s g s 2 = 1 , i f r r 1 , 2 ( 4 k A B β ) ( ( B + 2 e + A r ) B β + k ( 6 4 r ) ) ( 14 k + ( B + 2 e 2 A ) B β ) B D β , i f r 1 < r < r 2 , 0 , i f r r 2 ,
where
r 1 = 48 k 2 + 2 k ( 4 B 6 A + 8 e 7 D ) B β ( 2 A ( B + 2 e ) + D ( B + 2 e 2 A ) ) B 2 β 2 2 ( 4 k A B β ) 2 , r 2 = 48 k 2 + 2 k ( 4 B 6 A + 8 e ) B β 2 A ( B + 2 e ) B 2 β 2 2 ( 4 k A B β ) 2 .
Proof. 
See Appendix C. □
The optimal decisions, profits of the CLSC members, environmental benefit and social welfare under the GS model with a given required minimum return rate r (denoted as the GS 2 model) can be acquired by substituting s g s 2 for s in the results of the GS 0 model presented in Table 3.

4.2. GN Model

In the GN model, the government is a Stackelberg leader and determines the subsidy rate first, while all the CLSC members are followers and make their own decisions simultaneously. Then a two-stage Stackelberg game model is constructed for this situation.
max s S W = ( α β p ( s ) ) 2 2 β + ( p ( s ) + ( A + B + e ) τ ( s ) c m ) ( α β p ( s ) ) k τ ( s ) 2 s . t . max w π m = ( w c m + ( A + D s ) τ ) ( α β p ) max p π r = ( p w ) ( α β p ) max τ π t = B τ ( α β p ) k τ 2 .
To solve Model (22), the response functions of the CLSC members are derived first. The proof is given in Appendix D.
Proposition 4. 
In the GN model, for a given government subsidy rate s, the response functions of the manufacturer for determining the wholesale price w, the retailer for determining the retail price p and the collector for determining the collection rate τ are acquired as follows:
w g n ( s ) = 2 k ( α + 2 β c m ) ( A + D s ) B α β ( 6 k ( A + D s ) B β ) β ,
p g n ( s ) = 2 k ( 2 α + β c m ) ( A + D s ) B α β ( 6 k ( A + D s ) B β ) β ,
τ g n ( s ) = B ( α β c m ) 6 k ( A + D s ) B β .
Substituting Equations (23)–(25) into Equations (4) and (8)–(11), the profits of the CLSC members, the environmental benefit, and the social welfare under a given government subsidy rate s (denoted as the GN 0 model) can be derived, which are also illustrated in Table 3.
Since the decisions of the CLSC members are known by the government, by substituting them into Equation (11), Model (22) can be rewritten as follows:
max s S W = k ( 10 k + ( B + 2 e 2 D s ) B β ) ( α β c m ) 2 β ( 6 k ( A + D s ) B β ) 2 .
Then, similar to Proposition 2, the following result is derived for the GN model.
Proposition 5. 
In the GN model, the optimal decision of the government (denoted as s g n 1 ) is:
s g n 1 = 1 .
By substituting s g n 1 for s of the GN 0 model in Table 3, the optimal decisions, profits of the CLSC members, environmental benefit, and social welfare under the optimal subsidy rate s g n 1 (denoted as the GN 1 model) can be derived.
Like the previous discussions on the GS model, similar results are found for the GN model. The social welfare is increasing with s, but the return rate of the subsidy decreases with s. Consequently, if we consider the constraint on the return rate of the subsidy, Model (26) is rebuilt as:
max s S W = k ( 10 k + ( B + 2 e 2 D s ) B β ) ( α β c m ) 2 β ( 6 k ( A + D s ) B β ) 2 s . t . 48 k 2 + 2 k ( 2 A + 6 B + 12 e 5 D s ) B β ( 2 A ( A + B + 2 e ) + ( B + 2 e ) D s ) B 2 β 2 2 ( 6 k A B β ) 2 r .
Then, similar to the proving of Proposition 3, the following proposition can be verified.
Proposition 6. 
Under the GN model with a required minimum return rate r, the optimal decision of the government (denoted as s g n 2 ) is:
s g n 2 = 1 , i f r r 3 , 2 ( 6 k A B β ) ( ( A + B + 2 e + A r ) B β + k ( 4 6 r ) ) ( 10 k + ( B + 2 e ) B β ) B D β , i f r 3 < r < r 4 , 0 , i f r r 4 ,
where
r 3 = 48 k 2 + 2 k ( 2 A + 6 B + 12 e 5 D ) B β ( 2 A ( A + B + 2 e ) + D ( B + 2 e ) ) B 2 β 2 2 ( 6 k A B β ) 2 , r 4 = 48 k 2 + 2 k ( 2 A + 6 B + 12 e ) B β 2 A ( A + B + 2 e ) B 2 β 2 2 ( 6 k A B β ) 2 .
The optimal decisions, profits of the CLSC members, environmental benefit, and social welfare under the GN model with a given required minimum return rate r (denoted as the GN 2 model) can be derived when the subsidy rate s of the GN 0 model in Table 3 is substituted by the optimal subsidy rate s g n 2 .

5. Comparative and Sensitivity Analyses

This section first conducts comparative analysis of the optimal decisions, profits of the CLSC members, environmental benefit, and social welfare under different models and investigates the effect of the required minimum return rate of subsidy on the sustainable performance of the CLSC analytically. Then, to obtain more detailed results of the comparative and sensitivity analyses, a real-world case study is presented. Finally, some managerial insights are given based on the analytical and numerical experimental results.

5.1. Analytic Comparison and Sensitivity Analysis

This subsection makes analytic comparisons of the optimal results under different models and sensitivity analysis of the required minimum return rate of subsidy.

5.1.1. Comparison of the Performance of the CLSC

In order to analyze whether the subsidy policies improve the sustainability of the CLSC and the impact of power structure, some comparisons are conducted in the following proposition, in which AS and AN models, respectively, denote the situations without government subsidy under two different power structures. The proof is provided in Appendix E.
Proposition 7. 
Comparing the optimal decisions, profits of the participants, consumer surplus, environmental benefit, and social welfare of different models, their relationships are illustrated in Table 4.
This proposition illustrates the impacts of the government subsidy and power structure on the optimal solutions, profits of the CLSC members, environmental benefit, and social welfare. According to Table 4, we can observe the following findings:
(1)
The provision of government subsidy can improve the sustainable performance of the whole CLSC under two power structures. Specifically, the subsidy can reduce the sale price, increase the demand and lead to a higher collection rate. Consequently, profits of the CLSC members, consumer surplus, environmental benefit, and social welfare all increase. This finding is consistent with existing studies [3,6,8,33]; however, different power structures are not considered simultaneously in those studies. In fact, the existence of unequal bargaining power among the CLSC members may have significant impact on the improvement effect of the subsidy on the sustainability of the whole CLSC.
(2)
Similar to previous studies [15,18,19], we find that when the CLSC members play a Nash game and make decisions simultaneously, the sale price decreases, and the demand and collection rate increase, leading to a higher profit of the CLSC, environmental benefit, and social welfare compared with the situation that the manufacturer acts as a leader in the CLSC. However, unlike those studies, which only analyze the impacts of power structure, we discuss the interactive influence of the government subsidy and power structure on the sustainable development of the CLSC.
(3)
If the government takes the return rate of the subsidy into consideration by requiring a minimum return rate, the CLSC sustainability can also be improved, but the improvement is less than the situation without considering the return rate, which is similar to the finding in Guo et al. [33] that the positive effects of the limited unit subsidy on the manufacturer, consumers, and society are always weaker than that under no subsidy constraint. However, unlike their simple restrictions on unit subsidy, we consider the utility brought by unit subsidy. While setting a required minimum return rate, the utility of the unit subsidy is increased, which means that the public resource is more effectively utilized.

5.1.2. Impact of the Required Minimum Return Rate

While considering the return rate of the government subsidy, a required minimum return rate is specified in the GS 2 and GN 2 models. The change of this minimum return rate directly influences the government’s decision on the subsidy rate, and, thus, affects the optimal decisions and performance of the CLSC. In order to investigate the impact, we have the following results and give the proof in Appendix F.
Proposition 8. 
For a lower required minimum return rate (r), the government’s optimal subsidy rate ( s ) is always 1, and the optimal decisions, profit of the CLSC, consumer surplus, environmental benefit and social welfare in the GS 2 and GN 2 models do not change with r. With the increase in r, the subsidy rate decreases, then the wholesale and retail prices increase, whereas the collection rate, the environmental benefit, the consumer surplus, the profit of the CLSC and the social welfare decrease. As r further increases to a much higher level, the optimal subsidy rate is 0, and the optimal decisions and performance of the CLSC are no longer changing.
This proposition discusses the impact of the required minimum return rate r on the optimal decisions, profit of the CLSC, consumer surplus, environmental benefit, and social welfare. Concerning those results, they can be explained as follows, if a low return rate r is required, the subsidy rate always is 1 and has no change with r, so the optimal decisions and performance of the CLSC do not change. As the subsidy rate is decreasing with r on the domain [ 0 , 1 ] , the subsidy will decrease with the further increase in r, then the manufacturer and the retailer will increase their sale prices to enhance their profits of the unit product. Consequently, the market demand is curtailed, and the third-party collector makes less effort for the waste recycling in the CLSC, thus the profits of CLSC members are decreased. Meanwhile, the consumer surplus and the environmental benefit also decrease due to the higher retail price and less waste recycling, and, accordingly, the whole social welfare also decreases. If r further increases to a much higher level, the required return rate may not be realized. In such a case, no subsidy would be provided by the government, thus the optimal decisions, profit of the CLSC, consumer surplus, environmental benefit, as well as the whole social welfare, do not change.

5.2. Case Study

A real-world case study of end-life vehicle remanufacturing from a modern passenger car manufacturer, Company A, in China is presented to verify the validity and reliability of the proposed models and analytical results. Company A is a modern passenger car manufacturer, which produces different types of passenger cars to meet various customer demands, including conventional (fossil fuel) vehicle, plug-in hybrid electric vehicle, battery electric vehicle, fuel cell electric vehicle, and so on. This company sells the cars through a retailer and remanufactures the cars by means of the end-life vehicle collected by a third-party collector. Furthermore, the government acts as a mediator to provide subsidy as economic incentive to stimulate the manufacturer to actively engage in remanufacturing activities. Therefore, it is critical for Company A to make an appropriate price strategy to increase customer demand and profit of the whole CLSC (i.e., economical aspects) and improve the collection rate (i.e., environment aspect), and for the government to decide appropriate subsidy level, to improve the sustainability of the whole CLSC (i.e., social welfare).
In the following, the data of Company A and local government are applied to the proposed models. Based on the investigation on Company A and interview with enterprise experts, the input parameter values of the proposed models for this case study are illustrated in Table 5. It should be noted that the parameter values have been estimated based on the assumptions in this paper, the reasonable relationship between the parameters and previous similar research works.

5.2.1. Optimal Decisions under Different Models

Using the model parameter values in Table 5, the optimal solutions, profits of the CLSC members and social welfare under different models are compared in Table 6.
From Table 6, by comparing the AS, GS 1 , and GS 2 models, or the AN and GN 1 models, it is obvious that the government subsidy increases the profit of the supply chain, environmental benefit, and social welfare. Due to that the subsidy rate is 0 under the GN 2 model, the performance of the supply chain has no improvement. In other words, the government subsidy can improve the sustainable performance of the CLSC. By comparing the GS 1 and GN 1 models, we can obtain the same conclusion as that obtained by the comparison between the GS 0 and GN 0 models (see Table 4). Although the GS 2 and GN 2 models with the same required return rate of the subsidy have different subsidy rates, the same conclusion can also be derived. That is, the existence of dominance in the CLSC results in poor performance of the CLSC. In addition, when a high return rate of the subsidy is asked, the government subsidy decreases, leading to less improvement of the CLSC sustainability, and even no subsidy is given. These results are consistent with Proposition 7.
Moreover, it can be found from Table 6 that the return rate in GS 1 model is far higher than that in GN 1 model with the same subsidy rate, which shows that the improvement effect of the government subsidy on the sustainable performance of the whole CLSC is more prominent when the CLSC members have unequal bargaining power. This finding implies the power structure of the CLSC has significant influence on the improvement effect of the government subsidy. This interactive influence of the government subsidy and power structure on the sustainable development of the CLSC has not been analyzed by other studies, such as [8,18,19,33].

5.2.2. Impact of Required Minimum Return Rate

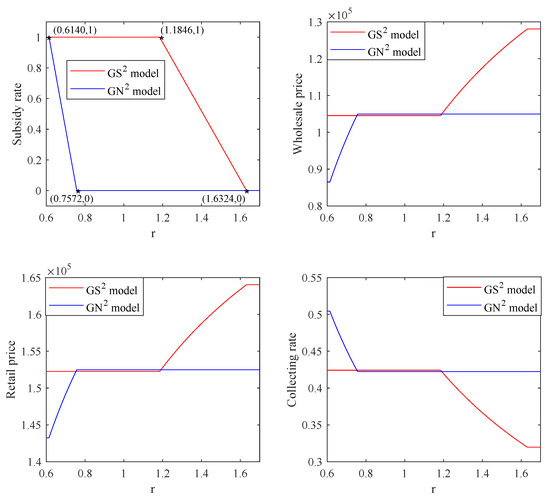
Based on the input parameter values in Tabel Table 5, the change trends of the optimal decisions and performance of the CLSC concerning a varying required minimum return rate r in the GS 2 and GN 2 models are depicted in Figure 3 and Figure 4.
It follows from Figure 3 and Figure 4 that if the minimum return rates r required by the government under two models are lower than 1.1846 and 0.6140, respectively, the government’s optimal subsidy rate is 1, and the optimal decisions and performance of the CLSC have no change with r. With the increase in r, the subsidy rate will decrease until it reaches 0, and wholesale and retail prices increase while the collection rate, profit of the CLSC, consumer surplus, environmental benefit, and social welfare decrease. When the government does not provide subsidies, the optimal decisions and performance of the CLSC accordingly do not change with r. These results are consistent with Proposition 8.
In addition, it should be noted that the subsidy rate in the GN 2 model decreases faster than that in the GS 2 model with the same increase level of return rate, leading to the same change trends of the optimal decisions of the CLSC members, profit of the supply chain, consumer surplus, environmental benefit, and social welfare under different models, which implies that impact of the minimum return rate on the decisions and performance of the CLSC are more prominent in the GN 2 model compared with GS 2 model. However, it can be seen from Figure 3 that for the same level of subsidy rate, the return rate in the GS 2 model is much higher than that in the GN 2 model. When the subsidy rate is one, the return rates in GS 2 and GN 2 models are 1.1846 and 0.6140, respectively, and when the subsidy rate is close to zero, the return rates in GS 2 and GN 2 models are 1.6342 and 0.7572, respectively, that is, r 1 = 1.1846 , r 2 = 1.6342 , r 3 = 0.6140 , and r 4 = 0.7572 , which means that r 1 > r 3 and r 2 > r 4 . These results illustrate that the government subsidy has a more significant impact on the improvement of the social welfare in the GS structure under the situation with same subsidy rate. In other words, the improvement effect of the subsidy on the performance of CLSC is more prominent due to the existence of dominance in the CLSC, which is consistent with the above-mentioned analysis and result.

5.2.3. Benefits of the Government Subsidy

To further discuss the benefits from the government subsidy, the increased percentages of profit for each member, consumer surplus, environmental benefit, and social welfare under different models compared with the situation without government subsidy based on the relevant results (see Table 6) are illustrated in Table 7.
From Table 7, we can see that all parts involved in this game, including the CLSC members, consumer and environmental concerns, benefit from the government subsidy, but with distinct degrees under different structures. Under the GS 1 and GS 2 models, the retailer and the collector have a much higher increase in profit than the manufacturer. For the GN 1 model, all the parts have the same increased percentage on their benefits. Under the GN 2 model with a required minimum return rate of 1.5, the government will not provide a subsidy. In such a situation, there is no change for each CLSC member’s profit and social welfare. The results illustrate that the retailer and the collector benefit more from the subsidy among the CLSC members when there exists dominance in the supply chain, otherwise, the CLSC members benefit equally from the subsidy.
If the government subsidies are provided, the increased percentages of the CLSC’s total profit, consumer surplus, and environmental benefit are all higher than that of the social welfare under two different structures, and the increased percentage of the environmental benefit is higher than that of the CLSC’s total profit, which implies the government subsidy is more beneficial to the environment compared with economic and social aspects.

5.3. Managerial Insights

For the sake of promoting the sustainable development of a CLSC, the government may provide subsidies as an incentive to the manufacturer for remanufacturing. Considering the different bargaining power of the CLSC members, two power structures among them are formulated. Based on this, our research investigates two game models to analyze the optimal decisions and performance of the CLSC. According to the above analyses, some managerial insights are suggested as follows:
1.
The government subsidy can effectively accelerate the sustainable development of the CLSC in both two different power structures. For the seeking of maximizing social welfare, the government should increase the subsidy. However, considering the return rate of the subsidy, the subsidy rate should not be too high as its marginal benefit decreases with the increasing of subsidy rate. Therefore, the government should determine a suitable subsidy rate based on its objective of balancing the social welfare and the return rate of the subsidy to make the public resources effectively utilized.
2.
The return rate of the subsidy is an important factor in the game models and how to reasonably set the return rate is an important challenge in applying the proposed models. If the return rate of the subsidy is asked too high, it cannot be achieved, and the government will not provide subsidies from the perspective of model optimization. If the return rate of the subsidy is set too low, the government will provide a higher subsidy rate from the perspective of maximizing social welfare, but a higher subsidy rate will impose a heavier financial burden on the government and cause inefficient utilization of public resources. Therefore, it is necessary to comprehensively consider various situations to set a reasonable subsidy rate.
3.
The power structure has a significant impact on the sustainable performance of the CLSC. The existence of dominance in the CLSC leads to a poor performance of the total system compared with the situation without dominance, higher retail price along with lower total profit, environmental benefit, and social welfare. In this situation, the participants located in inferior positions would be encouraged to take action to enhance the bargaining power and, thus, improve the sustainable performance of the CLSC.
4.
For the benefits from the government subsidy, the increased percentage of the profit of the retailer/collector is higher when the CLSC members have different bargaining power, which implies that the retailer/collector can benefit from the government subsidy more than the manufacturer. Otherwise, the CLSC members benefit equally from the subsidy. Therefore, when the manufacturer has stronger bargaining power and is provided with subsidy, the government should guide the retailer to surrender part of the profit to the consumers by further reducing the price to expand the market demand and the collector to make more effort for waste recycling to enhance environment benefit, and increase social welfare.
5.
On the one hand, the subsidy’s improvement on the sustainable performance of the CLSC in the GN model is weaker than that in the GS model, that is, the existence of dominance in the CLSC increases the improvement effect of the subsidy. On the other hand, CLSC members in a disadvantaged position benefit more from the government subsidy, which is more conducive to the sustainable development of the CLSC. Therefore, the GS model is more advantageous than the GN model from the perspective of the subsidy’s improvement on the performance of the whole CLSC.

6. Conclusions

In this paper, we investigated the optimal government subsidy decision and its impact on the sustainable development of a CLSC with one manufacturer, one retailer, and one third-party collector considering different power structures. According to different situations, we built two diverse game models including GS and GN models. Then using game theory, we obtained the optimal subsidy, pricing and collection decisions in different models. Finally, we made comparisons among different models and sensitivity analysis of the required minimum return rate analytically and numerically to discuss the impacts of the government subsidy and power structure on the sustainable performance of the CLSC.
The key results can be summarized as follows: The government subsidy improves the sustainable performance of the total system, i.e., it reduces the sale price, increases the quantity of waste recycling, leading to the increase in the total profit, environmental benefit and social welfare in both two power structures; the dominance of the manufacturer results in poor performance of the whole CLSC but brings about prominent improvement effect of the subsidy; the retailer/collector can benefit from the government subsidy more than the manufacturer when the manufacturer have strong bargaining power, otherwise, the CLSC members benefit equally from the subsidy; and the government subsidy has a more significant impact on the environment benefits compared with the total supply chain profit and the social welfare.
Unlike existing studies where either government subsidy or different power structures were not considered, this paper tried to simultaneously take the government subsidy and power structures into account in the CLSC and analyzed the interactive impacts of the government subsidy and power structures on the sustainable development of the CLSC. In addition, considering that the government subsidy is assumed to be an exogenous parameter in most of the previous studies, which ignores the leading role of government, this paper explored the optimal subsidy rate decided by the government as a Stackelberg leader from the perspective of maximizing social welfare. More importantly, this work can help government gain a better understanding of the effect of government subsidy under different power structures on the sustainability of the CLSC and thus formulate a scientific and reasonable subsidy level to achieve the sustainable development of the CLSC.
In the future, our work can be expanded from the following aspects. First, this paper only considers the case that the subsidy is provided to the manufacturer, thus future work can consider that the subsidies are offered to the retailer and the third-party collector to make a comparison among different subsidy policies. Second, this paper assumes that all parameters are deterministic. In practice, some parameters may be uncertain due to unpredictable and changeable factors. Therefore, considering the decision problem under uncertain environments is another direction. In addition, the information among the CLSC members is assumed to be symmetric, thus asymmetry information in CLSC can be considered in the future.

Author Contributions

Conceptualization, M.Z.; Methodology, Y.G. and Y.L.; Software, Y.L.; Validation, M.X. and M.Z.; Formal analysis, Y.G.; Investigation, M.Z.; Data curation, M.X.; Writing—original draft, Y.G.; Writing—review and editing, M.Z.; Visualization, Y.L.; Funding acquisition, Y.G. All authors have read and agreed to the published version of the manuscript.

Funding

This work was supported by grants from the Philosophy and Social Science project of Henan Province (No. 2022CJJ145), the Basic research funds of Henan Polytechnic University special project (SKJYB2023-05), and the Innovation Team of Philosophy and Social Sciences of Henan Polytechnic University (CXTD2021-2).

Institutional Review Board Statement

Not applicable.

Informed Consent Statement

Not applicable.

Data Availability Statement

Not applicable.

Acknowledgments

The author especially thanks the editors and anonymous referees for their kind review and helpful comments.

Conflicts of Interest

We declare that we have no relevant or material financial interests that relate to the research described in this paper. The manuscript has neither been published before, nor has it been submitted for consideration of publication in another journal.

Sample Availability

Samples of the compounds are available from the author.

Abbreviations

The following abbreviations are used in this manuscript:
CLSCClosed-loop supply chain
GSA structure that the government is in the dominant position, the manufacturer is in the
subordinate position, and the retailer and the third-party collector are followers and make
decisions simultaneously.
GS 0 The government subsidy rate is a known parameter in the GS model.
GS 1 The government subsidy rate is a decision variable in the GS model.
GNA structure that the government is in the dominant position and the CLSC members are
followers and play a Nash game.
GN 0 The government subsidy rate is a known parameter in the GN model.
GN 1 The government subsidy rate is a decision variable in the GN model.

Appendix A. Proof of Proposition 1

In the GS model, under a given government subsidy rate s, the manufacturer is the game leader, and the retailer and the third-party collector are the followers. By using the backward induction, we first obtain the response functions of the retailer and the collector with a given wholesale price w.
From Equations (9) and (10), the first-order and second-order derivatives of the profits of the retailer π r to p and the third-party collector π t to τ are derived as follows:
π r p = α + ( w 2 p ) β , π t τ = ( p c c c ) ( α β p ) 2 k τ ,
2 π r p 2 = 2 β , 2 π t τ 2 = 2 k .
On account of Equations (A2), we know that π r and π t are concave in p and τ , respectively. Therefore, by setting Equations in (A1) to zero, we derive
p g s ( w ) = α + β w 2 β , τ g s ( w ) = ( p c c c ) ( α β w ) 4 k .
Next, we solve the response function of the manufacturer for the wholesale price w. As the retailer and the third-party collector are followers, their response functions are known by the manufacturer. By substituting Equation (A3) into Equation (8), the manufacturer’s profit is rewritten as
π m = ( α β w ) ( 4 k ( w c m ) + ( A + D s ) B ( α β w ) ) 8 k ,
where A = c m c r p c , B = p c c c and D = c r + p c .
Based on Equation (A4), the first-order and second-order derivatives of the profit of the manufacturer π m to w are derived as follows:
π m w = 2 k ( α + β c m ) ( A + D s ) B α β ( 4 k ( A + D s ) B β ) β w 4 k ,
2 π m w 2 = β 1 ( A + D s ) B β 4 k .
According to Assumption 5, we know that 2 k > c m ( p c c c ) β , i.e., 2 k > ( A + D ) B β . Since s 1 , thus 4 k > ( A + D s ) B β . Then by Equation (A6), it can be known that π m is concave in w. Therefore, by setting Equation (A5) to zero, the response function of the manufacturer for the wholesale price w g s ( s ) can be deduced, then deriving p g s ( s ) and τ g s ( s ) .

Appendix B. Proof of Proposition 2

On account of Model (16), the first-order derivative of the social welfare S W to s can be obtained as:
S W s = B D k ( 6 k + ( B + 2 e 2 D s ) B β ) ( α β c m ) 2 2 ( 4 k ( A + D s ) B β ) 3 .
Based on Assumptions 5 and 7, we have:
6 k + ( B + 2 e 2 D s ) B β > 3 ( A + D ) B β + ( B + 2 e 2 D s ) B β ( 3 A + B + 2 e + D ) B β > 0 .
Since α β c m > 0 and 4 k ( A + D s ) B β > 0 , according to Equation (A7), we can obtain that S W s > 0 , which means that the social welfare is increasing with s. Additionally, due to 0 s 1 , so the optimal government subsidy rate is 1.

Appendix C. Proof of Proposition 3

In accordance with Equations (A7) and (19), we know that the social welfare is increasing for s and the return rate of the subsidy is decreasing for s within [ 0 , 1 ] . Therefore, based on model (20), the optimal subsidy rate can be obtained by solving the following Equation:
48 k 2 + 2 k ( 4 B 6 A + 8 e 7 D s ) B β ( 2 A ( B + 2 e ) + ( B + 2 e 2 A ) D s ) B 2 β 2 2 ( 4 k A B β ) 2 = r .
By solving Equation (A8), we have:
s = 2 ( 4 k A B β ) ( ( B + 2 e + A r ) B β + k ( 6 4 r ) ) ( 14 k + ( B + 2 e 2 A ) B β ) B D β .
However, the subsidy rate is limited to the range of [ 0 , 1 ] . We can obtain the return rates corresponding to s = 1 and s = 0 as
r 1 = 48 k 2 + 2 k ( 4 B 6 A + 8 e 7 D ) B β ( 2 A ( B + 2 e ) + ( B + 2 e 2 A ) D ) B 2 β 2 2 ( 4 k A B β ) 2
and
r 2 = 48 k 2 + 2 k ( 4 B 6 A + 8 e ) B β 2 A ( B + 2 e ) B 2 β 2 2 ( 4 k A B β ) 2 ,
respectively. It is obvious that if r r 1 , the optimal subsidy rate is 1 and if r r 2 , the optimal subsidy rate is 0.

Appendix D. Proof of Proposition 4

In the GN model, under a given government subsidy rate s, the manufacturer, the retailer and the third-party collector play the Nash game and make decisions simultaneously. In view of Equations (8)–(10), the first-order and second-order derivatives of π m to w, π r to p, and π t to τ are obtained as follows:
π m w = α β ( p + w + ( A + D ) s τ ) + β c m , 2 π m w 2 = 2 β ; π r p = α + ( w 2 p ) β , 2 π r p 2 = 2 β ; π t τ = B ( α β p ) 2 k τ , 2 π t τ 2 = 2 k .
Due to the negative second-order derivatives, we can obtain that π m , π r and π t are concave in w, p, and τ , respectively. Therefore, the response functions can be derived by solving the following equations.
α β ( p + w + ( A + D ) s τ ) + β c m = 0 , α + ( w 2 p ) β = 0 , B ( α β p ) 2 k τ = 0 .

Appendix E. Proof of Proposition 7

On the basis of the results in Table 3, we have:
w g s 0 w g n 0 = 2 k ( 2 k ( A + D s ) B β ) ( α β c m ) ( 4 k ( A + D s ) B β ) ( 6 k ( A + D s ) B β ) β ,
p g s 0 p g n 0 = k ( 2 k ( A + D s ) B β ) ( α β c m ) ( 4 k ( A + D s ) B β ) ( 6 k ( A + D s ) B β ) β ,
τ g s 0 τ g n 0 = B ( ( A + D s ) B β 2 k ) ( α β c m ) 2 ( 4 k ( A + D s ) B β ) ( 6 k ( A + D s ) B β ) ,
π m g s 0 π m g n 0 = k ( 2 k ( A + D s ) B β ) 2 ( α β c m ) 2 2 ( 4 k ( A + D s ) B β ) ( 6 k ( A + D s ) B β ) 2 β ,
π r g s 0 π r g n 0 = k 2 ( ( A + D s ) B β 2 k ) ( 14 k 3 ( A + D s ) B β ) ( α β c m ) 2 ( 4 k ( A + D s ) B β ) 2 ( 6 k ( A + D s ) B β ) 2 β ,
π t g s 0 π t g n 0 = k B 2 ( ( A + D s ) B β 2 k ) ( 14 k 3 ( A + D s ) B β ) ( α β c m ) 2 4 ( 4 k ( A + D s ) B β ) 2 ( 6 k ( A + D s ) B β ) 2 ,
π g s 0 π g s 0 = k ( ( A + D s ) B β 2 k ) ( 40 k 2 + 14 B 2 k β A B 2 ( 2 A + 3 B ) β 2 ) ( α β c m ) 2 4 ( 4 k ( A + D s ) B β ) 2 ( 6 k ( A + D s ) B β ) 2 .
Since α β c m > 0 and 2 k > ( A + D s ) B β , it is obvious that w g s 0 > w g n 0 , p g s 0 > p g n 0 , τ g s 0 < τ g n 0 , π m g s 0 > π m g n 0 , π r g s 0 < π r g n 0 , π t g s 0 < π t g n 0 , and π g s 0 < π g n 0 . In addition, C S g s 0 < C S g n 0 and E g s 0 < E g n 0 due to p g s 0 > p g n 0 and τ g s 0 < τ g n 0 , therefore, it can be derived that S W g s 0 < S W g n 0 .
Let s = 0 , then the results in Table 3 are the optimal results without subsidy. Following from Table 3, it is clear that the optimal collection rate under the GS 0 model is increasing with respect to s. The first-order derivatives of the optimal wholesale price and retail price under the GS 0 model to s can be derived as follows:
w g s 0 s = 2 B D k ( α β c m ) ( 4 k ( A + D s ) B β ) 2 , p g s 0 s = B D k ( α β c m ) ( 4 k ( A + D s ) B β ) 2 .
It is clear that the wholesale price and retail price under the GS 0 model are decreasing to s. It follows from Table 3 that the profits of the CLSC members under the GS 0 model are increasing for s, and the social welfare is also increasing for s according to the proof of Proposition 2. Since the subsidy rate is non-negative, the relationship of the optimal results between the AS and GS 0 models can be acquired. In addition, the optimal subsidy rate under the GS 2 model is not more than that under the GS 1 model ( s = 1 ), then the relationship among the GS 1 and GS 2 models is also obtained. The relationships between the AN and GN 0 models, and between the GN 1 and GN 2 models can be derived similarly.

Appendix F. Proof of Proposition 8

Following from Table 3, we directly know that the collection rate, the profits of the CLSC members under the GS model are increasing for s. According to Equation (A21), it is clear that the wholesale price and the retail price under the GS model are decreasing for s. Therefore, the consumer surplus and environmental benefit are increasing for s based on Equations (3) and (4). According to the proof of Proposition 2, we know that the social welfare under the GS model is also increasing for s.
On the basis of Equation (21), the first-order derivative of the subsidy rate under the GS 2 model to r can be obtained as follows:
s g s 2 r = 2 ( 4 k A B β ) 2 B D β ( 14 k + B ( B 2 A + 2 e β ) ) .
It is obvious that s g s 2 r < 0 , that is, the subsidy rate is decreasing with r. However, based on Proposition 3, we know that if r r 2 , the optimal subsidy rate is 0, and if r r 1 , the optimal subsidy rate is 1. Therefore, based on the monotonicity of composite function, it can be derived that if r [ r 1 , r 2 ] , the wholesale price and the retail price are increasing with r, the collection rate, the profit of the CLSC, the consumer surplus, the environmental benefit, and the social welfare are decreasing with r under the GS 2 model. Otherwise, the equilibrium results have no change with r. Similarly, the same conclusion can be derived for the GN 2 model.

Notes

1
It should be noted that the reverse channel mainly including recycling (or collecting) and remanufacturing activities. However, the purpose of recycling is to remanufacture. Therefore, this paper mainly focuses on remanufacturing activities.
2
Referring to previous studies [41,42,43], in which the subsidy given by the government to the manufacturers per remanufactured product is a known parameter and set based on the unit transfer price of the used products and the unit production cost of remanufactured products, we design the government subsidy also based on the total cost of the unit remanufactured product (including production cost and transfer price).

References

  1. Geyer, R.; VanWassenhove, L.N.; Atasu, A. The economics of remanufacturing under limited component durability and finite product life cycles. Manag. Sci. 2007, 53, 88–100. [Google Scholar] [CrossRef]
  2. Miao, Z.; Fu, K.; Xia, Z.; Wang, Y. Models for closed-loop supply chain with trade-ins. Omega 2017, 66, 308–326. [Google Scholar] [CrossRef]
  3. Wan, N.; Hong, D. The impacts of subsidy policies and transfer pricing policies on the closed-loop supply chain with dual collection channels. J. Clean. Prod. 2019, 224, 881–891. [Google Scholar] [CrossRef]
  4. Reimann, M.; Xiong, Y.; Zhou, Y. Managing a closed-loop supply chain with process innovation for remanufacturing. Eur. J. Oper. Res. 2019, 276, 510–518. [Google Scholar] [CrossRef]
  5. Wang, Y.; Chang, X.; Chen, Z.; Zhong, Y.; Fan, T. Impact of subsidy policies on recycling and remanufacturing using system dynamics methodology: A case of auto parts in China. J. Clean. Prod. 2014, 74, 161–171. [Google Scholar] [CrossRef]
  6. Wang, Z.; Huo, J.; Duan, Y. Impact of government subsidies on pricing strategies in reverse supply chains of waste electrical and electronic equipment. Waste Manag. 2019, 95, 440–449. [Google Scholar] [CrossRef]
  7. Heydari, J.; Govindan, K.; Jafari, A. Reverse and closed loop supply chain coordination by government role. Transport. Res. Part D-Transport. Environ. 2017, 52, 379–398. [Google Scholar] [CrossRef]
  8. He, P.; He, Y.; Xu, H. Channel structure and pricing in a dual-channel closed-loop supply chain with government subsidy. Int. J. Prod. Econ. 2019, 213, 108–123. [Google Scholar] [CrossRef]
  9. Zheng, B.; Yang, C.; Yang, J.; Zhang, M. Dual-channel closed loop supply chains: Forward channel competition, power structures and coordination. Int. J. Prod. Res. 2017, 55, 3510–3527. [Google Scholar] [CrossRef]
  10. Zhou, F.; Chen, T.; Tiwari, S.; Si, D.; Pratap, S.; Mahto, R.V. Pricing and quality improvement decisions in the end-of-life vehicle closed-loop supply chain considering collection quality. IEEE T. Eng. Manag. 2023, 17, 200128. [Google Scholar] [CrossRef]
  11. Maiti, T.; Giri, B.C. A closed loop supply chain under retail price and product quality dependent demand. J. Manuf. Syst. 2015, 37, 624–637. [Google Scholar] [CrossRef]
  12. Karakayali, I.; Emir-Farinas, H.; Akcali, E. An analysis of decentralized collection and processing of end-of-life products. J. Oper. Manag. 2007, 25, 1161–1183. [Google Scholar] [CrossRef]
  13. Wang, W.; Zhang, Y.; Zhang, K.; Bai, T.; Shang, J. Reward-penalty mechanism for closed-loop supply chains under responsibility-sharing and different power structures. Int. J. Prod. Econ. 2015, 170, 178–190. [Google Scholar] [CrossRef]
  14. Ma, Z.; Ye, Y.; Dai, Y.; Yan, H. The price of anarchy in closed-loop supply chains. Int. Trans. Oper. Res. 2022, 29, 624–656. [Google Scholar] [CrossRef]
  15. Wang, Q.; Chen, K.; Wang, S.; Liu, W. Channel structures and information value in a closed-loop supply chain with corporate social responsibility based on the third-party collection. Appl. Math. Model. 2022, 106, 482–506. [Google Scholar] [CrossRef]
  16. Gao, J.; Han, H.; Hou, L.; Wang, H. Pricing and effort decisions in a closed-loop supply chain under different channel power structures. J. Clean. Prod. 2016, 112, 2043–2057. [Google Scholar] [CrossRef]
  17. Ke, H.; Wu, Y.; Huang, H.; Chen, Z. Optimal pricing decisions for a closed-loop supply chain with retail competition under fuzziness. J. Oper. Res. Soc. 2018, 69, 1468–1482. [Google Scholar] [CrossRef]
  18. Jena, S.K.; Meena, P. Competitive sustainable processes and pricing decisions in omnichannel closed-up supply chains under different channel power structures. J. Retail. Consum. Serv. 2022, 69, 103114. [Google Scholar] [CrossRef]
  19. Mahdiraji, H.A.; Govindan, K.; Madadi, S.; Garza-Reyes, J.A. Coordination in a closed-loop sustainable supply chain considering dual-channel and cost-sharing contract: Evidence from an emerging economy. J. Oper. Res. Soc. 2023. [Google Scholar] [CrossRef]
  20. Johari, M.; Hosseini-Motlagh, S.M. Coordination of social welfare, collecting, recycling and pricing decisions in a competitive sustainable closed-loop supply chain: A case for lead-acid battery. Ann. Oper. Res. 2019. [Google Scholar] [CrossRef]
  21. Wang, Q.; Hong, X.; Gong, Y.; Chen, W. Collusion or Not: The optimal choice of competing retailers in a closed-loop supply chain. Int. J. Prod. Econ. 2020, 225, 107580. [Google Scholar] [CrossRef]
  22. Kaya, O. Incentive and production decisions for remanufacturing operations. Eur. J. Oper. Res. 2010, 201, 442–453. [Google Scholar] [CrossRef]
  23. Li, Y.; Deng, Q.; Zhou, C.; Feng, L. Environmental governance strategies in a two-echelon supply chain with tax and subsidy interactions. Ann. Oper. Res. 2020, 290, 439–462. [Google Scholar] [CrossRef]
  24. Sheu, J.B. Bargaining framework for competitive green supply chains under governmental financial intervention. Transp. Res. Pt. e-Logist. Transp. Rev. 2011, 47, 573–592. [Google Scholar] [CrossRef]
  25. Ma, W.; Zhao, Z.; Ke, H. Dual-channel closed-loop supply chain with government consumption-subsidy. Eur. J. Oper. Res. 2013, 226, 221–227. [Google Scholar] [CrossRef]
  26. Zhang, Y.; Hong, Z.; Chen, Z.; Glock, H.C. Tax or subsidy? Design and selection of regulatory policies for remanufacturing. Eur. J. Oper. Res. 2020, 287, 885–900. [Google Scholar] [CrossRef]
  27. Zhang, L.; Xue, B.; Li, K.; Glock, H.C. Assessing subsidy policies for green products: Operational and environmental perspectives. Int. Trans. Oper. Res. 2022, 29, 3081–3106. [Google Scholar] [CrossRef]
  28. Chen, Z.; Fan, Z.; Zhao, X. Toward supply side incentive: The impact of government schemes on a vehicle manufacturer’s adoption of electric vehicles. Int. Trans. Oper. Res. 2022, 29, 3565–3591. [Google Scholar] [CrossRef]
  29. Liu, H.; Lei, M.; Deng, H.; Leong, G.K.; Huang, T. A dual channel, quality-based price competition model for the WEEE recycling market with government subsidy. Omega 2016, 59, 290–302. [Google Scholar] [CrossRef]
  30. Tan, Y.; Guo, C. Research on two-way logistics operation with uncertain recycling quality in government multi-policy environment. Sustainability 2019, 11, 882. [Google Scholar] [CrossRef]
  31. Feng, D.; Shen, C.; Pei, Z. Production decisions of a closed-loop supply chain considering remanufacturing and refurbishing under government subsidy. Sustain. Prod. Consump. 2021, 27, 2058–2074. [Google Scholar] [CrossRef]
  32. Wu, Q.; Xu, X.; Lin, R. Government incentive mechanism of closed-loop supply chain based on information asymmetry. RAIRO-Oper. Res. 2021, 55, 3359–3378. [Google Scholar] [CrossRef]
  33. Guo, X.; Fan, X.; Wang, S. Trade-in for cash or for new? Optimal pricing decisions under the government subsidy policy. Ann. Oper. Res. 2022. [Google Scholar] [CrossRef]
  34. Adam, N.A.F.P.; Jauhari, W.A.; Dwicahyani, A.R. Manufacturer-retailer coordination in a closed-loop supply chain system with emission reduction, government incentives, and energy-saving level. Cogent. Eng. 2022, 9, 2107789. [Google Scholar] [CrossRef]
  35. Yu, J.J.; Tang, C.S.; Shen, Z.J.M. Improving consumer welfare and manufacturer profit via government subsidy programs: Subsidizing consumers or manufacturers? M&som-Manuf. Serv. Oper. 2018, 20, 752–766. [Google Scholar]
  36. Li, C.; Liu, Q.; Zhou, P.; Huang, H. Optimal innovation investment: The role of subsidy schemes and supply chain channel power structure. Comput. Ind. Eng. 2021, 157, 107291. [Google Scholar] [CrossRef]
  37. Liu, Y.; Ren, W.; Xu, Q.; Liu, Z. Decision analysis of supply chains considering corporate social responsibility and government subsidy under different channel power structures. Ann. Oper. Res. 2022, 315, 1841–1869. [Google Scholar] [CrossRef]
  38. Mondal, C.; Giri, B.C. Tax-subsidy or reward-penalty? Determining optimal strategy in sustainable closed-loop supply chain under quality-dependent return. Int. J. Syst. SCI-Oper. 2023, 10, 2116738. [Google Scholar] [CrossRef]
  39. Jena, S.K.; Ghadge, A.; Sarmah, S.P. Managing channel profit and total surplus in a closed-loop supply chain network. J. Oper. Res. Soc. 2018, 69, 1345–1356. [Google Scholar] [CrossRef]
  40. Zhang, Z.; Yu, L. Altruistic mode selection and coordination in a low-carbon closed-loop supply chain under the government’s compound subsidy: A differential game analysis. J. Clean. Prod. 2022, 366, 132863. [Google Scholar] [CrossRef]
  41. Chai, Q.; Sun, M.; Lai, K.; Xiao, Z. The effects of government subsidies and environmental regulation on remanufacturing. Comput. Ind. Eng. 2023, 178, 109126. [Google Scholar] [CrossRef]
  42. Qiao, H.; Su, Q. Impact of government subsidy on the remanufacturing industry. Waste Manag. 2021, 120, 433–447. [Google Scholar] [CrossRef] [PubMed]
  43. Zhang, X.; Li, Q.; Liu, Z.; Chang, C.T. Optimal pricing and remanufacturing mode in a closed-loop supply chain of WEEE under government fund policy. Comput. Ind. Eng. 2021, 151, 106951. [Google Scholar] [CrossRef]
  44. Bulmus, S.C.; Zhu, S.X.; Teunter, R. Competition for cores in remanufacturing. Eur. J. Oper. Res. 2014, 233, 105–113. [Google Scholar] [CrossRef]
  45. Savaskan, R.C.; Bhattacharya, S.; Van Wassenhove, L.N. Closed-loop supply chain models with product remanufacturing. Manage. Sci. 2004, 50, 239–252. [Google Scholar] [CrossRef]
  46. Alamdar, S.F.; Rabbani, M.; Heydar, J. Pricing, collection, and effort decisions with coordination contracts in a fuzzy, three-level closed-loop supply chain. Expert Syst. Appl. 2018, 104, 261–276. [Google Scholar] [CrossRef]
  47. Dou, G.; Cao, K. A joint analysis of environmental and economic performances of closed-loop supply chains under carbon tax regulation. Comput. Ind. Eng. 2020, 146, 106624. [Google Scholar] [CrossRef]
  48. Panda, S. Coordination of a socially responsible supply chain using revenue sharing contract. Transp. Res. Pt. e-Logist. Transp. Rev. 2014, 67, 92–104. [Google Scholar] [CrossRef]
  49. Esenduran, G.; Kemahlioglu-Ziya, E.; Swaminathan, J.M. Impact of take-back regulation on the remanufacturing industry. Prod. Oper. Manag. 2017, 26, 924–944. [Google Scholar] [CrossRef]
Figure 1. The structure of CLSC with government subsidy.
Figure 1. The structure of CLSC with government subsidy.
Systems 11 00378 g001
Figure 2. Two decision-making sequences under different structures.
Figure 2. Two decision-making sequences under different structures.
Systems 11 00378 g002
Figure 3. The impact of r on the optimal decisions in the GS2 and GN2 models.
Figure 3. The impact of r on the optimal decisions in the GS2 and GN2 models.
Systems 11 00378 g003
Figure 4. The impact of r on the performance of the CLSC in the GS2 and GN2 models.
Figure 4. The impact of r on the performance of the CLSC in the GS2 and GN2 models.
Systems 11 00378 g004
Table 1. Comparison of our study with related studies.
Table 1. Comparison of our study with related studies.
Related ResearchPower StructureGovernment Financial IncentiveThree-Stage Stackelberg GameConsider Government’s Optimal Decision
Gao et al. [16]×××
Ke et al. [17]×××
Wang et al. [15]×××
Jena and Meena [18]×××
Mahdiraji et al. [19]×××
Wang et al. [21]××
Ma et al. [14]××
Ma et al. [25]×××
Liu et al. [29]×××
Jena et al. [39]×××
Adam et al. [34]×××
Mondal and Giri [38]×××
Wang et al. [6]××
Liu et al.  [37]××
Zhang et al. [26]××
He et al. [8]×
Wu et al. [32]×
Guo et al. [33]×
Zhang and Yu [40]×
Our study
Table 2. Notations and explanations.
Table 2. Notations and explanations.
Symbol Explanations
c m Unit cost of manufacturing a new product
c r Unit cost of remanufacturing a collected waste product
p c Unit transfer price of the collected waste product
c c Unit variable cost of collecting a waste product
e Unit environmental benefit of collecting a waste product
α Market size
β Sensitivity coefficient of the demand to retail price
k Scaling parameter of the collection cost
r Requested minimum return rate of subsidy
Derived functions
q Demand of the product
C S Consumer surplus
E Total environmental benefit
S Government subsidy expenditure
Π Total profit of the CLSC
Π m Manufacturer’s profit
Π r Retailer’s profit
Π t Third-party collector’s profit
S W Social welfare
R Return rate of subsidy
Decision variables
w Unit wholesale price of the product
p Unit retail price of the product
τ Collection rate of the third-party collector
s Subsidy rate for remanufacturing a collected waste product
Table 3. Optimal results under a given government subsidy rate s.
Table 3. Optimal results under a given government subsidy rate s.
ModelGS 0 GN 0
w 2 k ( α + β c m ) ( A + D s ) B α β ( 4 k ( A + D s ) B β ) β 2 k ( α + 2 β c m ) ( A + D s ) B α β ( 6 k ( A + D s ) B β ) β
p k ( 3 α + β c m ) ( A + D s ) B α β ( 4 k ( A + D s ) B β ) β 2 k ( 2 α + β c m ) ( A + D s ) B α β ( 6 k ( A + D s ) B β ) β
τ B ( α β c m ) 2 ( 4 k ( A + D s ) B β ) B ( α β c m ) 6 k ( A + D s ) B β
π m k ( α β c m ) 2 2 ( 4 k ( A + D s ) B β ) β 4 k 2 ( α β c m ) 2 ( 6 k ( A + D s ) B β ) 2 β
π r k 2 ( α β c m ) 2 ( 4 k ( A + D s ) B β ) 2 β 4 k 2 ( α β c m ) 2 ( 6 k ( A + D s ) B β ) 2 β
π t k B 2 ( α β c m ) 2 4 ( 4 k ( A + D s ) B β ) 2 k B 2 ( α β c m ) 2 ( 6 k ( A + D s ) B β ) 2
E B e k ( α β c m ) 2 2 ( 4 k ( A + D s ) B β ) 2 2 B e k ( α β c m ) 2 ( 6 k ( A + D s ) B β ) 2
S W k ( 14 k + ( B 2 A + 2 e 4 D s ) B β ) ( α β c m ) 2 4 β ( 4 k ( A + D s ) B β ) 2 k ( 10 k + ( B + 2 e 2 D s ) B β ) ( α β c m ) 2 ( 6 k ( A + D s ) B β ) 2 β
Table 4. Comparison of the optimal results of different models.
Table 4. Comparison of the optimal results of different models.
ModelAS vs. GS 0 AN vs. GN 0 GS 0 vs. GN 0 GS 2 vs. GS 1 GN 2 vs. GN 1
w w a s w g s 0 w a n w g n 0 w g s 0 > w g n 0 w g s 2 w g s 1 w g n 2 w g n 1
p p a s p g s 0 p a n p g n 0 p g s 0 > p g n 0 p g s 2 p g s 1 p g n 2 p g n 1
τ τ a s τ g s 0 τ a n τ g n 0 τ g s 0 < τ g n 0 τ g s 2 τ g s 1 τ g n 2 τ g n 1
π m π m a s π m g s 0 π m a n π m g n 0 π m g s 0 > π m g n 0 π m g s 2 π m g s 1 π m g n 2 π m g n 1
π r π r a s π r g s 0 π r a n π r g n 0 π r g s 0 < π r g n 0 π r g s 2 π r g s 1 π r g n 2 π r g n 1
π t π t a s π t g s 0 π t a n π t g n 0 π t g s 0 < π t g n 0 π t g s 2 π t g s 1 π t g n 2 π t g n 1
π π a s π g s 0 π a n π g n 0 π g s 0 < π g n 0 π g s 2 π g s 1 π g n 2 π g n 1
C S C S a s C S g s 0 C S a n C S g n 0 C S g s 0 < C S g n 0 C S g s 2 C S g s 1 C S g n 2 C S g n 1
E E a s E g s 0 E a n E g n 0 E g s 0 < E g n 0 E g s 2 E g s 1 E g n 2 E g n 1
S W S W a s S W g s 0 S W a n S W g n 0 S W g s 0 < S W g n 0 S W g s 2 S W g s 1 S W g n 2 S W g n 1
Table 5. Model parameter values from case study.
Table 5. Model parameter values from case study.
ParameterValueParameterValueParameterValue
α 800 c r 30,000k900,000
β 0.004 p c 24,000e8000
c m 60,000 c c 20,000r1.5
Table 6. The optimal results under different models.
Table 6. The optimal results under different models.
Model w p τ s r π m
AS128,082.19164,041.1031.96%--10,068,493.15
AN104,977.38152,488.6942.23%--9,029,299.15
GS 1 104,545.45152,272.7342.42%100.00%1.184613,363,636.36
GN 1 86,486.49143,243.2450.45%100.00%0.614012,885,317.75
GS 2 122,426.28161,213.1434.48%29.57%1.500010,860,320.41
GN 2 104,977.38152,488.6942.23%0.00%1.50009,029,299.15
Model π r π t π C S E S W
AS5,172,171.1491,949.7115,332,614.002,586,085.57367,798.8418,286,498.41
AN9,029,299.15160,520.8718,219,119.174,514,649.58642,083.5023,375,852.25
GS 1 9,111,570.25161,983.4722,637,190.084,555,785.12647,933.8823,467,355.36
GN 1 12,885,317.75229,072.3225,999,707.826,442,658.88916,289.2627,173,703.44
GS 2 6,017,681.60106,981.0116,984,983.023,008,840.80427,924.0219,567,648.07
GN 2 9,029,299.15160,520.8718,219,119.174,514,649.58642,083.5023,375,852.25
Table 7. Increased percentages of optimal results under different models.
Table 7. Increased percentages of optimal results under different models.
Model π m π r π t π C S E S W
GS 1 32.73%76.17%76.17%47.64%76.17%76.17%28.33%
GS 2 7.86%16.35%16.35%10.78%16.35%16.35%7.01%
GN 1 42.71%42.71%42.71%42.71%42.71%42.71%16.25%
GN 2 0.00%0.00%0.00%0.00%0.00%0.00%0.00%
Disclaimer/Publisher’s Note: The statements, opinions and data contained in all publications are solely those of the individual author(s) and contributor(s) and not of MDPI and/or the editor(s). MDPI and/or the editor(s) disclaim responsibility for any injury to people or property resulting from any ideas, methods, instructions or products referred to in the content.

Share and Cite

MDPI and ACS Style

Gu, Y.; Xue, M.; Zhao, M.; Long, Y. Optimal Government Subsidy Decision and Its Impact on Sustainable Development of a Closed-Loop Supply Chain. Systems 2023, 11, 378. https://doi.org/10.3390/systems11070378

AMA Style

Gu Y, Xue M, Zhao M, Long Y. Optimal Government Subsidy Decision and Its Impact on Sustainable Development of a Closed-Loop Supply Chain. Systems. 2023; 11(7):378. https://doi.org/10.3390/systems11070378

Chicago/Turabian Style

Gu, Yujie, Menghao Xue, Mingxuan Zhao, and Yufu Long. 2023. "Optimal Government Subsidy Decision and Its Impact on Sustainable Development of a Closed-Loop Supply Chain" Systems 11, no. 7: 378. https://doi.org/10.3390/systems11070378

APA Style

Gu, Y., Xue, M., Zhao, M., & Long, Y. (2023). Optimal Government Subsidy Decision and Its Impact on Sustainable Development of a Closed-Loop Supply Chain. Systems, 11(7), 378. https://doi.org/10.3390/systems11070378

Note that from the first issue of 2016, this journal uses article numbers instead of page numbers. See further details here.

Article Metrics

Back to TopTop