Smart Elderly Care: An Intelligent e-Procurement System for Elderly Supplier Selecting
Abstract
1. Introduction
2. Literature Review
2.1. Traditional Supply Chain
2.2. Elderly Care Supply Chain
2.3. Intelligent e-Procurement Systems
3. Dynamic MDP Model
3.1. Theory Background
3.1.1. Markov Decision Process
3.1.2. SERVQUAL Model
3.2. Decision Process
- (1)
- In the Define Requirement module, demand enterprises post their requests for quotes, and detail their demands. Additionally, the request and its specified demands are recorded in the trading platform.
- (2)
- In the Multi-attribute Quotation module, suppliers ( respond to demand enterprises with their own quotations that includes Product information (), Supplier service level (), Supplier credibility () and Development potential of suppliers (), as well as Technical indicators (), i, j, k, l, g = 1, 2, 3, ...n.
- (3)
- Following the receipt of quotations from suppliers, demand enterprises can use the Blockchain’s Quotation Verification module to confirm some of the quotes’ veracity. An assessment system is built using ANP and the comprehensive priorities of each index are obtained in the Assessment Index Weight System module.
- (4)
- Then in the Supplier Evaluation module, demand enterprises will evaluate suppliers’ competitiveness by assessing the four categories’ indexes. Then the transition matrix is obtained through transition function ().
- (5)
- In the Markov Decision module, the inventory cost function (U) and the purchase cost function (B) are used to calculate the immediate reward ®. The supplier who can deliver the greatest long-term advantages (maximum value) is chosen by comparing the value of V, which is determined by adding up the immediate reward (s).
- (6)
- The immediate reward (R) is obtained by the inventory cost function (U) and purchase cost function (B) in the Markov Decision module. In addition, the value function V(s) is obtained by accumulating the immediate reward, and the supplier that can bring the maximum long-term gains (maximum value) is selected by comparing the value of V(s).
3.3. An Improved MDP Model
3.3.1. State
3.3.2. Action
- (1)
- Action = Request: the action that demand enterprises post an inquiry. The inquiry shall describe the indexes that demand enterprises’ need, including Product information (), Supplier service level (), Supplier credibility () and Development potential of suppliers (), Technical indicators (). i, j, k, l, g = 1, 2, 3, …, n. Define {RFQ (,,,,, )|SP, (,,,,, )} as the set of inquiry actions, in Product information, price and quantity of product have a limit, p , q .
- (2)
- Action = Accept: the action that demand enterprises accept supplier ’s quotation. The result of action Accept is that the initial state s = (I, Q, C, t, k) transfers to the next state s’= (I’, Q’, C’, t’, k’) with probability . Define {Acc (,,,, )|SP, (,,,,, )} as the set of suppliers’ quotations available for selection.
- (3)
- Action = Reject: the action that the demand enterprise rejects supplier ’s quotation. The rejected supplier can modify its quotation according to the new project’s indexes of the demand enterprise in the next period and compete with others in the next period. Define {Rej (,,,,, )|SP, (,,,,, )} as the set of the rejected suppliers.
3.3.3. Reward Function Establishment
3.3.4. Index Weight Assessment System
3.3.5. State Transition Function
3.3.6. Value Function
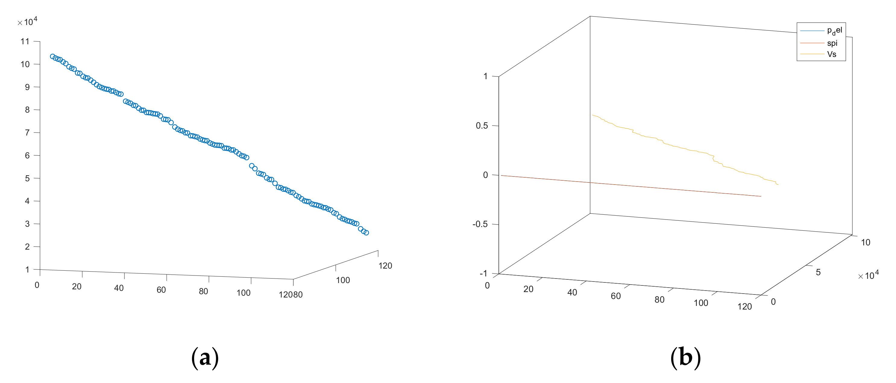
4. An Illustrative Example
4.1. Industry Background
4.2. Index Weight Assessment
4.3. Supplier Background
4.4. Dynamic Programming Solution
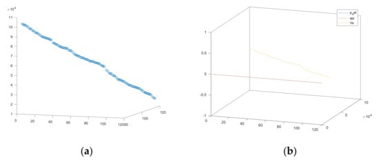
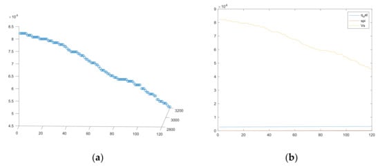
5. Data Discussion
5.1. Simulation of Common Indexes
5.2. Simulation of Specific Indexes
5.3. Result Analysis
6. Conclusions
Author Contributions
Funding
Data Availability Statement
Acknowledgments
Conflicts of Interest
Appendix A
| A1 | A2 | A3 | B1 | B2 | B3 | B4 | B5 | C1 | C2 | C3 | D1 | D2 | D3 | D4 | E1 | E2 | E3 | E4 | E5 | E6 | E7 | |
|---|---|---|---|---|---|---|---|---|---|---|---|---|---|---|---|---|---|---|---|---|---|---|
| 1 | 0.65 | 0.93 | 80.67% | 89.22% | 91.52% | 0.66 | 0.65 | 97.32% | 12 | 63.46% | 4 | 51.29% | 11.12% | 8% | 2 | 97.31% | 76.73% | 92.02% | 87.35% | 94.40% | 81.13% | 97.23% |
| 2 | 0.55 | 0.97 | 89.64% | 85.59% | 94.47% | 0.59 | 0.71 | 92.90% | 13 | 66.65% | 6 | 34.29% | 10.08% | 8% | 4 | 76.28% | 95.02% | 79.20% | 81.44% | 90.81% | 84.67% | 80.06% |
| 3 | 0.55 | 0.97 | 92.56% | 85.89% | 99.90% | 0.51 | 0.71 | 96.66% | 17 | 59.54% | 3 | 31.52% | 9.27% | 12% | 4 | 95.81% | 76.54% | 89.64% | 87.91% | 78.58% | 83.26% | 85.97% |
| 4 | 0.68 | 0.97 | 81.18% | 91.11% | 94.58% | 0.88 | 0.86 | 93.56% | 11 | 69.67% | 5 | 44.73% | 13.20% | 15% | 5 | 86.45% | 85.36% | 94.78% | 75.80% | 87.83% | 94.59% | 89.11% |
| 5 | 0.69 | 0.93 | 83.66% | 96.11% | 99.31% | 0.57 | 0.71 | 97.69% | 3 | 51.94% | 5 | 35.54% | 13.71% | 9% | 5 | 90.68% | 93.45% | 84.84% | 79.31% | 92.32% | 95.37% | 87.20% |
| 6 | 0.59 | 0.97 | 90.55% | 96.74% | 94.17% | 0.77 | 0.65 | 98.87% | 16 | 62.19% | 5 | 54.88% | 13.76% | 13% | 3 | 89.46% | 79.59% | 94.77% | 91.46% | 87.93% | 94.00% | 94.05% |
| 7 | 0.46 | 1.00 | 88.83% | 94.49% | 93.94% | 0.80 | 0.83 | 92.20% | 18 | 62.43% | 5 | 51.25% | 12.97% | 12% | 3 | 78.14% | 87.61% | 88.36% | 75.81% | 87.21% | 90.41% | 92.67% |
| 8 | 0.64 | 1.00 | 82.56% | 98.71% | 95.55% | 0.78 | 0.63 | 90.72% | 21 | 68.58% | 4 | 49.82% | 13.63% | 10% | 4 | 93.39% | 90.47% | 90.83% | 76.66% | 82.02% | 76.54% | 81.61% |
| 9 | 0.56 | 0.97 | 86.01% | 95.52% | 90.14% | 0.62 | 0.73 | 97.79% | 29 | 73.69% | 3 | 35.03% | 13.22% | 9% | 2 | 75.18% | 82.39% | 88.95% | 97.89% | 85.54% | 97.64% | 91.83% |
| 10 | 0.66 | 0.93 | 84.56% | 85.78% | 93.91% | 0.72 | 0.74 | 93.30% | 14 | 60.58% | 5 | 38.79% | 13.69% | 11% | 3 | 76.91% | 75.52% | 96.58% | 76.83% | 86.95% | 84.15% | 90.13% |
| 11 | 0.52 | 0.97 | 89.04% | 89.38% | 95.22% | 0.52 | 0.65 | 94.90% | 73 | 74.72% | 5 | 42.73% | 12.35% | 8% | 5 | 93.81% | 82.84% | 93.55% | 84.67% | 89.20% | 86.35% | 82.53% |
| 12 | 0.65 | 0.97 | 84.19% | 97.03% | 91.27% | 0.52 | 0.74 | 90.54% | 50 | 68.80% | 4 | 31.85% | 13.49% | 11% | 5 | 93.06% | 95.58% | 87.67% | 80.50% | 94.06% | 94.13% | 85.69% |
| 13 | 0.59 | 0.97 | 88.98% | 92.83% | 90.50% | 0.65 | 0.64 | 95.07% | 70 | 56.63% | 5 | 39.02% | 10.57% | 11% | 5 | 89.37% | 75.87% | 88.76% | 96.92% | 79.89% | 93.21% | 75.40% |
| 14 | 0.54 | 1.00 | 88.42% | 86.31% | 97.63% | 0.75 | 0.69 | 98.29% | 74 | 55.58% | 6 | 35.27% | 11.10% | 9% | 2 | 76.77% | 79.99% | 79.34% | 88.60% | 81.94% | 76.47% | 90.53% |
| 15 | 0.48 | 0.97 | 83.31% | 94.49% | 99.07% | 0.89 | 0.78 | 90.57% | 78 | 67.92% | 3 | 41.75% | 9.97% | 10% | 4 | 92.23% | 93.38% | 92.00% | 82.38% | 86.47% | 83.62% | 78.86% |
| 16 | 0.46 | 0.93 | 91.78% | 97.63% | 91.09% | 0.88 | 0.76 | 94.70% | 48 | 59.31% | 3 | 50.99% | 10.92% | 14% | 4 | 88.84% | 75.21% | 80.42% | 75.88% | 86.13% | 89.65% | 75.82% |
| 17 | 0.58 | 0.97 | 84.65% | 87.16% | 96.75% | 0.58 | 0.67 | 94.96% | 9 | 59.49% | 3 | 42.66% | 13.49% | 13% | 3 | 90.08% | 92.95% | 87.66% | 97.33% | 76.68% | 79.67% | 93.38% |
| 18 | 0.69 | 1.00 | 92.40% | 91.33% | 93.32% | 0.79 | 0.71 | 97.69% | 5 | 72.99% | 5 | 59.31% | 11.00% | 11% | 5 | 78.06% | 83.21% | 80.48% | 80.96% | 88.67% | 90.17% | 77.20% |
| 19 | 0.69 | 0.97 | 94.79% | 91.84% | 93.42% | 0.58 | 0.76 | 96.67% | 56 | 65.35% | 4 | 40.29% | 10.09% | 14% | 4 | 81.82% | 86.46% | 79.57% | 92.07% | 77.46% | 86.32% | 77.35% |
| 20 | 0.65 | 0.97 | 91.51% | 88.97% | 97.87% | 0.64 | 0.66 | 95.54% | 53 | 67.92% | 6 | 40.35% | 10.23% | 14% | 3 | 75.42% | 96.47% | 85.54% | 90.79% | 92.29% | 79.22% | 96.69% |
| 21 | 0.50 | 0.97 | 87.29% | 93.05% | 90.73% | 0.61 | 0.84 | 91.28% | 23 | 52.15% | 4 | 58.19% | 9.79% | 9% | 2 | 86.18% | 96.03% | 82.78% | 93.42% | 93.80% | 80.16% | 76.89% |
| 22 | 0.65 | 1.00 | 93.16% | 88.92% | 92.30% | 0.75 | 0.82 | 90.54% | 77 | 54.32% | 4 | 50.88% | 10.33% | 8% | 2 | 78.86% | 88.16% | 94.19% | 87.07% | 77.23% | 84.95% | 87.13% |
| 23 | 0.51 | 1.00 | 84.83% | 96.26% | 94.26% | 0.73 | 0.80 | 99.00% | 7 | 65.76% | 5 | 35.86% | 10.47% | 8% | 3 | 90.99% | 75.72% | 81.72% | 92.79% | 96.53% | 88.48% | 77.76% |
| 24 | 0.66 | 0.97 | 91.27% | 91.80% | 92.00% | 0.75 | 0.79 | 93.11% | 10 | 73.70% | 5 | 52.00% | 11.08% | 10% | 3 | 88.18% | 79.18% | 82.41% | 77.69% | 78.71% | 86.22% | 79.76% |
| 25 | 0.47 | 0.93 | 92.84% | 91.85% | 89.77% | 0.58 | 0.63 | 93.90% | 8 | 62.89% | 5 | 38.71% | 10.89% | 13% | 2 | 92.99% | 90.35% | 78.51% | 87.10% | 92.43% | 84.44% | 94.91% |
| 26 | 0.64 | 0.97 | 83.37% | 87.52% | 96.95% | 0.51 | 0.77 | 97.13% | 34 | 50.95% | 5 | 38.18% | 10.59% | 10% | 4 | 93.11% | 82.54% | 89.83% | 96.20% | 92.19% | 75.27% | 92.70% |
| 27 | 0.67 | 0.97 | 92.01% | 92.92% | 98.04% | 0.55 | 0.63 | 90.48% | 33 | 71.87% | 3 | 39.25% | 10.17% | 14% | 4 | 95.41% | 81.50% | 84.96% | 80.51% | 78.69% | 90.28% | 82.74% |
| 28 | 0.65 | 0.93 | 92.67% | 88.13% | 98.45% | 0.66 | 0.82 | 92.13% | 75 | 51.46% | 4 | 41.05% | 12.23% | 15% | 2 | 87.38% | 91.82% | 87.06% | 85.23% | 86.40% | 87.92% | 96.42% |
| 29 | 0.56 | 1.00 | 90.89% | 96.46% | 89.55% | 0.55 | 0.67 | 95.48% | 71 | 64.66% | 6 | 30.06% | 12.25% | 13% | 3 | 89.34% | 83.04% | 87.97% | 87.31% | 95.77% | 78.04% | 86.71% |
| 30 | 0.60 | 0.93 | 85.15% | 97.33% | 98.27% | 0.55 | 0.62 | 93.29% | 16 | 70.09% | 5 | 51.21% | 9.69% | 14% | 3 | 86.35% | 92.30% | 78.98% | 81.25% | 94.20% | 86.28% | 78.51% |
| 31 | 0.63 | 0.93 | 81.73% | 87.16% | 89.94% | 0.77 | 0.79 | 98.68% | 79 | 68.48% | 4 | 31.50% | 9.10% | 14% | 2 | 84.34% | 90.25% | 80.47% | 97.09% | 88.56% | 89.40% | 80.48% |
| 32 | 0.50 | 1.00 | 95.48% | 90.41% | 92.16% | 0.68 | 0.62 | 93.42% | 6 | 68.20% | 5 | 50.45% | 12.74% | 10% | 4 | 92.31% | 80.88% | 79.87% | 88.28% | 87.22% | 78.08% | 90.06% |
| 33 | 0.56 | 0.97 | 95.36% | 91.19% | 94.33% | 0.86 | 0.66 | 97.84% | 62 | 54.16% | 4 | 52.54% | 9.69% | 9% | 4 | 82.83% | 76.55% | 94.08% | 97.37% | 81.05% | 80.33% | 80.88% |
| 34 | 0.58 | 0.97 | 90.08% | 86.38% | 94.43% | 0.85 | 0.75 | 91.46% | 2 | 73.10% | 4 | 42.77% | 13.97% | 10% | 3 | 90.35% | 78.25% | 80.78% | 77.10% | 87.69% | 76.33% | 82.91% |
| 35 | 0.47 | 0.97 | 95.52% | 89.56% | 90.78% | 0.76 | 0.81 | 97.42% | 58 | 51.51% | 4 | 51.34% | 13.81% | 13% | 5 | 79.15% | 90.43% | 76.85% | 92.79% | 75.21% | 78.27% | 81.98% |
| 36 | 0.65 | 0.97 | 82.36% | 91.53% | 93.51% | 0.72 | 0.86 | 97.08% | 12 | 53.85% | 5 | 48.11% | 13.46% | 11% | 2 | 78.87% | 88.30% | 82.37% | 77.58% | 75.53% | 78.77% | 94.98% |
| 37 | 0.52 | 0.97 | 80.83% | 96.23% | 96.96% | 0.88 | 0.63 | 97.89% | 27 | 66.65% | 6 | 41.60% | 11.06% | 14% | 2 | 86.14% | 77.55% | 92.59% | 90.02% | 82.05% | 80.35% | 81.46% |
| 38 | 0.52 | 1.00 | 87.03% | 87.81% | 95.94% | 0.87 | 0.87 | 91.72% | 27 | 72.39% | 5 | 33.97% | 13.73% | 12% | 2 | 87.37% | 95.11% | 95.49% | 89.58% | 80.52% | 82.56% | 95.61% |
| 39 | 0.63 | 0.93 | 91.51% | 93.22% | 91.95% | 0.83 | 0.87 | 96.82% | 19 | 58.66% | 4 | 50.42% | 11.73% | 14% | 4 | 93.11% | 85.92% | 84.08% | 80.66% | 79.82% | 91.36% | 78.18% |
| 40 | 0.57 | 0.93 | 94.65% | 87.88% | 99.52% | 0.80 | 0.84 | 93.44% | 29 | 51.45% | 3 | 40.59% | 13.21% | 11% | 3 | 86.71% | 84.94% | 88.46% | 80.91% | 91.08% | 90.37% | 84.45% |
| 41 | 0.71 | 0.93 | 80.67% | 90.31% | 93.48% | 0.82 | 0.85 | 91.69% | 18 | 67.45% | 5 | 47.04% | 9.31% | 13% | 4 | 91.24% | 81.85% | 95.42% | 91.69% | 82.74% | 93.91% | 80.82% |
| 42 | 0.71 | 0.97 | 93.26% | 87.46% | 95.31% | 0.65 | 0.58 | 96.96% | 15 | 53.19% | 6 | 36.69% | 9.47% | 12% | 3 | 84.08% | 94.05% | 78.89% | 93.29% | 87.71% | 89.48% | 84.70% |
| 43 | 0.58 | 0.97 | 92.08% | 85.64% | 90.99% | 0.78 | 0.65 | 97.98% | 57 | 71.42% | 6 | 45.95% | 11.29% | 8% | 3 | 85.25% | 84.09% | 88.24% | 87.11% | 95.06% | 80.92% | 85.66% |
| 44 | 0.52 | 0.93 | 86.84% | 93.88% | 90.23% | 0.60 | 0.65 | 97.81% | 24 | 52.20% | 4 | 41.38% | 9.59% | 9% | 3 | 97.54% | 86.72% | 79.75% | 81.48% | 82.79% | 87.40% | 96.36% |
| 45 | 0.47 | 1.00 | 87.00% | 98.20% | 91.17% | 0.56 | 0.87 | 97.14% | 26 | 57.05% | 6 | 30.17% | 13.31% | 13% | 4 | 96.14% | 90.27% | 79.83% | 94.34% | 82.87% | 84.43% | 90.63% |
| 46 | 0.69 | 1.00 | 88.24% | 89.79% | 92.35% | 0.57 | 0.85 | 96.55% | 28 | 60.12% | 6 | 36.03% | 12.53% | 10% | 4 | 75.06% | 75.74% | 76.16% | 77.58% | 76.85% | 96.23% | 79.77% |
| 47 | 0.57 | 0.97 | 85.18% | 88.46% | 90.51% | 0.59 | 0.68 | 96.40% | 47 | 61.01% | 5 | 44.02% | 12.19% | 10% | 3 | 94.04% | 80.59% | 88.28% | 83.89% | 94.12% | 88.19% | 89.02% |
| 48 | 0.60 | 0.97 | 91.22% | 97.35% | 90.37% | 0.57 | 0.61 | 96.23% | 32 | 65.45% | 4 | 54.47% | 11.85% | 9% | 5 | 79.97% | 83.38% | 87.00% | 94.63% | 94.14% | 80.08% | 78.95% |
| 49 | 0.73 | 0.97 | 80.41% | 95.09% | 94.12% | 0.65 | 0.83 | 96.01% | 43 | 59.24% | 3 | 59.90% | 10.30% | 12% | 5 | 82.89% | 78.77% | 78.27% | 87.93% | 95.62% | 82.18% | 77.74% |
| 50 | 0.64 | 0.97 | 93.12% | 96.64% | 89.73% | 0.88 | 0.65 | 90.52% | 40 | 71.15% | 5 | 42.42% | 13.19% | 14% | 4 | 80.45% | 94.14% | 77.56% | 95.43% | 89.15% | 77.21% | 78.03% |
| A1 | A2 | A3 | B1 | B2 | B3 | B4 | B5 | C1 | C2 | C3 | D1 | D2 | D3 | D4 | E1 | E2 | E3 | E4 | E5 | E6 | E7 | |
|---|---|---|---|---|---|---|---|---|---|---|---|---|---|---|---|---|---|---|---|---|---|---|
| 1 | 0.47 | 0.97 | 84.97% | 96.51% | 93.48% | 0.76 | 0.89 | 98.80% | 51 | 58.97% | 4 | 54.66% | 9.33% | 10.33% | 4 | 82.24% | 85.98% | 77.30% | 86.34% | 96.90% | 81.89% | 97.53% |
| 2 | 0.70 | 0.93 | 94.11% | 92.93% | 94.24% | 0.6 | 0.83 | 98.18% | 8 | 52.64% | 4 | 41.58% | 13.74% | 14.59% | 4 | 87.69% | 95.41% | 77.29% | 75.41% | 84.30% | 79.80% | 80.10% |
| 3 | 0.46 | 0.93 | 90.41% | 97.68% | 96.49% | 0.56 | 0.9 | 97.92% | 48 | 61.07% | 4 | 34.28% | 11.49% | 8.52% | 2 | 95.27% | 90.97% | 91.63% | 93.57% | 88.53% | 97.74% | 95.74% |
| 4 | 0.51 | 0.97 | 84.07% | 93.42% | 97.67% | 0.9 | 0.66 | 95.11% | 45 | 65.12% | 4 | 35.44% | 11.55% | 8.42% | 4 | 79.82% | 79.91% | 89.46% | 91.98% | 86.57% | 97.52% | 85.88% |
| 5 | 0.46 | 1.00 | 87.95% | 97.73% | 95.47% | 0.82 | 0.68 | 98.92% | 41 | 73.46% | 5 | 45.61% | 9.23% | 13.08% | 3 | 88.16% | 84.50% | 93.53% | 77.19% | 82.47% | 92.05% | 85.50% |
| 6 | 0.51 | 0.97 | 91.13% | 86.51% | 94.67% | 0.82 | 0.77 | 93.67% | 54 | 69.91% | 4 | 48.77% | 9.95% | 11.65% | 4 | 78.16% | 92.87% | 79.43% | 87.71% | 88.92% | 93.57% | 91.71% |
| 7 | 0.65 | 0.97 | 90.04% | 90.91% | 97.37% | 0.83 | 0.62 | 95.34% | 57 | 55.97% | 4 | 51.39% | 12.78% | 11.55% | 3 | 84.05% | 75.87% | 80.15% | 81.26% | 95.71% | 84.86% | 82.64% |
| 8 | 0.48 | 0.97 | 82.31% | 98.70% | 98.00% | 0.88 | 0.55 | 98.29% | 33 | 52.11% | 5 | 49.22% | 11.75% | 14.64% | 5 | 89.75% | 77.41% | 75.57% | 75.22% | 81.37% | 88.31% | 86.10% |
| 9 | 0.69 | 0.97 | 85.13% | 98.53% | 91.77% | 0.57 | 0.81 | 97.98% | 60 | 61.04% | 4 | 34.38% | 11.13% | 8.63% | 3 | 77.50% | 87.57% | 97.21% | 87.30% | 91.25% | 93.65% | 96.62% |
| 10 | 0.48 | 0.93 | 88.23% | 92.31% | 91.47% | 0.78 | 0.67 | 97.00% | 39 | 54.24% | 5 | 43.14% | 10.36% | 9.84% | 4 | 81.83% | 91.43% | 79.06% | 95.01% | 75.09% | 80.03% | 77.31% |
| 11 | 0.63 | 0.93 | 94.10% | 85.29% | 98.50% | 0.56 | 0.81 | 95.44% | 53 | 51.64% | 6 | 47.01% | 11.35% | 13.43% | 4 | 83.07% | 95.43% | 95.75% | 91.17% | 93.98% | 94.02% | 83.77% |
| 12 | 0.72 | 0.97 | 95.03% | 95.59% | 93.00% | 0.65 | 0.71 | 95.40% | 38 | 71.42% | 3 | 43.20% | 9.34% | 10.73% | 3 | 76.40% | 86.21% | 84.35% | 77.49% | 90.72% | 86.83% | 86.13% |
| 13 | 0.70 | 0.93 | 80.71% | 89.98% | 97.12% | 0.83 | 0.81 | 95.02% | 58 | 57.30% | 6 | 33.05% | 9.29% | 13.96% | 3 | 77.82% | 76.67% | 78.01% | 79.64% | 76.90% | 84.02% | 97.17% |
| 14 | 0.54 | 0.97 | 89.87% | 91.73% | 98.46% | 0.54 | 0.7 | 97.89% | 11 | 72.49% | 5 | 40.32% | 12.83% | 10.08% | 5 | 96.52% | 95.37% | 96.77% | 77.16% | 87.49% | 88.82% | 94.08% |
| 15 | 0.72 | 0.93 | 87.22% | 89.46% | 99.95% | 0.59 | 0.55 | 91.71% | 5 | 57.86% | 5 | 51.55% | 9.60% | 13.08% | 4 | 95.86% | 92.71% | 82.40% | 82.85% | 77.96% | 75.72% | 76.75% |
| 16 | 0.56 | 0.93 | 86.20% | 89.78% | 93.15% | 0.85 | 0.78 | 97.78% | 32 | 55.99% | 3 | 53.02% | 13.27% | 8.97% | 4 | 79.05% | 85.39% | 89.66% | 78.96% | 88.60% | 82.03% | 96.19% |
| 17 | 0.63 | 0.97 | 94.29% | 98.00% | 97.58% | 0.69 | 0.75 | 97.70% | 9 | 62.63% | 4 | 53.45% | 9.90% | 11.10% | 4 | 90.13% | 87.49% | 96.33% | 80.82% | 82.69% | 76.39% | 79.64% |
| 18 | 0.65 | 0.93 | 95.45% | 92.14% | 97.30% | 0.87 | 0.6 | 96.11% | 49 | 63.33% | 4 | 32.62% | 11.49% | 14.46% | 2 | 81.40% | 87.62% | 76.35% | 77.89% | 81.34% | 77.89% | 83.71% |
| 19 | 0.53 | 0.97 | 92.56% | 98.90% | 93.00% | 0.81 | 0.55 | 97.73% | 36 | 52.24% | 4 | 59.89% | 9.73% | 9.85% | 3 | 82.63% | 92.81% | 76.41% | 93.17% | 94.60% | 94.28% | 87.25% |
| 20 | 0.48 | 1.00 | 87.71% | 90.70% | 97.66% | 0.53 | 0.63 | 92.47% | 4 | 73.34% | 5 | 46.38% | 11.23% | 14.77% | 3 | 96.47% | 75.96% | 96.01% | 81.60% | 92.90% | 93.24% | 77.33% |
| 21 | 0.47 | 0.97 | 91.18% | 98.49% | 91.41% | 0.62 | 0.76 | 93.98% | 14 | 72.82% | 4 | 44.37% | 9.23% | 13.26% | 2 | 84.01% | 78.23% | 80.01% | 92.51% | 89.92% | 79.13% | 92.89% |
| 22 | 0.73 | 0.97 | 84.20% | 92.75% | 94.21% | 0.59 | 0.68 | 98.19% | 8 | 60.66% | 6 | 43.54% | 13.97% | 14.26% | 2 | 96.75% | 80.91% | 81.03% | 83.87% | 95.21% | 82.03% | 79.12% |
| 23 | 0.70 | 0.97 | 83.78% | 92.51% | 99.20% | 0.61 | 0.71 | 92.16% | 58 | 68.18% | 6 | 55.27% | 10.50% | 13.52% | 3 | 85.97% | 91.10% | 85.45% | 77.47% | 85.71% | 75.92% | 94.00% |
| 24 | 0.65 | 0.97 | 95.23% | 96.08% | 94.90% | 0.66 | 0.77 | 98.61% | 10 | 56.64% | 5 | 31.00% | 10.51% | 10.51% | 3 | 96.28% | 94.45% | 89.45% | 85.23% | 86.07% | 82.62% | 80.92% |
| 25 | 0.69 | 0.93 | 90.45% | 85.91% | 91.19% | 0.59 | 0.59 | 91.87% | 31 | 64.32% | 3 | 47.77% | 12.58% | 11.96% | 3 | 94.90% | 94.42% | 88.88% | 96.56% | 85.63% | 87.38% | 85.44% |
| 26 | 0.63 | 0.97 | 82.45% | 90.07% | 91.03% | 0.72 | 0.61 | 90.71% | 17 | 64.89% | 6 | 40.27% | 9.25% | 14.85% | 2 | 81.59% | 80.07% | 93.44% | 79.40% | 83.27% | 88.41% | 82.91% |
| 27 | 0.63 | 1.00 | 80.99% | 94.26% | 93.06% | 0.88 | 0.66 | 91.15% | 11 | 63.00% | 5 | 30.27% | 9.39% | 14.01% | 3 | 78.85% | 82.60% | 94.44% | 90.86% | 77.60% | 78.23% | 91.83% |
| 28 | 0.47 | 0.97 | 84.60% | 97.73% | 93.40% | 0.62 | 0.66 | 91.37% | 48 | 64.00% | 5 | 36.41% | 11.51% | 9.37% | 4 | 87.85% | 75.95% | 78.08% | 89.21% | 97.23% | 90.78% | 76.29% |
| 29 | 0.53 | 1.00 | 87.98% | 92.90% | 94.76% | 0.68 | 0.88 | 91.73% | 52 | 67.91% | 6 | 52.00% | 13.96% | 12.72% | 4 | 90.60% | 82.72% | 79.26% | 76.30% | 84.65% | 89.78% | 84.77% |
| 30 | 0.56 | 0.97 | 95.23% | 96.35% | 98.32% | 0.58 | 0.71 | 97.56% | 38 | 69.20% | 3 | 56.12% | 9.87% | 11.35% | 2 | 90.27% | 76.03% | 80.18% | 97.68% | 88.33% | 75.47% | 84.32% |
| 31 | 0.55 | 1.00 | 89.79% | 95.36% | 97.46% | 0.8 | 0.87 | 97.29% | 26 | 72.92% | 6 | 49.34% | 9.89% | 8.59% | 4 | 81.70% | 82.79% | 77.69% | 79.67% | 84.16% | 76.44% | 97.79% |
| 32 | 0.62 | 0.97 | 80.18% | 91.11% | 91.07% | 0.54 | 0.64 | 90.37% | 23 | 52.49% | 4 | 58.92% | 12.75% | 11.48% | 5 | 81.16% | 95.61% | 89.64% | 89.43% | 75.85% | 75.04% | 86.06% |
| 33 | 0.49 | 0.93 | 87.03% | 90.59% | 91.46% | 0.5 | 0.62 | 98.78% | 58 | 74.38% | 6 | 33.64% | 9.79% | 11.45% | 4 | 76.57% | 97.33% | 91.96% | 86.80% | 94.14% | 80.20% | 79.17% |
| 34 | 0.48 | 0.93 | 90.36% | 96.63% | 99.26% | 0.77 | 0.85 | 93.52% | 15 | 74.93% | 4 | 59.67% | 12.45% | 12.69% | 3 | 83.06% | 91.48% | 90.49% | 83.10% | 80.68% | 85.04% | 94.21% |
| 35 | 0.53 | 0.93 | 87.07% | 95.69% | 94.48% | 0.88 | 0.57 | 96.61% | 32 | 67.16% | 3 | 55.60% | 12.78% | 13.70% | 2 | 80.88% | 78.26% | 87.12% | 80.98% | 86.44% | 92.21% | 78.99% |
| 36 | 0.62 | 1.00 | 86.55% | 90.83% | 96.74% | 0.75 | 0.83 | 93.85% | 12 | 62.75% | 4 | 56.08% | 11.69% | 11.37% | 2 | 77.39% | 79.19% | 91.46% | 94.74% | 87.92% | 82.82% | 91.86% |
| 37 | 0.53 | 0.93 | 90.40% | 98.75% | 96.41% | 0.8 | 0.64 | 93.64% | 3 | 56.91% | 5 | 55.08% | 10.72% | 14.34% | 2 | 93.97% | 85.61% | 88.34% | 85.60% | 75.30% | 75.60% | 90.28% |
| 38 | 0.59 | 0.97 | 85.22% | 92.08% | 97.86% | 0.52 | 0.88 | 92.63% | 47 | 65.27% | 4 | 48.07% | 9.12% | 10.51% | 5 | 88.38% | 82.45% | 91.03% | 77.02% | 75.26% | 83.47% | 84.45% |
| 39 | 0.52 | 0.93 | 81.83% | 93.17% | 95.77% | 0.52 | 0.77 | 98.99% | 41 | 53.59% | 4 | 36.66% | 9.91% | 13.10% | 4 | 82.16% | 77.08% | 77.86% | 77.44% | 90.44% | 95.05% | 84.69% |
| 40 | 0.61 | 0.97 | 91.29% | 91.39% | 92.03% | 0.68 | 0.65 | 95.60% | 30 | 64.38% | 3 | 60.00% | 11.32% | 8.39% | 2 | 90.61% | 86.40% | 79.03% | 81.57% | 97.28% | 87.22% | 84.90% |
| 41 | 0.72 | 0.93 | 87.95% | 86.16% | 93.44% | 0.83 | 0.73 | 95.01% | 35 | 68.64% | 5 | 46.31% | 11.63% | 11.69% | 5 | 92.25% | 97.36% | 88.63% | 85.57% | 95.15% | 96.95% | 94.27% |
| 42 | 0.72 | 1.00 | 82.97% | 85.19% | 95.33% | 0.77 | 0.88 | 96.41% | 22 | 64.97% | 4 | 39.97% | 9.66% | 13.27% | 4 | 87.21% | 80.41% | 77.05% | 97.53% | 87.14% | 93.92% | 80.64% |
| 43 | 0.68 | 0.97 | 85.48% | 85.11% | 95.10% | 0.89 | 0.66 | 93.52% | 7 | 53.40% | 6 | 51.00% | 9.69% | 10.52% | 3 | 90.02% | 82.46% | 82.18% | 81.87% | 77.24% | 97.49% | 79.38% |
| 44 | 0.62 | 0.93 | 84.14% | 86.49% | 96.40% | 0.84 | 0.76 | 90.92% | 23 | 65.99% | 3 | 42.88% | 11.60% | 11.24% | 3 | 79.02% | 86.35% | 95.52% | 88.16% | 91.20% | 86.81% | 95.40% |
| 45 | 0.68 | 0.93 | 93.27% | 93.31% | 90.90% | 0.55 | 0.8 | 97.93% | 19 | 59.04% | 5 | 37.07% | 13.90% | 11.14% | 2 | 84.63% | 93.39% | 96.66% | 86.85% | 97.45% | 89.63% | 81.01% |
| 46 | 0.61 | 1.00 | 80.93% | 87.08% | 93.58% | 0.89 | 0.82 | 96.92% | 42 | 63.47% | 4 | 33.38% | 11.33% | 10.41% | 4 | 79.36% | 86.78% | 94.65% | 79.84% | 78.20% | 78.60% | 97.74% |
| 47 | 0.61 | 0.97 | 87.90% | 93.76% | 98.97% | 0.72 | 0.75 | 92.50% | 19 | 68.80% | 5 | 45.48% | 10.14% | 13.42% | 3 | 82.33% | 76.35% | 90.00% | 76.31% | 84.58% | 77.92% | 76.80% |
| 48 | 0.53 | 0.93 | 83.75% | 89.84% | 99.10% | 0.54 | 0.8 | 95.97% | 51 | 73.10% | 5 | 54.62% | 11.64% | 9.18% | 4 | 83.05% | 82.01% | 86.03% | 92.40% | 75.42% | 75.48% | 91.53% |
| 49 | 0.65 | 0.97 | 82.03% | 89.64% | 98.23% | 0.68 | 0.57 | 94.95% | 38 | 54.91% | 4 | 37.24% | 13.77% | 9.19% | 4 | 82.10% | 80.65% | 78.77% | 92.66% | 81.29% | 75.13% | 87.61% |
| 50 | 0.46 | 0.97 | 89.04% | 94.46% | 90.14% | 0.54 | 0.55 | 92.23% | 34 | 57.29% | 3 | 39.34% | 10.59% | 11.91% | 4 | 97.26% | 98.00% | 78.22% | 96.93% | 83.01% | 80.58% | 91.42% |
| A1 | A2 | A3 | B1 | B2 | B3 | B4 | B5 | C1 | C2 | C3 | D1 | D2 | D3 | D4 | E1 | E2 | E3 | E4 | E5 | E6 | E7 | |
|---|---|---|---|---|---|---|---|---|---|---|---|---|---|---|---|---|---|---|---|---|---|---|
| 1 | 0.53 | 1.00 | 87.98% | 95.56% | 99.84% | 0.64 | 0.56 | 92.46% | 30 | 52.01% | 5 | 54.14% | 9.60% | 10.15% | 5 | 81.63% | 76.43% | 88.36% | 95.75% | 93.14% | 84.77% | 80.99% |
| 2 | 0.49 | 0.93 | 86.13% | 87.22% | 91.19% | 0.71 | 0.79 | 90.87% | 39 | 64.29% | 3 | 44.98% | 11.54% | 13.49% | 4 | 92.46% | 90.84% | 88.79% | 80.89% | 96.19% | 87.26% | 84.57% |
| 3 | 0.69 | 0.93 | 95.34% | 88.91% | 95.85% | 0.8 | 0.77 | 93.42% | 23 | 63.68% | 3 | 34.79% | 10.07% | 12.61% | 3 | 75.66% | 84.88% | 91.56% | 94.13% | 84.30% | 96.44% | 94.52% |
| 4 | 0.66 | 0.97 | 93.40% | 93.82% | 92.65% | 0.61 | 0.6 | 98.06% | 24 | 59.00% | 5 | 58.18% | 9.16% | 13.55% | 5 | 87.84% | 86.06% | 94.68% | 92.07% | 86.42% | 77.13% | 81.86% |
| 5 | 0.45 | 0.93 | 95.00% | 98.32% | 99.22% | 0.72 | 0.85 | 94.33% | 26 | 69.77% | 5 | 53.60% | 12.18% | 9.50% | 3 | 84.78% | 90.34% | 97.57% | 86.48% | 81.70% | 79.79% | 82.13% |
| 6 | 0.65 | 1.00 | 83.06% | 90.96% | 94.26% | 0.6 | 0.66 | 91.22% | 15 | 55.38% | 5 | 35.19% | 13.81% | 12.57% | 3 | 83.85% | 84.10% | 97.55% | 78.81% | 82.23% | 95.24% | 97.17% |
| 7 | 0.50 | 1.00 | 95.56% | 88.34% | 90.87% | 0.77 | 0.62 | 96.87% | 7 | 72.96% | 5 | 56.95% | 9.94% | 10.91% | 3 | 80.39% | 82.71% | 77.40% | 80.63% | 89.20% | 77.17% | 88.56% |
| 8 | 0.61 | 1.00 | 90.88% | 86.53% | 95.62% | 0.7 | 0.87 | 96.87% | 27 | 58.61% | 3 | 45.74% | 13.65% | 8.02% | 2 | 89.14% | 91.08% | 93.32% | 95.01% | 82.56% | 95.15% | 81.44% |
| 9 | 0.55 | 0.93 | 87.95% | 93.49% | 92.37% | 0.7 | 0.76 | 90.27% | 44 | 66.23% | 5 | 55.23% | 10.05% | 13.77% | 3 | 78.13% | 79.42% | 89.20% | 82.55% | 97.31% | 87.49% | 93.39% |
| 10 | 0.63 | 0.93 | 93.69% | 92.03% | 92.36% | 0.82 | 0.59 | 95.26% | 38 | 67.02% | 6 | 56.80% | 12.36% | 10.80% | 2 | 84.45% | 80.71% | 83.29% | 84.04% | 75.69% | 97.70% | 77.41% |
| 11 | 0.71 | 0.97 | 83.32% | 86.76% | 95.48% | 0.65 | 0.86 | 92.78% | 22 | 56.75% | 5 | 59.35% | 9.24% | 12.81% | 4 | 91.75% | 90.26% | 93.07% | 83.96% | 92.40% | 96.11% | 81.89% |
| 12 | 0.50 | 1.00 | 90.46% | 90.55% | 94.07% | 0.82 | 0.7 | 97.52% | 2 | 65.78% | 6 | 39.33% | 10.54% | 14.02% | 4 | 94.86% | 83.36% | 92.02% | 90.26% | 87.69% | 96.87% | 77.26% |
| 13 | 0.70 | 0.93 | 87.27% | 89.75% | 90.44% | 0.57 | 0.79 | 94.13% | 60 | 71.47% | 5 | 59.06% | 11.60% | 11.54% | 5 | 88.35% | 92.43% | 86.67% | 81.96% | 91.62% | 80.11% | 97.10% |
| 14 | 0.58 | 0.97 | 90.26% | 97.88% | 92.53% | 0.69 | 0.74 | 91.59% | 43 | 63.30% | 4 | 48.83% | 12.73% | 12.38% | 2 | 80.59% | 87.07% | 81.53% | 84.87% | 76.53% | 87.61% | 78.63% |
| 15 | 0.65 | 0.97 | 85.12% | 95.88% | 92.26% | 0.74 | 0.8 | 90.94% | 19 | 74.12% | 4 | 52.85% | 10.26% | 10.51% | 2 | 81.98% | 89.10% | 96.83% | 79.33% | 88.23% | 80.63% | 78.93% |
| 16 | 0.66 | 0.93 | 87.83% | 94.42% | 97.25% | 0.85 | 0.66 | 91.72% | 38 | 53.74% | 5 | 32.63% | 12.29% | 10.92% | 5 | 75.65% | 89.20% | 94.16% | 86.07% | 75.07% | 83.00% | 94.02% |
| 17 | 0.63 | 0.93 | 89.18% | 86.85% | 91.85% | 0.72 | 0.82 | 98.56% | 35 | 57.47% | 6 | 56.99% | 12.04% | 13.42% | 5 | 94.86% | 96.15% | 78.48% | 79.91% | 95.47% | 94.20% | 91.06% |
| 18 | 0.54 | 0.93 | 96.00% | 89.56% | 94.72% | 0.83 | 0.73 | 91.23% | 31 | 52.94% | 5 | 50.91% | 11.21% | 12.59% | 5 | 84.43% | 76.43% | 90.62% | 93.58% | 93.83% | 96.14% | 95.25% |
| 19 | 0.72 | 0.97 | 80.51% | 93.27% | 90.88% | 0.65 | 0.71 | 94.36% | 52 | 57.60% | 4 | 58.47% | 11.07% | 10.02% | 2 | 92.68% | 94.49% | 97.96% | 81.45% | 79.76% | 78.30% | 96.96% |
| 20 | 0.57 | 1.00 | 95.49% | 86.83% | 95.64% | 0.87 | 0.75 | 92.82% | 24 | 59.73% | 4 | 37.13% | 11.71% | 9.32% | 5 | 85.59% | 82.92% | 77.31% | 82.14% | 97.14% | 81.89% | 87.82% |
| 21 | 0.66 | 0.97 | 81.44% | 97.94% | 92.84% | 0.59 | 0.62 | 94.04% | 14 | 50.28% | 5 | 58.91% | 9.07% | 9.22% | 4 | 96.73% | 86.26% | 97.67% | 88.92% | 76.79% | 81.73% | 83.62% |
| 22 | 0.54 | 0.93 | 83.91% | 96.92% | 97.90% | 0.89 | 0.6 | 90.71% | 40 | 51.89% | 3 | 48.98% | 10.53% | 11.88% | 3 | 76.55% | 89.46% | 97.92% | 91.42% | 78.91% | 81.44% | 96.60% |
| 23 | 0.46 | 0.93 | 94.90% | 91.19% | 92.10% | 0.55 | 0.79 | 93.50% | 13 | 50.56% | 4 | 54.46% | 12.52% | 9.25% | 4 | 93.56% | 78.82% | 95.81% | 80.47% | 81.88% | 84.85% | 96.66% |
| 24 | 0.65 | 0.97 | 83.70% | 89.29% | 96.99% | 0.55 | 0.75 | 94.21% | 32 | 63.20% | 5 | 48.58% | 13.62% | 10.55% | 4 | 90.66% | 90.95% | 81.02% | 76.65% | 97.10% | 92.07% | 82.13% |
| 25 | 0.67 | 0.93 | 92.05% | 91.79% | 97.58% | 0.64 | 0.75 | 92.31% | 47 | 51.38% | 5 | 32.45% | 12.70% | 10.76% | 4 | 96.05% | 94.10% | 88.20% | 82.00% | 93.05% | 78.66% | 97.75% |
| 26 | 0.59 | 0.97 | 92.21% | 94.55% | 92.81% | 0.64 | 0.74 | 95.82% | 43 | 51.23% | 4 | 48.04% | 12.70% | 12.08% | 4 | 77.94% | 91.61% | 85.08% | 76.41% | 96.82% | 91.38% | 76.78% |
| 27 | 0.48 | 0.97 | 94.47% | 93.03% | 92.79% | 0.86 | 0.79 | 95.14% | 48 | 70.93% | 5 | 43.16% | 11.02% | 12.26% | 4 | 77.11% | 90.21% | 83.69% | 88.77% | 79.69% | 79.90% | 95.91% |
| 28 | 0.52 | 0.93 | 88.97% | 91.50% | 93.30% | 0.71 | 0.77 | 96.76% | 56 | 64.15% | 5 | 32.04% | 10.01% | 9.56% | 2 | 87.64% | 76.47% | 76.61% | 81.56% | 96.51% | 96.36% | 76.77% |
| 29 | 0.70 | 0.93 | 84.07% | 90.54% | 98.85% | 0.57 | 0.79 | 97.21% | 15 | 73.70% | 3 | 57.39% | 12.49% | 14.37% | 4 | 76.08% | 84.09% | 78.38% | 84.43% | 75.27% | 92.45% | 79.72% |
| 30 | 0.71 | 0.97 | 92.62% | 90.31% | 92.10% | 0.78 | 0.72 | 96.71% | 37 | 59.29% | 5 | 36.88% | 12.13% | 14.88% | 4 | 85.33% | 77.60% | 93.72% | 81.40% | 94.10% | 95.77% | 89.95% |
| 31 | 0.59 | 0.93 | 95.48% | 91.41% | 90.98% | 0.87 | 0.71 | 95.65% | 30 | 60.58% | 5 | 41.42% | 13.66% | 14.96% | 5 | 97.74% | 82.15% | 76.06% | 79.98% | 94.10% | 96.08% | 97.82% |
| 32 | 0.52 | 0.97 | 81.68% | 90.38% | 94.53% | 0.77 | 0.82 | 97.42% | 43 | 54.02% | 4 | 52.90% | 12.95% | 14.55% | 5 | 91.58% | 95.16% | 89.04% | 87.26% | 87.02% | 84.38% | 90.14% |
| 33 | 0.48 | 0.97 | 86.87% | 93.98% | 92.52% | 0.87 | 0.76 | 91.31% | 40 | 56.81% | 4 | 58.31% | 9.36% | 9.04% | 2 | 78.88% | 80.43% | 94.82% | 86.36% | 90.74% | 86.93% | 77.30% |
| 34 | 0.66 | 0.93 | 83.14% | 96.78% | 90.89% | 0.59 | 0.7 | 98.78% | 24 | 65.10% | 6 | 51.69% | 10.21% | 14.21% | 5 | 87.00% | 97.76% | 79.08% | 84.01% | 89.92% | 97.67% | 87.90% |
| 35 | 0.63 | 0.93 | 87.14% | 87.46% | 96.43% | 0.52 | 0.67 | 98.98% | 8 | 61.69% | 5 | 55.22% | 9.59% | 11.90% | 4 | 96.78% | 75.84% | 88.14% | 83.12% | 84.93% | 86.53% | 75.23% |
| 36 | 0.65 | 0.97 | 82.81% | 86.98% | 97.16% | 0.72 | 0.85 | 97.49% | 27 | 73.38% | 5 | 50.56% | 12.07% | 9.11% | 4 | 80.23% | 85.14% | 78.14% | 85.40% | 84.11% | 94.94% | 75.51% |
| 37 | 0.65 | 0.97 | 92.48% | 98.99% | 98.54% | 0.76 | 0.63 | 94.79% | 13 | 71.46% | 4 | 53.27% | 9.04% | 9.39% | 4 | 85.49% | 88.01% | 75.34% | 95.94% | 97.74% | 83.22% | 91.39% |
| 38 | 0.52 | 1.00 | 81.68% | 95.02% | 92.01% | 0.71 | 0.87 | 96.92% | 54 | 52.93% | 3 | 44.13% | 13.22% | 8.03% | 3 | 90.55% | 79.37% | 78.26% | 86.55% | 96.97% | 93.69% | 77.39% |
| 39 | 0.55 | 0.97 | 91.70% | 94.46% | 95.16% | 0.79 | 0.79 | 98.77% | 40 | 52.44% | 5 | 52.02% | 13.05% | 10.19% | 5 | 92.56% | 93.37% | 83.88% | 95.63% | 81.10% | 90.14% | 86.37% |
| 40 | 0.53 | 0.97 | 89.28% | 89.77% | 95.88% | 0.71 | 0.75 | 91.87% | 47 | 73.12% | 4 | 52.87% | 10.27% | 9.45% | 2 | 76.86% | 88.48% | 83.30% | 92.03% | 84.47% | 85.94% | 86.87% |
| 41 | 0.72 | 1.00 | 92.78% | 85.35% | 93.35% | 0.82 | 0.57 | 93.55% | 52 | 74.97% | 4 | 54.59% | 9.23% | 12.24% | 3 | 76.36% | 87.78% | 78.75% | 79.54% | 96.87% | 90.38% | 94.70% |
| 42 | 0.61 | 0.93 | 82.47% | 95.15% | 90.46% | 0.71 | 0.65 | 92.35% | 46 | 57.32% | 4 | 59.00% | 10.46% | 11.10% | 3 | 84.91% | 81.60% | 95.99% | 80.68% | 82.39% | 94.93% | 79.61% |
| 43 | 0.63 | 0.97 | 84.13% | 95.30% | 97.69% | 0.5 | 0.82 | 92.18% | 37 | 59.09% | 4 | 52.09% | 11.25% | 11.20% | 5 | 81.94% | 87.06% | 91.79% | 96.97% | 97.88% | 90.96% | 78.33% |
| 44 | 0.69 | 0.93 | 84.33% | 98.42% | 96.22% | 0.55 | 0.58 | 97.26% | 45 | 74.67% | 5 | 33.18% | 10.39% | 14.68% | 4 | 90.03% | 87.35% | 97.12% | 89.03% | 95.37% | 86.15% | 82.27% |
| 45 | 0.69 | 0.93 | 85.45% | 98.92% | 93.18% | 0.57 | 0.62 | 90.14% | 54 | 56.80% | 5 | 54.97% | 12.93% | 13.11% | 4 | 75.28% | 85.97% | 93.22% | 84.50% | 96.08% | 93.64% | 92.15% |
| 46 | 0.69 | 0.97 | 82.11% | 90.96% | 94.12% | 0.79 | 0.56 | 90.15% | 53 | 52.80% | 4 | 53.12% | 9.52% | 11.66% | 2 | 84.46% | 79.33% | 75.40% | 82.08% | 82.09% | 91.30% | 95.53% |
| 47 | 0.57 | 0.97 | 85.47% | 85.04% | 96.51% | 0.55 | 0.78 | 94.00% | 38 | 63.58% | 3 | 52.25% | 11.68% | 8.65% | 3 | 92.63% | 90.02% | 89.85% | 79.17% | 87.50% | 83.67% | 77.04% |
| 48 | 0.70 | 0.93 | 86.47% | 87.99% | 93.95% | 0.63 | 0.59 | 92.80% | 49 | 66.47% | 4 | 48.04% | 11.66% | 13.56% | 4 | 96.76% | 75.55% | 88.85% | 76.16% | 87.52% | 80.86% | 91.28% |
| 49 | 0.66 | 0.93 | 92.58% | 85.62% | 91.69% | 0.52 | 0.55 | 93.54% | 60 | 70.98% | 4 | 42.40% | 11.31% | 11.93% | 5 | 77.17% | 76.06% | 95.90% | 94.87% | 84.39% | 92.52% | 96.69% |
| 50 | 0.53 | 0.97 | 89.46% | 93.31% | 90.85% | 0.75 | 0.61 | 95.74% | 6 | 72.45% | 5 | 31.42% | 13.29% | 13.02% | 2 | 91.37% | 85.44% | 93.61% | 96.71% | 86.80% | 95.87% | 95.31% |
| A1 | A2 | A3 | B1 | B2 | B3 | B4 | B5 | C1 | C2 | C3 | D1 | D2 | D3 | D4 | E1 | E2 | E3 | E4 | E5 | E6 | E7 | |
|---|---|---|---|---|---|---|---|---|---|---|---|---|---|---|---|---|---|---|---|---|---|---|
| 1 | 0.61 | 0.93 | 88.92% | 91.16% | 98.05% | 0.76 | 0.89 | 98.75% | 29 | 67.94% | 3 | 32.22% | 13.18% | 9.35% | 3 | 87.91% | 78.81% | 86.84% | 81.20% | 95.91% | 94.99% | 96.37% |
| 2 | 0.65 | 0.93 | 92.32% | 90.16% | 98.24% | 0.59 | 0.82 | 91.91% | 13 | 56.26% | 4 | 32.61% | 9.47% | 13.50% | 4 | 81.03% | 92.04% | 76.48% | 91.24% | 96.38% | 94.08% | 90.21% |
| 3 | 0.60 | 0.93 | 84.06% | 87.05% | 91.20% | 0.62 | 0.64 | 92.35% | 21 | 60.35% | 4 | 41.73% | 9.25% | 12.14% | 5 | 88.12% | 85.93% | 95.21% | 93.57% | 91.78% | 87.26% | 90.10% |
| 4 | 0.48 | 0.93 | 83.23% | 93.21% | 92.58% | 0.84 | 0.73 | 96.56% | 41 | 56.84% | 4 | 57.37% | 12.79% | 11.05% | 3 | 80.08% | 81.41% | 92.79% | 78.98% | 75.23% | 96.69% | 92.67% |
| 5 | 0.64 | 0.93 | 92.51% | 98.53% | 99.03% | 0.57 | 0.88 | 90.22% | 13 | 58.50% | 5 | 35.64% | 10.08% | 10.75% | 3 | 88.04% | 90.00% | 75.84% | 85.39% | 78.64% | 97.90% | 88.93% |
| 6 | 0.61 | 0.97 | 80.89% | 89.07% | 91.38% | 0.64 | 0.68 | 94.98% | 19 | 74.00% | 3 | 45.05% | 9.74% | 8.37% | 4 | 96.42% | 92.07% | 92.87% | 84.92% | 83.66% | 80.96% | 80.24% |
| 7 | 0.66 | 0.97 | 85.07% | 92.18% | 90.30% | 0.86 | 0.6 | 92.35% | 54 | 73.86% | 4 | 58.79% | 9.55% | 13.00% | 3 | 93.39% | 84.83% | 97.59% | 85.76% | 96.66% | 84.09% | 93.97% |
| 8 | 0.62 | 0.97 | 94.24% | 90.80% | 92.37% | 0.52 | 0.59 | 95.72% | 58 | 60.67% | 4 | 58.14% | 12.93% | 12.67% | 3 | 78.48% | 80.62% | 76.20% | 80.56% | 75.01% | 82.61% | 94.22% |
| 9 | 0.68 | 0.93 | 93.74% | 93.80% | 99.18% | 0.87 | 0.88 | 90.54% | 36 | 55.01% | 4 | 51.06% | 9.35% | 10.22% | 5 | 82.84% | 83.25% | 88.91% | 83.97% | 88.90% | 96.82% | 75.55% |
| 10 | 0.54 | 0.97 | 88.23% | 92.46% | 99.15% | 0.69 | 0.75 | 96.20% | 5 | 67.46% | 4 | 44.35% | 9.92% | 11.20% | 5 | 76.87% | 84.52% | 93.14% | 97.06% | 81.44% | 77.96% | 82.88% |
| 11 | 0.73 | 0.93 | 86.27% | 97.29% | 92.67% | 0.5 | 0.55 | 91.73% | 56 | 65.76% | 5 | 59.04% | 12.84% | 12.77% | 3 | 76.16% | 91.87% | 92.35% | 96.84% | 78.10% | 94.91% | 95.83% |
| 12 | 0.72 | 1.00 | 85.95% | 94.84% | 92.96% | 0.52 | 0.56 | 94.78% | 26 | 64.60% | 5 | 30.63% | 9.52% | 14.42% | 5 | 96.67% | 75.97% | 77.47% | 85.56% | 82.21% | 76.17% | 76.80% |
| 13 | 0.65 | 0.93 | 94.72% | 86.27% | 96.80% | 0.67 | 0.79 | 96.19% | 14 | 72.54% | 6 | 51.12% | 9.85% | 8.54% | 4 | 82.30% | 88.52% | 96.85% | 76.31% | 84.68% | 85.88% | 88.04% |
| 14 | 0.57 | 0.97 | 84.26% | 86.53% | 97.59% | 0.75 | 0.81 | 90.03% | 40 | 66.30% | 5 | 47.50% | 9.98% | 14.87% | 3 | 84.09% | 85.47% | 94.03% | 91.80% | 88.25% | 80.56% | 97.26% |
| 15 | 0.68 | 0.97 | 83.36% | 88.73% | 98.49% | 0.61 | 0.8 | 97.01% | 10 | 67.67% | 4 | 39.66% | 12.75% | 14.06% | 3 | 83.87% | 86.17% | 79.84% | 96.68% | 88.81% | 84.01% | 79.51% |
| 16 | 0.67 | 0.93 | 93.67% | 97.75% | 96.99% | 0.82 | 0.77 | 98.51% | 20 | 52.93% | 5 | 51.29% | 9.44% | 14.45% | 4 | 87.42% | 94.45% | 83.16% | 79.63% | 96.30% | 97.15% | 75.90% |
| 17 | 0.63 | 0.93 | 90.05% | 91.55% | 93.40% | 0.83 | 0.75 | 90.58% | 40 | 63.63% | 3 | 40.51% | 11.34% | 12.92% | 3 | 86.85% | 84.19% | 85.87% | 75.46% | 76.75% | 96.74% | 75.59% |
| 18 | 0.71 | 0.93 | 81.54% | 91.39% | 99.23% | 0.6 | 0.8 | 91.91% | 24 | 52.78% | 6 | 39.71% | 11.16% | 12.04% | 3 | 79.76% | 80.87% | 93.96% | 82.86% | 79.29% | 88.12% | 92.89% |
| 19 | 0.51 | 0.97 | 81.23% | 97.89% | 94.10% | 0.84 | 0.59 | 95.37% | 52 | 64.08% | 5 | 47.01% | 11.67% | 9.92% | 5 | 76.59% | 83.33% | 90.21% | 84.00% | 85.39% | 78.47% | 87.95% |
| 20 | 0.56 | 0.97 | 95.54% | 86.77% | 92.91% | 0.89 | 0.75 | 91.52% | 3 | 51.80% | 5 | 50.62% | 11.83% | 11.79% | 4 | 78.58% | 93.42% | 84.54% | 78.49% | 77.90% | 93.08% | 93.89% |
| 21 | 0.67 | 0.93 | 84.65% | 89.65% | 97.42% | 0.8 | 0.7 | 98.42% | 50 | 54.69% | 4 | 42.31% | 9.45% | 11.08% | 4 | 82.01% | 80.90% | 79.93% | 81.55% | 86.03% | 95.47% | 79.22% |
| 22 | 0.56 | 0.97 | 93.04% | 89.32% | 97.54% | 0.89 | 0.75 | 97.94% | 6 | 53.36% | 4 | 38.58% | 9.98% | 8.30% | 2 | 86.87% | 81.70% | 82.49% | 87.39% | 87.59% | 82.86% | 81.73% |
| 23 | 0.68 | 0.93 | 85.74% | 86.72% | 91.86% | 0.56 | 0.58 | 94.99% | 41 | 57.04% | 4 | 30.17% | 11.83% | 12.70% | 3 | 77.38% | 86.59% | 84.80% | 95.69% | 91.51% | 84.17% | 84.47% |
| 24 | 0.65 | 0.97 | 94.64% | 87.29% | 91.89% | 0.76 | 0.84 | 91.15% | 54 | 62.95% | 3 | 44.36% | 9.39% | 14.32% | 4 | 78.94% | 87.65% | 77.62% | 79.76% | 84.45% | 89.91% | 77.84% |
| 25 | 0.59 | 0.97 | 89.99% | 93.50% | 95.37% | 0.67 | 0.69 | 96.21% | 58 | 71.06% | 4 | 40.51% | 13.05% | 10.98% | 3 | 92.37% | 95.74% | 88.49% | 88.52% | 75.40% | 92.10% | 90.29% |
| 26 | 0.72 | 0.93 | 89.90% | 91.21% | 91.34% | 0.71 | 0.69 | 91.16% | 57 | 62.68% | 6 | 32.59% | 13.18% | 9.16% | 2 | 93.93% | 86.21% | 84.50% | 91.11% | 81.05% | 89.16% | 89.95% |
| 27 | 0.62 | 0.93 | 95.65% | 94.87% | 91.36% | 0.83 | 0.83 | 93.53% | 49 | 59.64% | 4 | 38.85% | 12.64% | 14.11% | 4 | 77.82% | 84.39% | 82.40% | 97.71% | 88.05% | 84.05% | 94.13% |
| 28 | 0.66 | 1.00 | 95.43% | 95.94% | 95.94% | 0.71 | 0.67 | 98.08% | 43 | 63.16% | 6 | 43.32% | 9.29% | 14.06% | 2 | 92.31% | 88.55% | 88.85% | 94.79% | 87.26% | 75.04% | 86.70% |
| 29 | 0.46 | 0.93 | 83.79% | 89.17% | 92.18% | 0.76 | 0.81 | 92.24% | 47 | 66.66% | 6 | 47.98% | 10.21% | 12.02% | 3 | 75.74% | 78.33% | 91.22% | 84.08% | 94.64% | 92.54% | 91.09% |
| 30 | 0.46 | 0.97 | 85.61% | 89.66% | 98.34% | 0.71 | 0.85 | 96.07% | 20 | 55.48% | 3 | 52.67% | 12.51% | 13.74% | 4 | 78.57% | 95.57% | 96.61% | 78.86% | 95.16% | 83.00% | 92.51% |
| 31 | 0.64 | 1.00 | 82.59% | 85.30% | 99.84% | 0.83 | 0.66 | 96.00% | 9 | 51.26% | 5 | 48.23% | 11.86% | 13.14% | 4 | 96.90% | 77.29% | 84.98% | 88.35% | 85.40% | 77.23% | 91.21% |
| 32 | 0.72 | 0.93 | 84.84% | 85.98% | 99.61% | 0.68 | 0.84 | 93.14% | 30 | 56.28% | 6 | 54.69% | 9.11% | 14.42% | 3 | 83.24% | 75.31% | 83.27% | 95.94% | 90.61% | 97.30% | 87.59% |
| 33 | 0.60 | 0.93 | 93.40% | 94.30% | 93.08% | 0.61 | 0.9 | 94.86% | 35 | 68.80% | 5 | 45.05% | 12.67% | 8.87% | 3 | 90.22% | 86.94% | 86.43% | 97.69% | 79.23% | 84.35% | 80.39% |
| 34 | 0.46 | 0.97 | 88.10% | 88.78% | 97.84% | 0.76 | 0.82 | 91.14% | 13 | 70.41% | 4 | 47.40% | 13.56% | 8.32% | 3 | 88.67% | 94.88% | 86.23% | 97.16% | 80.47% | 90.76% | 84.02% |
| 35 | 0.66 | 0.97 | 91.71% | 93.12% | 99.17% | 0.5 | 0.71 | 94.11% | 55 | 51.90% | 4 | 43.90% | 9.33% | 13.89% | 2 | 90.89% | 90.54% | 81.63% | 79.54% | 93.38% | 79.20% | 90.12% |
| 36 | 0.61 | 0.93 | 90.10% | 92.63% | 91.92% | 0.74 | 0.73 | 95.19% | 25 | 68.20% | 4 | 34.66% | 9.42% | 9.40% | 3 | 89.68% | 80.43% | 88.66% | 79.28% | 96.02% | 76.17% | 88.35% |
| 37 | 0.56 | 1.00 | 87.49% | 94.81% | 91.85% | 0.7 | 0.64 | 95.85% | 11 | 67.90% | 3 | 58.24% | 12.57% | 10.11% | 4 | 86.10% | 79.48% | 95.33% | 88.69% | 93.27% | 91.21% | 92.10% |
| 38 | 0.55 | 1.00 | 93.72% | 97.74% | 94.28% | 0.75 | 0.83 | 96.30% | 13 | 54.06% | 4 | 45.70% | 9.21% | 9.54% | 3 | 85.25% | 91.86% | 79.58% | 79.77% | 87.56% | 83.29% | 93.54% |
| 39 | 0.50 | 0.97 | 94.04% | 85.21% | 95.07% | 0.67 | 0.69 | 91.05% | 1 | 66.70% | 4 | 35.46% | 12.34% | 8.67% | 2 | 90.34% | 95.09% | 84.96% | 96.57% | 83.15% | 90.57% | 88.07% |
| 40 | 0.66 | 0.93 | 91.36% | 86.24% | 94.64% | 0.62 | 0.75 | 98.69% | 12 | 54.93% | 6 | 53.23% | 10.27% | 13.35% | 3 | 79.41% | 83.22% | 95.92% | 95.85% | 79.20% | 76.25% | 78.87% |
| 41 | 0.65 | 0.97 | 92.74% | 89.87% | 91.85% | 0.69 | 0.88 | 94.15% | 57 | 53.92% | 5 | 43.63% | 10.95% | 13.51% | 2 | 76.68% | 87.20% | 79.93% | 92.67% | 89.89% | 75.65% | 77.88% |
| 42 | 0.69 | 1.00 | 82.72% | 92.30% | 91.74% | 0.79 | 0.84 | 96.40% | 51 | 57.03% | 5 | 37.91% | 9.10% | 11.38% | 5 | 87.80% | 82.08% | 81.88% | 84.32% | 92.72% | 76.23% | 85.26% |
| 43 | 0.64 | 0.97 | 85.96% | 87.35% | 97.41% | 0.72 | 0.61 | 92.54% | 35 | 58.98% | 5 | 48.19% | 9.92% | 14.45% | 4 | 92.81% | 89.29% | 93.30% | 77.78% | 86.36% | 78.25% | 94.47% |
| 44 | 0.46 | 1.00 | 94.96% | 88.78% | 94.88% | 0.85 | 0.66 | 96.16% | 36 | 58.42% | 3 | 46.62% | 13.52% | 10.81% | 3 | 79.19% | 86.15% | 95.13% | 91.73% | 90.56% | 84.15% | 80.48% |
| 45 | 0.68 | 0.93 | 87.70% | 90.24% | 94.87% | 0.76 | 0.68 | 90.11% | 40 | 68.68% | 5 | 34.44% | 12.90% | 14.63% | 5 | 93.41% | 91.69% | 83.46% | 80.68% | 88.40% | 90.96% | 78.73% |
| 46 | 0.50 | 0.97 | 86.56% | 92.49% | 92.08% | 0.8 | 0.79 | 91.83% | 28 | 57.68% | 5 | 50.70% | 13.06% | 12.33% | 5 | 91.41% | 87.10% | 89.69% | 81.06% | 75.93% | 75.93% | 80.44% |
| 47 | 0.65 | 0.97 | 83.16% | 97.34% | 98.49% | 0.78 | 0.8 | 97.67% | 22 | 54.64% | 6 | 46.38% | 10.47% | 13.43% | 3 | 95.51% | 87.41% | 80.04% | 75.44% | 86.68% | 93.52% | 94.16% |
| 48 | 0.61 | 0.93 | 92.23% | 93.12% | 99.52% | 0.67 | 0.87 | 97.00% | 37 | 69.93% | 3 | 44.64% | 10.10% | 11.70% | 2 | 78.36% | 97.27% | 90.28% | 95.33% | 81.95% | 84.64% | 76.76% |
| 49 | 0.69 | 0.93 | 92.47% | 85.71% | 94.99% | 0.87 | 0.86 | 91.55% | 52 | 72.60% | 5 | 55.76% | 11.49% | 14.39% | 4 | 77.43% | 93.46% | 82.53% | 86.25% | 77.45% | 87.76% | 78.02% |
| 50 | 0.49 | 0.93 | 90.07% | 85.19% | 92.48% | 0.77 | 0.75 | 96.93% | 20 | 56.50% | 6 | 43.13% | 12.65% | 11.19% | 4 | 84.01% | 96.90% | 92.07% | 83.28% | 77.97% | 79.65% | 95.81% |
| A1 | A2 | A3 | B1 | B2 | B3 | B4 | B5 | C1 | C2 | C3 | D1 | D2 | D3 | D4 | E1 | E2 | E3 | E4 | E5 | E6 | E7 | |
|---|---|---|---|---|---|---|---|---|---|---|---|---|---|---|---|---|---|---|---|---|---|---|
| 1 | 0.70 | 0.93 | 88.19% | 93.21% | 99.25% | 0.84 | 0.76 | 91.51% | 40 | 58.84% | 6 | 49.58% | 9.84% | 14.01% | 3 | 78.72% | 94.20% | 87.37% | 97.87% | 97.76% | 92.06% | 83.94% |
| 2 | 0.70 | 1.00 | 94.40% | 93.36% | 97.84% | 0.73 | 0.6 | 95.90% | 41 | 61.52% | 5 | 41.04% | 10.83% | 9.33% | 3 | 90.77% | 79.75% | 93.00% | 88.22% | 89.09% | 86.06% | 95.25% |
| 3 | 0.70 | 0.93 | 89.90% | 93.98% | 94.26% | 0.85 | 0.85 | 93.91% | 30 | 63.00% | 5 | 31.66% | 13.15% | 8.79% | 5 | 91.59% | 82.35% | 76.76% | 85.03% | 84.97% | 95.22% | 96.20% |
| 4 | 0.58 | 0.97 | 86.79% | 95.95% | 94.32% | 0.5 | 0.85 | 98.71% | 8 | 72.50% | 5 | 57.36% | 13.34% | 11.54% | 3 | 93.28% | 80.27% | 91.22% | 86.67% | 88.91% | 94.68% | 91.40% |
| 5 | 0.53 | 0.97 | 86.99% | 85.24% | 92.73% | 0.79 | 0.58 | 93.42% | 17 | 60.76% | 5 | 38.55% | 12.89% | 11.78% | 3 | 91.30% | 85.10% | 79.87% | 96.28% | 82.18% | 86.22% | 83.73% |
| 6 | 0.54 | 0.93 | 83.76% | 92.45% | 91.41% | 0.69 | 0.81 | 97.56% | 49 | 53.26% | 4 | 47.21% | 10.66% | 14.64% | 5 | 97.49% | 95.09% | 78.61% | 88.98% | 90.43% | 87.44% | 88.53% |
| 7 | 0.71 | 0.97 | 82.90% | 94.86% | 98.49% | 0.54 | 0.77 | 98.69% | 4 | 60.98% | 4 | 46.55% | 10.86% | 10.04% | 2 | 96.16% | 80.10% | 92.26% | 90.15% | 76.07% | 93.36% | 96.53% |
| 8 | 0.59 | 0.93 | 86.91% | 92.77% | 97.90% | 0.61 | 0.8 | 97.73% | 1 | 70.88% | 5 | 52.54% | 12.89% | 9.07% | 3 | 84.02% | 88.50% | 96.13% | 82.58% | 91.95% | 87.97% | 86.43% |
| 9 | 0.54 | 0.97 | 83.02% | 95.19% | 95.13% | 0.9 | 0.64 | 93.83% | 32 | 73.94% | 4 | 40.06% | 9.74% | 10.08% | 4 | 92.84% | 96.46% | 84.46% | 94.10% | 96.37% | 88.59% | 83.49% |
| 10 | 0.62 | 1.00 | 82.55% | 97.04% | 90.31% | 0.58 | 0.64 | 93.48% | 53 | 71.14% | 5 | 43.18% | 13.61% | 10.75% | 5 | 79.99% | 79.42% | 92.85% | 82.76% | 78.95% | 84.66% | 77.48% |
| 11 | 0.48 | 0.97 | 80.24% | 95.00% | 94.14% | 0.8 | 0.81 | 98.51% | 10 | 67.49% | 5 | 30.92% | 10.57% | 14.89% | 4 | 84.36% | 86.99% | 97.21% | 76.45% | 95.30% | 77.33% | 90.26% |
| 12 | 0.48 | 0.93 | 94.19% | 88.85% | 91.15% | 0.69 | 0.65 | 93.43% | 5 | 70.11% | 6 | 56.86% | 10.38% | 8.97% | 3 | 77.21% | 89.32% | 95.49% | 92.67% | 82.23% | 77.56% | 85.93% |
| 13 | 0.52 | 0.93 | 88.75% | 98.82% | 93.25% | 0.67 | 0.75 | 95.94% | 46 | 57.74% | 5 | 57.82% | 10.77% | 14.47% | 5 | 88.82% | 75.95% | 90.09% | 87.05% | 93.85% | 84.07% | 96.23% |
| 14 | 0.50 | 0.93 | 94.29% | 88.43% | 94.12% | 0.77 | 0.82 | 91.51% | 47 | 69.77% | 4 | 34.32% | 13.31% | 10.27% | 4 | 77.98% | 96.08% | 82.83% | 84.35% | 85.88% | 76.07% | 86.14% |
| 15 | 0.46 | 1.00 | 80.60% | 96.70% | 95.37% | 0.61 | 0.72 | 98.89% | 16 | 56.64% | 4 | 40.65% | 10.39% | 8.21% | 5 | 81.98% | 84.10% | 85.49% | 90.62% | 95.55% | 89.68% | 80.11% |
| 16 | 0.58 | 0.97 | 85.16% | 85.27% | 91.28% | 0.67 | 0.85 | 90.22% | 28 | 52.15% | 5 | 57.14% | 12.05% | 9.11% | 3 | 84.10% | 77.83% | 88.03% | 89.37% | 88.92% | 93.06% | 85.44% |
| 17 | 0.71 | 0.93 | 93.45% | 88.33% | 90.00% | 0.81 | 0.87 | 96.58% | 39 | 52.55% | 4 | 57.60% | 10.16% | 12.95% | 3 | 90.93% | 81.12% | 80.44% | 76.44% | 84.90% | 87.93% | 76.84% |
| 18 | 0.46 | 0.93 | 83.93% | 93.11% | 95.79% | 0.77 | 0.83 | 92.48% | 39 | 71.61% | 4 | 34.25% | 12.82% | 8.21% | 3 | 82.09% | 91.19% | 85.94% | 80.19% | 80.09% | 82.05% | 83.30% |
| 19 | 0.63 | 0.93 | 95.89% | 95.74% | 94.82% | 0.71 | 0.89 | 95.63% | 14 | 58.58% | 4 | 52.47% | 10.80% | 10.12% | 4 | 75.89% | 97.83% | 91.97% | 76.86% | 83.10% | 82.82% | 79.94% |
| 20 | 0.69 | 0.97 | 92.87% | 97.46% | 95.84% | 0.84 | 0.89 | 92.86% | 18 | 64.83% | 5 | 55.34% | 9.14% | 14.63% | 2 | 86.37% | 75.50% | 93.49% | 82.09% | 76.51% | 78.74% | 88.50% |
| 21 | 0.54 | 1.00 | 92.83% | 85.58% | 99.85% | 0.86 | 0.75 | 93.13% | 44 | 57.74% | 4 | 34.14% | 13.18% | 11.78% | 5 | 93.89% | 94.48% | 96.28% | 96.10% | 79.53% | 81.15% | 91.25% |
| 22 | 0.68 | 1.00 | 87.68% | 88.33% | 95.27% | 0.75 | 0.74 | 92.56% | 58 | 67.01% | 4 | 44.86% | 12.52% | 8.44% | 2 | 78.29% | 96.14% | 88.39% | 84.18% | 92.54% | 85.51% | 85.97% |
| 23 | 0.72 | 0.97 | 94.53% | 98.79% | 94.13% | 0.5 | 0.84 | 95.45% | 6 | 58.32% | 5 | 35.19% | 9.04% | 9.48% | 3 | 85.16% | 85.51% | 96.86% | 81.85% | 86.82% | 81.07% | 75.06% |
| 24 | 0.72 | 0.93 | 81.64% | 98.34% | 97.69% | 0.82 | 0.57 | 94.94% | 60 | 66.97% | 6 | 39.90% | 10.72% | 13.57% | 5 | 88.97% | 95.58% | 88.20% | 85.49% | 78.95% | 96.75% | 81.12% |
| 25 | 0.68 | 1.00 | 84.16% | 87.18% | 97.88% | 0.53 | 0.79 | 90.40% | 50 | 66.23% | 6 | 44.40% | 10.23% | 14.50% | 5 | 92.56% | 86.48% | 92.81% | 84.82% | 77.99% | 90.99% | 86.85% |
| 26 | 0.71 | 1.00 | 80.30% | 87.75% | 95.36% | 0.81 | 0.73 | 98.20% | 12 | 68.65% | 5 | 41.55% | 10.23% | 10.50% | 2 | 87.24% | 87.60% | 90.65% | 91.83% | 97.75% | 88.57% | 78.32% |
| 27 | 0.67 | 1.00 | 81.00% | 94.92% | 90.59% | 0.82 | 0.74 | 95.75% | 36 | 73.84% | 5 | 34.34% | 11.89% | 8.05% | 4 | 75.02% | 76.28% | 95.15% | 95.48% | 86.31% | 87.43% | 79.07% |
| 28 | 0.54 | 0.93 | 84.48% | 88.44% | 91.54% | 0.75 | 0.65 | 92.32% | 11 | 50.30% | 4 | 30.20% | 10.01% | 12.35% | 5 | 76.44% | 95.93% | 95.85% | 87.00% | 89.02% | 97.78% | 90.27% |
| 29 | 0.62 | 0.97 | 95.69% | 94.88% | 92.30% | 0.89 | 0.68 | 91.89% | 18 | 56.04% | 3 | 51.36% | 10.35% | 14.27% | 3 | 91.39% | 83.64% | 93.24% | 81.36% | 80.74% | 85.86% | 75.87% |
| 30 | 0.64 | 0.97 | 89.10% | 87.27% | 98.84% | 0.72 | 0.85 | 97.66% | 54 | 64.08% | 4 | 59.12% | 10.18% | 9.02% | 2 | 87.87% | 81.30% | 75.04% | 89.11% | 91.87% | 93.53% | 95.23% |
| 31 | 0.53 | 0.93 | 86.04% | 90.93% | 99.11% | 0.65 | 0.59 | 97.36% | 20 | 68.57% | 4 | 49.74% | 11.61% | 13.29% | 2 | 79.64% | 82.71% | 96.63% | 85.96% | 80.86% | 86.53% | 92.87% |
| 32 | 0.61 | 1.00 | 88.03% | 91.55% | 96.44% | 0.85 | 0.56 | 90.98% | 1 | 69.00% | 4 | 32.43% | 13.45% | 13.71% | 4 | 87.90% | 84.73% | 90.09% | 91.35% | 86.33% | 75.32% | 83.60% |
| 33 | 0.63 | 0.93 | 87.77% | 94.74% | 90.54% | 0.84 | 0.88 | 97.65% | 34 | 60.50% | 4 | 34.03% | 11.02% | 14.32% | 4 | 89.58% | 81.96% | 75.55% | 96.91% | 92.50% | 81.61% | 96.96% |
| 34 | 0.63 | 0.93 | 89.37% | 94.09% | 93.14% | 0.88 | 0.77 | 97.38% | 59 | 65.09% | 4 | 46.04% | 11.69% | 8.54% | 3 | 86.56% | 91.89% | 96.05% | 84.82% | 77.09% | 91.34% | 85.18% |
| 35 | 0.66 | 0.93 | 81.23% | 90.53% | 90.88% | 0.72 | 0.69 | 96.46% | 32 | 65.13% | 6 | 53.83% | 10.46% | 13.15% | 5 | 83.01% | 90.53% | 92.23% | 96.76% | 93.27% | 83.87% | 89.90% |
| 36 | 0.57 | 0.97 | 93.45% | 98.96% | 95.33% | 0.55 | 0.67 | 98.81% | 19 | 50.18% | 5 | 44.58% | 10.01% | 10.06% | 3 | 83.85% | 90.35% | 82.11% | 89.78% | 94.63% | 78.94% | 75.24% |
| 37 | 0.56 | 0.93 | 92.56% | 98.39% | 92.02% | 0.73 | 0.61 | 96.74% | 16 | 50.09% | 4 | 57.30% | 9.74% | 12.47% | 4 | 91.11% | 95.52% | 84.26% | 93.52% | 77.00% | 90.35% | 95.39% |
| 38 | 0.72 | 0.97 | 83.77% | 98.85% | 91.83% | 0.75 | 0.65 | 94.62% | 13 | 56.19% | 5 | 38.03% | 12.49% | 13.80% | 4 | 88.93% | 78.87% | 76.46% | 76.24% | 87.39% | 88.92% | 87.14% |
| 39 | 0.55 | 0.97 | 90.61% | 92.09% | 95.20% | 0.84 | 0.75 | 98.89% | 48 | 72.60% | 6 | 59.24% | 10.07% | 13.41% | 5 | 85.43% | 78.38% | 91.93% | 85.14% | 97.44% | 91.73% | 86.09% |
| 40 | 0.54 | 0.97 | 92.01% | 86.52% | 95.22% | 0.79 | 0.7 | 94.32% | 10 | 62.04% | 5 | 59.88% | 11.18% | 9.57% | 4 | 84.16% | 86.04% | 97.52% | 79.49% | 78.66% | 80.43% | 94.70% |
| 41 | 0.46 | 0.93 | 89.70% | 95.00% | 99.23% | 0.62 | 0.84 | 97.97% | 57 | 69.90% | 5 | 33.34% | 13.54% | 8.88% | 3 | 83.93% | 84.33% | 86.41% | 87.50% | 90.73% | 81.11% | 86.23% |
| 42 | 0.71 | 1.00 | 92.04% | 90.27% | 94.44% | 0.73 | 0.67 | 97.83% | 40 | 70.04% | 5 | 50.57% | 9.06% | 10.71% | 4 | 80.91% | 83.33% | 87.39% | 94.36% | 76.06% | 76.68% | 82.94% |
| 43 | 0.60 | 0.93 | 81.05% | 91.34% | 96.13% | 0.9 | 0.82 | 95.47% | 14 | 74.65% | 5 | 48.72% | 11.54% | 9.00% | 5 | 96.80% | 76.25% | 87.59% | 94.19% | 78.99% | 83.85% | 81.04% |
| 44 | 0.52 | 0.97 | 90.30% | 88.22% | 94.22% | 0.64 | 0.87 | 97.70% | 11 | 61.05% | 3 | 36.49% | 10.43% | 11.23% | 4 | 76.97% | 95.87% | 85.61% | 87.36% | 92.55% | 83.37% | 88.87% |
| 45 | 0.50 | 0.97 | 85.22% | 85.66% | 98.99% | 0.58 | 0.83 | 97.28% | 9 | 50.99% | 5 | 44.66% | 10.29% | 8.14% | 5 | 84.17% | 85.05% | 83.59% | 80.18% | 76.87% | 89.97% | 89.38% |
| 46 | 0.55 | 0.97 | 89.35% | 93.24% | 97.55% | 0.85 | 0.57 | 96.97% | 9 | 54.45% | 5 | 42.81% | 12.41% | 13.88% | 3 | 82.51% | 86.07% | 97.93% | 75.19% | 77.44% | 80.71% | 83.14% |
| 47 | 0.65 | 0.93 | 82.44% | 89.44% | 96.07% | 0.53 | 0.63 | 94.09% | 31 | 69.74% | 4 | 41.22% | 10.77% | 8.79% | 3 | 76.77% | 88.64% | 78.28% | 97.34% | 84.10% | 97.77% | 86.71% |
| 48 | 0.63 | 1.00 | 80.27% | 90.47% | 94.46% | 0.8 | 0.58 | 90.50% | 59 | 72.93% | 4 | 46.96% | 9.47% | 9.29% | 3 | 89.27% | 88.27% | 84.03% | 75.12% | 96.22% | 82.93% | 85.12% |
| 49 | 0.72 | 0.93 | 88.80% | 94.53% | 96.19% | 0.73 | 0.6 | 96.84% | 39 | 69.17% | 4 | 35.11% | 9.66% | 11.78% | 4 | 91.44% | 76.08% | 88.73% | 79.54% | 91.47% | 87.32% | 95.34% |
| 50 | 0.52 | 0.93 | 84.07% | 93.50% | 95.75% | 0.79 | 0.61 | 96.69% | 33 | 58.55% | 5 | 34.53% | 11.73% | 8.09% | 4 | 82.75% | 85.42% | 83.40% | 82.29% | 82.96% | 85.16% | 89.56% |
| A1 | A2 | A3 | B1 | B2 | B3 | B4 | B5 | C1 | C2 | C3 | D1 | D2 | D3 | D4 | E1 | E2 | E3 | E4 | E5 | E6 | E7 | |
|---|---|---|---|---|---|---|---|---|---|---|---|---|---|---|---|---|---|---|---|---|---|---|
| 1 | 0.50 | 0.97 | 87.80% | 95.47% | 97.57% | 0.71 | 0.88 | 92.69% | 5 | 54.25% | 3 | 48.42% | 10.54% | 14.17% | 4 | 93.15% | 84.11% | 82.26% | 91.46% | 85.01% | 89.87% | 81.93% |
| 2 | 0.47 | 0.97 | 91.65% | 86.90% | 93.22% | 0.6 | 0.65 | 97.61% | 15 | 57.20% | 4 | 55.04% | 12.14% | 13.27% | 4 | 83.13% | 88.27% | 89.07% | 96.74% | 80.88% | 88.78% | 80.44% |
| 3 | 0.52 | 0.97 | 89.78% | 89.46% | 94.12% | 0.55 | 0.78 | 97.99% | 15 | 65.43% | 5 | 42.22% | 12.97% | 13.18% | 5 | 82.57% | 93.08% | 95.89% | 85.55% | 93.07% | 86.40% | 77.74% |
| 4 | 0.50 | 0.93 | 89.61% | 92.52% | 91.08% | 0.51 | 0.72 | 97.10% | 6 | 58.52% | 4 | 35.30% | 13.39% | 10.81% | 3 | 83.90% | 79.24% | 77.13% | 84.78% | 88.55% | 87.57% | 78.55% |
| 5 | 0.70 | 0.97 | 80.87% | 97.07% | 94.83% | 0.9 | 0.6 | 93.55% | 54 | 56.21% | 5 | 59.99% | 12.85% | 12.97% | 4 | 84.44% | 94.50% | 75.24% | 84.87% | 95.05% | 96.36% | 86.92% |
| 6 | 0.70 | 1.00 | 80.02% | 90.66% | 91.31% | 0.52 | 0.7 | 94.12% | 37 | 72.60% | 5 | 51.86% | 12.07% | 11.34% | 4 | 88.47% | 86.78% | 91.76% | 82.60% | 90.80% | 90.31% | 85.07% |
| 7 | 0.60 | 0.97 | 80.13% | 90.26% | 90.60% | 0.53 | 0.58 | 97.76% | 22 | 66.72% | 3 | 37.51% | 9.51% | 14.96% | 3 | 81.31% | 88.24% | 93.76% | 90.89% | 79.47% | 78.05% | 75.06% |
| 8 | 0.57 | 0.97 | 89.87% | 94.49% | 96.92% | 0.79 | 0.6 | 93.42% | 15 | 54.96% | 3 | 40.14% | 11.07% | 13.54% | 4 | 79.14% | 91.33% | 92.98% | 76.94% | 77.09% | 90.89% | 82.48% |
| 9 | 0.47 | 0.97 | 89.83% | 89.22% | 94.12% | 0.62 | 0.82 | 93.00% | 54 | 52.08% | 5 | 47.32% | 11.48% | 8.27% | 3 | 92.14% | 87.33% | 81.66% | 76.33% | 89.27% | 78.37% | 85.88% |
| 10 | 0.62 | 0.97 | 80.44% | 95.28% | 92.08% | 0.55 | 0.57 | 97.54% | 25 | 54.38% | 4 | 43.21% | 11.08% | 10.08% | 3 | 88.75% | 90.53% | 96.94% | 91.63% | 94.14% | 93.18% | 80.86% |
| 11 | 0.51 | 0.93 | 84.21% | 98.57% | 96.65% | 0.7 | 0.6 | 91.37% | 49 | 69.17% | 4 | 46.64% | 9.70% | 14.88% | 3 | 91.31% | 81.36% | 76.68% | 96.93% | 89.59% | 84.92% | 90.62% |
| 12 | 0.71 | 0.93 | 92.41% | 93.39% | 97.86% | 0.7 | 0.65 | 90.29% | 15 | 63.99% | 3 | 30.29% | 13.54% | 9.47% | 3 | 79.39% | 82.34% | 85.79% | 84.20% | 94.76% | 95.80% | 88.72% |
| 13 | 0.53 | 1.00 | 83.69% | 94.06% | 97.70% | 0.81 | 0.75 | 91.25% | 48 | 74.50% | 4 | 56.34% | 11.26% | 14.84% | 4 | 92.38% | 76.25% | 96.54% | 87.49% | 93.78% | 91.58% | 87.30% |
| 14 | 0.61 | 1.00 | 85.91% | 87.75% | 92.33% | 0.67 | 0.82 | 95.72% | 7 | 51.22% | 3 | 51.93% | 13.48% | 9.66% | 3 | 88.39% | 81.81% | 95.69% | 85.64% | 93.26% | 76.78% | 82.46% |
| 15 | 0.53 | 0.93 | 95.70% | 93.54% | 98.84% | 0.7 | 0.56 | 94.20% | 19 | 51.50% | 6 | 58.27% | 11.82% | 14.08% | 3 | 91.43% | 78.02% | 77.73% | 79.77% | 83.76% | 87.11% | 79.98% |
| 16 | 0.69 | 0.93 | 92.60% | 90.52% | 91.81% | 0.58 | 0.78 | 97.59% | 60 | 60.55% | 6 | 41.48% | 10.22% | 13.47% | 3 | 91.76% | 82.41% | 93.18% | 86.88% | 87.48% | 81.02% | 95.60% |
| 17 | 0.72 | 1.00 | 90.71% | 85.06% | 95.99% | 0.76 | 0.66 | 90.06% | 26 | 51.95% | 5 | 37.43% | 11.70% | 8.34% | 4 | 90.78% | 76.33% | 82.38% | 95.63% | 88.83% | 92.70% | 95.17% |
| 18 | 0.72 | 0.97 | 93.67% | 89.61% | 97.48% | 0.77 | 0.69 | 91.08% | 51 | 68.03% | 4 | 53.34% | 11.43% | 8.18% | 5 | 96.47% | 77.99% | 97.88% | 86.61% | 88.29% | 77.34% | 79.01% |
| 19 | 0.60 | 0.93 | 87.35% | 98.47% | 95.66% | 0.82 | 0.6 | 96.95% | 50 | 69.11% | 3 | 52.30% | 10.79% | 14.54% | 2 | 82.56% | 88.37% | 84.73% | 76.03% | 91.48% | 86.52% | 79.23% |
| 20 | 0.71 | 1.00 | 89.06% | 89.09% | 90.73% | 0.54 | 0.61 | 92.66% | 4 | 56.19% | 4 | 56.04% | 12.88% | 9.47% | 4 | 93.66% | 92.39% | 93.82% | 89.61% | 77.88% | 77.13% | 97.13% |
| 21 | 0.70 | 0.97 | 87.66% | 96.28% | 95.36% | 0.66 | 0.68 | 91.35% | 34 | 52.97% | 3 | 33.61% | 11.24% | 14.69% | 3 | 80.72% | 80.27% | 79.15% | 78.62% | 79.03% | 87.75% | 81.84% |
| 22 | 0.62 | 1.00 | 88.68% | 88.34% | 98.45% | 0.69 | 0.8 | 97.04% | 9 | 53.30% | 6 | 37.50% | 11.77% | 12.46% | 3 | 91.77% | 82.45% | 89.10% | 90.26% | 85.67% | 95.01% | 89.22% |
| 23 | 0.47 | 1.00 | 92.13% | 93.60% | 90.52% | 0.65 | 0.77 | 97.01% | 27 | 59.65% | 6 | 38.15% | 11.94% | 14.59% | 4 | 92.66% | 94.84% | 83.51% | 82.57% | 87.25% | 96.05% | 75.26% |
| 24 | 0.58 | 0.97 | 81.14% | 87.57% | 90.77% | 0.68 | 0.66 | 93.08% | 37 | 68.43% | 5 | 45.88% | 11.96% | 12.35% | 2 | 86.70% | 96.31% | 81.62% | 89.19% | 89.74% | 94.24% | 86.51% |
| 25 | 0.64 | 1.00 | 87.06% | 89.45% | 91.52% | 0.5 | 0.85 | 91.23% | 45 | 61.08% | 5 | 41.25% | 10.65% | 12.41% | 4 | 92.21% | 88.11% | 94.34% | 82.50% | 85.70% | 85.51% | 87.41% |
| 26 | 0.51 | 0.97 | 85.65% | 93.53% | 94.36% | 0.69 | 0.73 | 96.26% | 40 | 58.45% | 4 | 41.40% | 12.45% | 9.92% | 3 | 77.10% | 90.42% | 80.48% | 81.67% | 96.47% | 80.58% | 92.83% |
| 27 | 0.50 | 0.97 | 80.17% | 92.82% | 92.54% | 0.53 | 0.62 | 92.47% | 21 | 54.63% | 5 | 50.11% | 10.30% | 13.08% | 4 | 95.22% | 75.73% | 96.18% | 75.16% | 82.54% | 97.75% | 90.96% |
| 28 | 0.56 | 0.93 | 89.79% | 92.60% | 95.69% | 0.53 | 0.82 | 95.18% | 4 | 73.41% | 5 | 38.37% | 11.33% | 10.36% | 2 | 77.07% | 93.68% | 92.28% | 86.04% | 95.34% | 87.68% | 85.54% |
| 29 | 0.57 | 0.93 | 94.68% | 86.63% | 98.08% | 0.76 | 0.84 | 96.74% | 55 | 51.75% | 5 | 55.98% | 9.60% | 14.67% | 3 | 85.23% | 94.17% | 75.83% | 97.14% | 82.95% | 80.07% | 86.66% |
| 30 | 0.63 | 0.97 | 83.56% | 95.90% | 94.99% | 0.68 | 0.7 | 92.80% | 7 | 67.86% | 5 | 48.72% | 10.63% | 9.39% | 4 | 76.50% | 85.01% | 75.29% | 87.43% | 91.50% | 84.52% | 93.12% |
| 31 | 0.60 | 0.97 | 82.23% | 90.16% | 100.00% | 0.55 | 0.64 | 98.65% | 42 | 74.37% | 4 | 43.69% | 9.90% | 9.28% | 3 | 95.80% | 81.53% | 89.38% | 93.63% | 95.66% | 90.20% | 88.10% |
| 32 | 0.72 | 1.00 | 87.82% | 88.38% | 91.19% | 0.79 | 0.82 | 96.60% | 3 | 62.06% | 4 | 36.47% | 12.96% | 12.26% | 2 | 83.08% | 91.21% | 75.71% | 79.08% | 82.82% | 92.37% | 87.21% |
| 33 | 0.52 | 1.00 | 89.37% | 85.92% | 96.46% | 0.84 | 0.71 | 94.81% | 51 | 57.22% | 4 | 43.10% | 10.89% | 12.52% | 4 | 75.31% | 81.94% | 92.38% | 94.80% | 91.56% | 93.53% | 82.89% |
| 34 | 0.50 | 0.93 | 92.08% | 86.02% | 97.59% | 0.77 | 0.84 | 95.98% | 43 | 64.18% | 5 | 49.05% | 9.02% | 14.16% | 3 | 79.97% | 93.97% | 79.58% | 80.75% | 75.78% | 88.74% | 88.91% |
| 35 | 0.66 | 1.00 | 95.45% | 88.96% | 94.86% | 0.81 | 0.8 | 97.15% | 43 | 66.71% | 5 | 30.31% | 11.17% | 12.36% | 3 | 81.27% | 88.98% | 92.21% | 82.44% | 84.21% | 83.98% | 97.20% |
| 36 | 0.55 | 0.97 | 83.93% | 93.90% | 99.80% | 0.79 | 0.74 | 96.45% | 31 | 52.05% | 5 | 51.23% | 10.90% | 12.55% | 2 | 97.09% | 84.06% | 81.86% | 89.54% | 92.37% | 91.08% | 82.21% |
| 37 | 0.48 | 0.97 | 87.06% | 94.81% | 96.58% | 0.65 | 0.7 | 95.46% | 39 | 72.57% | 5 | 38.83% | 9.43% | 9.32% | 4 | 93.11% | 85.08% | 96.80% | 96.34% | 96.38% | 94.17% | 84.76% |
| 38 | 0.60 | 0.93 | 87.67% | 93.41% | 99.31% | 0.55 | 0.88 | 93.81% | 24 | 59.63% | 5 | 57.62% | 9.69% | 14.47% | 5 | 90.12% | 76.71% | 76.12% | 75.46% | 91.05% | 75.29% | 79.02% |
| 39 | 0.63 | 0.97 | 87.85% | 87.41% | 98.54% | 0.71 | 0.57 | 98.85% | 37 | 70.80% | 5 | 39.76% | 13.25% | 10.04% | 4 | 76.24% | 80.01% | 95.01% | 96.71% | 81.54% | 85.56% | 78.82% |
| 40 | 0.48 | 0.97 | 84.35% | 93.16% | 90.02% | 0.88 | 0.68 | 91.25% | 38 | 60.68% | 5 | 41.74% | 13.99% | 11.70% | 3 | 93.80% | 82.50% | 81.22% | 97.89% | 85.47% | 83.27% | 95.92% |
| 41 | 0.70 | 0.97 | 80.43% | 95.65% | 94.53% | 0.8 | 0.76 | 90.31% | 5 | 59.33% | 5 | 45.25% | 12.38% | 13.57% | 3 | 87.52% | 79.95% | 84.82% | 79.92% | 78.21% | 76.37% | 76.51% |
| 42 | 0.65 | 1.00 | 94.09% | 94.50% | 91.19% | 0.72 | 0.78 | 90.47% | 10 | 55.59% | 5 | 53.98% | 13.33% | 9.33% | 4 | 97.57% | 93.19% | 88.88% | 93.48% | 95.52% | 76.79% | 86.65% |
| 43 | 0.57 | 1.00 | 86.58% | 90.86% | 94.14% | 0.89 | 0.63 | 94.10% | 24 | 55.88% | 3 | 30.51% | 11.43% | 10.70% | 4 | 93.89% | 90.60% | 93.15% | 96.90% | 83.68% | 82.16% | 88.99% |
| 44 | 0.56 | 0.93 | 91.89% | 93.82% | 99.11% | 0.62 | 0.82 | 98.03% | 16 | 65.46% | 6 | 53.18% | 9.34% | 10.47% | 3 | 81.68% | 78.92% | 80.69% | 90.69% | 79.28% | 81.86% | 95.75% |
| 45 | 0.51 | 0.93 | 92.10% | 97.41% | 93.34% | 0.66 | 0.68 | 92.00% | 34 | 63.07% | 6 | 48.84% | 12.75% | 12.85% | 3 | 81.03% | 88.06% | 93.09% | 95.35% | 77.51% | 88.29% | 79.06% |
| 46 | 0.71 | 0.93 | 94.40% | 95.41% | 93.13% | 0.59 | 0.88 | 98.54% | 15 | 56.70% | 6 | 49.06% | 9.59% | 12.20% | 2 | 83.49% | 77.37% | 80.80% | 89.98% | 96.76% | 79.52% | 90.77% |
| 47 | 0.57 | 1.00 | 94.95% | 93.49% | 95.43% | 0.79 | 0.74 | 98.78% | 39 | 72.00% | 6 | 44.95% | 12.42% | 9.80% | 4 | 93.37% | 88.92% | 97.42% | 80.50% | 83.87% | 97.19% | 84.53% |
| 48 | 0.71 | 0.97 | 82.72% | 90.72% | 95.69% | 0.88 | 0.82 | 94.51% | 48 | 66.55% | 4 | 53.70% | 12.20% | 11.31% | 2 | 88.76% | 81.71% | 78.55% | 97.25% | 77.21% | 82.26% | 97.62% |
| 49 | 0.47 | 0.97 | 87.18% | 96.94% | 99.96% | 0.71 | 0.64 | 95.29% | 36 | 66.62% | 5 | 54.89% | 13.27% | 11.42% | 3 | 91.57% | 80.89% | 86.52% | 89.03% | 93.76% | 82.08% | 86.22% |
| 50 | 0.48 | 0.93 | 83.34% | 96.31% | 90.52% | 0.8 | 0.67 | 91.19% | 21 | 67.89% | 5 | 45.05% | 12.26% | 10.08% | 3 | 76.48% | 89.94% | 90.69% | 95.95% | 90.47% | 92.97% | 86.99% |
| A1 | A2 | A3 | B1 | B2 | B3 | B4 | B5 | C1 | C2 | C3 | D1 | D2 | D3 | D4 | E1 | E2 | E3 | E4 | E5 | E6 | E7 | |
|---|---|---|---|---|---|---|---|---|---|---|---|---|---|---|---|---|---|---|---|---|---|---|
| 1 | 0.52 | 1.00 | 87.72% | 97.84% | 99.67% | 0.56 | 0.71 | 91.86% | 17 | 54.73% | 3 | 45.48% | 13.54% | 12.81% | 4 | 88.92% | 89.69% | 97.92% | 77.11% | 88.15% | 83.22% | 90.33% |
| 2 | 0.73 | 0.97 | 86.15% | 85.25% | 95.06% | 0.69 | 0.82 | 94.62% | 4 | 68.80% | 4 | 32.14% | 13.53% | 12.94% | 4 | 88.53% | 91.59% | 90.85% | 94.24% | 95.92% | 76.88% | 85.41% |
| 3 | 0.54 | 0.93 | 82.64% | 85.49% | 96.45% | 0.6 | 0.66 | 95.76% | 50 | 51.23% | 4 | 53.89% | 11.44% | 11.15% | 3 | 88.14% | 94.94% | 85.79% | 84.34% | 80.32% | 97.26% | 75.43% |
| 4 | 0.72 | 1.00 | 95.38% | 96.13% | 96.31% | 0.76 | 0.6 | 96.87% | 58 | 54.70% | 4 | 43.14% | 12.67% | 14.95% | 2 | 83.35% | 83.32% | 84.91% | 78.42% | 97.46% | 94.02% | 83.63% |
| 5 | 0.72 | 0.97 | 84.50% | 97.06% | 97.07% | 0.6 | 0.78 | 93.05% | 31 | 64.24% | 4 | 46.42% | 12.89% | 11.82% | 4 | 95.43% | 81.25% | 85.77% | 80.16% | 75.33% | 80.88% | 79.65% |
| 6 | 0.66 | 1.00 | 85.69% | 95.38% | 91.43% | 0.57 | 0.59 | 92.28% | 31 | 52.73% | 3 | 56.88% | 9.44% | 11.67% | 4 | 75.26% | 87.46% | 93.51% | 78.77% | 80.20% | 75.00% | 78.19% |
| 7 | 0.55 | 0.93 | 94.30% | 87.72% | 92.69% | 0.77 | 0.7 | 92.57% | 34 | 63.79% | 6 | 46.60% | 12.77% | 14.99% | 4 | 80.75% | 83.21% | 82.34% | 81.54% | 92.76% | 92.20% | 78.62% |
| 8 | 0.61 | 1.00 | 87.43% | 85.66% | 99.89% | 0.61 | 0.8 | 92.93% | 1 | 66.60% | 5 | 49.66% | 11.67% | 14.67% | 3 | 94.19% | 97.17% | 89.10% | 88.00% | 91.81% | 80.66% | 96.65% |
| 9 | 0.54 | 0.93 | 85.96% | 98.04% | 97.00% | 0.53 | 0.59 | 94.87% | 34 | 72.25% | 4 | 51.27% | 11.64% | 11.67% | 5 | 86.68% | 96.21% | 87.45% | 94.58% | 82.31% | 89.48% | 80.68% |
| 10 | 0.59 | 0.93 | 81.24% | 87.75% | 91.18% | 0.83 | 0.83 | 95.60% | 8 | 60.81% | 5 | 32.15% | 11.01% | 10.50% | 5 | 80.02% | 85.39% | 82.38% | 97.36% | 79.94% | 96.79% | 83.46% |
| 11 | 0.53 | 0.93 | 82.42% | 94.78% | 98.38% | 0.53 | 0.57 | 93.36% | 29 | 74.87% | 6 | 30.08% | 14.00% | 9.69% | 2 | 95.95% | 85.02% | 81.13% | 92.54% | 82.84% | 89.99% | 78.29% |
| 12 | 0.57 | 0.93 | 87.04% | 94.86% | 90.37% | 0.63 | 0.89 | 91.77% | 33 | 54.18% | 4 | 31.47% | 13.15% | 14.40% | 4 | 84.79% | 78.23% | 97.88% | 83.79% | 75.48% | 93.27% | 96.99% |
| 13 | 0.59 | 0.97 | 94.90% | 95.41% | 92.33% | 0.66 | 0.68 | 91.79% | 15 | 51.47% | 3 | 43.51% | 13.83% | 11.13% | 4 | 95.75% | 84.01% | 75.67% | 75.32% | 92.97% | 81.58% | 87.13% |
| 14 | 0.57 | 0.97 | 84.88% | 89.94% | 98.09% | 0.79 | 0.57 | 97.57% | 35 | 64.03% | 3 | 59.44% | 11.35% | 9.55% | 4 | 81.63% | 80.96% | 79.22% | 91.76% | 77.78% | 82.85% | 86.88% |
| 15 | 0.57 | 1.00 | 91.03% | 86.71% | 93.00% | 0.68 | 0.68 | 91.44% | 53 | 71.57% | 4 | 43.98% | 13.14% | 14.77% | 2 | 87.81% | 82.81% | 84.17% | 85.25% | 83.98% | 85.99% | 80.84% |
| 16 | 0.58 | 0.93 | 81.46% | 98.45% | 96.77% | 0.51 | 0.57 | 93.88% | 4 | 61.08% | 4 | 55.36% | 10.08% | 13.42% | 2 | 79.49% | 77.13% | 80.96% | 97.03% | 80.73% | 84.68% | 89.39% |
| 17 | 0.51 | 0.93 | 89.06% | 98.60% | 96.55% | 0.57 | 0.8 | 92.04% | 29 | 65.79% | 6 | 58.04% | 11.06% | 12.91% | 3 | 81.03% | 92.09% | 94.24% | 96.24% | 82.14% | 96.17% | 87.75% |
| 18 | 0.70 | 0.97 | 93.77% | 88.80% | 95.48% | 0.66 | 0.73 | 94.03% | 36 | 60.28% | 6 | 52.60% | 11.03% | 12.52% | 2 | 87.35% | 78.50% | 94.18% | 84.05% | 87.04% | 88.33% | 77.50% |
| 19 | 0.63 | 0.93 | 89.26% | 97.86% | 92.46% | 0.61 | 0.71 | 96.37% | 10 | 65.91% | 5 | 34.48% | 12.97% | 11.19% | 4 | 91.94% | 79.99% | 96.39% | 88.97% | 84.00% | 82.75% | 95.09% |
| 20 | 0.59 | 0.93 | 92.59% | 93.44% | 95.84% | 0.53 | 0.77 | 90.11% | 33 | 70.68% | 5 | 36.02% | 9.61% | 12.31% | 3 | 92.93% | 97.84% | 90.74% | 89.44% | 76.39% | 96.20% | 83.95% |
| 21 | 0.51 | 0.93 | 85.15% | 97.33% | 99.68% | 0.73 | 0.75 | 94.60% | 33 | 53.15% | 6 | 32.42% | 9.50% | 10.53% | 4 | 96.04% | 75.91% | 84.89% | 94.86% | 95.82% | 84.19% | 96.67% |
| 22 | 0.60 | 0.97 | 85.81% | 88.13% | 98.55% | 0.59 | 0.68 | 94.96% | 60 | 53.19% | 4 | 58.22% | 12.08% | 9.48% | 2 | 93.28% | 75.56% | 95.38% | 94.17% | 89.28% | 89.40% | 92.90% |
| 23 | 0.65 | 0.97 | 80.82% | 89.27% | 96.77% | 0.89 | 0.81 | 90.16% | 32 | 51.73% | 6 | 40.76% | 9.28% | 14.96% | 5 | 81.12% | 97.41% | 79.93% | 87.31% | 89.76% | 77.57% | 95.11% |
| 24 | 0.71 | 1.00 | 88.17% | 91.42% | 95.80% | 0.59 | 0.63 | 97.29% | 31 | 61.46% | 6 | 39.12% | 9.32% | 9.44% | 5 | 88.19% | 96.50% | 90.72% | 95.64% | 83.65% | 80.98% | 95.29% |
| 25 | 0.53 | 0.93 | 90.60% | 86.58% | 94.43% | 0.65 | 0.78 | 94.83% | 2 | 69.29% | 5 | 49.09% | 12.67% | 14.86% | 3 | 92.26% | 97.30% | 96.02% | 83.98% | 96.22% | 93.89% | 93.46% |
| 26 | 0.71 | 0.97 | 88.19% | 89.16% | 96.15% | 0.86 | 0.9 | 96.32% | 15 | 55.45% | 5 | 46.58% | 13.06% | 10.85% | 4 | 81.79% | 94.33% | 92.31% | 78.14% | 82.48% | 76.63% | 87.44% |
| 27 | 0.58 | 1.00 | 81.41% | 98.02% | 91.57% | 0.72 | 0.89 | 90.37% | 10 | 69.55% | 5 | 55.55% | 10.49% | 11.38% | 3 | 86.42% | 76.75% | 87.87% | 76.36% | 75.32% | 77.45% | 80.64% |
| 28 | 0.55 | 0.97 | 83.24% | 97.09% | 97.56% | 0.59 | 0.76 | 91.51% | 31 | 66.73% | 6 | 35.35% | 13.74% | 14.97% | 4 | 76.16% | 97.21% | 88.45% | 87.95% | 91.64% | 91.50% | 81.18% |
| 29 | 0.60 | 1.00 | 95.06% | 93.47% | 99.26% | 0.79 | 0.83 | 94.05% | 19 | 57.22% | 4 | 50.38% | 9.18% | 9.32% | 2 | 90.80% | 91.72% | 79.56% | 93.43% | 81.29% | 78.56% | 82.34% |
| 30 | 0.65 | 0.97 | 90.34% | 91.55% | 91.61% | 0.63 | 0.63 | 92.04% | 30 | 51.83% | 5 | 53.78% | 13.60% | 10.82% | 3 | 80.85% | 76.02% | 86.96% | 86.78% | 88.48% | 88.01% | 76.67% |
| 31 | 0.71 | 0.93 | 80.36% | 94.22% | 91.08% | 0.52 | 0.86 | 94.06% | 36 | 57.16% | 3 | 46.34% | 9.60% | 14.19% | 5 | 88.04% | 91.34% | 75.77% | 80.00% | 95.30% | 84.24% | 79.99% |
| 32 | 0.60 | 1.00 | 84.13% | 93.32% | 96.24% | 0.72 | 0.63 | 98.13% | 20 | 67.31% | 6 | 59.03% | 10.09% | 12.62% | 2 | 91.01% | 80.65% | 79.54% | 95.69% | 89.19% | 81.23% | 76.89% |
| 33 | 0.47 | 0.93 | 82.48% | 91.15% | 97.75% | 0.63 | 0.73 | 98.24% | 11 | 71.71% | 5 | 57.48% | 13.23% | 8.62% | 2 | 86.48% | 86.93% | 92.44% | 93.48% | 88.05% | 95.40% | 87.66% |
| 34 | 0.68 | 0.93 | 82.22% | 96.00% | 90.23% | 0.62 | 0.86 | 92.45% | 34 | 62.66% | 4 | 43.60% | 11.61% | 9.35% | 4 | 97.39% | 79.47% | 84.61% | 81.91% | 78.46% | 85.12% | 79.93% |
| 35 | 0.62 | 1.00 | 80.23% | 90.20% | 95.10% | 0.58 | 0.8 | 92.74% | 40 | 67.17% | 4 | 34.47% | 13.86% | 14.84% | 3 | 79.23% | 90.08% | 97.80% | 96.03% | 76.16% | 84.02% | 86.38% |
| 36 | 0.51 | 0.93 | 95.80% | 90.14% | 97.26% | 0.73 | 0.63 | 94.38% | 32 | 69.48% | 3 | 58.68% | 13.39% | 9.62% | 2 | 82.97% | 85.22% | 83.59% | 95.03% | 91.89% | 91.28% | 76.54% |
| 37 | 0.71 | 0.93 | 80.03% | 96.96% | 90.23% | 0.58 | 0.56 | 98.00% | 26 | 57.81% | 4 | 45.86% | 10.11% | 9.05% | 3 | 91.40% | 77.40% | 85.91% | 91.66% | 89.90% | 87.51% | 75.03% |
| 38 | 0.69 | 0.97 | 82.90% | 91.35% | 93.13% | 0.71 | 0.84 | 97.14% | 25 | 51.15% | 5 | 39.76% | 9.59% | 10.23% | 3 | 83.83% | 94.23% | 77.84% | 92.55% | 80.76% | 80.91% | 94.20% |
| 39 | 0.61 | 0.97 | 87.80% | 93.33% | 98.29% | 0.5 | 0.72 | 91.03% | 38 | 52.47% | 3 | 51.44% | 12.16% | 14.34% | 4 | 87.70% | 77.04% | 83.15% | 77.35% | 84.66% | 79.52% | 92.30% |
| 40 | 0.59 | 1.00 | 84.77% | 93.99% | 99.82% | 0.6 | 0.7 | 95.70% | 57 | 58.28% | 4 | 35.31% | 9.05% | 10.87% | 4 | 80.54% | 93.33% | 76.39% | 77.90% | 79.30% | 87.43% | 88.77% |
| 41 | 0.67 | 0.93 | 83.76% | 90.23% | 99.24% | 0.55 | 0.67 | 97.79% | 47 | 54.41% | 6 | 56.70% | 10.02% | 12.38% | 2 | 88.00% | 96.09% | 93.99% | 86.69% | 79.90% | 96.56% | 80.86% |
| 42 | 0.51 | 0.97 | 87.86% | 88.97% | 92.14% | 0.75 | 0.74 | 91.31% | 28 | 68.52% | 4 | 34.16% | 13.33% | 9.42% | 3 | 88.25% | 85.70% | 86.14% | 86.11% | 77.22% | 77.92% | 84.14% |
| 43 | 0.63 | 1.00 | 86.46% | 97.47% | 91.63% | 0.89 | 0.72 | 91.38% | 2 | 59.12% | 6 | 47.43% | 13.48% | 8.85% | 4 | 81.69% | 79.92% | 86.09% | 95.06% | 77.92% | 93.43% | 94.38% |
| 44 | 0.56 | 1.00 | 84.59% | 89.29% | 94.70% | 0.89 | 0.57 | 95.45% | 25 | 69.28% | 3 | 30.88% | 9.45% | 11.18% | 5 | 91.49% | 77.30% | 77.32% | 97.37% | 86.44% | 76.12% | 93.35% |
| 45 | 0.47 | 0.93 | 85.01% | 86.14% | 91.03% | 0.6 | 0.56 | 97.16% | 26 | 72.94% | 4 | 53.94% | 11.20% | 9.93% | 2 | 82.25% | 83.10% | 83.84% | 87.93% | 81.15% | 90.44% | 76.20% |
| 46 | 0.53 | 1.00 | 85.39% | 91.76% | 97.93% | 0.65 | 0.6 | 93.53% | 51 | 56.32% | 6 | 58.96% | 11.51% | 8.31% | 4 | 80.90% | 80.11% | 95.82% | 92.69% | 78.33% | 96.10% | 76.20% |
| 47 | 0.60 | 0.93 | 85.77% | 87.32% | 92.90% | 0.87 | 0.61 | 90.55% | 22 | 69.47% | 6 | 30.48% | 10.95% | 9.06% | 3 | 97.11% | 96.73% | 85.55% | 84.13% | 76.38% | 84.45% | 92.96% |
| 48 | 0.57 | 0.97 | 88.98% | 91.60% | 90.23% | 0.63 | 0.65 | 90.21% | 43 | 74.61% | 6 | 42.46% | 10.36% | 11.24% | 4 | 83.59% | 83.16% | 95.06% | 78.44% | 85.56% | 96.03% | 96.21% |
| 49 | 0.66 | 0.93 | 95.90% | 96.56% | 90.80% | 0.63 | 0.83 | 91.52% | 56 | 68.53% | 5 | 44.97% | 12.24% | 8.75% | 4 | 97.22% | 75.97% | 81.06% | 78.24% | 93.36% | 76.77% | 84.59% |
| 50 | 0.64 | 0.97 | 92.45% | 87.93% | 91.87% | 0.86 | 0.6 | 98.63% | 44 | 56.07% | 3 | 42.01% | 9.11% | 8.55% | 3 | 78.84% | 82.56% | 92.89% | 92.36% | 89.85% | 90.40% | 81.02% |
| A1 | A2 | A3 | B1 | B2 | B3 | B4 | B5 | C1 | C2 | C3 | D1 | D2 | D3 | D4 | E1 | E2 | E3 | E4 | E5 | E6 | E7 | |
|---|---|---|---|---|---|---|---|---|---|---|---|---|---|---|---|---|---|---|---|---|---|---|
| 1 | 0.58 | 0.93 | 94.04% | 95.07% | 90.26% | 0.75 | 0.69 | 94.20% | 49 | 51.37% | 5 | 51.54% | 9.30% | 13.24% | 4 | 97.97% | 86.90% | 92.91% | 79.98% | 84.57% | 85.99% | 94.79% |
| 2 | 0.55 | 1.00 | 86.60% | 88.69% | 96.20% | 0.66 | 0.63 | 95.43% | 20 | 63.59% | 5 | 42.58% | 10.67% | 10.36% | 2 | 76.91% | 88.86% | 88.91% | 97.66% | 84.07% | 94.10% | 94.52% |
| 3 | 0.62 | 0.93 | 91.34% | 93.93% | 94.01% | 0.6 | 0.75 | 96.19% | 4 | 64.75% | 4 | 34.81% | 11.64% | 8.08% | 4 | 95.68% | 86.30% | 88.65% | 77.98% | 84.16% | 96.63% | 89.21% |
| 4 | 0.61 | 0.97 | 91.72% | 92.08% | 98.58% | 0.86 | 0.6 | 98.81% | 46 | 68.60% | 3 | 30.88% | 11.11% | 9.96% | 5 | 97.40% | 77.75% | 95.47% | 97.85% | 79.10% | 87.63% | 84.78% |
| 5 | 0.46 | 1.00 | 89.50% | 98.83% | 95.36% | 0.71 | 0.78 | 90.73% | 38 | 66.58% | 4 | 51.06% | 9.90% | 9.26% | 3 | 79.46% | 93.99% | 79.85% | 83.31% | 80.45% | 77.70% | 96.67% |
| 6 | 0.46 | 0.97 | 92.06% | 97.25% | 93.80% | 0.81 | 0.66 | 90.54% | 11 | 61.33% | 4 | 40.27% | 9.65% | 14.01% | 4 | 75.28% | 80.46% | 95.43% | 97.09% | 79.96% | 78.49% | 87.74% |
| 7 | 0.62 | 0.93 | 95.94% | 90.75% | 96.65% | 0.9 | 0.71 | 91.32% | 30 | 53.32% | 6 | 53.23% | 12.39% | 9.81% | 4 | 89.31% | 76.37% | 81.25% | 89.06% | 79.19% | 79.84% | 94.89% |
| 8 | 0.46 | 0.97 | 85.60% | 94.59% | 99.44% | 0.71 | 0.72 | 94.55% | 4 | 58.54% | 6 | 39.06% | 9.71% | 14.00% | 2 | 92.04% | 80.96% | 85.16% | 79.46% | 96.89% | 80.28% | 89.40% |
| 9 | 0.52 | 0.93 | 90.31% | 86.84% | 99.33% | 0.64 | 0.67 | 91.04% | 37 | 57.42% | 4 | 32.94% | 13.80% | 9.39% | 3 | 84.23% | 96.07% | 90.02% | 76.91% | 89.51% | 92.67% | 90.42% |
| 10 | 0.66 | 0.93 | 87.86% | 88.16% | 95.14% | 0.89 | 0.61 | 95.96% | 37 | 57.73% | 3 | 44.85% | 9.98% | 12.46% | 2 | 91.67% | 76.84% | 87.00% | 83.92% | 88.61% | 78.15% | 86.74% |
| 11 | 0.69 | 0.93 | 91.09% | 97.10% | 96.94% | 0.86 | 0.84 | 93.46% | 52 | 72.64% | 5 | 31.20% | 9.40% | 12.21% | 5 | 93.11% | 78.89% | 79.09% | 84.74% | 79.52% | 88.45% | 76.31% |
| 12 | 0.68 | 1.00 | 86.60% | 89.73% | 94.91% | 0.56 | 0.7 | 96.05% | 60 | 53.44% | 3 | 58.88% | 9.51% | 14.19% | 5 | 81.56% | 83.72% | 82.62% | 79.04% | 82.94% | 81.63% | 78.81% |
| 13 | 0.47 | 0.97 | 82.66% | 93.82% | 95.81% | 0.51 | 0.56 | 91.17% | 11 | 66.30% | 5 | 33.59% | 12.64% | 11.82% | 3 | 92.28% | 84.01% | 96.27% | 85.73% | 84.31% | 89.17% | 79.99% |
| 14 | 0.53 | 0.93 | 90.12% | 98.87% | 91.55% | 0.51 | 0.6 | 93.27% | 41 | 69.34% | 3 | 39.58% | 9.56% | 13.34% | 4 | 97.79% | 78.88% | 76.12% | 81.18% | 80.80% | 94.30% | 82.27% |
| 15 | 0.49 | 1.00 | 80.62% | 95.84% | 97.76% | 0.71 | 0.63 | 92.46% | 27 | 58.47% | 4 | 43.88% | 12.38% | 9.69% | 4 | 91.54% | 76.82% | 93.72% | 95.94% | 77.55% | 85.36% | 76.72% |
| 16 | 0.52 | 0.97 | 82.78% | 97.58% | 99.38% | 0.86 | 0.56 | 94.28% | 29 | 58.07% | 4 | 32.98% | 11.12% | 8.98% | 3 | 77.20% | 88.61% | 80.62% | 82.72% | 78.40% | 96.06% | 91.34% |
| 17 | 0.51 | 1.00 | 83.50% | 87.50% | 91.42% | 0.53 | 0.78 | 92.05% | 32 | 62.12% | 5 | 51.82% | 13.97% | 11.28% | 3 | 85.33% | 81.13% | 89.13% | 88.49% | 89.89% | 92.38% | 91.40% |
| 18 | 0.69 | 0.93 | 81.68% | 87.90% | 96.27% | 0.86 | 0.88 | 95.42% | 31 | 53.01% | 6 | 55.55% | 9.11% | 13.40% | 3 | 81.13% | 94.00% | 88.39% | 92.34% | 77.71% | 84.55% | 85.77% |
| 19 | 0.72 | 1.00 | 93.10% | 89.87% | 99.08% | 0.74 | 0.7 | 98.75% | 28 | 50.32% | 4 | 50.84% | 10.46% | 13.19% | 4 | 90.04% | 80.32% | 97.15% | 92.22% | 77.33% | 97.21% | 77.32% |
| 20 | 0.53 | 0.97 | 91.85% | 98.50% | 94.62% | 0.78 | 0.87 | 95.95% | 49 | 57.36% | 5 | 50.73% | 10.93% | 11.45% | 5 | 80.56% | 88.71% | 75.82% | 94.40% | 79.32% | 77.01% | 92.14% |
| 21 | 0.69 | 0.93 | 92.43% | 97.59% | 94.24% | 0.67 | 0.73 | 97.90% | 14 | 68.73% | 4 | 58.81% | 12.53% | 9.25% | 4 | 87.50% | 96.19% | 78.81% | 76.97% | 90.14% | 94.57% | 77.33% |
| 22 | 0.61 | 0.97 | 84.19% | 93.81% | 90.80% | 0.81 | 0.89 | 94.74% | 28 | 53.08% | 4 | 53.08% | 9.73% | 14.97% | 3 | 76.67% | 92.02% | 80.00% | 80.49% | 78.49% | 93.14% | 82.08% |
| 23 | 0.63 | 0.97 | 82.76% | 95.06% | 91.45% | 0.82 | 0.87 | 91.87% | 34 | 61.78% | 4 | 54.55% | 13.82% | 10.11% | 4 | 87.93% | 88.23% | 95.78% | 92.13% | 83.91% | 89.42% | 84.34% |
| 24 | 0.64 | 1.00 | 81.86% | 95.00% | 92.92% | 0.54 | 0.71 | 94.04% | 56 | 71.99% | 5 | 49.83% | 10.57% | 12.28% | 3 | 96.24% | 90.31% | 90.66% | 91.65% | 78.26% | 90.60% | 82.12% |
| 25 | 0.51 | 0.97 | 95.03% | 95.58% | 92.47% | 0.65 | 0.77 | 94.15% | 33 | 68.43% | 5 | 38.70% | 9.92% | 8.22% | 3 | 93.54% | 85.25% | 78.08% | 85.02% | 95.95% | 96.44% | 84.96% |
| 26 | 0.71 | 0.97 | 94.42% | 87.78% | 99.24% | 0.79 | 0.65 | 93.75% | 37 | 73.88% | 4 | 50.30% | 10.14% | 8.62% | 3 | 95.46% | 89.11% | 85.14% | 90.44% | 83.13% | 93.74% | 92.50% |
| 27 | 0.71 | 0.93 | 86.05% | 97.74% | 94.43% | 0.81 | 0.83 | 98.97% | 8 | 62.62% | 4 | 56.19% | 13.88% | 8.36% | 4 | 87.61% | 84.18% | 94.48% | 89.74% | 87.81% | 94.82% | 83.16% |
| 28 | 0.51 | 1.00 | 93.62% | 90.85% | 94.01% | 0.83 | 0.8 | 96.43% | 58 | 54.56% | 4 | 34.73% | 12.93% | 12.18% | 3 | 83.75% | 78.26% | 84.88% | 97.13% | 89.09% | 79.68% | 80.03% |
| 29 | 0.70 | 1.00 | 88.35% | 93.19% | 90.36% | 0.6 | 0.73 | 96.00% | 25 | 53.41% | 3 | 41.62% | 9.92% | 13.40% | 4 | 95.54% | 79.52% | 92.96% | 87.72% | 80.33% | 93.04% | 82.64% |
| 30 | 0.56 | 0.93 | 88.81% | 97.76% | 99.42% | 0.81 | 0.55 | 92.06% | 43 | 59.86% | 5 | 32.10% | 10.00% | 8.56% | 4 | 82.75% | 86.56% | 82.19% | 75.26% | 86.32% | 83.79% | 79.99% |
| 31 | 0.52 | 1.00 | 91.21% | 87.54% | 97.39% | 0.52 | 0.64 | 94.49% | 56 | 59.76% | 3 | 41.09% | 13.13% | 13.12% | 4 | 76.64% | 79.51% | 90.04% | 97.07% | 83.78% | 92.25% | 94.05% |
| 32 | 0.72 | 0.93 | 80.87% | 98.55% | 93.61% | 0.67 | 0.82 | 92.75% | 26 | 61.37% | 4 | 44.13% | 11.05% | 12.73% | 4 | 78.31% | 77.02% | 78.67% | 82.27% | 94.88% | 87.50% | 85.58% |
| 33 | 0.65 | 0.97 | 92.27% | 92.83% | 99.12% | 0.65 | 0.58 | 97.28% | 31 | 56.01% | 5 | 45.51% | 12.69% | 12.99% | 4 | 84.65% | 76.65% | 96.74% | 79.41% | 80.48% | 76.73% | 84.16% |
| 34 | 0.56 | 1.00 | 93.92% | 95.84% | 97.59% | 0.59 | 0.86 | 98.05% | 23 | 72.25% | 6 | 37.11% | 11.90% | 12.89% | 4 | 79.00% | 94.42% | 84.28% | 78.36% | 81.48% | 84.58% | 80.06% |
| 35 | 0.47 | 0.93 | 91.92% | 97.08% | 99.56% | 0.61 | 0.8 | 97.22% | 53 | 58.98% | 5 | 50.67% | 12.22% | 11.77% | 2 | 97.93% | 85.10% | 96.88% | 94.28% | 80.66% | 91.87% | 85.75% |
| 36 | 0.64 | 0.93 | 91.71% | 88.76% | 90.42% | 0.81 | 0.56 | 90.01% | 3 | 63.12% | 6 | 53.59% | 11.24% | 10.02% | 4 | 83.55% | 79.87% | 87.77% | 78.39% | 83.83% | 77.03% | 89.46% |
| 37 | 0.60 | 0.93 | 80.06% | 97.14% | 99.26% | 0.88 | 0.78 | 94.25% | 40 | 66.14% | 4 | 44.40% | 10.79% | 11.54% | 3 | 96.63% | 97.94% | 93.64% | 95.91% | 75.50% | 75.85% | 90.76% |
| 38 | 0.62 | 1.00 | 95.01% | 91.64% | 95.22% | 0.66 | 0.81 | 93.75% | 11 | 56.14% | 5 | 39.74% | 9.35% | 10.49% | 4 | 75.00% | 79.41% | 90.90% | 93.11% | 80.96% | 78.98% | 88.94% |
| 39 | 0.47 | 1.00 | 85.53% | 87.25% | 93.37% | 0.52 | 0.69 | 94.09% | 30 | 55.88% | 3 | 37.50% | 10.16% | 14.51% | 4 | 93.41% | 87.59% | 78.47% | 84.19% | 93.42% | 84.39% | 79.97% |
| 40 | 0.61 | 0.93 | 83.92% | 93.01% | 96.51% | 0.74 | 0.64 | 91.34% | 48 | 53.43% | 6 | 58.16% | 12.44% | 13.09% | 4 | 93.61% | 85.08% | 75.04% | 75.07% | 77.56% | 96.20% | 79.45% |
| 41 | 0.69 | 0.97 | 90.26% | 90.28% | 91.02% | 0.6 | 0.83 | 97.08% | 45 | 66.68% | 5 | 39.46% | 10.96% | 10.67% | 3 | 90.49% | 81.19% | 93.69% | 83.18% | 91.85% | 81.44% | 87.46% |
| 42 | 0.53 | 1.00 | 84.90% | 90.52% | 98.43% | 0.9 | 0.65 | 90.30% | 39 | 50.01% | 6 | 31.78% | 13.15% | 10.80% | 3 | 80.06% | 89.17% | 91.71% | 77.18% | 76.16% | 88.15% | 86.15% |
| 43 | 0.51 | 0.93 | 87.82% | 93.72% | 91.85% | 0.65 | 0.81 | 95.28% | 25 | 64.96% | 6 | 48.37% | 13.04% | 11.56% | 3 | 92.29% | 76.65% | 94.86% | 92.34% | 75.96% | 79.95% | 78.71% |
| 44 | 0.65 | 0.97 | 80.32% | 94.68% | 93.31% | 0.82 | 0.9 | 95.32% | 46 | 57.37% | 5 | 51.20% | 11.51% | 12.73% | 4 | 93.17% | 85.39% | 82.61% | 75.19% | 91.45% | 76.20% | 87.75% |
| 45 | 0.60 | 1.00 | 81.30% | 96.86% | 97.85% | 0.71 | 0.83 | 92.66% | 57 | 53.73% | 4 | 55.35% | 9.81% | 8.50% | 4 | 84.99% | 84.88% | 82.77% | 89.07% | 92.93% | 85.13% | 78.81% |
| 46 | 0.68 | 0.93 | 94.96% | 89.73% | 97.78% | 0.72 | 0.59 | 97.97% | 55 | 65.43% | 5 | 59.39% | 13.00% | 9.56% | 4 | 77.97% | 91.53% | 87.62% | 92.50% | 87.62% | 75.52% | 85.37% |
| 47 | 0.60 | 0.93 | 82.51% | 95.27% | 98.97% | 0.85 | 0.65 | 93.28% | 31 | 68.76% | 5 | 58.07% | 12.58% | 9.82% | 3 | 84.69% | 97.72% | 96.88% | 75.80% | 95.44% | 92.63% | 96.41% |
| 48 | 0.66 | 0.97 | 83.79% | 90.00% | 93.16% | 0.59 | 0.63 | 95.94% | 10 | 54.83% | 3 | 45.53% | 10.84% | 9.06% | 3 | 93.27% | 78.68% | 83.51% | 92.88% | 92.50% | 89.48% | 96.05% |
| 49 | 0.53 | 1.00 | 81.76% | 90.93% | 93.47% | 0.82 | 0.84 | 91.47% | 45 | 69.11% | 4 | 42.43% | 13.16% | 8.19% | 2 | 89.05% | 84.46% | 76.89% | 94.06% | 77.44% | 85.38% | 79.02% |
| 50 | 0.51 | 0.93 | 92.16% | 90.34% | 98.82% | 0.7 | 0.7 | 95.73% | 25 | 69.46% | 6 | 54.60% | 13.48% | 12.38% | 2 | 94.59% | 87.67% | 87.46% | 96.93% | 79.37% | 96.35% | 92.43% |
| A1 | A2 | A3 | B1 | B2 | B3 | B4 | B5 | C1 | C2 | C3 | D1 | D2 | D3 | D4 | E1 | E2 | E3 | E4 | E5 | E6 | E7 | |
|---|---|---|---|---|---|---|---|---|---|---|---|---|---|---|---|---|---|---|---|---|---|---|
| 1 | 0.62 | 0.93 | 93.58% | 97.06% | 95.87% | 0.9 | 0.57 | 94.66% | 7 | 60.37% | 5 | 56.05% | 12.90% | 9.12% | 2 | 96.85% | 91.55% | 97.61% | 87.25% | 92.28% | 94.75% | 97.62% |
| 2 | 0.70 | 0.97 | 85.32% | 97.75% | 94.67% | 0.72 | 0.59 | 90.74% | 36 | 62.21% | 4 | 32.38% | 12.86% | 11.18% | 2 | 75.72% | 78.34% | 97.73% | 91.17% | 77.90% | 83.93% | 87.51% |
| 3 | 0.60 | 0.93 | 89.70% | 87.54% | 91.72% | 0.77 | 0.6 | 93.24% | 35 | 54.54% | 3 | 53.99% | 11.60% | 13.95% | 3 | 94.16% | 86.47% | 75.77% | 91.05% | 77.74% | 89.47% | 93.27% |
| 4 | 0.51 | 1.00 | 89.17% | 87.48% | 94.30% | 0.86 | 0.87 | 94.11% | 45 | 62.40% | 4 | 51.50% | 10.57% | 12.20% | 5 | 91.77% | 85.16% | 83.80% | 79.43% | 91.92% | 80.05% | 91.60% |
| 5 | 0.50 | 0.97 | 86.19% | 97.51% | 93.72% | 0.75 | 0.69 | 90.13% | 37 | 55.43% | 4 | 49.99% | 9.86% | 11.71% | 5 | 97.00% | 88.48% | 84.21% | 83.31% | 97.34% | 89.00% | 91.15% |
| 6 | 0.53 | 0.97 | 89.98% | 98.90% | 96.63% | 0.61 | 0.89 | 91.86% | 13 | 66.32% | 5 | 54.00% | 13.49% | 11.64% | 4 | 94.60% | 94.21% | 94.22% | 93.88% | 75.75% | 92.63% | 95.04% |
| 7 | 0.65 | 0.93 | 83.95% | 96.82% | 96.30% | 0.78 | 0.81 | 98.70% | 24 | 54.57% | 6 | 39.90% | 12.25% | 12.68% | 5 | 80.70% | 87.73% | 96.97% | 95.03% | 97.33% | 85.70% | 92.20% |
| 8 | 0.63 | 0.93 | 83.41% | 90.28% | 92.15% | 0.72 | 0.7 | 94.35% | 3 | 66.05% | 6 | 46.80% | 13.43% | 13.65% | 4 | 78.67% | 77.51% | 86.51% | 95.79% | 92.04% | 91.19% | 86.16% |
| 9 | 0.52 | 0.93 | 89.35% | 92.61% | 97.84% | 0.5 | 0.62 | 95.96% | 9 | 67.69% | 5 | 59.45% | 10.76% | 14.38% | 2 | 92.41% | 77.06% | 79.29% | 78.20% | 94.18% | 82.39% | 93.16% |
| 10 | 0.60 | 0.93 | 82.12% | 94.43% | 90.39% | 0.75 | 0.7 | 91.58% | 37 | 67.15% | 4 | 50.04% | 11.95% | 13.47% | 4 | 82.04% | 76.15% | 94.09% | 88.29% | 83.61% | 96.36% | 97.95% |
| 11 | 0.54 | 0.93 | 94.84% | 94.33% | 95.44% | 0.62 | 0.75 | 91.98% | 49 | 72.28% | 4 | 49.43% | 13.32% | 10.40% | 3 | 95.71% | 80.19% | 76.26% | 89.17% | 86.73% | 93.19% | 84.22% |
| 12 | 0.61 | 1.00 | 90.22% | 98.86% | 90.62% | 0.66 | 0.79 | 97.87% | 6 | 65.53% | 4 | 44.74% | 10.42% | 11.35% | 4 | 81.57% | 90.07% | 90.95% | 82.64% | 86.84% | 84.20% | 91.55% |
| 13 | 0.51 | 0.93 | 88.15% | 92.14% | 95.06% | 0.51 | 0.78 | 95.51% | 48 | 64.86% | 4 | 53.07% | 10.29% | 13.94% | 4 | 75.56% | 91.78% | 90.55% | 90.75% | 76.53% | 95.41% | 88.59% |
| 14 | 0.54 | 0.93 | 92.75% | 86.94% | 98.01% | 0.9 | 0.55 | 96.31% | 22 | 71.85% | 3 | 58.02% | 11.19% | 11.30% | 4 | 92.47% | 87.50% | 86.57% | 94.91% | 92.75% | 86.50% | 87.19% |
| 15 | 0.71 | 0.93 | 95.48% | 87.63% | 90.26% | 0.83 | 0.79 | 95.88% | 14 | 55.04% | 5 | 49.74% | 10.64% | 12.32% | 5 | 95.42% | 88.74% | 86.34% | 81.71% | 76.33% | 86.89% | 95.37% |
| 16 | 0.59 | 0.93 | 93.24% | 95.78% | 92.73% | 0.68 | 0.73 | 95.69% | 48 | 54.33% | 4 | 58.10% | 13.97% | 8.18% | 3 | 92.67% | 94.07% | 94.95% | 78.46% | 95.53% | 76.76% | 84.00% |
| 17 | 0.50 | 0.97 | 91.43% | 91.17% | 91.73% | 0.58 | 0.83 | 95.77% | 10 | 73.16% | 5 | 33.02% | 11.12% | 11.17% | 3 | 92.03% | 90.87% | 92.11% | 94.26% | 79.60% | 77.99% | 82.33% |
| 18 | 0.69 | 0.93 | 88.13% | 96.05% | 95.19% | 0.83 | 0.77 | 91.55% | 37 | 57.36% | 4 | 42.88% | 9.79% | 14.94% | 3 | 97.83% | 94.63% | 92.11% | 75.87% | 84.10% | 90.94% | 88.48% |
| 19 | 0.52 | 0.93 | 84.04% | 95.95% | 90.02% | 0.63 | 0.88 | 98.16% | 26 | 51.30% | 4 | 33.98% | 11.28% | 12.02% | 2 | 76.80% | 85.53% | 85.49% | 94.45% | 87.78% | 75.54% | 81.53% |
| 20 | 0.51 | 0.97 | 80.31% | 95.21% | 92.23% | 0.57 | 0.88 | 98.17% | 38 | 57.52% | 5 | 39.25% | 13.83% | 13.42% | 3 | 93.19% | 86.18% | 89.22% | 85.47% | 94.72% | 80.69% | 95.65% |
| 21 | 0.47 | 0.93 | 94.86% | 96.56% | 98.60% | 0.57 | 0.69 | 93.15% | 4 | 69.25% | 4 | 40.87% | 10.21% | 10.60% | 4 | 80.41% | 85.90% | 77.48% | 96.83% | 93.13% | 77.00% | 77.26% |
| 22 | 0.50 | 0.93 | 93.74% | 93.94% | 91.41% | 0.82 | 0.58 | 98.56% | 41 | 68.17% | 5 | 57.85% | 13.29% | 13.12% | 3 | 91.10% | 93.91% | 81.37% | 79.95% | 95.01% | 90.52% | 79.01% |
| 23 | 0.72 | 0.93 | 82.35% | 91.16% | 93.00% | 0.57 | 0.76 | 92.39% | 41 | 60.93% | 3 | 53.83% | 10.59% | 9.36% | 2 | 95.76% | 80.06% | 88.94% | 79.36% | 88.12% | 85.56% | 82.84% |
| 24 | 0.67 | 0.93 | 80.52% | 87.99% | 90.02% | 0.58 | 0.84 | 98.09% | 7 | 55.00% | 5 | 34.39% | 10.17% | 11.08% | 4 | 86.33% | 83.82% | 89.78% | 90.09% | 86.07% | 79.19% | 96.09% |
| 25 | 0.64 | 0.93 | 95.78% | 94.09% | 96.31% | 0.89 | 0.81 | 95.14% | 10 | 67.09% | 5 | 40.03% | 11.50% | 13.92% | 5 | 84.67% | 89.15% | 89.14% | 83.28% | 97.39% | 90.98% | 86.19% |
| 26 | 0.46 | 0.93 | 92.24% | 89.68% | 94.71% | 0.55 | 0.84 | 97.43% | 33 | 66.41% | 5 | 59.65% | 11.32% | 10.58% | 4 | 76.09% | 84.09% | 86.90% | 83.98% | 93.88% | 81.53% | 91.78% |
| 27 | 0.48 | 0.93 | 92.24% | 94.48% | 93.10% | 0.76 | 0.73 | 91.27% | 48 | 62.21% | 5 | 52.66% | 12.81% | 9.69% | 4 | 96.41% | 91.75% | 88.36% | 82.65% | 77.70% | 78.47% | 87.80% |
| 28 | 0.69 | 1.00 | 91.88% | 85.64% | 90.18% | 0.62 | 0.66 | 90.85% | 44 | 67.67% | 5 | 36.03% | 10.74% | 11.03% | 4 | 88.00% | 90.20% | 76.47% | 91.95% | 93.95% | 96.66% | 83.11% |
| 29 | 0.54 | 0.93 | 95.22% | 96.21% | 98.22% | 0.54 | 0.8 | 90.08% | 18 | 55.50% | 4 | 48.66% | 13.72% | 14.33% | 3 | 85.48% | 92.94% | 96.24% | 97.86% | 84.20% | 82.00% | 80.21% |
| 30 | 0.65 | 0.97 | 82.50% | 97.20% | 95.27% | 0.79 | 0.81 | 93.48% | 44 | 55.94% | 6 | 56.48% | 13.39% | 14.81% | 3 | 85.77% | 91.24% | 88.89% | 81.99% | 79.48% | 81.78% | 95.98% |
| 31 | 0.69 | 1.00 | 91.73% | 87.24% | 99.59% | 0.77 | 0.88 | 91.83% | 1 | 66.77% | 6 | 59.20% | 12.07% | 10.80% | 2 | 76.80% | 96.35% | 91.93% | 96.33% | 82.00% | 86.02% | 91.83% |
| 32 | 0.69 | 1.00 | 93.66% | 94.17% | 91.07% | 0.8 | 0.62 | 91.54% | 57 | 68.35% | 5 | 58.48% | 12.68% | 11.40% | 4 | 84.03% | 90.03% | 87.69% | 82.43% | 88.49% | 80.93% | 76.48% |
| 33 | 0.58 | 0.97 | 88.05% | 89.25% | 96.61% | 0.73 | 0.55 | 90.14% | 45 | 53.03% | 3 | 32.21% | 12.73% | 13.21% | 4 | 95.77% | 85.69% | 92.54% | 91.15% | 83.38% | 82.29% | 78.87% |
| 34 | 0.68 | 0.93 | 86.76% | 85.79% | 94.14% | 0.5 | 0.88 | 97.00% | 45 | 56.53% | 6 | 49.87% | 10.02% | 9.07% | 3 | 84.53% | 97.74% | 81.75% | 83.96% | 76.79% | 85.14% | 87.23% |
| 35 | 0.53 | 1.00 | 84.88% | 88.78% | 92.65% | 0.79 | 0.6 | 92.02% | 16 | 53.71% | 5 | 33.20% | 9.58% | 11.50% | 3 | 94.80% | 97.05% | 78.29% | 94.14% | 80.76% | 96.72% | 78.32% |
| 36 | 0.71 | 1.00 | 91.56% | 87.26% | 96.92% | 0.67 | 0.62 | 91.14% | 9 | 73.63% | 4 | 52.06% | 9.33% | 12.75% | 5 | 92.41% | 84.46% | 85.08% | 92.59% | 82.60% | 80.53% | 93.66% |
| 37 | 0.72 | 0.93 | 85.23% | 95.42% | 93.20% | 0.9 | 0.84 | 96.84% | 26 | 70.20% | 4 | 52.66% | 13.57% | 13.26% | 2 | 95.52% | 76.00% | 76.81% | 88.30% | 83.00% | 89.10% | 89.14% |
| 38 | 0.47 | 1.00 | 88.30% | 98.43% | 96.07% | 0.56 | 0.59 | 98.28% | 6 | 70.56% | 5 | 48.44% | 11.31% | 12.40% | 5 | 90.20% | 97.92% | 81.01% | 96.38% | 87.81% | 84.99% | 77.97% |
| 39 | 0.53 | 0.97 | 82.08% | 95.98% | 92.77% | 0.86 | 0.61 | 93.38% | 50 | 53.60% | 4 | 57.53% | 11.82% | 13.34% | 5 | 84.54% | 91.93% | 79.16% | 88.10% | 86.15% | 88.79% | 87.78% |
| 40 | 0.49 | 0.97 | 93.33% | 89.61% | 98.24% | 0.78 | 0.56 | 98.34% | 15 | 74.53% | 6 | 46.76% | 12.92% | 10.73% | 3 | 88.46% | 88.23% | 84.17% | 78.14% | 82.01% | 76.87% | 85.87% |
| 41 | 0.50 | 0.97 | 81.51% | 95.29% | 99.35% | 0.64 | 0.85 | 94.79% | 53 | 60.13% | 4 | 40.19% | 9.69% | 13.46% | 4 | 93.32% | 92.85% | 82.61% | 97.65% | 80.80% | 97.59% | 85.13% |
| 42 | 0.63 | 0.93 | 92.66% | 94.34% | 90.57% | 0.88 | 0.67 | 91.40% | 10 | 73.47% | 3 | 53.99% | 10.94% | 13.01% | 3 | 77.36% | 89.73% | 76.56% | 85.87% | 97.94% | 79.36% | 85.17% |
| 43 | 0.56 | 0.93 | 88.08% | 93.75% | 96.72% | 0.78 | 0.77 | 92.78% | 17 | 50.15% | 4 | 37.66% | 9.11% | 12.11% | 3 | 75.32% | 89.18% | 90.82% | 92.69% | 87.72% | 94.81% | 97.57% |
| 44 | 0.51 | 0.93 | 81.53% | 87.65% | 97.02% | 0.87 | 0.8 | 97.97% | 12 | 56.81% | 6 | 51.67% | 10.23% | 14.28% | 4 | 90.75% | 93.49% | 78.14% | 97.84% | 90.87% | 93.01% | 96.41% |
| 45 | 0.71 | 0.97 | 90.25% | 97.53% | 95.14% | 0.85 | 0.82 | 94.33% | 10 | 68.76% | 4 | 39.49% | 13.64% | 14.43% | 4 | 88.00% | 93.61% | 76.43% | 93.06% | 89.33% | 89.44% | 82.38% |
| 46 | 0.64 | 0.97 | 81.93% | 86.55% | 96.73% | 0.72 | 0.61 | 97.08% | 38 | 73.50% | 5 | 38.44% | 12.06% | 8.47% | 4 | 82.68% | 84.09% | 80.92% | 84.74% | 76.63% | 94.89% | 78.72% |
| 47 | 0.58 | 0.97 | 82.48% | 93.23% | 93.59% | 0.81 | 0.64 | 95.45% | 20 | 51.52% | 5 | 35.77% | 13.35% | 8.92% | 2 | 92.26% | 89.54% | 91.87% | 92.63% | 86.33% | 82.54% | 78.29% |
| 48 | 0.51 | 0.97 | 87.90% | 85.06% | 99.11% | 0.55 | 0.88 | 96.58% | 47 | 59.96% | 5 | 48.32% | 11.47% | 11.57% | 4 | 92.59% | 86.49% | 76.60% | 75.66% | 80.02% | 77.56% | 90.92% |
| 49 | 0.49 | 0.93 | 82.00% | 88.76% | 98.42% | 0.89 | 0.78 | 92.53% | 45 | 73.26% | 5 | 48.71% | 13.23% | 14.76% | 3 | 92.84% | 93.27% | 80.02% | 76.07% | 90.36% | 92.86% | 93.24% |
| 50 | 0.47 | 1.00 | 85.80% | 92.62% | 97.03% | 0.85 | 0.58 | 95.97% | 51 | 71.04% | 6 | 41.88% | 11.19% | 12.66% | 3 | 84.29% | 80.02% | 76.01% | 84.58% | 82.68% | 75.36% | 93.33% |
| A1 | A2 | A3 | B1 | B2 | B3 | B4 | B5 | C1 | C2 | C3 | D1 | D2 | D3 | D4 | E1 | E2 | E3 | E4 | E5 | E6 | E7 | |
|---|---|---|---|---|---|---|---|---|---|---|---|---|---|---|---|---|---|---|---|---|---|---|
| 1 | 0.46 | 0.97 | 81.78% | 88.43% | 91.49% | 0.64 | 0.57 | 95.41% | 50 | 55.23% | 4 | 31.56% | 9.81% | 11.09% | 2 | 91.14% | 82.82% | 80.37% | 77.68% | 97.76% | 78.46% | 76.22% |
| 2 | 0.50 | 1.00 | 81.70% | 88.59% | 94.64% | 0.69 | 0.82 | 93.26% | 55 | 73.26% | 3 | 33.12% | 11.91% | 9.72% | 4 | 97.91% | 75.38% | 87.12% | 87.76% | 76.60% | 97.45% | 81.61% |
| 3 | 0.58 | 0.93 | 87.01% | 87.45% | 93.45% | 0.77 | 0.81 | 96.49% | 13 | 52.88% | 5 | 33.95% | 9.02% | 12.25% | 3 | 82.13% | 92.78% | 76.51% | 92.87% | 77.48% | 97.37% | 77.71% |
| 4 | 0.51 | 1.00 | 91.41% | 85.36% | 93.75% | 0.53 | 0.62 | 93.97% | 46 | 69.80% | 4 | 36.33% | 9.90% | 8.64% | 4 | 90.27% | 95.40% | 96.87% | 75.20% | 84.66% | 95.70% | 82.39% |
| 5 | 0.66 | 0.93 | 92.95% | 92.72% | 96.11% | 0.8 | 0.64 | 97.70% | 41 | 59.25% | 5 | 38.99% | 13.30% | 10.43% | 3 | 94.40% | 90.71% | 80.52% | 91.70% | 76.78% | 81.47% | 90.93% |
| 6 | 0.51 | 1.00 | 82.53% | 98.77% | 96.88% | 0.61 | 0.82 | 97.82% | 25 | 74.34% | 6 | 47.85% | 12.63% | 9.69% | 3 | 77.52% | 82.38% | 79.72% | 77.34% | 96.50% | 77.74% | 87.50% |
| 7 | 0.72 | 0.97 | 84.23% | 87.11% | 98.49% | 0.89 | 0.61 | 94.26% | 3 | 53.33% | 5 | 52.70% | 9.05% | 8.06% | 3 | 78.57% | 75.38% | 81.77% | 80.73% | 79.97% | 94.83% | 84.38% |
| 8 | 0.68 | 0.93 | 87.23% | 91.52% | 92.43% | 0.73 | 0.7 | 92.34% | 6 | 59.11% | 3 | 50.20% | 10.70% | 14.45% | 2 | 88.27% | 82.31% | 86.98% | 95.18% | 77.56% | 83.00% | 87.04% |
| 9 | 0.48 | 0.93 | 80.98% | 94.27% | 99.98% | 0.73 | 0.65 | 94.99% | 1 | 68.95% | 5 | 57.82% | 13.46% | 12.84% | 3 | 91.73% | 96.39% | 94.07% | 81.04% | 75.42% | 92.41% | 84.54% |
| 10 | 0.59 | 0.93 | 91.98% | 86.05% | 98.99% | 0.65 | 0.73 | 90.78% | 21 | 71.12% | 3 | 41.56% | 9.81% | 9.17% | 4 | 77.99% | 82.76% | 83.33% | 92.08% | 83.63% | 97.34% | 96.09% |
| 11 | 0.68 | 0.97 | 85.60% | 95.32% | 98.15% | 0.57 | 0.87 | 94.87% | 14 | 58.00% | 6 | 50.66% | 10.36% | 9.03% | 3 | 89.79% | 83.14% | 79.18% | 95.34% | 95.48% | 78.84% | 91.65% |
| 12 | 0.54 | 0.93 | 84.31% | 89.50% | 91.46% | 0.89 | 0.77 | 93.95% | 54 | 57.25% | 5 | 34.97% | 13.76% | 9.16% | 3 | 89.15% | 75.20% | 84.09% | 84.80% | 93.88% | 75.38% | 78.38% |
| 13 | 0.52 | 0.97 | 83.23% | 87.97% | 97.28% | 0.82 | 0.84 | 96.16% | 16 | 60.89% | 3 | 43.04% | 10.93% | 12.09% | 3 | 89.42% | 89.98% | 83.21% | 96.45% | 87.32% | 84.49% | 88.80% |
| 14 | 0.65 | 0.93 | 82.77% | 93.92% | 92.85% | 0.86 | 0.77 | 92.31% | 32 | 58.74% | 3 | 45.37% | 11.56% | 10.86% | 4 | 78.54% | 84.45% | 93.41% | 76.87% | 79.60% | 86.79% | 92.13% |
| 15 | 0.58 | 1.00 | 95.16% | 85.33% | 93.14% | 0.73 | 0.68 | 97.15% | 19 | 73.43% | 4 | 40.66% | 12.28% | 14.29% | 4 | 88.78% | 91.90% | 90.20% | 77.38% | 80.82% | 96.17% | 83.30% |
| 16 | 0.50 | 1.00 | 87.36% | 85.50% | 96.74% | 0.71 | 0.67 | 98.21% | 31 | 54.65% | 5 | 45.71% | 13.30% | 8.21% | 3 | 91.56% | 75.96% | 97.56% | 97.97% | 90.89% | 92.72% | 90.97% |
| 17 | 0.51 | 0.93 | 80.25% | 91.04% | 93.40% | 0.6 | 0.81 | 97.17% | 54 | 62.53% | 4 | 36.16% | 9.92% | 14.09% | 3 | 97.58% | 88.03% | 77.20% | 83.64% | 87.63% | 85.78% | 87.02% |
| 18 | 0.70 | 1.00 | 81.63% | 96.72% | 93.66% | 0.88 | 0.66 | 94.65% | 13 | 67.79% | 5 | 40.14% | 10.63% | 12.02% | 4 | 92.31% | 90.73% | 88.44% | 95.54% | 87.43% | 92.01% | 88.08% |
| 19 | 0.60 | 1.00 | 84.33% | 95.49% | 91.94% | 0.64 | 0.84 | 94.60% | 56 | 62.04% | 6 | 32.43% | 11.31% | 9.92% | 2 | 81.48% | 85.68% | 79.83% | 94.26% | 94.08% | 93.96% | 77.67% |
| 20 | 0.67 | 0.97 | 94.55% | 89.75% | 97.23% | 0.77 | 0.74 | 91.10% | 5 | 52.55% | 6 | 32.05% | 11.41% | 9.12% | 3 | 75.38% | 89.21% | 84.36% | 89.86% | 90.95% | 78.30% | 90.18% |
| 21 | 0.63 | 0.97 | 84.61% | 94.38% | 96.45% | 0.82 | 0.69 | 94.64% | 19 | 58.65% | 3 | 43.58% | 12.50% | 12.98% | 3 | 92.70% | 90.95% | 85.50% | 87.22% | 96.13% | 82.44% | 85.21% |
| 22 | 0.56 | 0.97 | 86.80% | 95.19% | 96.12% | 0.79 | 0.86 | 93.88% | 20 | 50.92% | 4 | 42.57% | 12.61% | 11.37% | 3 | 94.86% | 77.73% | 95.07% | 80.47% | 82.53% | 75.44% | 83.75% |
| 23 | 0.62 | 1.00 | 83.15% | 87.35% | 95.31% | 0.75 | 0.63 | 98.12% | 41 | 70.10% | 5 | 54.96% | 11.85% | 8.18% | 5 | 79.61% | 82.06% | 89.01% | 81.10% | 75.10% | 76.20% | 78.61% |
| 24 | 0.50 | 1.00 | 81.86% | 91.96% | 97.03% | 0.54 | 0.65 | 91.86% | 22 | 67.41% | 6 | 51.62% | 9.15% | 14.00% | 4 | 87.75% | 93.99% | 96.13% | 97.10% | 75.98% | 78.60% | 95.31% |
| 25 | 0.59 | 0.93 | 92.63% | 86.47% | 94.17% | 0.6 | 0.74 | 98.72% | 29 | 55.69% | 5 | 50.89% | 12.40% | 9.10% | 4 | 86.56% | 94.90% | 89.24% | 77.09% | 75.23% | 79.83% | 91.07% |
| 26 | 0.64 | 0.97 | 90.51% | 91.30% | 92.14% | 0.54 | 0.65 | 97.05% | 53 | 71.24% | 4 | 44.73% | 10.44% | 8.79% | 4 | 89.99% | 76.52% | 91.50% | 96.28% | 75.38% | 81.93% | 76.53% |
| 27 | 0.72 | 0.93 | 89.38% | 86.14% | 95.95% | 0.9 | 0.89 | 90.00% | 46 | 52.85% | 4 | 32.27% | 10.08% | 11.24% | 4 | 92.94% | 96.46% | 84.91% | 83.55% | 81.10% | 80.75% | 97.94% |
| 28 | 0.49 | 0.93 | 85.80% | 91.77% | 96.93% | 0.86 | 0.87 | 96.27% | 47 | 61.02% | 4 | 41.09% | 13.33% | 13.97% | 4 | 87.41% | 93.11% | 94.94% | 79.11% | 89.97% | 83.06% | 80.57% |
| 29 | 0.51 | 0.97 | 93.51% | 92.14% | 92.39% | 0.75 | 0.65 | 98.54% | 17 | 72.98% | 5 | 42.43% | 12.64% | 12.56% | 4 | 82.26% | 87.59% | 97.63% | 79.41% | 79.10% | 96.61% | 84.59% |
| 30 | 0.58 | 0.93 | 82.83% | 96.40% | 90.21% | 0.59 | 0.83 | 92.58% | 8 | 64.26% | 6 | 54.50% | 9.37% | 11.46% | 3 | 96.93% | 87.85% | 77.42% | 87.41% | 79.05% | 75.07% | 86.84% |
| 31 | 0.63 | 0.93 | 84.38% | 87.22% | 90.75% | 0.82 | 0.57 | 97.32% | 39 | 54.01% | 5 | 54.73% | 9.69% | 12.40% | 3 | 82.76% | 95.93% | 85.65% | 87.49% | 93.83% | 87.87% | 83.59% |
| 32 | 0.46 | 0.93 | 90.25% | 85.11% | 97.92% | 0.82 | 0.58 | 90.24% | 37 | 72.79% | 4 | 44.16% | 9.53% | 8.06% | 4 | 85.42% | 85.37% | 94.64% | 96.73% | 78.74% | 75.96% | 75.23% |
| 33 | 0.54 | 0.93 | 87.71% | 94.68% | 92.81% | 0.54 | 0.72 | 94.43% | 33 | 57.53% | 4 | 40.34% | 13.92% | 9.56% | 3 | 86.16% | 80.41% | 77.22% | 77.73% | 77.67% | 76.36% | 79.52% |
| 34 | 0.65 | 1.00 | 90.05% | 88.71% | 92.62% | 0.87 | 0.74 | 90.97% | 14 | 53.04% | 4 | 50.49% | 10.48% | 8.43% | 4 | 88.15% | 94.39% | 97.16% | 78.06% | 94.47% | 89.21% | 92.03% |
| 35 | 0.66 | 0.97 | 93.62% | 91.04% | 99.58% | 0.7 | 0.6 | 97.94% | 1 | 52.84% | 5 | 35.02% | 12.56% | 11.47% | 3 | 87.11% | 87.04% | 83.69% | 80.81% | 81.63% | 78.62% | 82.14% |
| 36 | 0.60 | 0.93 | 89.03% | 97.75% | 98.52% | 0.5 | 0.68 | 91.07% | 43 | 56.87% | 5 | 47.81% | 11.01% | 11.96% | 3 | 81.72% | 83.91% | 85.39% | 97.58% | 80.68% | 77.90% | 83.43% |
| 37 | 0.59 | 0.93 | 88.84% | 85.46% | 98.87% | 0.78 | 0.78 | 95.48% | 24 | 61.51% | 6 | 55.43% | 12.41% | 8.77% | 2 | 78.93% | 93.69% | 79.49% | 79.95% | 85.15% | 93.60% | 95.17% |
| 38 | 0.52 | 0.93 | 88.23% | 87.33% | 98.41% | 0.53 | 0.78 | 95.70% | 30 | 73.89% | 5 | 45.47% | 11.79% | 14.29% | 4 | 78.82% | 87.67% | 85.23% | 95.13% | 81.84% | 93.41% | 80.86% |
| 39 | 0.52 | 0.93 | 85.03% | 97.00% | 91.99% | 0.84 | 0.59 | 97.09% | 16 | 69.54% | 6 | 55.96% | 12.37% | 12.82% | 5 | 88.25% | 87.19% | 81.34% | 82.98% | 95.62% | 83.78% | 80.10% |
| 40 | 0.63 | 0.93 | 85.51% | 91.16% | 92.55% | 0.79 | 0.79 | 95.96% | 58 | 53.81% | 4 | 51.39% | 11.17% | 11.75% | 4 | 77.66% | 89.43% | 81.17% | 82.78% | 75.30% | 76.69% | 87.97% |
| 41 | 0.50 | 0.97 | 82.60% | 94.55% | 97.18% | 0.58 | 0.78 | 98.80% | 4 | 72.01% | 5 | 59.13% | 13.26% | 9.21% | 2 | 90.92% | 85.51% | 80.21% | 84.27% | 83.28% | 96.34% | 89.53% |
| 42 | 0.57 | 0.93 | 89.57% | 98.80% | 90.68% | 0.85 | 0.85 | 90.92% | 27 | 65.90% | 4 | 33.89% | 13.75% | 9.17% | 4 | 83.82% | 96.44% | 85.63% | 93.78% | 87.99% | 86.85% | 85.12% |
| 43 | 0.51 | 1.00 | 82.57% | 92.05% | 92.50% | 0.82 | 0.78 | 97.61% | 41 | 72.16% | 5 | 36.37% | 11.65% | 8.10% | 4 | 93.69% | 78.32% | 78.66% | 75.91% | 97.76% | 96.01% | 78.69% |
| 44 | 0.72 | 0.93 | 90.81% | 87.90% | 96.18% | 0.7 | 0.81 | 95.49% | 56 | 73.34% | 4 | 43.27% | 11.01% | 9.58% | 4 | 96.99% | 90.99% | 92.99% | 86.60% | 91.47% | 76.71% | 84.31% |
| 45 | 0.54 | 0.93 | 90.87% | 91.02% | 99.59% | 0.53 | 0.61 | 92.34% | 55 | 69.01% | 5 | 35.86% | 13.74% | 14.66% | 5 | 89.86% | 90.54% | 90.92% | 97.36% | 92.99% | 96.14% | 88.19% |
| 46 | 0.54 | 0.93 | 94.16% | 92.90% | 99.02% | 0.63 | 0.86 | 96.08% | 58 | 57.75% | 3 | 38.07% | 9.68% | 14.18% | 2 | 87.09% | 85.67% | 90.74% | 88.85% | 89.33% | 85.20% | 92.19% |
| 47 | 0.62 | 0.93 | 92.06% | 93.34% | 91.85% | 0.64 | 0.57 | 97.47% | 44 | 64.06% | 6 | 36.31% | 9.40% | 14.60% | 3 | 78.39% | 94.00% | 78.98% | 90.07% | 84.36% | 90.67% | 87.39% |
| 48 | 0.63 | 0.97 | 89.67% | 89.73% | 97.96% | 0.8 | 0.88 | 94.53% | 20 | 62.13% | 6 | 31.70% | 13.34% | 9.99% | 2 | 77.35% | 96.11% | 76.13% | 90.18% | 76.78% | 95.07% | 81.88% |
| 49 | 0.61 | 0.97 | 94.32% | 88.94% | 90.86% | 0.52 | 0.7 | 96.30% | 45 | 66.85% | 4 | 55.84% | 10.15% | 10.23% | 4 | 79.55% | 94.78% | 83.09% | 79.63% | 78.53% | 79.85% | 91.52% |
| 50 | 0.69 | 0.97 | 94.11% | 95.35% | 93.04% | 0.57 | 0.56 | 94.61% | 8 | 71.30% | 4 | 49.23% | 9.75% | 13.35% | 3 | 92.13% | 91.76% | 81.90% | 84.75% | 81.66% | 86.25% | 95.03% |
References
- Keskin, G.A.; Ilhan, S.; Özkan, C. The Fuzzy ART algorithm: A categorization method for supplier evaluation and selection. Expert Syst. Appl. 2010, 37, 1235–1240. [Google Scholar] [CrossRef]
- Qin, J.; Liu, X.; Pedrycz, W. An extended TODIM multi-criteria group decision making method for green supplier selection in interval type-2 fuzzy environment. Eur. J. Oper. Res. 2017, 258, 626–638. [Google Scholar] [CrossRef]
- Coşkun, S.S.; Kumru, M.; Kan, N.M. An integrated framework for sustainable supplier development through supplier evaluation based on sustainability indicators. J. Clean. Prod. 2022, 335, 130287. [Google Scholar] [CrossRef]
- Rahman, M.S.; Gani, M.O.; Fatema, B.; Takahashi, Y. B2B firms’ supply chain resilience orientation in achieving sustainable supply chain performance. Sustain. Manuf. Serv. Econ. 2023, 2, 100011. [Google Scholar] [CrossRef]
- Wu, J.J.; Liu, G.; Xi, C.Y. The Study on Agile Supply Chain-based Supplier Selection and Evaluation. In Proceedings of the 2008 International Symposium on Information Science and Engineering, Shanghai, China, 20–22 December 2008; Volume 2, p. 280. [Google Scholar]
- Goodarzi, F.; Abdollahzadeh, V.; Zeinalnezhad, M. An integrated multi-criteria decision-making and multi-objective optimization framework for green supplier evaluation and optimal order allocation under uncertainty. Decis. Anal. J. 2022, 4, 100087. [Google Scholar] [CrossRef]
- Deepu, T.S.; Ravi, V. A review of literature on implementation and operational dimensions of supply chain digitalization: Framework development and future research directions. Int. J. Inf. Manag. Data Insights 2023, 3, 100156. [Google Scholar] [CrossRef]
- Ip, W.H.; Huang, M.; Yung, K.L.; Wang, D. Genetic algorithm solution for a risk-based partner selection problem in a virtual enterprise. Comput. Oper. Res. 2003, 30, 213–231. [Google Scholar] [CrossRef]
- Jadhav, A.; Orr, S.; Malik, M. The role of supply chain orientation in achieving supply chain sustainability. Int. J. Prod. Econ. 2019, 217, 112–125. [Google Scholar] [CrossRef]
- Parast, M.M.; Subramanian, N. An examination of the effect of supply chain disruption risk drivers on organizational performance: Evidence from Chinese supply chains. Supply Chain Manag. Int. J. 2021, 26, 548–562. [Google Scholar] [CrossRef]
- Tiwari, S.; Sharma, P.; Choi, T.M.; Lim, A. Blockchain and third-party logistics for global supply chain operations: Stakeholders’ perspectives and decision roadmap. Transp. Res. Part E Logist. Transp. Rev. 2023, 170, 103012. [Google Scholar] [CrossRef]
- Kang, S.; Moon, T. Supply Chain Integration and Collaboration for improving Supply Chain Performance: A Dynamic Capability Theory Perspective. In Proceedings of the 2016 49th Hawaii International Conference on System Sciences (HICSS), Koloa, HI, USA, 5–8 January 2016; pp. 307–316. [Google Scholar]
- Lu, Z.G.; Shen, K. A hybrid algorithm of particle swarm and ant colony for partner selection in supply chain. Comput. Eng. Sci. 2016, 38, 946–953. [Google Scholar]
- Xie, J.; Liang, L.; Yang, G.; Kong, F.; Chen, Y. Contract Coordination and Optimization of Revenue-sharing and Cost-sharing Incomplementary Closed-loop Supply Chain. Chin. J. Manag. Sci. 2018, 26, 94–105. [Google Scholar]
- Hao, L.; Hu, D.; Li, C. Supplier Selection and Order Allocation of Purchasing Management for Enterprise Supply Chain in T-JIT Environment. J. Highw. Transp. Res. Dev. 2018, 35, 149–158. [Google Scholar]
- Zhou, H.; Zheng, M.M.; Xia, T.B.; Ding, Y. Supplier Selection and Order Allocation Model in Multi-Project Background. Ind. Eng. Manag. 2020, 20, 1–15. [Google Scholar]
- Chen, Z.X.; Wang, W.J.; Du, Z.J. Fuzzy Multi-objective Optimization Decision of Multinational Supplier Selection and Order Allocation Considering Import Quota. J. Beijing Jiaotong Univ. 2021, 20, 113–122. [Google Scholar]
- Shi, Y.; Zhang, Z.Y.; Zhao, J.; Sunindijo, R. Optimal Quality Decisions for Elderly Service Integrators in Elderly Service Supply Chain. In Proceedings of the International Conference on Innovation and Entrepreneurship 2013 (ICIE 2013), Amman, Jordan, 4–5 March 2013; pp. 94–101. [Google Scholar]
- Gill, A.Q.; Phennel, N.; Lane, D.; Phung, V.L. IoT-enabled emergency information supply chain architecture for elderly people: The Australian context. Inf. Syst. 2016, 58, 75–86. [Google Scholar] [CrossRef]
- Salehi-Amiri, A.; Jabbarzadeh, A.; Hajiaghaei-Keshteli, M.; Chaabane, A. Utilizing the Internet of Things (IoT) to address uncertain home health care supply chain network. Expert Syst. Appl. 2022, 208, 118239. [Google Scholar] [CrossRef]
- Shi, Y.; Cao, L.; Zhang, Z.Y. The Information Sharing Model of Community Elderly Service Supply Chain Based on System Dynamics. Chin. J. Sys. Sci. 2018, 26, 121–125. [Google Scholar]
- Zhao, J.; Chu, L.K. Optimising the Services Capacity Operation with Service Supply Chain and Option Theories for Elderly Healthcare Systems in China. In Proceedings of the 8th International Conference on Operations Research and Enterprise Systems, Perth, WA, USA, 22–24 July 2019; pp. 213–220. [Google Scholar]
- Zhao, J. Will the community O2O service supply channel benefit the elderly healthcare service supply chain? Electron. Commer. Res. 2020, 22, 1617–1650. [Google Scholar] [CrossRef]
- Zhao, J. Sustainability on the Service Capacity in Elderly Healthcare Service Supply Chains: An Application of Flexible Contracts. IEEE Trans. Eng. Manag. 2023, 7, 2034–2044. [Google Scholar] [CrossRef]
- Wang, W.-L.; Chang, H.-J.; Liu, A.-C.; Chen, Y.-W. Research Into Care Quality Criteria for Long-Term Care Institutions. J. Nurs. Res. 2007, 15, 255–264. [Google Scholar] [CrossRef] [PubMed]
- Kadłubek, M.; Jereb, B. Measurement of the Logistic Customer Service Level in Commercial Cargo Motor Transport Companies. Logist. Sustain. Transp. 2014, 5, 8–15. [Google Scholar] [CrossRef]
- Cho, D.W.; Lee, Y.H.; Ahn, S.H.; Hwang, M.K. A framework for measuring the performance of service supply chain management. Comput. Ind. Eng. 2012, 62, 801–818. [Google Scholar] [CrossRef]
- Zhao, J. Research on Service Quality Optimization in the New Model of Elderly Service Supply Chain; South China University of Technology: Guangzhou, China, 2014. [Google Scholar]
- Mrčela, N.T.; Borovac, J.A.; Vrdoljak, D.; Grazio, S.; Luetić, A.T.; Tomek-Roksandić, S. When elders choose: Which factors could influence the decision-making among elderly in the selection of health tourism services? Med. Hypotheses 2015, 85, 898–904. [Google Scholar] [CrossRef] [PubMed]
- Sun, S.X.; Zhao, J.; Wang, H.Q. An agent based approach for exception handling in e-procurement management. Expert Syst. Appl. 2012, 39, 1174–1182. [Google Scholar] [CrossRef]
- Jemmali, M.; Alharbi, M.; Melhim, L.K.B. Intelligent Decision-making Algorithm for Supplier Evaluation Based on Multi-criteria Preferences. In Proceedings of the 1st International Conference on Computer Applications and Information Security (ICCAIS), Riyadh, Saudi Arabia, 4–6 April 2018. [Google Scholar]
- Zair, F.; Nejma, M.; Fourka, M.; Cherkaoui, A. Conceptual architecture for agent-based modelling of supplier selection conducted by a supply chain dyad. Int. J. Supply Chain Manag. 2019, 8, 483–492. [Google Scholar]
- Goncalo, T.E.E.; Morais, D.C. Agent-Based Negotiation Model for Public Procurement in Brazil. Int. J. Ind. Eng. Theory Appl. Pract. 2019, 26, 688–705. [Google Scholar]
- Barrad, S.; Gagnon, S.; Valverde, R. An analytics architecture for procurement. Int. J. Inf. Technol. Syst. Approach 2020, 13, 73–98. [Google Scholar] [CrossRef]
- Bag, S.; Wood, L.C.; Mangla, S.K. Procurement 4.0 and its implications on business process performance in a circular economy. Resour. Conserv. Recycl. 2020, 152, 104502. [Google Scholar] [CrossRef]
- Hallikas, J.; Immonen, M.; Brax, S. Digitalizing procurement: The impact of data analytics on supply chain performance. Supply Chain Manag. 2021, 26, 629–646. [Google Scholar] [CrossRef]
- Guida, M.; Caniato, F.; Moretto, A. The role of artificial intelligence in the procurement process: State of the art and research agenda. J. Purch. Supply Manag. 2023, 29, 100823. [Google Scholar] [CrossRef]
- Jia, X.; Zhang, Y.; Wu, B.; Wang, J.; Cao, X. Boosting fast adversarial training with learnable adversarial initialization. IEEE Trans. Image Process. 2022, 31, 4417–4430. [Google Scholar] [CrossRef] [PubMed]
- Zhang, M.L.; Qin, S.M.; Zhu, X.X. Information diffusion under public crisis in BA scale-free network based on SEIR model—Taking COVID-19 as an example. Phys. A 2021, 571, 125848. [Google Scholar] [CrossRef]
- Jia, X.; Zhang, Y.; Wei, X.; Wu, B.; Ma, K.; Wang, J.; Cao, X. Prior-Guided Adversarial Initialization for Fast Adversarial Training. In Computer Vision–ECCV 2022, Proceedings of the 17th European Conference, Tel Aviv, Israel, 23–27 October 2022; Proceedings, Part IV; Springer Nature: Cham, Switzerland, 2022; pp. 567–584. [Google Scholar]
- Parasuraman, A.; Zeithaml, V.; Berryl, L. SERVQUAL: A multiple-item scale for measuring consumer perceptions of service quality. J. Retail. 1988, 64, 12–40. [Google Scholar]
- Stefano, N.; Filho, N.C.; Barichello, R.; Sohn, A. A Fuzzy SERVQUAL Based Method for Evaluated of Service Quality in the Hotel Industry. Procedia CIRP 2015, 30, 433–438. [Google Scholar] [CrossRef]
- Enoch, F.S.; Osmanu, H.; Stijn, D. SERVQUAL analysis of public bus transport services in Kumasi metropolis, Ghana: Core user perspectives. Case Stud. Transp. Policy 2018, 6, 25–31. [Google Scholar]
- Dinçer, H.; Yüksel, S.; Martínez, L. Analysis of balanced scorecard-based SERVQUAL criteria based on hesitant decision-making approaches. Comput. Ind. Eng. 2019, 131, 1–12. [Google Scholar] [CrossRef]
- Tumsekcali, E.; Ayyildiz, E.; Taskin, A. Interval valued intuitionistic fuzzy AHP-WASPAS based public transportation service quality evaluation by a new extension of SERVQUAL Model: P-SERVQUAL 4.0. Expert Syst. Appl. 2021, 186, 115757. [Google Scholar] [CrossRef]
- Feinberg, E.A.; Jaśkiewicz, A.; Nowak, A.S. Constrained discounted Markov decision processes with Borel state spaces. Automatica 2020, 111, 108582. [Google Scholar] [CrossRef]
- Yousefi, S.; Derakhshan, F.; Karimipour, H.; Aghdasi, H.S. An efficient route planning model for mobile agents on the internet of things using Markov decision process. Ad Hoc Netw. 2020, 98, 102053. [Google Scholar] [CrossRef]
- Dickson, G.W. An Analysis of Vendor Selection Systems and Decisions. J. Purch. 1966, 2, 5–17. [Google Scholar] [CrossRef]
- Weber, C.A.; Current, J.R.; Benton, W. Vendor selection criteria and methods. Eur. J. Oper. Res. 1991, 50, 2–18. [Google Scholar] [CrossRef]
- Xu, J.; Zhu, J.C.; Lu, Z.G. The evaluation system index of the products for the elderly in China. Designs 2013, 20, 106–107. [Google Scholar]









| Category | Principle Layer | Network Layer |
|---|---|---|
| Common index | Product information A | Price A1 |
| Quantity A2 | ||
| Product qualification rate A3 | ||
| Supplier service level B | Order completion rate B1 | |
| On time delivery B2 | ||
| Volume flexibility B3 | ||
| Delivery flexibility B4 | ||
| Customer complaint handling satisfaction rate B5 | ||
| Supplier credibility C | Position in the industry C1 | |
| Recommendation rate C2 | ||
| Performance of the contract C3 | ||
| Development potential of suppliers D | Asset liability ratio D1 | |
| Profit growth rate D2 | ||
| New product development rate D3 | ||
| Cooperation income D4 | ||
| Individual index | Technical indicators E | Security E1 |
| Legibility E2 | ||
| Operability E3 | ||
| Anti-broken E4 | ||
| Comfort E5 | ||
| Toxicity E6 | ||
| Mechanical movement hazard E7 |
| Period | Area I | Area II | Area III | Area IV |
|---|---|---|---|---|
| 1 | 2850 | 2830 | 1609 | 897 |
| 2 | 2949 | 2858 | 1872 | 1185 |
| 3 | 3473 | 2732 | 1914 | 1344 |
| 4 | 3712 | 3012 | 2050 | 1413 |
| 5 | 4183 | 2953 | 2027 | 1515 |
| 6 | 4821 | 2856 | 2440 | 1485 |
| 7 | 4813 | 2713 | 2605 | 1660 |
| 8 | 5757 | 3024 | 2444 | 1625 |
| 9 | 5670 | 2970 | 2767 | 1765 |
| 10 | 6763 | 2863 | 2756 | 1807 |
| Affected Factors | ||||||||||||||||||||||||
|---|---|---|---|---|---|---|---|---|---|---|---|---|---|---|---|---|---|---|---|---|---|---|---|---|
| A | B | C | D | E | ||||||||||||||||||||
| A1 | A2 | A3 | B1 | B2 | B3 | B4 | B5 | C1 | C2 | C3 | D1 | D2 | D3 | D4 | E1 | E2 | E3 | E4 | E5 | E6 | E7 | |||
| Influence Factors | A | A1 | √ | √ | √ | √ | √ | √ | √ | √ | √ | √ | √ | √ | √ | √ | ||||||||
| A2 | √ | √ | √ | √ | √ | √ | √ | √ | √ | √ | √ | |||||||||||||
| A3 | √ | √ | √ | √ | √ | √ | √ | √ | √ | √ | √ | √ | √ | √ | √ | √ | √ | √ | √ | |||||
| B | B1 | √ | √ | √ | √ | √ | √ | √ | √ | |||||||||||||||
| B2 | √ | √ | √ | √ | √ | √ | √ | √ | √ | √ | ||||||||||||||
| B3 | √ | √ | √ | √ | √ | √ | √ | √ | √ | √ | √ | |||||||||||||
| B4 | √ | √ | √ | √ | √ | √ | √ | √ | √ | √ | ||||||||||||||
| B5 | √ | √ | √ | √ | √ | √ | √ | √ | ||||||||||||||||
| C | C1 | √ | √ | √ | √ | √ | ||||||||||||||||||
| C2 | √ | √ | √ | √ | √ | |||||||||||||||||||
| C3 | √ | √ | √ | √ | √ | √ | √ | |||||||||||||||||
| D | D1 | √ | √ | √ | √ | |||||||||||||||||||
| D2 | √ | √ | √ | √ | ||||||||||||||||||||
| D3 | √ | √ | √ | √ | √ | |||||||||||||||||||
| D4 | √ | √ | √ | √ | ||||||||||||||||||||
| E | E1 | √ | √ | √ | √ | √ | √ | √ | √ | √ | √ | √ | ||||||||||||
| E2 | √ | √ | √ | √ | √ | √ | √ | √ | √ | |||||||||||||||
| E3 | √ | √ | √ | √ | √ | √ | √ | √ | ||||||||||||||||
| E4 | √ | √ | √ | √ | √ | √ | √ | √ | ||||||||||||||||
| E5 | √ | √ | √ | √ | √ | √ | √ | √ | √ | |||||||||||||||
| E6 | √ | √ | √ | √ | √ | √ | √ | √ | √ | |||||||||||||||
| E7 | √ | √ | √ | √ | √ | √ | √ | √ | √ | |||||||||||||||
| A | B | C | D | E | |
| A | 1 | 3 | 2 | 1/3 | 1/2 |
| B | 1/3 | 1 | 1/2 | 1/3 | 1/2 |
| C | 1/2 | 2 | 1 | 1/2 | 1/2 |
| D | 3 | 3 | 2 | 1 | 1/2 |
| E | 2 | 2 | 2 | 2 | 1 |
| A1 | A2 | A3 | |
| A1 | 1 | 1/2 | 2 |
| A2 | 2 | 1 | 2 |
| A3 | 1/2 | 1/2 | 1 |
| B1 | B2 | B3 | B4 | B5 | |
| B1 | 1 | 2 | 2 | 3 | 2 |
| B2 | 1/2 | 1 | 1/2 | 2 | 2 |
| B3 | 1/2 | 2 | 1 | 2 | 3 |
| B4 | 1/3 | 1/2 | 1/2 | 1 | 2 |
| B5 | 1/2 | 1/2 | 1/3 | 1/2 | 1 |
| C | C1 | C2 | C3 |
| C1 | 1 | 2 | 2 |
| C2 | 1/2 | 1 | 2 |
| C3 | 1/2 | 1/2 | 1 |
| E1 | E2 | E3 | E4 | E5 | E6 | E7 | |
| E1 | 1 | 4 | 3 | 4 | 4 | 2 | 2 |
| E2 | 1/4 | 1 | 1/2 | 2 | 2 | 1/3 | 1/3 |
| E3 | 1/3 | 2 | 1 | 3 | 2 | 1/3 | 1/3 |
| E4 | 1/4 | 1/2 | 1/3 | 1 | 2 | 1/3 | 1/3 |
| E5 | 1/4 | 1/2 | 1/2 | 1/2 | 1 | 1/4 | 1/3 |
| E6 | 1/2 | 3 | 3 | 3 | 4 | 1 | 1/2 |
| E7 | 1/2 | 3 | 3 | 3 | 3 | 2 | 1 |
| Index | Weight in Principle Layer | Weight in Goal Layer | ||
|---|---|---|---|---|
| Supplier assessment | A | A1 | 0.4286 | 0.0773 |
| A2 | 0.4286 | 0.0773 | ||
| A3 | 0.1429 | 0.0258 | ||
| B | B1 | 0.2215 | 0.0194 | |
| B2 | 0.1751 | 0.0154 | ||
| B3 | 0.2649 | 0.0233 | ||
| B4 | 0.1724 | 0.0151 | ||
| B5 | 0.1661 | 0.0146 | ||
| C | C1 | 0.4425 | 0.0580 | |
| C2 | 0.2788 | 0.0366 | ||
| C3 | 0.2788 | 0.0366 | ||
| D | D1 | 0.1705 | 0.0484 | |
| D2 | 0.1483 | 0.0421 | ||
| D3 | 0.4459 | 0.1266 | ||
| D4 | 0.2354 | 0.0668 | ||
| E | E1 | 0.2888 | 0.0915 | |
| E2 | 0.0686 | 0.0217 | ||
| E3 | 0.1984 | 0.0628 | ||
| E4 | 0.0217 | 0.0069 | ||
| E5 | 0.2058 | 0.0652 | ||
| E6 | 0.0499 | 0.0158 | ||
| E7 | 0.1669 | 0.0528 |
| A1 | A2 | A3 | B1 | B2 | B3 | B4 | B5 | C1 | C2 | C3 | D1 | D2 | D3 | D4 | E1 | E2 | E3 | E4 | E5 | E6 | E7 | |
| 1 | 0.65 | 0.93 | 0.81 | 0.89 | 0.92 | 0.66 | 0.65 | 0.97 | 12 | 0.63 | 4 | 0.51 | 0.11 | 0.08 | 2 | 0.97 | 0.77 | 0.92 | 0.87 | 0.94 | 0.81 | 0.97 |
| 2 | 0.55 | 0.97 | 0.90 | 0.86 | 0.94 | 0.59 | 0.71 | 0.93 | 13 | 0.67 | 6 | 0.34 | 0.10 | 0.08 | 4 | 0.76 | 0.95 | 0.79 | 0.81 | 0.91 | 0.85 | 0.80 |
| 3 | 0.55 | 0.97 | 0.93 | 0.86 | 1.00 | 0.51 | 0.71 | 0.97 | 17 | 0.60 | 3 | 0.32 | 0.09 | 0.12 | 4 | 0.96 | 0.77 | 0.90 | 0.88 | 0.79 | 0.83 | 0.86 |
| 4 | 0.68 | 0.97 | 0.81 | 0.91 | 0.95 | 0.88 | 0.86 | 0.94 | 11 | 0.70 | 5 | 0.45 | 0.13 | 0.15 | 5 | 0.86 | 0.85 | 0.95 | 0.76 | 0.88 | 0.95 | 0.89 |
| 5 | 0.69 | 0.93 | 0.84 | 0.96 | 0.99 | 0.57 | 0.71 | 0.98 | 3 | 0.52 | 5 | 0.36 | 0.14 | 0.09 | 5 | 0.91 | 0.93 | 0.85 | 0.79 | 0.92 | 0.95 | 0.87 |
| 6 | 0.59 | 0.97 | 0.91 | 0.97 | 0.94 | 0.77 | 0.65 | 0.99 | 16 | 0.62 | 5 | 0.55 | 0.14 | 0.13 | 3 | 0.89 | 0.80 | 0.95 | 0.91 | 0.88 | 0.94 | 0.94 |
| 7 | 0.46 | 1 | 0.89 | 0.94 | 0.94 | 0.8 | 0.83 | 0.92 | 18 | 0.62 | 5 | 0.51 | 0.13 | 0.12 | 3 | 0.78 | 0.88 | 0.88 | 0.76 | 0.87 | 0.90 | 0.93 |
| 8 | 0.64 | 1 | 0.83 | 0.99 | 0.96 | 0.78 | 0.63 | 0.91 | 21 | 0.69 | 4 | 0.50 | 0.14 | 0.10 | 4 | 0.93 | 0.90 | 0.91 | 0.77 | 0.82 | 0.77 | 0.82 |
| 9 | 0.56 | 0.97 | 0.86 | 0.96 | 0.90 | 0.62 | 0.73 | 0.98 | 29 | 0.74 | 3 | 0.35 | 0.13 | 0.09 | 2 | 0.75 | 0.82 | 0.89 | 0.98 | 0.86 | 0.98 | 0.92 |
| 10 | 0.66 | 0.93 | 0.85 | 0.86 | 0.94 | 0.72 | 0.74 | 0.93 | 14 | 0.61 | 5 | 0.39 | 0.14 | 0.11 | 3 | 0.77 | 0.76 | 0.97 | 0.77 | 0.87 | 0.84 | 0.90 |
| Max V(s) | Max V(s) | Max V(s) | Max V(s) | Max V(s) | |||||
|---|---|---|---|---|---|---|---|---|---|
| 1 | 1,026,660.176 | 11 | 1,008,398.099 | 21 | 1,018,886.528 | 31 | 1,025,485.608 | 41 | 1,032,695.889 |
| 2 | 1,013,663.388 | 12 | 1,005,884.239 | 22 | 1,007,179.369 | 32 | 1,004,258.437 | 42 | 1,027,615.128 |
| 3 | 1,005,700.487 | 13 | 1,011,794.981 | 23 | 1,012,516.268 | 33 | 1,005,641.908 | 43 | 1,032,177.736 |
| 4 | 1,001,476.132 | 14 | 1,026,103.254 | 24 | 1,029,977.87 | 34 | 1,013,114.365 | 44 | 1,023,154.974 |
| 5 | 1,031,942.569 | 15 | 1,026,123.407 | 25 | 1,003,423.713 | 35 | 1,012,242.002 | 45 | 1,005,360.903 |
| 6 | 1,023,045.263 | 16 | 1,003,957.14 | 26 | 1,026,793.294 | 36 | 1,022,011.736 | 46 | 1,031,336.807 |
| 7 | 1,022,597.412 | 17 | 1,029,412.422 | 27 | 1,002,035.81 | 37 | 1,005,053.515 | 47 | 1,029,853.854 |
| 8 | 1,028,141.094 | 18 | 1,010,292.366 | 28 | 1,031,242.842 | 38 | 1,007,941.423 | 48 | 1,027,944.932 |
| 9 | 1,025,181.462 | 19 | 1,032,682.362 | 29 | 1,020,334.825 | 39 | 1,006,577.407 | 49 | 1,018,235.519 |
| 10 | 1,017,913.304 | 20 | 1,006,251.675 | 30 | 1,029,452.032 | 40 | 1,004,977.015 | 50 | 1,018,483.135 |
| ANOVA a | |||||
| Sum of squares | df | Mean Square | F | Sig. | |
| Regression | 6.603 ×1010 | 1 | 6.603 × 1010 | 3,897,593.20 | 0.001 b |
| Residual | 1,998,933.42 | 118 | 16,940.114 | ||
| Total | 6.603 × 1010 | 119 | |||
| Coefficients a | |||||
| B | Std.Error | Standardized Coefficients Beta | t | Sig. | |
| (Constant) | 339,935.937 | 141.911 | 2395.423 | 0.001 | |
| p | −2800.433 | 1.418 | −1.000 | −1974.232 | 0.000 |
| ANOVA a | |||||
| Sum of squares | df | Mean Square | F | Sig. | |
| Regression | 1.506 × 1010 | 1 | 1.506 × 1010 | 5.785 × 1011 | 0.001 b |
| Residual | 3.071 | 118 | 0.026 | ||
| Total | 1.506 × 1010 | 119 | |||
| Coefficients a | |||||
| B | Std.Error | Standardized Coefficients Beta | t | Sig. | |
| (Constant) | 339,891.253 | 0.360 | 945,039.408 | 0.001 | |
| q | −92.000 | 0.000 | −1.000 | −760,589.94 | 0.000 |
Disclaimer/Publisher’s Note: The statements, opinions and data contained in all publications are solely those of the individual author(s) and contributor(s) and not of MDPI and/or the editor(s). MDPI and/or the editor(s) disclaim responsibility for any injury to people or property resulting from any ideas, methods, instructions or products referred to in the content. |
© 2023 by the authors. Licensee MDPI, Basel, Switzerland. This article is an open access article distributed under the terms and conditions of the Creative Commons Attribution (CC BY) license (https://creativecommons.org/licenses/by/4.0/).
Share and Cite
Qin, S.; Zhang, M.; Hu, H.; Wang, Y. Smart Elderly Care: An Intelligent e-Procurement System for Elderly Supplier Selecting. Systems 2023, 11, 251. https://doi.org/10.3390/systems11050251
Qin S, Zhang M, Hu H, Wang Y. Smart Elderly Care: An Intelligent e-Procurement System for Elderly Supplier Selecting. Systems. 2023; 11(5):251. https://doi.org/10.3390/systems11050251
Chicago/Turabian StyleQin, Simeng, Mingli Zhang, Haiju Hu, and Yanan Wang. 2023. "Smart Elderly Care: An Intelligent e-Procurement System for Elderly Supplier Selecting" Systems 11, no. 5: 251. https://doi.org/10.3390/systems11050251
APA StyleQin, S., Zhang, M., Hu, H., & Wang, Y. (2023). Smart Elderly Care: An Intelligent e-Procurement System for Elderly Supplier Selecting. Systems, 11(5), 251. https://doi.org/10.3390/systems11050251
