How Can Construction and Demolition Waste Recycling Public–Private Partnership Projects Performance Compensate during the Operation Period? A Two-Stage Perspective of Recycling and Remanufacturing
Abstract
1. Introduction
2. Literature Review
2.1. CDW Recycling PPP Projects
2.2. Compensation Mechanism during the PPP Projects Operation Period
2.3. Recycling-Remanufacturing Two-Stage Performance
3. Problem Description
3.1. Model Assumptions
3.2. Game Order
4. Model Building and Analysis
4.1. Reference Model (RM)
4.2. Government Compensation Model (GCM)
4.3. Recycling-Remanufacturing Two-Stage Performance Comparison Analysis
4.4. Effects of Recycling-Remanufacturing Two-Phase Performance on Different Decision Goals
- When , the profit of social capital is positively correlated with the two-stage performance of recycling and remanufacturing.
- When , the profit of social capital is negatively correlated with the two-stage performance of recycling and remanufacturing.
- When , social capital profit has a maximum value.
- When , social welfare is positively correlated with the two-stage performance of recycling and remanufacturing.
- When , social welfare is negatively correlated with the two-stage performance of recycling and remanufacturing.
- When , social welfare has a maximum value.
5. Numerical Simulation
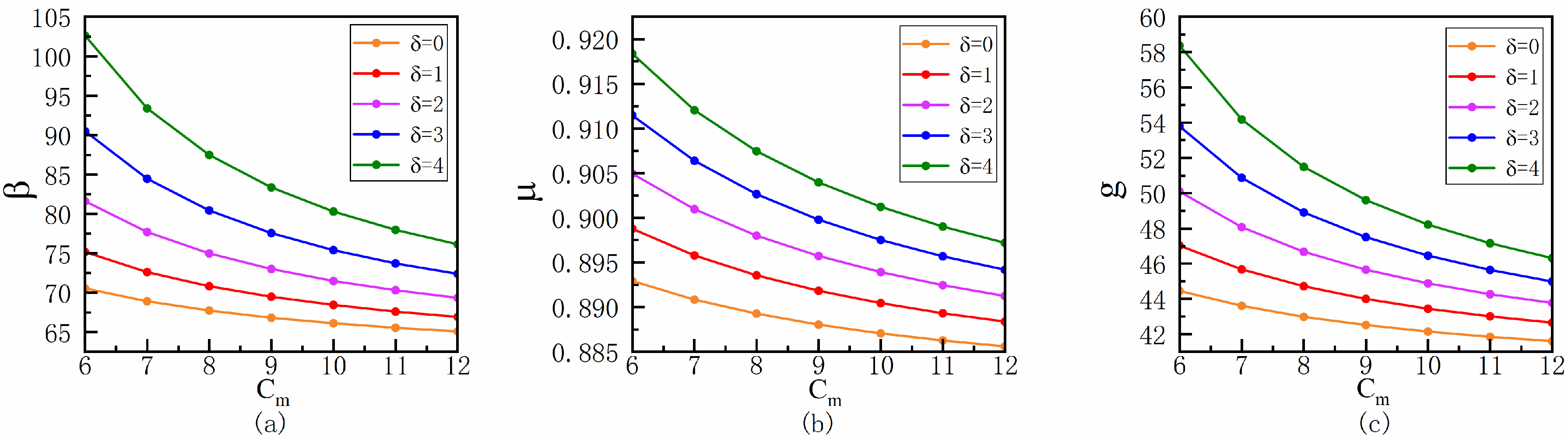
5.1. Effects of Effort Cost on the Decision-Making of Government and Social Capital
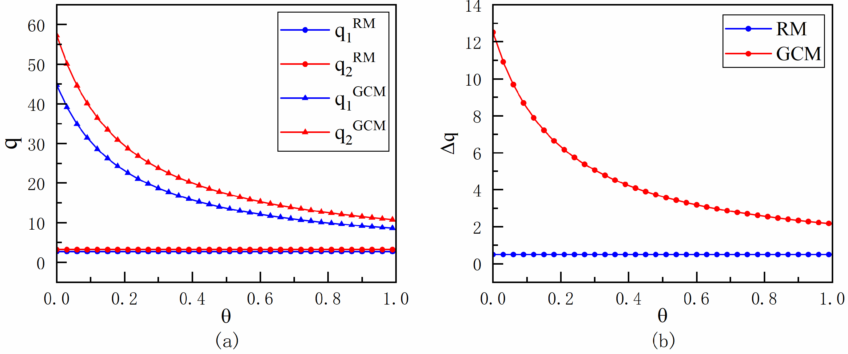
5.2. Comparison Analysis of Recycling-Remanufacturing Two-Stage Performance
5.3. Effects of Recycling-Remanufacturing Two-Phase Performance on Different Decision Goals
6. Discussion
6.1. The Influence of Effort Cost on the Decision-Making of Government and Social Capital
6.2. Two-Stage Performance of Recycling and Remanufacturing
6.3. Social Capital Profits and Social Welfare
7. Conclusions and Implications
7.1. Conclusions
7.2. Management Implications
7.3. Limitations and Prospects
Author Contributions
Funding
Data Availability Statement
Conflicts of Interest
References
- Peng, X.X.; Jiang, Y.S.; Chen, Z.H.; Osman, A.I.; Farghali, M.; Rooney, D.W.; Yap, P.S. Recycling municipal, agricultural and industrial waste into energy, fertilizers, food and construction materials, and economic feasibility: A review. Environ. Chem. Lett. 2023, 21, 765–801. [Google Scholar] [CrossRef]
- Freitas, L.A.R.U.; Magrini, A. Waste Management in Industrial Construction: Investigating Contributions from Industrial Ecology. Sustainability 2017, 9, 1251. [Google Scholar] [CrossRef]
- Liang, X.D.; Lin, S.F.; Bi, X.Y.; Lu, E.F.; Li, Z. Chinese construction industry energy efficiency analysis with undesirable carbon emissions and construction waste outputs. Environ. Sci. Pollut. Res. 2021, 28, 15838–15852. [Google Scholar] [CrossRef] [PubMed]
- Sanjaya, E.; Abbas, A. Plasma gasification as an alternative energy-from-waste (EFW) technology for the circular economy: An environmental review. Resour. Conserv. Recycl. 2023, 189, 106730. [Google Scholar] [CrossRef]
- Ginga, C.P.; Ongpeng, J.M.C.; Daly, M.K.M. Circular economy on construction and demolition waste: A literature review on material recovery and production. Materials 2020, 13, 2970. [Google Scholar] [CrossRef] [PubMed]
- Bayram, B.; Greiff, K. Life cycle assessment on construction and demolition waste recycling: A systematic review analyzing three important quality aspects. Int. J. Life Cycle Assess. 2023, 28, 1–23. [Google Scholar] [CrossRef]
- Xiao, X.W.; Feng, D.K.; Tian, W. Present situation and suggestions on recycling and utilization of construction waste in China. Constr. Tech. 2015, 44, 6–8. [Google Scholar]
- Lockrey, S.; Nguyen, H.; Crossin, E.; Verghese, K. Recycling the construction and demolition waste in Vietnam: Opportunities and challenges in practice. J. Clean. Prod. 2016, 133, 757–766. [Google Scholar] [CrossRef]
- Di Maria, A.; Eyckmans, J.; Van Acker, K. Downcycling versus recycling of construction and demolition waste: Combining LCA and LCC to support sustainable policy making. Waste Manag. 2018, 75, 3–21. [Google Scholar] [CrossRef]
- Kanda, Y. Spark plasma sintering using calcareous waste concrete powder. Constr. Build. Mater. 2022, 349, 128726. [Google Scholar] [CrossRef]
- Santolini, E.; Bovo, M.; Barbaresi, A.; Torreggiani, D.; Tassinari, P. LCA of virgin and recycled materials to assess the sustainability of paved surfaces in agricultural environment. J. Clean. Prod. 2023, 393, 136291. [Google Scholar] [CrossRef]
- Zhou, C.Y.; He, J.R.; Li, Y.J.; Chen, W.H.; Zhang, Y.; Zhang, H.; Xu, S.Q.; Li, X.W. Green Independent Innovation or Green Imitation Innovation? Supply Chain Decision-Making in the Operation Stage of Construction and Demolition Waste Recycling Public–Private Partnership Projects. Systems 2023, 11, 94. [Google Scholar] [CrossRef]
- Liu, J.K.; Hua, Z.W.; Pang, Y.S.; Wang, X.T. Risk sharing for PPP project in construction waste recycling industry in China. Environ. Sci. Pollut. Res. 2022, 29, 12614–12628. [Google Scholar] [CrossRef]
- Kukah, A.S.K.; Owusu-Manu, D.-G.; Badu, E.; Edwards, D.J. Reasons for entering into Ghanaian public-private partnership (PPP) power projects. J. Eng. Des. Technol. 2022; ahead-of-print. [Google Scholar] [CrossRef]
- Balcilar, M.; Uzuner, G.; Nwani, C.; Bekun, F.V. Boosting Energy Efficiency in Turkey: The Role of Public–Private Partnership Investment. Sustainability 2023, 15, 2273. [Google Scholar] [CrossRef]
- Liang, Q.X.; Hu, H.; Wang, Z.J.; Hou, F. A game theory approach for the renegotiation of Public-Private Partnership projects in Chinese environmental and urban governance industry. J. Clean. Prod. 2019, 238, 117952. [Google Scholar] [CrossRef]
- Wang, Y.; Wang, Y.J.; Wu, X.Y.; Li, J.W. Exploring the Risk Factors of Infrastructure PPP Projects for Sustainable Delivery: A Social Network Perspective. Sustainability 2020, 12, 4152. [Google Scholar] [CrossRef]
- Koengkan, M.; Fuinhas, J.A.; Osmani, F.; Kazemzadeh, E.; Auza, A.; Alavijeh, N.K.; Teixeira, M. Do financial and fiscal incentive policies increase the energy efficiency ratings in residential properties? A piece of empirical evidence from Portugal. Energy 2022, 241, 122895. [Google Scholar] [CrossRef]
- Ahlrichs, J.; Rockstuhl, S.; Tränkler, T.; Wenninger, S. The impact of political instruments on building energy retrofits: A risk-integrated thermal Energy Hub approach. Energy Policy 2020, 147, 111851. [Google Scholar] [CrossRef]
- Wang, Y.L.; Liu, J.C.; Gao, R.L.; Huang, B.G. Government Subsidies in Public-Private Partnership Projects Based on Altruistic Theory. Int. J. Strateg. Prop. Manag. 2020, 24, 153–164. [Google Scholar] [CrossRef]
- Pasiouras, F.; Samet, A. Social capital and the cost of bank equity: Cross-country evidence. J. Bank. Financ. 2022, 141, 106535. [Google Scholar] [CrossRef]
- Wang, L.; Pan, F. Incentive Mechanism Analysis of Environmental Governance Using Multitask Principal–Agent Model. Sustainability 2023, 15, 4126. [Google Scholar] [CrossRef]
- Xu, X.G.; Xu, T.T.; Gui, M.Z. Incentive Mechanism for Municipal Solid Waste Disposal PPP Projects in China. Sustainability 2020, 12, 7686. [Google Scholar] [CrossRef]
- Feng, Z.; Zhang, S.B.; Gao, Y.; Zhang, S.J. Subsidizing and pricing private toll roads with noncontractible service quality: A relational contract approach. Transp. Res. Part B Methodol. 2016, 91, 466–491. [Google Scholar] [CrossRef]
- Li, X.W.; Huang, R.; Dai, J.; Li, J.; Shen, Q. Research on the Evolutionary Game of Construction and Demolition Waste (CDW) Recycling Units’ Green Behavior, Considering Remanufacturing Capability. Int. J. Environ. Res. Public Health 2021, 18, 9268. [Google Scholar] [CrossRef] [PubMed]
- Li, X.W.; Dai, J.C.; Li, J.R.; He, J.R.; Liu, X.; Huang, Y.C.; Shen, Q. Research on the Impact of Enterprise Green Development Behavior: A Meta-Analytic Approach. Behav. Sci. 2022, 12, 35. [Google Scholar] [CrossRef] [PubMed]
- Song, Q.B.; Duan, H.B.; Yu, D.F.; Li, J.H.; Wang, C.; Zuo, J. Characterizing the essential materials and energy performance of city buildings: A case study of Macau. J. Clean. Prod. 2018, 194, 263–276. [Google Scholar] [CrossRef]
- Sun, G.Z.; Sun, J.; Li, F.J. Influencing Factors of Early Termination for PPP Projects Based on Multicase Grounded Theory. J. Constr. Eng. Manag. 2022, 148, 04022120. [Google Scholar] [CrossRef]
- El-Kholy, A.M.; Akal, A.Y. Assessing and allocating the financial viability risk factors in public-private partnership wastewater treatment plant projects. Eng. Constr. Archit. Manag. 2021, 28, 3014–3040. [Google Scholar] [CrossRef]
- Wang, Z.S.; Zhou, Y.X.; Jin, X.H.; Zhao, N.; Sun, J.S. Risk allocation and benefit distribution of PPP projects for construction waste recycling: A case study of China. Eng. Constr. Archit. Manag. 2022; ahead-of-print. [Google Scholar] [CrossRef]
- Lu, W.; Du, L.; Feng, Y.B. Decision making behaviours and management mechanisms for construction and demolition waste recycling based on public-private partnership. Environ. Sci. Pollut. Res. 2022, 29, 82078–82097. [Google Scholar] [CrossRef]
- An, X.W.; Li, H.M.; Wang, L.Y.; Wang, Z.F.; Ding, J.Y.; Cao, Y.C. Compensation mechanism for urban water environment treatment PPP project in China. J. Clean. Prod. 2018, 201, 246–253. [Google Scholar] [CrossRef]
- Xiao, S.J.; Dong, H.J.; Geng, Y.; Brander, M. An overview of China’s recyclable waste recycling and recommendations for integrated solutions. Resour. Conserv. Recycl. 2018, 134, 112–120. [Google Scholar] [CrossRef]
- Sirr, G.; Power, B.; Ryan, G.; Eakins, J.; O’Connor, E.; le Maitre, J. An analysis of the factors affecting Irish citizens’ willingness to invest in wind energy projects. Energy Policy 2023, 173, 113364. [Google Scholar] [CrossRef]
- Liu, T.; Bennon, M.; Garvin, M.J.; Wang, S.Q. Sharing the Big Risk: Assessment Framework for Revenue Risk Sharing Mechanisms in Transportation Public-Private Partnerships. J. Constr. Eng. Manag. 2017, 143, 04017086. [Google Scholar] [CrossRef]
- Lv, J.N.; Zhang, Y.Y.; Zhou, W. Alternative Model to Determine the Optimal Government Subsidies in Construction Stage of PPP Rail Transit Projects under Dynamic Uncertainties. Math. Probl. Eng. 2020, 2020, 3928463. [Google Scholar] [CrossRef]
- Wang, D.Y.; Wang, X.Q.; Ding, R.X. Welfare maximization with the least subsidy: Pricing model for surface water loop heat pump PPP projects considering occupancy rate growth and coefficient of performance. Renew. Energy 2022, 194, 1131–1141. [Google Scholar] [CrossRef]
- Cheng, S.L.; Yu, Y.; Meng, F.X.; Chen, J.D.; Chen, Y.T.; Liu, G.Y.; Fan, W. Potential benefits of public–private partnerships to improve the efficiency of urban wastewater treatment. NPJ Clean Water 2023, 6, 13. [Google Scholar] [CrossRef]
- Ho, S.P. Model for financial renegotiation in public-private partnership projects and its policy implications: Game theoretic view. J. Constr. Eng. Manag. 2006, 132, 678–688. [Google Scholar] [CrossRef]
- Liu, J.C.; Gao, R.L.; Cheah, C.Y.J. Pricing Mechanism of Early Termination of PPP Projects Based on Real Option Theory. J. Manag. Eng. 2017, 33, 1–10. [Google Scholar] [CrossRef]
- Castelblanco, G.; Guevara, J.; Mesa, H.; Hartmann, A. Social legitimacy challenges in toll road PPP programs: Analysis of the Colombian and Chilean cases. J. Manag. Eng. 2022, 38, 05022002. [Google Scholar] [CrossRef]
- Wang, Y.N.; Liang, Y.Z.; Li, C.; Zhang, X.Y. Operation Performance Evaluation of Urban Rail Transit PPP Projects: Based on Best Worst Method and Large-Scale Group Evaluation Technology. Adv. Civ. Eng. 2021, 2021, 4318869. [Google Scholar] [CrossRef]
- Sun, X.Y.; Cheng, Y. Sustainable efficiency evaluation of regional state-level technology business incubating service systems in China: A dynamic two-stage slacks-based measure approach. J. Clean. Prod. 2021, 279, 123688. [Google Scholar] [CrossRef]
- Peng, D.; Zeng, X.Y. The Evolution of Opportunistic Behavior of Participating Subjects during the Operation Period of PPP Projects. Comput. Intell. Neurosci. 2022, 2022, 8450529. [Google Scholar] [CrossRef]
- Kweh, Q.L.; Lu, W.M.; Lin, F.Y.; Deng, Y.J. Impact of research and development tax credits on the innovation and operational efficiencies of Internet of things companies in Taiwan. Ann. Oper. Res. 2022, 315, 1217–1241. [Google Scholar] [CrossRef]
- Ma, L.; Zhang, L. Evolutionary game analysis of construction waste recycling management in China. Resour. Conserv. Recycl. 2020, 161, 104863. [Google Scholar] [CrossRef]
- Yi, P.X.; Huang, M.; Guo, L.J.; Shi, T.L. Dual recycling channel decision in retailer oriented closed-loop supply chain for construction machinery remanufacturing. J. Clean. Prod. 2016, 137, 1393–1405. [Google Scholar] [CrossRef]
- Liu, F.R.; Liu, J.; Yan, X.D. Solving the Asymmetry Multi-Objective Optimization Problem in PPPs under LPVR Mechanism by Bi-Level Programing. Symmetry 2020, 12, 1667. [Google Scholar] [CrossRef]
- Mu, Z.Y.; Li, Q.J.; Dai, G.X.; Li, K.; Zhang, G.M.; Zhang, F. Government Subsidy Policy and Online Selling Strategy in a Platform Supply Chain with Green R&D and DDM Activities. Sustainability 2022, 14, 9658. [Google Scholar] [CrossRef]
- Zhang, F.F.; Zhang, Z.X.; Xue, Y.W.; Zhang, J.; Che, Y. Dynamic Green Innovation Decision of the Supply Chain with Innovating and Free-Riding Manufacturers: Cooperation and Spillover. Complexity 2020, 2020, 8937847. [Google Scholar] [CrossRef]
- Wang, W.; Liu, X.J.; Zhang, W.S.; Gao, G.; Zhang, H. Coordination of a Green Supply Chain with One Manufacturer and Two Competing Retailers under Different Power Structures. Discret. Dyn. Nat. Soc. 2019, 2019, 3453850. [Google Scholar] [CrossRef]
- Qin, Q.; Jiang, M.T.; Xie, J.M.; He, Y. Game analysis of environmental cost allocation in green supply chain under fairness preference. Energy Rep. 2021, 7, 6014–6022. [Google Scholar] [CrossRef]
- Baron, D.P.; Myerson, R.B. Regulating a monopolist with unknown costs. Econom. J. Econom. Soc. 1982, 50, 911–930. [Google Scholar] [CrossRef]
- Gagnepain, P.; Ivaldi, M.; Martimort, D. The cost of contract renegotiation: Evidence from the local public sector. Am. Econ. Rev. 2013, 103, 2352–2383. [Google Scholar] [CrossRef]
- Li, X.W.; Du, J.G.; Long, H.Y. Theoretical framework and formation mechanism of the green development system model in China. Environ. Dev. 2019, 32, 100465. [Google Scholar] [CrossRef]
- Han, Q.; Wang, Y.Y.; Shen, L.; Dong, W.Q. Decision and coordination of low-carbon e-commerce supply chain with government carbon subsidies and fairness concerns. Complexity 2020, 2020, 1974942. [Google Scholar] [CrossRef]
- Shao, L.Z.; Liu, Q.W. Decision-Making and the Contract of the Complementary Product Supply Chain Considering Consumers’ Environmental Awareness and Government Green Subsidies. Int. J. Environ. Res. Public Health 2022, 19, 3100. [Google Scholar] [CrossRef]
- Dou, G.W.; Choi, T.M. Does implementing trade-in and green technology together benefit the environment? Eur. J. Oper. Res. 2021, 295, 517–533. [Google Scholar] [CrossRef]
- Shang, L.M.; Aziz, A.M.A. Stackelberg game theory-based optimization model for design of payment mechanism in performance-based PPPs. J. Constr. Eng. Manag. 2020, 146, 04020029. [Google Scholar] [CrossRef]
- Gao, J.H.; Han, H.S.; Hou, L.T.; Wang, H.Y. Pricing and effort decisions in a closed-loop supply chain under different channel power structures. J. Clean. Prod. 2016, 112, 2043–2057. [Google Scholar] [CrossRef]
- Zhang, H.Y.; Xu, H.Y.; Pu, X.J. A cross-channel return policy in a green dual-channel supply chain considering spillover effect. Sustainability 2020, 12, 2171. [Google Scholar] [CrossRef]
- Wang, L.; Wang, D.; Wang, X.Q. Subsidizing and pricing PPP transportation projects based on two-period quality. J. Ind. Eng. Eng. Manag. 2021, 35, 173–183. (In Chinese) [Google Scholar] [CrossRef]
- Yuan, Y.H.; Yang, J.Y.; Li, Y.; Li, W. Necessary conditions for coordination of dual-channel closed-loop supply chain. Technol. Forecast. Soc. Chang. 2020, 151, 119823. [Google Scholar] [CrossRef]
- Sun, D.Q.; Ma, X.Y. Pricing strategies and cooperative profit distribution based on game theory for reverse supply chains with multi-retailer participants. Comput. Integr. Manuf. Syst. 2012, 18, 867–874. (In Chinese) [Google Scholar]
- Ghalehkhondabi, I.; Ardjmand, E. Sustainable E-waste supply chain management with price/sustainability-sensitive demand and government intervention. J. Mater. Cycles Waste Manag. 2020, 22, 556–577. [Google Scholar] [CrossRef]
- Xie, J.M.; Jiang, M.T.; Qin, Q.; He, Y.; Xie, D.R. Recycling model of low-carbon and closed-loop supply chain considering government subsidies. Energy Sci. Eng. 2022, 10, 4382–4396. [Google Scholar] [CrossRef]
- Meng, Q.C.; Wang, Y.T.; Zhang, Z.; He, Y.Y. Supply chain green innovation subsidy strategy considering consumer heterogeneity. J. Clean. Prod. 2021, 281, 125199. [Google Scholar] [CrossRef]
- Lee, D. Who drives green innovation? A game theoretical analysis of a closed-loop supply chain under different power structures. Int. J. Environ. Res. Public Health 2020, 17, 2274. [Google Scholar] [CrossRef] [PubMed]
- Mahpour, A. Prioritizing barriers to adopt circular economy in construction and demolition waste management. Resour. Conserv. Recycl. 2018, 134, 216–227. [Google Scholar] [CrossRef]
- Yang, J.H.; Long, R.Y.; Chen, H.; Sun, Q.Q. A comparative analysis of express packaging waste recycling models based on the differential game theory. Resour. Conserv. Recycl. 2021, 168, 105449. [Google Scholar] [CrossRef]
- Xu, Z.; Wang, X.; Xiao, Y.; Yuan, J.F. Modeling and performance evaluation of PPP projects utilizing IFC extension and enhanced matter-element method. Eng. Constr. Archit. Manag. 2020, 27, 1763–1794. [Google Scholar] [CrossRef]
- Chen, L.; Bai, X.; Chen, B.; Wang, J.J. Incentives for green and low-carbon technological innovation of enterprises under environmental regulation: From the perspective of evolutionary game. Front. Energy Res. 2022, 9, 817. [Google Scholar] [CrossRef]
- Han, Y.T.; Zheng, H.X.; Huang, Y.C.; Li, X.W. Considering consumers’ green preferences and government subsidies in the decision making of the construction and demolition waste recycling supply chain: A stackelberg game approach. Buildings 2022, 12, 832. [Google Scholar] [CrossRef]
- Yu, C.; Wang, C.X.; Zhang, S.Y. Advertising cooperation of dual-channel low-carbon supply chain based on cost-sharing. Kybernetes 2020, 49, 1169–1195. [Google Scholar] [CrossRef]
- Zeng, J.W.; Li, B.Z. Research on cooperation strategy between government and green supply chain based on differential game. Open Math. 2019, 17, 828–855. [Google Scholar] [CrossRef]
- Zhang, F.; Di, P.; Ye, J.M. Government Compensation Modes, Enterprise Ownership, and Re-innovation of the Enterprise. Technol. Innov. Fail. Sci. Technol. Manag. Res. 2022, 42, 1–8. (In Chinese) [Google Scholar]
- Bimonte, G.; Ioppolo, G.; Senatore, L.; Trincone, B. Government eco-innovation incentives in a recycling system: A Stackelberg-type model. Bus. Strategy Environ. 2022, 311–319. [Google Scholar] [CrossRef]
- Liu, Y.; Quan, B.-t.; Xu, Q.; Forrest, J.Y.-L. Corporate social responsibility and decision analysis in a supply chain through government subsidy. J. Clean. Prod. 2019, 208, 436–447. [Google Scholar] [CrossRef]
- Li, C.H.; Wang, J.L.; Shi, Y.F. The Impact of Government Intervention and Cap-and-Trade on Green Innovation in Supply Chains: A Social Welfare Perspective. Sustainability 2022, 14, 7941. [Google Scholar] [CrossRef]





| Research Topics | Dimensions | References |
|---|---|---|
| CDW recycling PPP projects | Reasons why a mature CDW recycling market mechanism cannot be formed | [26,27] |
| Channels for solving CDW resource problems | [28,29] | |
| Research status of CDW recycling PPP projects | [30,31,32,33,34] | |
| Compensation mechanism during PPP projects operation period | Reasons for establishing a compensation mechanism for PPP projects | [20,35,36,37] |
| Compensation link between construction period and operation period of PPP projects | [38,39] | |
| The importance of the compensation mechanism during the operation period of PPP projects | [40,41] | |
| Recycling-remanufacturing two-stage performance | Performance management theory | [42] |
| Performance evaluation of PPP project operation period | [43,44,45] | |
| Two-stage performance research of recycling and remanufacturing | [25,46,47] |
| Symbols | Meaning Description |
|---|---|
| Effort level of social capital (m = 1 represents the recycling stage; m = 2 represents the remanufacturing stage; the same below) | |
| Recycling-remanufacturing two-stage project performance | |
| Random part, subject to normal distribution N (0, ) | |
| Social capital investment cost | |
| Effort cost coefficient of social capital recycling-remanufacturing two stages | |
| The interdependence coefficient of effort level in the two phases of social capital “recycling-remanufacturing” | |
| Basic market demand, > 0 | |
| Total market demand, > 0 | |
| Sales price of remanufactured products per unit CDW | |
| Total compensation from the government | |
| Performance compensation factor | |
| Marginal cost of government economic intervention, ϵ [0, 1] | |
| Unit CDW recovery price | |
| The proportion of consumers who are willing to participate in recycling behavior, ϵ [0, 1] | |
| Consumer green sensitivity coefficient, > 0 | |
| Degree of green development of remanufactured products | |
| Green technology innovation cost coefficient, > 0 | |
| The government’s compensation coefficient for social capital’s green technology innovation | |
| Remuneration that social capital will provide to consumers who voluntarily recycle CDW | |
| Social welfare | |
| Social capital profit | |
| Social capital retention utility | |
| Consumer surplus |
Disclaimer/Publisher’s Note: The statements, opinions and data contained in all publications are solely those of the individual author(s) and contributor(s) and not of MDPI and/or the editor(s). MDPI and/or the editor(s) disclaim responsibility for any injury to people or property resulting from any ideas, methods, instructions or products referred to in the content. |
© 2023 by the authors. Licensee MDPI, Basel, Switzerland. This article is an open access article distributed under the terms and conditions of the Creative Commons Attribution (CC BY) license (https://creativecommons.org/licenses/by/4.0/).
Share and Cite
Liu, Y.; Hao, J.; Li, C.; Li, Y.; Zhou, C.; Zheng, H.; Xu, S.; Chen, W.; Li, X. How Can Construction and Demolition Waste Recycling Public–Private Partnership Projects Performance Compensate during the Operation Period? A Two-Stage Perspective of Recycling and Remanufacturing. Systems 2023, 11, 170. https://doi.org/10.3390/systems11040170
Liu Y, Hao J, Li C, Li Y, Zhou C, Zheng H, Xu S, Chen W, Li X. How Can Construction and Demolition Waste Recycling Public–Private Partnership Projects Performance Compensate during the Operation Period? A Two-Stage Perspective of Recycling and Remanufacturing. Systems. 2023; 11(4):170. https://doi.org/10.3390/systems11040170
Chicago/Turabian StyleLiu, Yuxin, Jiekuo Hao, Chunhui Li, Yuejia Li, Chuyue Zhou, Haoxuan Zheng, Shiqi Xu, Weihong Chen, and Xingwei Li. 2023. "How Can Construction and Demolition Waste Recycling Public–Private Partnership Projects Performance Compensate during the Operation Period? A Two-Stage Perspective of Recycling and Remanufacturing" Systems 11, no. 4: 170. https://doi.org/10.3390/systems11040170
APA StyleLiu, Y., Hao, J., Li, C., Li, Y., Zhou, C., Zheng, H., Xu, S., Chen, W., & Li, X. (2023). How Can Construction and Demolition Waste Recycling Public–Private Partnership Projects Performance Compensate during the Operation Period? A Two-Stage Perspective of Recycling and Remanufacturing. Systems, 11(4), 170. https://doi.org/10.3390/systems11040170

