You are currently viewing a new version of our website. To view the old version click .
Systems
  • Article
  • Open Access

24 March 2023

How Can Construction and Demolition Waste Recycling Public–Private Partnership Projects Performance Compensate during the Operation Period? A Two-Stage Perspective of Recycling and Remanufacturing

,
,
,
,
,
,
,
and
College of Architecture and Urban-Rural Planning, Sichuan Agricultural University, Chengdu 611830, China
*
Author to whom correspondence should be addressed.
This article belongs to the Section Systems Engineering

Abstract

Research in the field of project management has focused on recycling construction and demolition waste (CDW). However, the problem of how to compensate for the performance of CDW recycling public–private partnership (PPP) projects during the operation period has not been resolved. This paper aims to reveal the compensation mechanism during the operation period of CDW recycling PPP projects considering the two-stage performance of recycling and remanufacturing. This paper takes CDW recycling PPP projects as the research object and uses the Stackelberg game and principal-agent theory to establish and solve the master-slave game decision model of CDW recycling PPP projects. The main conclusions are as follows. When social welfare is maximized, the performance compensation coefficients in the recycling and remanufacturing stages are the same and have homogeneity. In addition, the compensation policy positively promotes the two-stage performance, social capital profit and social welfare of the recycling and remanufacturing of CDW recycling PPP projects. This paper not only broadens the application knowledge system of the relevant knowledge of project management in the field of CDW recycling but also provides new evidence for principal-agent theory from the operation stage of CDW recycling PPP projects.

1. Introduction

Construction activity is on the rise as population growth and urbanization accelerate [1]. However, construction and demolition waste (CDW), generated by construction activities worldwide, accounts for approximately 35% of the world’s solid waste [2], and CDW in China accounts for 40% of the total municipal waste [3]. A large amount of CDW not only causes energy consumption and the waste of resources but also has serious adverse effects on the sustainability of the environment. CDW handling issues cannot be ignored. There are three methods of disposal for CDW: recycling, incineration and landfill [4]. Among them, the most environmentally friendly disposal method widely recognized by scholars is recycling CDW [5]. It is worth noting that the recovery rate of CDW varies from country to country. The recovery rate of CDW in the United States, Germany, Japan, Singapore and other developed countries (70–88%) [6] is much higher than that in China (5%) [7]. The utilization of CDW resources in developing countries is facing great challenges, especially in China.
The grim situation of CDW recycling has aroused great concern in academic circles. On the one hand, relevant research in Vietnam [8] and Belgium [9] has focused on the recovery system and economic drivers in the CDW treatment process to improve the recovery rate of CDW. On the other hand, Japan [10] and Italy [11] have paid more attention to the use of CDW after treatment, such as backfilling materials for foundation pits and making building materials such as ceramics and recycled aggregates. In China, public–private partnership (PPP) projects have been introduced into the field of CDW recycling [12]. Fortunately, CDW recycling PPP projects have solved the problem of garbage recycling and reuse while reducing the government’s financial burden. This makes the PPP model popular in the field of CDW resource utilization [13].
PPPs are a tool for forming synergy among public–private partners to deliver public services [14,15]. Evidence shows that CDW recycling PPP projects can promote environmental improvement while alleviating government financial pressure [11,16]. However, this model has a large capital flow and a relatively long cycle [17]. This has led to a low willingness of social capital to invest in CDW recycling PPP projects. Economic subsidies are the most common government financial incentives [18]. The government formulates compensation plans for social capital, which can motivate social capital to participate in PPP projects [19]. Therefore, revealing and designing the compensation mechanism for CDW resource utilization PPP projects is of great significance in the development of CDW recycling. The principal-agent theory provides theoretical support for the design of government compensation mechanisms in PPP projects. In CDW recycling PPP projects, the government and social capital act as the principal and agent, respectively [20]. The government entrusts social capital to operate the project through a franchise agreement, and both parties are independent interested individuals. Under the background of information asymmetry, social capital may engage in opportunistic behavior and expend less effort in actual operation [21]. This poses a threat to the realization of the government’s public policy objectives. The compensation mechanism has a positive effect on eliminating the threat of opportunism. Therefore, the principal-agent theory can be applied to solve the problem of government compensation [22]. Social capital output performance is an important measure of the development level of PPP projects. Research shows that by emphasizing the project output performance of social capital, the government can encourage social capital to actively invest in production while reducing the occurrence of opportunism, thereby achieving the dual effects of incentives and constraints [23]. Therefore, in PPP projects, it is necessary for the government to formulate a compensation mechanism based on the actual output performance of social capital [24].
Recycling and remanufacturing are two important activities of CDW resource utilization, and there is a strong interdependence between them. Social capital simply handles CDW in the recovery stage and provides raw materials for the remanufacturing stage [25]. In the remanufacturing stage, production of raw materials is used to make remanufactured products. The higher the performance level of this stage is, the greater the market demand for remanufactured products, which, in turn, stimulates more CDW to be processed in the recycling stage. In this case, considering the operation period of the PPP project as a whole obviously ignores its stages, which can affect the effect of government compensation. Therefore, the two-stage performance of recycling and remanufacturing should be considered in the performance evaluation of the operation stage of CDW recycling PPP projects. Unfortunately, no scholars have conducted in-depth research on this topic.
In summary, with regard to the compensation mechanism during the operation period of CDW recycling PPP projects, this paper focuses on answering the following three scientific questions. First, what are the optimal compensation mechanism of the government and the optimal decision of social capital when considering the performance of the two phases of the CDW recycling PPP projects operation period? Second, how will the government compensation policy affect the two-stage performance of recycling and remanufacturing? Third, how will the two-stage performance of recycling and remanufacturing affect social welfare and social capital’s profits?
To solve the above problems, the purpose of this paper is to reveal a compensation mechanism in the operation period of CDW recycling PPP projects by considering the two-stage performance of recycling and remanufacturing. The innovations of this paper are as follows. (1) For the first time, this paper reveals the compensation mechanism during the operation period of CDW recycling PPP projects through the principal-agent theory, which enriches the literature on principal-agent theory. (2) This paper is the first to analyze the two-stage performance of the recycling and remanufacturing of CDW recycling PPP projects through the Stackelberg game, which provides a new idea for project performance research. This paper not only provides a reference for countries and regions in the world to formulate policies related to CDW resource utilization but also provides social capital with a decision-making basis during the operation period of CDW recycling PPP projects.
The rest of this paper is structured as follows. Section 2 is the related literature review. Section 3 describes the problem. Section 4 establishes and solves two models of social capital not accepting compensation and social capital accepting compensation and analyses the models. Section 5 uses MATLAB software to carry out a numerical simulation to verify the proposition. Section 6 summarizes the conclusions of this paper and provides management implications for the government and enterprises.

2. Literature Review

In this chapter, the paper conducts a review of the literature from three aspects: CDW recycling PPP projects, the compensation mechanism during the PPP projects operation period, and recycling-remanufacturing two-stage performance. Table 1 shows the results of the literature review.
Table 1. Research on the CDW recycling PPP projects, compensation mechanism in operation period of PPP project and performance of recycling-remanufacturing two stages.

2.1. CDW Recycling PPP Projects

The academic community has launched a heated discussion on the development status of the CDW resource market and how to improve it. Li X et al. [26] mentioned that insufficient support from government policies and regulations is one of the reasons why the country cannot form a mature CDW recycling market mechanism. However, due to the large capital investment and long payback period of CDW recycling PPP projects [27], this leads to the low enthusiasm of enterprises to participate. PPP projects can fill the gap between engineering technology needs and a lack of government funds [28,29] and provide a new channel for effectively solving the problem of CDW resource utilization. Therefore, the introduction of public–private partnership PPP projects into the field of CDW resource utilization may solve the above problems.
On the one hand, most studies have considered the risk-sharing mechanism, income distribution model, public supervision, and government reward and punishment system and support policies of CDW recycling PPP projects [30,31]. Unfortunately, the existing research does not focus on the performance of CDW resourceful PPP projects in the operation stage.
On the other hand, scholars have realized that economic compensation can help support the operation of CDW recycling PPP projects. It can effectively reduce construction and operating costs to further improve economic benefits and can have a positive effect on environmental benefits [32]. However, the compensation mechanism of CDW recycling PPP projects has not been clearly revealed. CDW recycling PPP projects have the common attributes of general PPP projects [33]. However, compared with general PPP projects, it can also bring more environmental impacts. According to the NIMBY effect [34], CDW recycling PPP projects need more recognition and support, especially compensation from the government. Therefore, establishing a compensation mechanism is an urgent problem to be solved in CDW recycling PPP projects.

2.2. Compensation Mechanism during the PPP Projects Operation Period

The PPP model shows the characteristics of large capital flow and long cycles. These characteristics may lead to the inability to recover investment and maintenance costs during the operation of the project. The operation risk of PPP projects is high. To reduce the operational risk of PPP projects, government departments often compensate projects with financial support. It is worth noting that an inappropriate compensation mechanism will not only fail to play a positive role but will even aggravate the government’s fiscal risks [35]. Based on the altruistic theory [20] and bargaining game theory [36], scholars have put forward suggestions on the design of government compensation mechanisms by using the bilevel programming model [37] and the Monte Carlo simulation method [35].
In PPP projects, government departments usually provide direct compensation to the project during the construction period. However, during the operation period, social capital operates alone and is responsible for its own profits and losses. For this reason, in the current research, more scholars have focused on the direction of compensation during the construction period. Relevant scholars have successively confirmed that compensation during the construction period by the government has a significant role in promoting the success rate of project operations and social benefits [38]. At the same time, they calculated and adjusted the amount of government compensation during the construction period [39]. Under the consideration of dynamic uncertain factors, they determine the government’s optimal compensation mechanism [35]. A few scholars have paid attention to the importance of the PPP project operation period. However, their research is still limited to the impact of certain factors (such as the size of cash flow) on compensation during the entire operation stage [40]. Or research has been conducted on some common compensation measures and compensation models [41]. The compensation mechanism during the operation period has not been not clearly disclosed.
In the existing research, only a few scholars have paid attention to the operation period as the key stage for the success of PPP projects, and most of them are limited to overall compensation mechanism research during the operation period. In fact, the operation period of PPP projects is highly phased. For example, the operation period of the CDW recycling PPP project includes two stages: recycling and remanufacturing, which are both independent and interdependent. Therefore, it is unreasonable to regard the operation period as a whole when designing the compensation mechanism, but this aspect has not been clearly proposed and studied in depth by scholars.

2.3. Recycling-Remanufacturing Two-Stage Performance

PPP project performance research originated from the performance management of governments, enterprises and organizations and has received great attention from scholars [42]. A review of the relevant literature shows that the existing research on PPP projects performance mainly focuses on the dynamic two-stage measurement of PPP projects performance during the operation period [43], the evolution of opportunistic behavior [44], and the measurement model of dynamic network relaxation [45]. Existing research has made progress in the field of evaluating the performance of PPP projects during the operation period. However, there is no evidence to reveal the compensation mechanism of PPP projects performance. In particular, this includes the two-stage performance of CDW recycling PPP projects.
Recycling and remanufacturing are key links in the CDW resourceful industrial chain. If social capital wants to improve the performance of CDW recycling PPP projects during the operation period, then social capital should focus on the two stages of recycling and remanufacturing during the operation period. Some studies have explored the performance of the recycling stage and remanufacturing stage. On the one hand, existing research focuses on the impact of incentive policies in the recycling phase on the dynamic evolution process of CDW recycling and supply chain decision-making in the context of dual recycling channel performance [46,47]. On the other hand, the manufacturing capability of enterprises in the CDW remanufacturing stage has also received the attention of scholars relating to performance research [25]. Even if some scholars realize the importance of recycling and remanufacturing stage performance, they only focus on the behavior and results of recycling or remanufacturing. Relevant studies ignore the fact that the two-stage performance of recycling and remanufacturing is closely related as a whole, and it is difficult to provide a decision-making basis for CDW recycling PPP projects considering the two-stage performance.
In summary, existing studies have confirmed that government compensation is beneficial to the operation of CDW recycling PPP projects.
However, most studies on the government compensation mechanism have not comprehensively considered the two-stage performance of the CDW recycling PPP projects operation period. The literature on the performance of PPP projects during the operation period mainly focuses on evaluation research. It provides a basis for further in-depth analysis of the optimization of the two-stage performance of the PPP project’s operation period.

3. Problem Description

Government and social capital are the main body of CDW recycling PPP projects. During the operation period of recycling-remanufacturing two-stage CDW recycling PPP projects, this paper analyses the recycling and remanufacturing activities of CDW by social capital based on the principal-agent theory. The government provides social capital with a compensation plan according to its own decision-making objectives, and social capital chooses whether to accept it. Therefore, the game subject of this paper involves the leader (government) and followers (social capital) [48].
According to references [49,50,51,52,53,54,55,56,57,58], Table 2 shows the parameters and their meanings involved in this paper.
Table 2. Symbol description.

3.1. Model Assumptions

Assuming the absolute rationality of government and social capital, the decision-making goal of the game leader (government) is to maximize social welfare, and the decision-making goal of the game followers (social capital) is to maximize their own profits. For the government, social welfare is the sum of consumer surplus s and social capital profit π. For social capital, profit is the sum of sales revenue and government subsidies minus the input costs.
In this paper, the demand function [52] for remanufactured products is set as Q = a p + q 1 + q 2 + α g . The performance of social capital in the recycling stage and the remanufacturing stage has a positive effect on demand. That is, the greater the performance in the recycling stage or the remanufacturing stage, the greater the market demand. This paper does not consider other factors affecting the price of remanufactured products.
During the operation period of the two-stage CDW recycling PPP projects, the enthusiasm for social capital is increased, and the development of the CDW resource utilization supply chain is promoted. The government formulates a linear compensation plan M according to the two-stage project performance of social capital recycling and remanufacturing, M = β 1 q 1 + β 2 q 2 + μ × 1 2 i g 2 . Government compensation generally comes from public financial funds such as taxes, and the collection of public funds generally results in additional social costs. That is, the marginal cost of public finance funds exceeds one unit [53,54]. In this project, θ was used to measure the additional social cost brought by government compensation. This means that each unit of compensation that the government transfers to firms incur a cost of (1 + θ) units to society, θ     0 ,   1 .
The effort cost and green technology innovation cost constitute the input cost of social capital. Among them, the corresponding effort level of social capital in the two stages of recycling and remanufacturing is e m to realize the performance of the project operation period q m , q m = e m + ε m , (m = 1 represents the recycling stage, and m = 2 represents the remanufacturing stage). Suppose that the effort cost of social capital is ψ 1 = 1 2 c 1 e 1 2 + c 2 e 2 2 δ e 1 e 2 , δ 2 < c 1 c 2 , among them, c 1 and c 2 > 0 represents the effort cost coefficients of the social capital recovery stage and remanufacturing stage, respectively. δ > 0 indicates that the effort levels of the recycling phase and the remanufacturing phase are interdependent. Increasing the effort level of social capital in the recycling stage (the remanufacturing stage) reduces the marginal cost of its efforts in the remanufacturing stage (the remanufacturing stage). The green development degree (g) [55] of the remanufactured products produced by social capital is an important reference for the government to designate compensation plans. Therefore, social capital needs to determine the cost of green technology innovation [56,57] ψ 2 = 1 2 i g 2 during the operation period. In addition, to encourage consumers to participate more actively in the recycling of remanufactured products, social capital provides rewards P = t Q [58] to consumers who actively recycle CDW.
Based on the above assumptions and definitions, when government compensation exists, the profit of social capital consists of two parts: project profit and government compensation. Therefore, the expected profit of the private partner is expressed as: E π = p × EQ t × EQ 1 2 c 1 e 1 2 + c 2 e 2 2 δ e 1 e 2 + 1 2 i g 2 + β 1 e 1 + β 2 e 2 + μ × 1 2 i g 2 .
For a generalized price demand curve, consumer surplus can be defined as the difference between consumers’ willingness to pay and the generalized price. That is the area between the generalized price and demand curve. Only when the consumer’s willingness to pay exceeds the price of the product is the consumer willing to buy the product. The generalized price of the remanufactured products is γ = p e 1 e 2 + t . Combined with the demand function, Q = a γ + ε 1 + ε 2 + t + α g can be obtained. For any ε = ε 1 + ε 2 , the highest price consumers are willing to pay is a + ε + t + α g , and the lowest price is γ. Therefore, the consumer’s surplus can be expressed as γ a + ε + t + α g a x + ε + t + α g d x = 1 2 Q 2 . The expected consumer surplus is 1 2 E Q 2 = 1 2 a p + e 1 + e 2 + α g 2 + σ 2 . Since the government subsidy comes from public financial funds such as taxes, the total consumer surplus is Es = 1 2 a p + e 1 + e 2 + α g 2 + σ 2 1 + θ E β 1 q 1 + β 2 q 2 + μ × 1 2 i g 2 , and the total social welfare is Ew = E π + Es = p t a p + e 1 + e 2 + α g 1 2 c 1 e 1 2 + c 2 e 2 2 δ e 1 e 2 + 1 2 i g 2 + β 1 e 1 + β 2 e 2 + μ × 1 2 i g 2 + 1 2 a p + e 1 + e 2 + α g 2 + σ 2 1 + θ β 1 e 1 + β 2 e 2 + μ × 1 2 i g 2 .
In order to analyze the compensation mechanism of CDW recycling PPP projects, this paper constructs two situations where social capital does not accept government compensation and social capital accepts government compensation.

3.2. Game Order

The Stackelberg game is a game method that explores the master-slave game composed of two-game subjects. The decision-making of the two parties supported by the Stackelberg game has a sequence, i.e., the dominant agent makes the decision first, and the other agent makes the decision later [59]. In the operation stage of CDW recycling PPP projects, the government first makes compensation plan decisions, and social capital decides whether to accept compensation based on the government’s compensation plan decision. After that, social capital determines the level of effort and the degree of green development for the remanufactured products. Therefore, the characteristics of the subject’s decision-making in the Stackelberg game can solve the decision-making problem of the two game subjects of the government and social capital in CDW recycling PPP projects. In summary, the Stackelberg game method is applicable to two situations where social capital accepts government compensation, and social capital does not accept government compensation.
The game order is as follows. First, the government proposes a compensation plan ( β 1 , β 2 , μ ) . Second, social capital determines whether to accept the compensation plan to participate in the CDW resourceful PPP project. Their own choice was combined to determine the degree of green development of the remanufactured products and the two-stage effort level of recycling and remanufacturing. Then, the private partner makes efforts to achieve project performance during the recycling and remanufacturing stages according to its own decisions. Finally, the government pays compensation according to social capital’s green technology innovation input and two-stage performance. This paper designed Figure 1 with the above description of the game order. Figure 1 shows the decision-making of the government and social capital.
Figure 1. Game order.

4. Model Building and Analysis

4.1. Reference Model (RM)

When social capital does not accept the compensation plan, the decision-making model of social capital is the reference model, that is, the no-government compensation model. During the operation period of construction waste recycling projects, social capital is the only subject. According to Section 3.1, if the social capital does not accept government compensation, then the social capital only has project profits. Therefore, the decision-making objective of social capital is:
max   E π = p × a p + e 1 + e 2 + α g t × a p + e 1 + e 2 + α g 1 2 c 1 e 1 2 + c 2 e 2 2 δ e 1 e 2 + 1 2 i g 2
To maximize its own profits, social capital makes decisions based on the degree of green development of remanufactured products. Therefore, we can calculate the first derivative of Formula (1), as shown in Formula (2).
E π g = g i + p α t α
The next step is to determine the two-stage effort level and calculate the first derivative of Formula (1), as shown in Formula (3).
E π e m = p t c m e m + δ e n
If the profit of social capital takes the maximum value, that is, when Formulas (2) and (3) are equal to zero, the decision-making of social capital should meet the following conditions.
g R M = p α t α i
e m R M = p t δ + c n δ 2 c 1 c 2

4.2. Government Compensation Model (GCM)

In construction waste recycling PPP projects, the government generally formulates compensation plans for the purpose of maximizing social welfare. At the same time, social capital determines its own effort level according to the compensation plan provided by the government to maximize its own profit, and no less than its own utility is retained. According to Section 3.1, government and social capital should meet the following conditions.
max E w = p t a p + e 1 + e 2 + α g [ 1 2 c 1 e 1 2 + c 2 e 2 2 δ e 1 e 2 + 1 2 i g 2 ] + β 1 e 1 + β 2 e 2 + μ × 1 2 i g 2 + 1 2 a p + e 1 + e 2 + α g 2 + σ 2 ( 1 + θ ) ( β 1 e 1 + β 2 e 2 + μ × 1 2 i g 2 )
max   E π = p × ( a p + e 1 + e 2 + α g ) t × a p + e 1 + e 2 + α g 1 2 c 1 e 1 2 + c 2 e 2 2 δ e 1 e 2 + 1 2 i g 2 + β 1 e 1 + β 2 e 2 + μ × 1 2 i g 2
E π π 0
From the perspective of social capital, π 0 is the retained utility of social capital. Only when the profit obtained by the social capital is not lower than the retained utility will it choose to accept the government compensation plan and participate in the PPP project of construction waste recycling. From the perspective of social welfare, government subsidies increase social capital profits and lead to additional social costs. Therefore, the government will limit the number of government subsidies, thereby restricting social capital from obtaining higher profits. Therefore, social capital can only obtain its reserved utility, that is, E π = π 0 .
The Stackelberg game is based on the game order of the project subject, and the reverse induction method can be used to solve the model. First, the degree of green development should be considered for the remanufactured products of social capital. The first derivative of Formula (7) should be calculated, as shown in Formula (9).
E π g = g i + p α + g i μ t α
The next step considers the two-stage effort levels of social capital. The first derivative of Formula (7) should be calculated, as shown in Formula (10)
E π e m = p t c m e m + δ e n + β m
If the social capital profit takes the maximum value, that is, when Formulas (9) and (10) are equal to zero, social capital decision-making should meet the following conditions.
g G C M = p α + t α i 1 + μ
e m G C M = c n p t + β m + δ p t + β n δ 2 c 1 c 2
Next, government policy should be considered. Substitute the two-stage effort level Formula (9) and the remanufactured products green development level Formula (10) into the social welfare Formula (6). The optimal decision-making of the government and social capital can be obtained through reverse solving, and Proposition 1 is obtained after simplification.
Proposition 1. 
When social capital accepts the government compensation plan in the construction waste recycling PPP project. The government’s optimal compensation plan ( β 1 , β 2 , μ ), as well as the social capital’s remanufactured products green development degree (g) and two-stage effort level e 1 , e 2 , meet the following conditions.
β m = 2 i 1 + θ a δ 2 δ p D + δ + D δ t B E θ c 1 c 2 + p a c 1 c 2 + α 2 ABC 2 F α 2 C + i 1 + θ FC + 2 δ + E
μ = it δ 4 + θ 6 + δ + 2 δ θ A 2 pi δ + iBE + F it θ c 1 c 2 + 2 ai Cpi 2 + θ + 2 α 2 B i FC 2 a t + B θ B θ 2 δ + E
g = α FC 2 a t + B θ B θ 2 δ + E 2 F α 2 C + i 1 + θ FC + 2 δ + E
e m = B α 2 θ 2 i 1 + θ B θ t δ + c n 2 F α 2 C + i 1 + θ FC + 2 δ + E
Note, A = 2 + 3 θ ,   B = p t ,   C = δ 2 c 1 c 2 ,   D = 2 + δ θ ,   E = c 1 + c 2 ,   F = 1 + 2 θ .
Inference 1. The optimal compensation mechanism provided by the government has the following characteristics. (1) During the operation period, the optimal performance compensation coefficients in the recycling stage and the remanufacturing stage are the same. (2) Taking the first derivative of c with respect to β and μ, we can obtain β m c m n < 0 and μ c m n < 0. The results indicate that the two-stage performance compensation coefficient and the green technology innovation compensation coefficient are negatively correlated with the two-stage effort cost coefficient c. (3) Taking the first derivative with respect to δ for β and μ, we can obtain β m δ > 0 and μ δ > 0. The results indicate that the two-stage performance compensation coefficient and the green technology innovation compensation coefficient are positively correlated with the interdependence coefficient δ.
Inference 1 shows that the government compensates for the performance of the social capital recovery stage and the performance of the remanufacturing stage to the same extent. The government formulates a compensation plan based on the maximization of social welfare. The government should give the social capital recovery stage and the remanufacturing stage the same degree of performance compensation. Under the compensation plan given by the government, social capital allocates the level of effort reasonably to maximize its own profits.
Inference 2. The green development degree and two-stage effort level of social capital remanufactured products have the following characteristics. (1) Taking the first derivative of g with respect to c m , we can obtain g c m < 0. The results indicate that the degree of green development of the social capital remanufactured products is negatively correlated with the two-stage effort cost coefficient c. (2) Taking the first derivative of e with respect to c, we can obtain e m c m n < 0. The results indicate that the two-stage effort level of social capital is negatively correlated with the two-stage effort cost coefficient c.
Inference 2 shows that when the coefficient of effort cost increases, the difficulty of social capital effort increases. In other words, social capital needs to expend more effort to achieve the same two-stage performance. Therefore, when the effort cost coefficient increases, social capital controls the total cost by reducing the green development degree and the effort level of the remanufactured products.

4.3. Recycling-Remanufacturing Two-Stage Performance Comparison Analysis

To explore the influence of the government compensation policy on the performance of construction waste recycling PPP projects, this section compares project performance for the baseline model and the government compensation model.
Proposition 2. 
When θ 0 , 1 , q m R M < q m G C M .
Proposition 2 is as follows. (1) When θ 0 , 1 , the government compensation policy is beneficial to the two-stage performance increase. The two-stage performance after social capital accepts that the compensation plan is always greater than the two-stage performance when private capital does not accept the compensation plan. (2) Taking the first derivative of q m G C M with respect to θ, we can obtain q m G C M θ < 0 . The results indicate that when private capital accepts the government’s compensation policy, the marginal cost of government compensation has a negative impact on the two-stage performance. The government’s compensation goal is to maximize social welfare. Therefore, the marginal cost of government economic intervention in society is a key consideration when formulating compensation policies. That is, the smaller the marginal cost of government compensation, the greater the incentive of the government’s compensation policy to social capital, and the higher the two-stage performance. (3) Taking the first derivative of q m R M with respect to θ, we can obtain q m R M θ = 0 . The results indicate that when social capital does not accept the government’s compensation policy, the two-stage performance is not affected by the marginal cost of government compensation. Considering capital constraints and risk aversion, social capital only realizes a two-stage performance when its own profit is maximized. This means that social capital reduces investment in green technology innovation and leads to a lower level of effort in the decision-making stage. Thus, it is difficult to achieve a high two-stage performance.
Proposition 3. 
Define Δ q R M = q 1 R M q 2 R M , Δ q G C M = q 1 G C M q 2 G C M , when θ 0 , 1 , Δ q R M < Δ q G C M .
Proposition 3 states the following conclusion. (1) Under the government compensation policy, the absolute value of the two-stage performance difference is greater than that of the two-stage performance difference without government compensation. The difference in project performance caused by the different levels of effort in the two stages is exacerbated by the government compensation policy. It effectively promotes the reasonable distribution of social capital’s effort level in the two stages of recycling and remanufacturing. Therefore, higher project operation performance can be obtained. (2) Taking the first derivative of Δ q m G C M with respect to θ , we can obtain Δ q m G C M θ < 0 . The results indicate that under the condition of government compensation, the performance difference between the two stages is negatively related to the unit government economic intervention cost. When the marginal cost of government economic intervention is low, the government can formulate a higher compensation plan. Social capital has the incentive to allocate resources reasonably and invest in green technology innovation in the two stages of recycling and remanufacturing during the operation period. (3) Taking the first derivative of Δ q m R M with respect to θ , we can obtain Δ q m R M θ = 0 . The results indicate that in the case of no government compensation, the performance difference between the two stages is not related to the unit government economic intervention cost. At this time, social capital only allocates two-stage effort levels with the goal of maximizing its own profits.

4.4. Effects of Recycling-Remanufacturing Two-Phase Performance on Different Decision Goals

To study the impact of recycling-remanufacturing two-stage performance on different decision-making objectives. We will specifically analyze the effect of performance on social capital profits and social welfare.
Proposition 4. 
The impact of recycling-remanufacturing two-stage performance on social capital profits.
  • When q m 0 , q m 1 , the profit of social capital is positively correlated with the two-stage performance of recycling and remanufacturing.
  • When q m q m 1 , + , the profit of social capital is negatively correlated with the two-stage performance of recycling and remanufacturing.
  • When q m = q m 1 , social capital profit has a maximum value.
Proposition 4 states the following conclusion. (1) The impact of the two-stage performance on the social capital profit shows a parabolic trend. When the two-stage performance is in the appropriate range, the social capital profit reaches the maximum value. (2) When the two-stage performance of “recycling-remanufacturing” is at a low level, the effort level of social capital in the project operation period is relatively conservative. At the same time, the cost of green technology innovation is relatively low. This means that social capital can increase its own profits by adjusting decision-making plans. (3) When the two-stage performance of “recycling-remanufacturing” is at a high level, the two-stage performance has a higher impact on the social capital profit. Therefore, social capital must invest a great deal of effort to maintain operations. The government only compensates social capital according to the pre-agreed compensation contract. However, the negative impact of an excessive two-stage performance on social capital profit is more significant. Therefore, the social capital profit decreases as the two-stage performance increases.
Proposition 5. 
Effects of recycling-remanufacturing two-stage performance on social welfare.
  • When q m 0 , q m 2 , social welfare is positively correlated with the two-stage performance of recycling and remanufacturing.
  • When q m q m 2 , + , social welfare is negatively correlated with the two-stage performance of recycling and remanufacturing.
  • When q m = q m 2 , social welfare has a maximum value.
Proposition 5 shows the following. (1) The impact of the recycling and remanufacturing two-stage performance on social welfare shows a parabolic trend. Regardless of whether social capital accepts government compensation, the performance of the two stages that are too high or too low leads to a reduction in social welfare. Only when the two-stage performance of recycling and remanufacturing is in the appropriate range can the government achieve the decision-making goal of maximizing social welfare. (2) When the two-stage performance of recycling and remanufacturing is at a low level, according to the market demand function, the market demand for the remanufactured product is low at this time. Therefore, the profit available to social capital is limited. In addition, consumer surplus is positively correlated with the two-stage performance of recycling and remanufacturing (proof E s q m > 0 ), and consumer surplus is low at this time. As a result, social welfare does not reach its maximum value. (3) When the two-stage performance of recycling and remanufacturing is at a high level, the input cost of social capital increases significantly. This increase is far greater than the sales revenue of the construction waste remanufactured products. Even though consumer surplus increases with the increase in two-stage performance at this time, the increase is less than the decrease in social capital profit. In this case, as the performance of recycling and remanufacturing increases, social welfare decreases.

5. Numerical Simulation

To verify the correctness of the above models and propositions, this section uses MATLAB software for numerical simulation and model analysis. In the case of meeting the assumptions of the model in this paper, we refer to the assignment ideas in the literature [60,61,62]. Table 3 shows the initial values of the parameters and the source paper.
Table 3. The initial values of the parameter.

5.1. Effects of Effort Cost on the Decision-Making of Government and Social Capital

According to Inference 1, the government pays the same performance compensation coefficient to the recycling and remanufacturing stages. The effect of the effort cost coefficient on the two-stage performance compensation coefficient is homogeneous. If c n = 6 , c m 6 , 12 , the effect of the effort cost coefficient c m on the performance compensation coefficient and green technology innovation compensation coefficient can be obtained. Figure 2 shows the influence of the effort cost coefficient based on the simulation analysis on the two-stage performance compensation coefficient, the green technology innovation compensation coefficient, and the green development degree of remanufactured products. According to Figure 2a, having the same performance compensation coefficient in the recycling and remanufacturing stages can avoid the opportunism of social capital. If the performance compensation coefficients of the two stages are different, social capital may receive higher compensation. In addition, more effort costs can be paid for the stage with a higher performance compensation coefficient. As a result, the effort levels of the two stages cannot be reasonably distributed.
Figure 2. The effect of the effort cost coefficient on the two-stage performance compensation coefficient, green technology innovation compensation coefficient and green development degree of the remanufactured products. (a) The effect of the effort cost coefficient on the two-stage performance compensation coefficient. (b) The effect of the effort cost coefficient on the green technology innovation compensation coefficient. (c) The effect of the effort cost coefficient on the green development degree of the remanufactured products.
Figure shows that an increase in the effort cost coefficient means a decrease in effort efficiency. The same effort level of social capital pays more effort cost. When efforts are less efficient, the private partner slacks off when operating the project. To reduce costs, social capital reduces its own efforts and investment in green technology innovation. According to Figure 2b, the government reduces the compensation coefficient to urge social capital.
Figure 2a,b shows that the interdependence of the recycling stage and the remanufacturing stage effort level increases. This means that increasing the effort level of one stage reduces the marginal cost of another stage. The investment cost of social capital decreases accordingly. In this case, the government increases the performance compensation coefficient and the green technology innovation compensation coefficient. This is conducive to promoting social capital to continue to improve the level of effort and increase the intensity of green technology innovation to achieve a win–win situation.
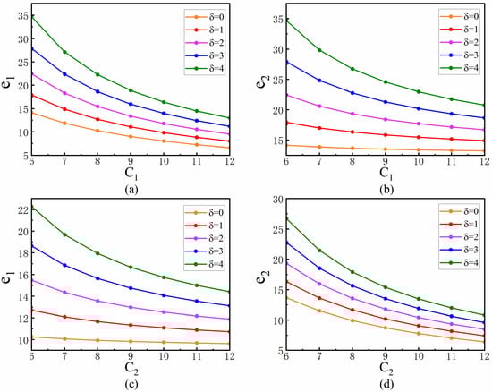
When c n = 6 , c m 6 , 12 , Figure 2c shows the effect of the effort cost coefficient c m on the green development degree of remanufactured products. Social capital consists of effort costs and green technology innovation costs. The two-stage performance of recycling and remanufacturing is improved to a certain extent due to the increase in effort cost. It reduces the investment in remanufactured products and green technology innovation; otherwise, it increases the economic pressure on social capital. Figure 2c shows that the increase in the effort cost coefficient and the decrease in the interdependence degree coefficient of the two-stage effort levels lead to an increase in the effort cost. At this moment, the degree of green innovation for remanufactured products is at a low level. In addition, Figure 3 shows the effect of the effort cost coefficient in the two stages of recycling and remanufacturing on the effort level of social capital recycling and remanufacturing and the analysis results. According to Figure 3, the two-stage effort cost coefficients c 1 and c 2 have the same impact on the social capital effort level e m when the coefficient of the interdependence degree of effort level in the recycling and remanufacturing stages is constant. With the increase in effort cost coefficients c 1 and c 2 , the effort level e m of social capital decreases. However, according to Figure 3a,d, the social capital effort level e m decreases more obviously with the increase in the effort cost coefficient c m . According to Figure 3b,c, we know that as the effort cost coefficient c n increases, the e m downward trend is relatively gentle. The increase in the effort cost coefficient indicates that increasing the effort level costs more. Due to financial pressure, social capital reduces investment in this stage of efforts. The improvement of the interdependence degree coefficient of the effort level in the two stages is beneficial to reducing the effort cost. This increases the effort level of social capital. Therefore, the degree of interdependence coefficient of the effort level is conducive to weakening the influence of the effort cost coefficient on the effort level.
Figure 3. The effect of the two-stage effort cost coefficient of recycling and remanufacturing on the effort level of social capital recycling and remanufacturing. (a) The effect of the effort cost coefficient of recycling stage on the effort level of social capital recycling stage. (b) The effect of the effort cost coefficient of recycling stage on the effort level of social capital remanufacturing stage. (c) The effect of the effort cost coefficient of remanufacturing stage on the effort level of social capital recycling stage. (d) The effect of the effort cost coefficient of remanufacturing stage on the effort level of social capital remanufacturing stage.

5.2. Comparison Analysis of Recycling-Remanufacturing Two-Stage Performance

As θ 0 ,   1 , Figure 4 shows the effect of unit government economic intervention cost on performance.
Figure 4. Effect of the unit economic intervention cost on the two-stage performance of recycling and remanufacturing. (a) The effect of unit economic intervention cost on the performance of recycling and remanufacturing stages. (b) The effect of unit economic intervention cost on the performance difference between the recycling and remanufacturing stages.
Figure 4a shows that government compensation policies can significantly improve the two-stage performance of CDW recycling PPP projects. However, the level of performance decreases as the cost of government economic intervention increases. Without compensation from the government, the two-stage performance is not affected by the cost of government economic intervention and is at a low level. The smaller the cost of government economic intervention is, the smaller the social cost caused by government compensation is. Therefore, the government can appropriately increase the compensation coefficient to encourage social capital and improve performance. Figure 4b shows that in the case of government compensation, the smaller the unit government economic intervention cost is, the larger the performance difference between the two stages.

5.3. Effects of Recycling-Remanufacturing Two-Phase Performance on Different Decision Goals

When q m 0 ,   60 , Figure 5 shows the effect of the available effort level on social capital profit and social welfare.
Figure 5. The impact of recycling and remanufacturing two-stage performance on social capital profits and social welfare. (a) The impact of recycling stage performance on social capital profits. (b) The impact of remanufacturing stage performance on social capital profits. (c) The impact of recycling stage performance on social welfare. (d) The impact of remanufacturing stage performance on social welfare.
Figure 5 shows that under the condition of the same performance, the government compensation policy is obviously beneficial to the profit of social capital and the increase in social welfare. When the two-stage performance is low, that is, q m 0 , q m 1 , social welfare and social capital profit increase with performance. At this time, a win–win situation is achieved, and Pareto optimization can be realized. As the two-stage performance increases, q m q m 1 , q m 2 the profit of social capital decreases, but social welfare continues to increase, which can realize the Kaldor improvement. However, when the two-stage performance is too high, that is, q m q m 2 , + , the profit of social capital and social welfare will decline. This means that the government and social capital should not blindly pursue an excessive two-stage performance.
In Figure 5a,b, the government compensation policy can increase the profit of social capital, which is the joint result of the government’s economic compensation and the improvement of social capital’s effort level. When the two-stage performance is low, the social capital’s funds and enthusiasm for participation are limited. Even if the performance is improved, the increase in social capital profits is relatively small. When the two-stage performance is too high, that is, q m q m 1 , + the gradual increase in performance leads to excessive expenditure costs in the recycling and remanufacturing phases. As a result, losses cannot be recovered, and social capital profits decline. However, government compensation can properly mitigate the adverse effects of profit losses. However, it cannot fully compensate for the loss of the enterprise.
In Figure 5c,d, when the performance of social capital in the two stages is low, that is, q m 0 , q m 2 , as the performance increases, the effort level of social capital increases in both phases. The consumers’ willingness to pay also increases accordingly, and social welfare gradually increases. When the two-stage performance level is too high, that is, q m q m 2 , + . The loss caused by the increase in the performance of the two stages is too high. Although consumer surplus is still increasing at this time, its increase is not as high as the increase in losses. Therefore, social welfare decreases.
In summary, social capital allocates the effort level reasonably and controls the two-stage performance level. Social capital pursues performance improvement while ensuring profits. It can not only reduce losses but also make social welfare and social capital profits as optimal as possible. Therefore, the government focuses on the series of target changes brought about by performance improvement. The government considers the compensation policy formulated from many aspects. This will be better than a compensation policy that only considers the two-stage performance of recycling and remanufacturing.

6. Discussion

This paper describes the compensation mechanism during the operation period of CDW recycling PPP projects based on the two-stage performance of recycling and remanufacturing. This section discusses the influence of effort cost on the decision-making of government and social capital (Section 6.1), the two-stage performance of recycling and remanufacturing (Section 6.2), and social capital profits and social welfare (Section 6.3).

6.1. The Influence of Effort Cost on the Decision-Making of Government and Social Capital

In CDW recycling PPP projects, the government’s compensation plan includes performance compensation and green technology innovation compensation.
On the one hand, this paper believes that the government’s performance compensation coefficient is negatively correlated with the effort cost coefficient. This is because of a reduction in effort efficiency, which is the same conclusion as Yang et al. [70]. Different from the performance evaluation model based on industry-based categories constructed by Xu et al. [71], this paper argues that the government’s compensation plan is based on two-stage performance evaluation. This is because our research is based on two stages of recycling and remanufacturing during the operation period of CDW recycling PPP projects, which is more in line with the characteristics of the CDW recycling industry.
On the other hand, Chen et al. [72] and Han et al. [73] analyzed government decision-making and found that the degree of compensation for green technology innovation was positively correlated with the degree of green development of remanufactured products. However, by analyzing the effort cost of social capital during the operation period, this paper found that the degree of compensation for green technology innovation and the degree of green development of remanufactured products were both negatively affected by the coefficient of effort cost. The new findings of this paper provide evidence for the relationship between the degree of compensation for green technology innovation and the degree of green development of remanufactured products for the field of construction waste recycling PPP project management.
In addition, this paper finds that the effort level of social capital is negatively correlated with the effort cost coefficient, which is the same as the research conclusion of Yu et al. [74] and Zeng et al. [75]. However, unlike [74,75], who regarded the effort level as a whole, this paper divides the effort level into the recycling stage effort level and remanufacturing stage effort level according to project characteristics.

6.2. Two-Stage Performance of Recycling and Remanufacturing

Recycling performance and remanufacturing performance are important indicators of CDW recycling PPP projects’ performance. Through numerical analysis, this paper verifies that the government compensation policy can improve the two-stage performance of recycling and remanufacturing. The findings of Zhang et al. [76] and Bimonte et al. [77] also confirm that government compensation can improve performance. In addition, although Bimonte et al. considered the environmental performance of CDW recycling, they did not realize that the process of recycling construction waste was staged. The two-stage performance of recycling and remanufacturing analyzed in this paper provides a new idea for the performance of CDW recycling PPP projects in the operation period.

6.3. Social Capital Profits and Social Welfare

This paper argues that government compensation policies can increase social capital profits. Therefore, before the CDW recycling PPP project operation period, social capital has the motivation to accept the government’s compensation policy. If social capital wants a higher compensation amount, it can choose to appropriately increase its own effort level. However, an excessively high level of effort will lead to excessive investment costs, and the profit of social capital is reduced instead. The above findings provide a reference for the decision-making of social capital in the operation of CDW recycling PPP projects.
The purpose of the government in CDW recycling PPP projects is to maximize social welfare. This paper verifies that government compensation policy can improve social welfare through numerical simulation, which is consistent with the research conclusion of Liu et al. [78]. Due to the high recovery and remanufacturing, two-stage performance can lead to a reduction in social welfare. Therefore, the government cannot only pursue high recycling and the remanufacturing two-stage performance. The above conclusions are the same as those of Li et al. [79]. However, the government has greater incentives to pursue high performance in CDW recycling PPP projects. If the government properly participates in the operation of social capital, it will help improve social welfare. However, if the government controls the operation of social capital excessively, this may reduce social welfare.

7. Conclusions and Implications

7.1. Conclusions

This paper uses the Stackelberg game method to construct and solve the government non-compensation and government compensation models. We compared the two-stage performance of CDW recycling PPP projects in the two cases. Then, we analyzed the impact of government compensation on the two-stage performance. In addition, we analyzed the changes in social welfare and social capital profit under optimal compensation. Furthermore, we reveal the compensation mechanism of CDW recycling PPP projects during the operation period considering the two-stage performance of recycling and remanufacturing. The specific research conclusions are as follows.
First, when social welfare is maximized, the performance compensation coefficients of the government for the recycling and remanufacturing stages are the same and homogeneous. The performance compensation coefficient of the government, the compensation coefficient of green technology innovation, the green development degree of social capital remanufactured products, and the effort level are all negatively correlated with the effort cost coefficient. However, they are all positively correlated with the degree of interdependence coefficient for the effort level in the recycling and remanufacturing stages.
Second, the compensation policy promotes the recovery and remanufacturing performance of CDW recycling PPP projects. However, the two-stage performance level is a decreasing function of the cost of government economic intervention. However, as the cost of economic intervention per unit of government increases, such a promotional effect also weakens. Only when the unit government’s economic intervention cost is low does it have a high two-stage performance level.
Third, the compensation policy promotes the social capital profits and social welfare of CDW recycling PPP projects. However, a two-stage performance that is too high or too low reduces the social capital profit and social welfare. Only when the two-stage performance is at an appropriate level does the social capital profit and social welfare achieve their maximum value.

7.2. Management Implications

This paper considers the two-stage performance of recycling and remanufacturing during the operation period. It has enriched the research on the compensation mechanism of CDW recycling PPP projects. It provides a reference for the decision-making of public and private parties involved in CDW recycling PPP projects.
(1) From the perspective of the government, formulating a reasonable compensation policy can improve the two-stage performance of recycling and remanufacturing. It is conducive to improving social welfare and social capital profits to achieve a win–win situation. When designing the compensation plan, the government should pay attention to the stages of the operation period of CDW recycling PPP projects. The government should give the recycling and remanufacturing two stages the same performance compensation coefficient to improve project performance.
When the effort cost coefficient of social capital is high, the effort efficiency decreases. The government can appropriately reduce the two-stage performance compensation coefficient and the green technology innovation compensation coefficient to supervise social capital.
(2) From the perspective of social capital, choosing to accept the government’s compensation policy can obtain higher economic and public benefits. In the two stages of recycling and remanufacturing, social capital should actively integrate resources and allocate inputs reasonably. When the cost of government economic intervention is too high, social capital can appropriately increase the level of effort. When the cost of government economic intervention is too high, social capital can appropriately increase the level of effort to improve the two-stage performance of recycling and remanufacturing. In addition, social capital cannot blindly rely on compensation to obtain more profits. Social capital can improve its own green technology innovation research and development capabilities and the green development of remanufactured products. Furthermore, they gain more consumers’ favor to increase their own profits.
(3) In the future, the model constructed by this paper can be further verified in the operation phase of PPP projects and in other developing countries or regions. However, when analyzing PPP project operation problems in other countries or regions based on this paper, attention should be given to the heterogeneity of game players and decision variables. Moreover, in addition to the background of construction waste recycling, this paper can provide new modeling ideas for PPP projects in other backgrounds.

7.3. Limitations and Prospects

This paper fills the gap in the research on the compensation mechanism of CDW recycling PPP projects from the perspective of the two-stage performance of recycling and remanufacturing. However, there are also the following limitations.
First, this paper discusses the compensation mechanism during the operation period of CDW recycling PPP projects. However, in reality, the construction period and operation period of PPP projects are closely linked. Future research should simultaneously consider the multistage nature of the construction period.
Second, this paper only considers the government compensation policy. In practical problems, government regulation usually includes government compensation and government punishment. Future research should incorporate government penalty policies into the model to further analyze changes in government and social capital decision making.
Finally, this paper only considers the form of direct economic compensation from the government to social capital. Future research should further consider compensation forms such as government subsidies to consumers and enrich the research on the compensation mechanism during the operation period of CDW recycling PPP projects.

Author Contributions

Methodology, Validation, Formal Analysis, Investigation, Resources, Data Curation, Writing—Original Draft, Writing—Review and Editing, Visualization, Y.L. (Yuxin Liu); Conceptualization, Methodology, Writing—Original Draft, Supervision, Project Administration, X.L.; Writing—Review and Editing, J.H., C.L., Y.L. (Yuejia Li), C.Z., H.Z., S.X. and W.C. All authors have read and agreed to the published version of the manuscript.

Funding

This work was supported by the National Natural Science Foundation of China (grant number 72204178), the Natural Science Foundation of Sichuan, China (grant number 2023NSFSC1053), the National College Students Innovation and Entrepreneurship Training Plan (grant number 202210626026), the Undergraduate Training Program for Innovation and Entrepreneurship of Sichuan Agricultural University (grant number 202210626026), and the Undergraduate Research Interest Cultivation Program of Sichuan Agricultural University (grant numbers 2023030, 2023024).

Data Availability Statement

Not applicable.

Conflicts of Interest

The authors declare no conflict of interest.

References

  1. Peng, X.X.; Jiang, Y.S.; Chen, Z.H.; Osman, A.I.; Farghali, M.; Rooney, D.W.; Yap, P.S. Recycling municipal, agricultural and industrial waste into energy, fertilizers, food and construction materials, and economic feasibility: A review. Environ. Chem. Lett. 2023, 21, 765–801. [Google Scholar] [CrossRef]
  2. Freitas, L.A.R.U.; Magrini, A. Waste Management in Industrial Construction: Investigating Contributions from Industrial Ecology. Sustainability 2017, 9, 1251. [Google Scholar] [CrossRef]
  3. Liang, X.D.; Lin, S.F.; Bi, X.Y.; Lu, E.F.; Li, Z. Chinese construction industry energy efficiency analysis with undesirable carbon emissions and construction waste outputs. Environ. Sci. Pollut. Res. 2021, 28, 15838–15852. [Google Scholar] [CrossRef] [PubMed]
  4. Sanjaya, E.; Abbas, A. Plasma gasification as an alternative energy-from-waste (EFW) technology for the circular economy: An environmental review. Resour. Conserv. Recycl. 2023, 189, 106730. [Google Scholar] [CrossRef]
  5. Ginga, C.P.; Ongpeng, J.M.C.; Daly, M.K.M. Circular economy on construction and demolition waste: A literature review on material recovery and production. Materials 2020, 13, 2970. [Google Scholar] [CrossRef] [PubMed]
  6. Bayram, B.; Greiff, K. Life cycle assessment on construction and demolition waste recycling: A systematic review analyzing three important quality aspects. Int. J. Life Cycle Assess. 2023, 28, 1–23. [Google Scholar] [CrossRef]
  7. Xiao, X.W.; Feng, D.K.; Tian, W. Present situation and suggestions on recycling and utilization of construction waste in China. Constr. Tech. 2015, 44, 6–8. [Google Scholar]
  8. Lockrey, S.; Nguyen, H.; Crossin, E.; Verghese, K. Recycling the construction and demolition waste in Vietnam: Opportunities and challenges in practice. J. Clean. Prod. 2016, 133, 757–766. [Google Scholar] [CrossRef]
  9. Di Maria, A.; Eyckmans, J.; Van Acker, K. Downcycling versus recycling of construction and demolition waste: Combining LCA and LCC to support sustainable policy making. Waste Manag. 2018, 75, 3–21. [Google Scholar] [CrossRef]
  10. Kanda, Y. Spark plasma sintering using calcareous waste concrete powder. Constr. Build. Mater. 2022, 349, 128726. [Google Scholar] [CrossRef]
  11. Santolini, E.; Bovo, M.; Barbaresi, A.; Torreggiani, D.; Tassinari, P. LCA of virgin and recycled materials to assess the sustainability of paved surfaces in agricultural environment. J. Clean. Prod. 2023, 393, 136291. [Google Scholar] [CrossRef]
  12. Zhou, C.Y.; He, J.R.; Li, Y.J.; Chen, W.H.; Zhang, Y.; Zhang, H.; Xu, S.Q.; Li, X.W. Green Independent Innovation or Green Imitation Innovation? Supply Chain Decision-Making in the Operation Stage of Construction and Demolition Waste Recycling Public–Private Partnership Projects. Systems 2023, 11, 94. [Google Scholar] [CrossRef]
  13. Liu, J.K.; Hua, Z.W.; Pang, Y.S.; Wang, X.T. Risk sharing for PPP project in construction waste recycling industry in China. Environ. Sci. Pollut. Res. 2022, 29, 12614–12628. [Google Scholar] [CrossRef]
  14. Kukah, A.S.K.; Owusu-Manu, D.-G.; Badu, E.; Edwards, D.J. Reasons for entering into Ghanaian public-private partnership (PPP) power projects. J. Eng. Des. Technol. 2022; ahead-of-print. [Google Scholar] [CrossRef]
  15. Balcilar, M.; Uzuner, G.; Nwani, C.; Bekun, F.V. Boosting Energy Efficiency in Turkey: The Role of Public–Private Partnership Investment. Sustainability 2023, 15, 2273. [Google Scholar] [CrossRef]
  16. Liang, Q.X.; Hu, H.; Wang, Z.J.; Hou, F. A game theory approach for the renegotiation of Public-Private Partnership projects in Chinese environmental and urban governance industry. J. Clean. Prod. 2019, 238, 117952. [Google Scholar] [CrossRef]
  17. Wang, Y.; Wang, Y.J.; Wu, X.Y.; Li, J.W. Exploring the Risk Factors of Infrastructure PPP Projects for Sustainable Delivery: A Social Network Perspective. Sustainability 2020, 12, 4152. [Google Scholar] [CrossRef]
  18. Koengkan, M.; Fuinhas, J.A.; Osmani, F.; Kazemzadeh, E.; Auza, A.; Alavijeh, N.K.; Teixeira, M. Do financial and fiscal incentive policies increase the energy efficiency ratings in residential properties? A piece of empirical evidence from Portugal. Energy 2022, 241, 122895. [Google Scholar] [CrossRef]
  19. Ahlrichs, J.; Rockstuhl, S.; Tränkler, T.; Wenninger, S. The impact of political instruments on building energy retrofits: A risk-integrated thermal Energy Hub approach. Energy Policy 2020, 147, 111851. [Google Scholar] [CrossRef]
  20. Wang, Y.L.; Liu, J.C.; Gao, R.L.; Huang, B.G. Government Subsidies in Public-Private Partnership Projects Based on Altruistic Theory. Int. J. Strateg. Prop. Manag. 2020, 24, 153–164. [Google Scholar] [CrossRef]
  21. Pasiouras, F.; Samet, A. Social capital and the cost of bank equity: Cross-country evidence. J. Bank. Financ. 2022, 141, 106535. [Google Scholar] [CrossRef]
  22. Wang, L.; Pan, F. Incentive Mechanism Analysis of Environmental Governance Using Multitask Principal–Agent Model. Sustainability 2023, 15, 4126. [Google Scholar] [CrossRef]
  23. Xu, X.G.; Xu, T.T.; Gui, M.Z. Incentive Mechanism for Municipal Solid Waste Disposal PPP Projects in China. Sustainability 2020, 12, 7686. [Google Scholar] [CrossRef]
  24. Feng, Z.; Zhang, S.B.; Gao, Y.; Zhang, S.J. Subsidizing and pricing private toll roads with noncontractible service quality: A relational contract approach. Transp. Res. Part B Methodol. 2016, 91, 466–491. [Google Scholar] [CrossRef]
  25. Li, X.W.; Huang, R.; Dai, J.; Li, J.; Shen, Q. Research on the Evolutionary Game of Construction and Demolition Waste (CDW) Recycling Units’ Green Behavior, Considering Remanufacturing Capability. Int. J. Environ. Res. Public Health 2021, 18, 9268. [Google Scholar] [CrossRef] [PubMed]
  26. Li, X.W.; Dai, J.C.; Li, J.R.; He, J.R.; Liu, X.; Huang, Y.C.; Shen, Q. Research on the Impact of Enterprise Green Development Behavior: A Meta-Analytic Approach. Behav. Sci. 2022, 12, 35. [Google Scholar] [CrossRef] [PubMed]
  27. Song, Q.B.; Duan, H.B.; Yu, D.F.; Li, J.H.; Wang, C.; Zuo, J. Characterizing the essential materials and energy performance of city buildings: A case study of Macau. J. Clean. Prod. 2018, 194, 263–276. [Google Scholar] [CrossRef]
  28. Sun, G.Z.; Sun, J.; Li, F.J. Influencing Factors of Early Termination for PPP Projects Based on Multicase Grounded Theory. J. Constr. Eng. Manag. 2022, 148, 04022120. [Google Scholar] [CrossRef]
  29. El-Kholy, A.M.; Akal, A.Y. Assessing and allocating the financial viability risk factors in public-private partnership wastewater treatment plant projects. Eng. Constr. Archit. Manag. 2021, 28, 3014–3040. [Google Scholar] [CrossRef]
  30. Wang, Z.S.; Zhou, Y.X.; Jin, X.H.; Zhao, N.; Sun, J.S. Risk allocation and benefit distribution of PPP projects for construction waste recycling: A case study of China. Eng. Constr. Archit. Manag. 2022; ahead-of-print. [Google Scholar] [CrossRef]
  31. Lu, W.; Du, L.; Feng, Y.B. Decision making behaviours and management mechanisms for construction and demolition waste recycling based on public-private partnership. Environ. Sci. Pollut. Res. 2022, 29, 82078–82097. [Google Scholar] [CrossRef]
  32. An, X.W.; Li, H.M.; Wang, L.Y.; Wang, Z.F.; Ding, J.Y.; Cao, Y.C. Compensation mechanism for urban water environment treatment PPP project in China. J. Clean. Prod. 2018, 201, 246–253. [Google Scholar] [CrossRef]
  33. Xiao, S.J.; Dong, H.J.; Geng, Y.; Brander, M. An overview of China’s recyclable waste recycling and recommendations for integrated solutions. Resour. Conserv. Recycl. 2018, 134, 112–120. [Google Scholar] [CrossRef]
  34. Sirr, G.; Power, B.; Ryan, G.; Eakins, J.; O’Connor, E.; le Maitre, J. An analysis of the factors affecting Irish citizens’ willingness to invest in wind energy projects. Energy Policy 2023, 173, 113364. [Google Scholar] [CrossRef]
  35. Liu, T.; Bennon, M.; Garvin, M.J.; Wang, S.Q. Sharing the Big Risk: Assessment Framework for Revenue Risk Sharing Mechanisms in Transportation Public-Private Partnerships. J. Constr. Eng. Manag. 2017, 143, 04017086. [Google Scholar] [CrossRef]
  36. Lv, J.N.; Zhang, Y.Y.; Zhou, W. Alternative Model to Determine the Optimal Government Subsidies in Construction Stage of PPP Rail Transit Projects under Dynamic Uncertainties. Math. Probl. Eng. 2020, 2020, 3928463. [Google Scholar] [CrossRef]
  37. Wang, D.Y.; Wang, X.Q.; Ding, R.X. Welfare maximization with the least subsidy: Pricing model for surface water loop heat pump PPP projects considering occupancy rate growth and coefficient of performance. Renew. Energy 2022, 194, 1131–1141. [Google Scholar] [CrossRef]
  38. Cheng, S.L.; Yu, Y.; Meng, F.X.; Chen, J.D.; Chen, Y.T.; Liu, G.Y.; Fan, W. Potential benefits of public–private partnerships to improve the efficiency of urban wastewater treatment. NPJ Clean Water 2023, 6, 13. [Google Scholar] [CrossRef]
  39. Ho, S.P. Model for financial renegotiation in public-private partnership projects and its policy implications: Game theoretic view. J. Constr. Eng. Manag. 2006, 132, 678–688. [Google Scholar] [CrossRef]
  40. Liu, J.C.; Gao, R.L.; Cheah, C.Y.J. Pricing Mechanism of Early Termination of PPP Projects Based on Real Option Theory. J. Manag. Eng. 2017, 33, 1–10. [Google Scholar] [CrossRef]
  41. Castelblanco, G.; Guevara, J.; Mesa, H.; Hartmann, A. Social legitimacy challenges in toll road PPP programs: Analysis of the Colombian and Chilean cases. J. Manag. Eng. 2022, 38, 05022002. [Google Scholar] [CrossRef]
  42. Wang, Y.N.; Liang, Y.Z.; Li, C.; Zhang, X.Y. Operation Performance Evaluation of Urban Rail Transit PPP Projects: Based on Best Worst Method and Large-Scale Group Evaluation Technology. Adv. Civ. Eng. 2021, 2021, 4318869. [Google Scholar] [CrossRef]
  43. Sun, X.Y.; Cheng, Y. Sustainable efficiency evaluation of regional state-level technology business incubating service systems in China: A dynamic two-stage slacks-based measure approach. J. Clean. Prod. 2021, 279, 123688. [Google Scholar] [CrossRef]
  44. Peng, D.; Zeng, X.Y. The Evolution of Opportunistic Behavior of Participating Subjects during the Operation Period of PPP Projects. Comput. Intell. Neurosci. 2022, 2022, 8450529. [Google Scholar] [CrossRef]
  45. Kweh, Q.L.; Lu, W.M.; Lin, F.Y.; Deng, Y.J. Impact of research and development tax credits on the innovation and operational efficiencies of Internet of things companies in Taiwan. Ann. Oper. Res. 2022, 315, 1217–1241. [Google Scholar] [CrossRef]
  46. Ma, L.; Zhang, L. Evolutionary game analysis of construction waste recycling management in China. Resour. Conserv. Recycl. 2020, 161, 104863. [Google Scholar] [CrossRef]
  47. Yi, P.X.; Huang, M.; Guo, L.J.; Shi, T.L. Dual recycling channel decision in retailer oriented closed-loop supply chain for construction machinery remanufacturing. J. Clean. Prod. 2016, 137, 1393–1405. [Google Scholar] [CrossRef]
  48. Liu, F.R.; Liu, J.; Yan, X.D. Solving the Asymmetry Multi-Objective Optimization Problem in PPPs under LPVR Mechanism by Bi-Level Programing. Symmetry 2020, 12, 1667. [Google Scholar] [CrossRef]
  49. Mu, Z.Y.; Li, Q.J.; Dai, G.X.; Li, K.; Zhang, G.M.; Zhang, F. Government Subsidy Policy and Online Selling Strategy in a Platform Supply Chain with Green R&D and DDM Activities. Sustainability 2022, 14, 9658. [Google Scholar] [CrossRef]
  50. Zhang, F.F.; Zhang, Z.X.; Xue, Y.W.; Zhang, J.; Che, Y. Dynamic Green Innovation Decision of the Supply Chain with Innovating and Free-Riding Manufacturers: Cooperation and Spillover. Complexity 2020, 2020, 8937847. [Google Scholar] [CrossRef]
  51. Wang, W.; Liu, X.J.; Zhang, W.S.; Gao, G.; Zhang, H. Coordination of a Green Supply Chain with One Manufacturer and Two Competing Retailers under Different Power Structures. Discret. Dyn. Nat. Soc. 2019, 2019, 3453850. [Google Scholar] [CrossRef]
  52. Qin, Q.; Jiang, M.T.; Xie, J.M.; He, Y. Game analysis of environmental cost allocation in green supply chain under fairness preference. Energy Rep. 2021, 7, 6014–6022. [Google Scholar] [CrossRef]
  53. Baron, D.P.; Myerson, R.B. Regulating a monopolist with unknown costs. Econom. J. Econom. Soc. 1982, 50, 911–930. [Google Scholar] [CrossRef]
  54. Gagnepain, P.; Ivaldi, M.; Martimort, D. The cost of contract renegotiation: Evidence from the local public sector. Am. Econ. Rev. 2013, 103, 2352–2383. [Google Scholar] [CrossRef]
  55. Li, X.W.; Du, J.G.; Long, H.Y. Theoretical framework and formation mechanism of the green development system model in China. Environ. Dev. 2019, 32, 100465. [Google Scholar] [CrossRef]
  56. Han, Q.; Wang, Y.Y.; Shen, L.; Dong, W.Q. Decision and coordination of low-carbon e-commerce supply chain with government carbon subsidies and fairness concerns. Complexity 2020, 2020, 1974942. [Google Scholar] [CrossRef]
  57. Shao, L.Z.; Liu, Q.W. Decision-Making and the Contract of the Complementary Product Supply Chain Considering Consumers’ Environmental Awareness and Government Green Subsidies. Int. J. Environ. Res. Public Health 2022, 19, 3100. [Google Scholar] [CrossRef]
  58. Dou, G.W.; Choi, T.M. Does implementing trade-in and green technology together benefit the environment? Eur. J. Oper. Res. 2021, 295, 517–533. [Google Scholar] [CrossRef]
  59. Shang, L.M.; Aziz, A.M.A. Stackelberg game theory-based optimization model for design of payment mechanism in performance-based PPPs. J. Constr. Eng. Manag. 2020, 146, 04020029. [Google Scholar] [CrossRef]
  60. Gao, J.H.; Han, H.S.; Hou, L.T.; Wang, H.Y. Pricing and effort decisions in a closed-loop supply chain under different channel power structures. J. Clean. Prod. 2016, 112, 2043–2057. [Google Scholar] [CrossRef]
  61. Zhang, H.Y.; Xu, H.Y.; Pu, X.J. A cross-channel return policy in a green dual-channel supply chain considering spillover effect. Sustainability 2020, 12, 2171. [Google Scholar] [CrossRef]
  62. Wang, L.; Wang, D.; Wang, X.Q. Subsidizing and pricing PPP transportation projects based on two-period quality. J. Ind. Eng. Eng. Manag. 2021, 35, 173–183. (In Chinese) [Google Scholar] [CrossRef]
  63. Yuan, Y.H.; Yang, J.Y.; Li, Y.; Li, W. Necessary conditions for coordination of dual-channel closed-loop supply chain. Technol. Forecast. Soc. Chang. 2020, 151, 119823. [Google Scholar] [CrossRef]
  64. Sun, D.Q.; Ma, X.Y. Pricing strategies and cooperative profit distribution based on game theory for reverse supply chains with multi-retailer participants. Comput. Integr. Manuf. Syst. 2012, 18, 867–874. (In Chinese) [Google Scholar]
  65. Ghalehkhondabi, I.; Ardjmand, E. Sustainable E-waste supply chain management with price/sustainability-sensitive demand and government intervention. J. Mater. Cycles Waste Manag. 2020, 22, 556–577. [Google Scholar] [CrossRef]
  66. Xie, J.M.; Jiang, M.T.; Qin, Q.; He, Y.; Xie, D.R. Recycling model of low-carbon and closed-loop supply chain considering government subsidies. Energy Sci. Eng. 2022, 10, 4382–4396. [Google Scholar] [CrossRef]
  67. Meng, Q.C.; Wang, Y.T.; Zhang, Z.; He, Y.Y. Supply chain green innovation subsidy strategy considering consumer heterogeneity. J. Clean. Prod. 2021, 281, 125199. [Google Scholar] [CrossRef]
  68. Lee, D. Who drives green innovation? A game theoretical analysis of a closed-loop supply chain under different power structures. Int. J. Environ. Res. Public Health 2020, 17, 2274. [Google Scholar] [CrossRef] [PubMed]
  69. Mahpour, A. Prioritizing barriers to adopt circular economy in construction and demolition waste management. Resour. Conserv. Recycl. 2018, 134, 216–227. [Google Scholar] [CrossRef]
  70. Yang, J.H.; Long, R.Y.; Chen, H.; Sun, Q.Q. A comparative analysis of express packaging waste recycling models based on the differential game theory. Resour. Conserv. Recycl. 2021, 168, 105449. [Google Scholar] [CrossRef]
  71. Xu, Z.; Wang, X.; Xiao, Y.; Yuan, J.F. Modeling and performance evaluation of PPP projects utilizing IFC extension and enhanced matter-element method. Eng. Constr. Archit. Manag. 2020, 27, 1763–1794. [Google Scholar] [CrossRef]
  72. Chen, L.; Bai, X.; Chen, B.; Wang, J.J. Incentives for green and low-carbon technological innovation of enterprises under environmental regulation: From the perspective of evolutionary game. Front. Energy Res. 2022, 9, 817. [Google Scholar] [CrossRef]
  73. Han, Y.T.; Zheng, H.X.; Huang, Y.C.; Li, X.W. Considering consumers’ green preferences and government subsidies in the decision making of the construction and demolition waste recycling supply chain: A stackelberg game approach. Buildings 2022, 12, 832. [Google Scholar] [CrossRef]
  74. Yu, C.; Wang, C.X.; Zhang, S.Y. Advertising cooperation of dual-channel low-carbon supply chain based on cost-sharing. Kybernetes 2020, 49, 1169–1195. [Google Scholar] [CrossRef]
  75. Zeng, J.W.; Li, B.Z. Research on cooperation strategy between government and green supply chain based on differential game. Open Math. 2019, 17, 828–855. [Google Scholar] [CrossRef]
  76. Zhang, F.; Di, P.; Ye, J.M. Government Compensation Modes, Enterprise Ownership, and Re-innovation of the Enterprise. Technol. Innov. Fail. Sci. Technol. Manag. Res. 2022, 42, 1–8. (In Chinese) [Google Scholar]
  77. Bimonte, G.; Ioppolo, G.; Senatore, L.; Trincone, B. Government eco-innovation incentives in a recycling system: A Stackelberg-type model. Bus. Strategy Environ. 2022, 311–319. [Google Scholar] [CrossRef]
  78. Liu, Y.; Quan, B.-t.; Xu, Q.; Forrest, J.Y.-L. Corporate social responsibility and decision analysis in a supply chain through government subsidy. J. Clean. Prod. 2019, 208, 436–447. [Google Scholar] [CrossRef]
  79. Li, C.H.; Wang, J.L.; Shi, Y.F. The Impact of Government Intervention and Cap-and-Trade on Green Innovation in Supply Chains: A Social Welfare Perspective. Sustainability 2022, 14, 7941. [Google Scholar] [CrossRef]
Disclaimer/Publisher’s Note: The statements, opinions and data contained in all publications are solely those of the individual author(s) and contributor(s) and not of MDPI and/or the editor(s). MDPI and/or the editor(s) disclaim responsibility for any injury to people or property resulting from any ideas, methods, instructions or products referred to in the content.

Article Metrics

Citations

Article Access Statistics

Multiple requests from the same IP address are counted as one view.