Next Article in Journal
A Cultural-Centered Model Based on User Experience and Learning Preferences of Online Teaching Platforms for Chinese National University Students: Taking Teaching Platforms of WeCom, VooV Meeting, and DingTalk as Examples
Next Article in Special Issue
Earned Value Management Agent-Based Simulation Model
Previous Article in Journal
Customer Satisfaction in e-Commerce during the COVID-19 Pandemic
Previous Article in Special Issue
Agent-Based Modeling of Consensus Group Formation with Complex Webs of Beliefs
 
 
Font Type:
Arial Georgia Verdana
Font Size:
Aa Aa Aa
Line Spacing:
Column Width:
Background:
Article

Multi-Category Innovation and Encroachment Strategy Evolution of Composite E-Commerce Platform Based on Multi-Agent Simulation

1
School of Economics and Management, Beijing University of Posts and Telecommunications, Beijing 100876, China
2
School of Modern Post (School of Automation), Beijing University of Posts and Telecommunications, Beijing 100876, China
*
Author to whom correspondence should be addressed.
Systems 2022, 10(6), 215; https://doi.org/10.3390/systems10060215
Submission received: 5 October 2022 / Revised: 5 November 2022 / Accepted: 8 November 2022 / Published: 11 November 2022

Abstract

An in-depth study of the product encroachment behavior on the composite e-commerce platform is of great significance to standardize the platform economy. This paper studies product encroachment behavior of composite e-commerce platforms with double-differentiated multi-product competition and constructs a game model of product innovation by an independent seller and product encroachment by the platform owner. Using multi-agent simulation, we simulate the bounded rational decision-making and interaction process of multiple agents in multiple periods and analyze the main parameters’ influence. Results indicate the following: (1) In dual-differentiated multi-product competition, the third-party seller is more willing to invest in innovating high-quality category P, and the profit-driven platform owner only encroaches on the new variants of category P. (2) The larger consumers’ platform owner preference can encourage the third-party seller to innovate high-quality new products. The increase in vertical differentiation of categories can enhance the third-party seller’s innovation motivation for the traffic-attracting category. (3) A reasonable commission rate set by the platform owner can ensure the variety of variants of various categories, thereby expanding the sales scope of the composite e-commerce platform. Diseconomies of scale of category diversity management costs hinder the growth of product variety in the online marketplace.

1. Introduction

In the context of the COVID-19 pandemic, online marketplaces are becoming more popular [1], and a series of issues related to the development of the e-commerce ecosystem are constantly emerging. At present, e-commerce platforms are increasingly not only trading places between customers and third-party sellers, but the platform owners also usually act as prevailing sellers in their own platforms. For example, JD, Dangdang.com, and Amazon are all composite e-commerce platforms [2]. Generally speaking, the types of products available on the composite e-commerce platform will be far more than that in the physical store. For example, there are more than 8000 digital cameras displayed and sold on Amazon, while a Walmart physical store can only display around 30 kinds of products. Excluding products with high sales volumes, most varieties are “long tail” products with relatively low sales volumes. For the platform owner, it may be uneconomical to sell varieties with a low sales volume; accordingly, for example, Amazon will leave up to 93% of categories to its independent third-party sellers for sale. However, with the rapid development of third-party sellers, these product categories that help third-party sellers achieve revenue will attract high attention from platform owners. In order to expand product categories and create higher revenue, platform owners will encroach on the product space of third-party sellers, and procure and sell products directly. Statistics show that Amazon enters three percent of third-party sellers’ product space over a ten-month period. Platform owners have an information advantage: they are actually closely observing category sales and perform category evaluation of third-party sellers. Profit drives them to encroach on the third-party sellers’ successful categories with “blockbuster” sales. Platform owners also have advantages in product display. For example, Amazon exhibits “Similar Items to Consider” ads directly above an item’s shopping cart link, thereby promoting its own products before consumers add third-party sellers’ products to their shopping carts. Because of the dominant market position of the platform owner, this kind of category encroachment often damages the market position of the independent third-party sellers or even makes them exit the market. Therefore, understanding the category encroachment behavior of the platform owner and making strategic adjustments is often key to the survival of third-party sellers. In addition to responding to the encroachment by adjusting pricing [3,4] and marketing [5] strategies, third-party sellers should continue to bring innovative products, create a particularity that is distinguishable from other similar products to attract customers, and strive for the favorable position of market competition based on product differences. However, the platform owner is not at complete liberty to take any action he desires—generally speaking, the platform owner usually carefully balances the short-term profit encroachment affords them and the damage to product innovation incurred by independent sellers due to his excessive encroachment [6]. The latter usually compromises the diversity of products and thus the health of the entire platform.
In addition, with the improvement of economic level, consumers’ pursuit of product quality and variety is increasing. In order to cater to more consumer segments, there is an increasing variety of products on the platform. Statistics show that from May 2015 to May 2016, taking shoes, clothing, and jewelry as an example, Amazon’s self-operated product variety increased by 83%, and third-party sellers’ product variety increased by 84%. At present, product vertical and horizontal differentiation strategies are often used as an important means for sellers to segment and expand the market. Vertical differentiation mainly refers to the difference in product quality, while horizontal differentiation refers to the difference in product color, size, taste, and other aspects. For example, the Philips portable battery has 10,000 mah and 20,000 mah battery capacities and comes in a variety of color variations, such as pure black and blue–black. From the core level of the product, the main goal of product innovation is to realize multiple differentiation through technological innovation and product serialization, which is also an effective way to cope with competition [7].
In view of this, this paper takes dual-differentiated multi-product competition as the starting point and constructs a multi-period game model of product innovation by an independent seller and product encroachment by the platform owner. Based on this, the optimal product innovation decision of the third-party seller and the optimal product encroachment decision of the platform owner are discussed. Furthermore, this paper combines analysis and multi-agent simulation. By simulating the heuristic process of some bounded rational decision-making of merchants, in addition to the analytical results, many emergent results can be produced [8,9,10]. Additionally, the influence of the main parameters on both players’ decision-making and profit is analyzed. Specifically, this paper aims to answer the following questions: (1) What is the optimal horizontal differentiation innovation decision of the third-party seller for categories with different qualities in the face of possible product encroachment behavior of the platform owner? (2) What is the platform owner’s optimal product encroachment decision for the third-party seller’s innovative products? (3) What is the evolution law of the optimal decision-making of both players under the competitive interaction of multiple periods? (4) How do the main parameters affect the evolution results?

2. Literature Review

On a composite e-commerce platform, the platform owner is both an athlete and a referee and has a wealth of information; third-party sellers, meanwhile, enjoy unique category innovation, and operation and management capabilities. The key to the healthy development of e-commerce platforms depends on the perfect integration of multiple participants [11]. Parker and Van Alstyne [12] studied the motivation of platform owners to encroach on the product space of more successful third-party sellers, while Gawer and Henderson [13] found that platform owners may also worry about the deterioration of the health of the platform ecosystem and its long-term interests and choose to avoid direct competition with complementary third-party sellers, or only compete with those with service problems in order to maintain a good “fair” reputation without harming third-party sellers and richness of categories. A very representative recent study comes from Zhu and Liu [14]. They used empirical methods to systematically test Amazon’s category encroachment behavior against third-party sellers and explore the significance of influencing factors such as price, variety, commission fees, distribution costs, demand levels, customer reviews, and seller size. They found that third-party sellers should focus on less prominent products or on categories that require extensive platform-side investment to be successful, and suggested maintaining the ability to develop new products. Consistent with Zhu and Liu, Li et al. [15] found that with the development of the platform, due to the risk of developing new categories and the expectation to free ride on the platform owner’s best-selling products, third-party sellers that originally focused on “niche products” may also encroach on the platform owner’s product range. They used empirical methods to study the encroachment strategies of third-party sellers on platform products and found that third-party sellers will choose products that have a low price, high demand, low return rate, low operating cost, abundant supply sources, uniqueness, and high exposure. Moreover, encroachment by large third-party sellers will reduce the sales of the platform owner but increase the sales of the entire platform. The above representative works are all based on empirical or case analysis methods. Other studies on the category encroachment of composite e-commerce platforms have adopted the method of game analysis. There are relatively few such studies, which we discuss below.
The seed paper for analytical analysis comes from the research of Jiang et al. [6]. They examined product information disclosure to model Amazon’s product encroachment behavior against independent third-party sellers and constructed a two-period game model. Jiang et al. obtained the judgment conditions for “long-tail” and “short-tail” products, identified the conditions for achieving pool equilibrium and separation equilibrium in “middle-tail” products, and explained the internal relationship between Amazon’s product encroachment, product demand, and platform commission fees. Hagiu et al. [16] studied the competition–cooperation model of the coexistence of platform self-operated sales and third-party seller sales from the perspective of consumer surplus. They concluded that consumers can benefit from the platform’s dual role and pointed out that the platform’s self-interested purpose and category copycat behavior may bring about inefficiencies. Etro [17] modeled and compared the various sales models existing on the Amazon platform, namely the private label sales model, first party sales model, and third-party seller sales model. The conclusion shows that when third-party sellers have the characteristics of lower customer conversion rate, higher distribution cost, and lower market voice, or when the product has the characteristics of low value-added and high-demand elasticity, the platform owner tends to encroach on the market space of third-party sellers. In addition, Etro introduced the third-party seller’s product innovation and the platform’s category copycat behavior into the game model, and identified the third-party seller’s optimal innovation investment level and the platform’s optimal copycat probability. The above studies on product encroachment ideally assume that the third-party seller sells a single category or the categories sold are independent and unrelated, and when the platform side encroaches, the third-party seller immediately exits the market. None of them takes into account the fact that multiple products continue to coexist and differentiated competition occurs after the platform owner encroaches. Feng et al. [18] discussed the behavior of third-party sellers encroaching on the platform owner’s market share and assumed the coexistence and competition of multiple product categories after the encroachment. However, they only considered the vertical differentiation of categories, not the horizontal differentiation of categories. Moreover, they focused on the impact of two-way network externalities and did not combine the issue of category encroachment with that of category innovation.
With the increasing competition, product innovation and the introduction of differentiated products have become an important way for enterprises to cope with invasion challenges and gain competitive advantages. Wu and Lai [19] constructed a horizontal differentiation competition model and explored pricing and product launching strategies in a multistage game between two asymmetric firms. Yi and Chen [20] constructed a duopolistic competition game model consisting of a large manufacturer and a small manufacturer with imitation function and studied the product quality attributes decision-making of both manufacturers. Baron [21] studied the product positioning and innovation strategies of two competing firms under the coexistence of innovative products and initial products. He concluded that the incumbent firm would offer an additional product to forestall entry by narrowing the quality gap. Based on the following product encroachment and manufacturers’ R&D modes (in-house R&D versus outsourcing R&D), Li et al. [22] constructed game models under oligopoly and oligopolistic competition, respectively, and discussed the influence of product encroachment on innovation quality. The above studies on product innovation strategies in the face of encroachment threat only study from one dimension of product horizontal and vertical differentiation and fail to consider the coexistence of the multiple differentiation of categories.
The direct source of the dual-differentiated product competition model in this paper is the research of Zhang et al. [23], who introduced the competition of dual-differentiated products (different product models exist and each model has multiple variants); however, they took horizontal and vertical differentiation as a given condition and considered the impact on information disclosure strategies of the intermediary and competitive sellers without paying attention to the product encroachment and innovation. In addition, many scholars have studied the differentiation strategy of dual-differentiated products. Shangguan et al. [24] studied the two-dimensional product differentiation design and pricing strategies of a manufacturer. Jalali et al. [25] studied the optimal product development strategy (platform-based versus independent development) and the product differentiation strategy (horizontally versus vertically differentiated products) of a monopolistic manufacturer for quality and feature-sensitive customers, and emphasized the impact of operational cost parameters on the optimal differentiation strategy. Tian et al. [26] considered both the horizontal differentiation of channels and the vertical differentiation of products and analyzed the influence of consumer free-riding behavior on the optimal differentiation strategy. Lv [27] examined a two-dimensional differentiation model of both vertical product preferences and horizontal coupon preferences and investigated how couponing affects firms’ promotion strategies and profits. Although these papers studied product differentiation decisions in different scenarios, they did not include product encroachment and product innovation under encroachment.
To highlight the contributions of this study, we contrast our study with other related works (as shown in Table 1). It can be concluded that this paper is different from existing literatures in the following three aspects: (1) Most analytical studies on the category encroachment of composite e-commerce platforms assume that third-party sellers withdraw from the market after the platform owner’s category encroachment occurs, but this is not realistic. Moreover, only the assumption of a single category is made or only the vertical differentiation of categories is considered—the horizontal differentiation and the coexistence of multiple product variants are not considered. This paper considers two vertically differentiated categories with multiple variants, and multiple product variants continue to coexist after the platform owner’s product encroachment. In addition, most of studies are based on single-stage and two-stage game analysis. This paper combines multi-agent simulation to simulate and observe the emergent results of multi-period competition and evolution, which is a new manifestation of the computing-driven supply chain in category encroachment analysis, and provides new ideas for research on e-commerce platform ecosystem-related issues. (2) Most studies on category innovation strategies under the threat of encroachment only study from one dimension of product horizontal and vertical differentiation. From the above background, it can be seen that vertical and horizontal differentiation of categories are prominent in real life. Therefore, it is necessary to study product encroachment and innovation strategies considering the dual differentiation of categories. (3) By reviewing the literature in the field of category dual-differentiation, it is found that some scholars take category dual-differentiation as a given condition to study the impact on pricing [28], information disclosure, and other strategies, while others are concerned about products themselves and focus on the product differentiation strategy. However, there is no research that combines the competition of multiple differentiated products with product invasion and product innovation. This paper introduces the dual-differentiated multi-product competition into the encroachment problem and considers both the product innovation behavior of the independent seller and the product encroachment behavior of the platform owner. This paper not only analyzes the impact of category differentiation on both players’ decision-making, but also studies the optimal horizontal differentiation strategy of both players for different quality categories, which has theoretical significance for regulating category encroachment behavior on composite e-commerce platforms. The research results of this paper have theoretical significance for regulating product encroachment behavior on composite e-commerce platforms.

3. Model Formulation

3.1. Problem Description and Basic Assumptions

Consider a composite e-commerce platform that includes a platform owner (seller 1) and an independent third-party seller (seller 3). They can sell both of the two vertically differentiated categories at the same time: one is a high-quality profitable product (category P), and the other is a low-quality traffic-attracting product (category F). Each category has multiple variants, such as different colors or sizes, etc. The third-party seller can develop new variants to obtain horizontal differentiation advantages of categories, and the platform owner can increase revenue by copycat third-party innovative products.
This study can be regarded as examining a multi-period problem in which both types of sellers need to decide their retail prices and marketing efforts of the two categories in each period. In order to expand their market share, the third-party seller may invest in innovating category variants. The number of variants affects customer demand and incurs the cost of product diversification. In addition, the third-party seller understands that the platform owner may encroach when new variants are launched and needs to decide whether to invest in innovating products and how much to invest in the current period, and then puts new variants into the market in the next period. After observing the category innovation of the third-party seller, the platform owner decides whether to copycat new products in the same period. At the same time, each consumer has a potential demand for one unit of the product in each period.
In this paper, a multi-period game model is constructed, as shown in Figure 1. The game sequence is as follows: in period 0, the platform owner and the third-party seller aim to maximize their respective profits and decide their retail prices and marketing efforts of categories. After that, according to the prediction of the encroachment behavior of the platform owner, the third-party seller decides whether to invest in innovation and how many variants to innovate. Finally, consumers make their purchase in this period. In period 1, the product innovation of the third-party seller is declared a success or failure. At the same time, the platform owner chooses whether to encroach or not. Then, both players decide on category prices and marketing efforts at the same time. Subsequently, the third-party seller, based on the prediction of the platform owner’s encroachment behavior and the current category diversity situation, decides whether to continue to invest in innovation and how many variants to develop; finally, consumers make their purchase in this period. Next, the actions of period 1 are repeated for each period.
The assumptions of this paper are as follows: (1) Consumers’ willingness θ to pay for categories is heterogeneous. Let θ follow a uniform distribution in the interval [0, θ + ] and, without loss of generality, normalize [0, θ + ] to [0, 1]. (2) The category quality is an exogenous variable. The quality ratio of category P to category F is αq:q (α > 1). α reflects the degree of vertical differentiation between the two categories. The larger the value of α is, the higher the consumer’s valuation of category P is and vice versa. (3) Consumers have a higher quality estimate δ (δ > 1) of the platform’s self-operated products, but consumers’ valuation of the platform self-operated low-quality category F is lower than the valuation of the independent seller’s high-quality category P; that is, α > δ. (4) In order to promote the category and increase the willingness to pay of consumers, sellers implement a marketing effort level of e ij ( t ) > 0 and a resulting marketing cost of 1 2 e ij ( t ) 2 (i = 1, 3; j = F,P) [5] in period t. (5) Both types of sellers face diseconomies of scale in the management of product diversity [29]. The management cost of each category is a quadratic function of the number of the category variants; therefore, the category management cost per period is β 2 n ij ( t ) 2 (i = 1, 3; j = F,P), where β (β > 0) is the diseconomies of scale coefficient, n ij ( t ) represents the number of variants of seller i’s category j in period t, and n ij ( 0 ) = 0 . (6) The platform charges commission based on the sales of the third-party seller, and the commission rate is r (0 < r < 1).
Information such as product price, quality, marketing level, and seller type obtained by consumers through the platform search engine affects consumers’ purchasing decisions [30]. In addition, considering that the horizontal differentiation of categories also has a positive impact on consumer demand, the utility that consumers obtain from purchasing category j (j = F,P) from seller i (i = 1, 3) in period t is:
U ij ( t ) = θ δ q j p 1 j ( t ) + e 1 j ( t ) + n 1 j ( t ) ( i = 1 ) θ q j p 3 j ( t )   + e 3 j ( t ) + n 3 j ( t ) ( i = 3 )
where q j represents the quality of category j, and p ij ( t ) represents the retail price of seller i’s category j in period t.
Consumers choose to buy a product that can afford them the maximum utility in each period, that is, max ( U ij ( t ) , 0 ) . The market segmentation of consumers is shown in Figure 2.
Let θ 3 F ( t ) , θ 1 F ( t ) , θ 3 P ( t ) , and θ 1 P ( t ) be the indifference points of consumer purchase utility in each period, and satisfy 0 θ 3 F ( t ) θ 1 F ( t ) θ 3 P ( t ) θ 1 P ( t ) 1 . Among them, θ 3 F ( t ) represents the indifference threshold between consumers buying 3F-type and not buying; θ 1 F ( t ) represents the indifference threshold between consumers purchasing 1F-type and purchasing 3F-type; θ 3 P ( t ) represents the indifference threshold between consumers purchasing 3P-type and purchasing 1F-type; θ 1 P ( t ) represents the indifference threshold between consumers purchasing 1P-type and purchasing 3P-type. Based on this, the indifference point of the utility of consumers buying different categories from different sellers needs to satisfy the following:
θ 3 F ( t ) q p 3 F ( t ) + e 3 F ( t ) +   n 3 F ( t ) = 0
θ 1 F ( t ) q p 3 F ( t ) + e 3 F ( t ) +   n 3 F ( t ) = θ 1 F ( t ) δ q p 1 F ( t ) + e 1 F ( t ) +   n 1 F ( t )
θ 3 P ( t ) δ q p 1 F ( t ) + e 1 F ( t ) +   n 1 F ( t ) = θ 3 P ( t ) α q p 3 P ( t ) + e 3 P ( t ) +   n 3 P ( t )
θ 1 P ( t ) α q p 3 P ( t ) + e 3 P ( t ) +   n 3 P ( t ) = θ 1 P ( t ) δ α q p 1 P ( t ) + e 1 P ( t ) +   n 1 P ( t )
From the above, the following can be solved:
θ 3 F ( t ) = p 3 F ( t ) e 3 F ( t ) n 3 F ( t ) q
θ 1 F ( t ) = p 1 F ( t ) p 3 F ( t ) e 1 F ( t ) + e 3 F ( t ) n 1 F ( t ) + n 3 F ( t ) q ( 1 + δ )
θ 3 P ( t ) = p 3 P ( t ) p 1 F ( t ) e 3 P ( t ) + e 1 F ( t ) n 3 P ( t ) + n 1 F ( t ) q ( α δ )
θ 1 P ( t ) = p 1 P ( t ) p 3 P ( t ) e 1 P ( t ) + e 3 P ( t ) n 1 P ( t ) + n 3 P ( t ) α q ( 1 + δ )
Therefore, the profit functions of the third-party seller and the platform owner in period t are:
π 3 ( t ) = ( 1 r ) ( ( θ 1 F ( t ) θ 3 F ( t ) ) p 3 F ( t ) + ( θ 1 P ( t ) θ 3 P ( t ) ) p 3 P ( t ) ) j = F , P ( e 3 j ( t ) 2 2 + β 2 n 3 j ( t ) 2 )
π 1 ( t ) = r ( ( θ 1 F ( t ) θ 3 F ( t ) ) p 3 F ( t ) + ( θ 1 P ( t ) θ 3 P ( t ) ) p 3 P ( t ) ) + ( θ 3 P ( t ) θ 1 F ( t ) ) p 1 F ( t ) + ( 1 θ 1 P ( t ) ) p 1 P ( t ) j = F , P ( e 1 j ( t ) 2 2 + β 2 n 1 j ( t ) 2 )

3.2. Multi-Category Innovation and Encroachment Decision Analysis

Assuming that the innovation success probability ρ increases with the increase in the innovation investment of the third-party seller, and the innovation investment amount is a convex function of the innovation success probability [17], thus the innovation investment of the third-party seller in period t is:
I ( t ) = 1 + γ 1 + σ ρ ( t + 1 ) 1 + σ
where γ represents the marginal cost of innovation investment and σ represents the sensitivity of product innovation success to investment.
When the third-party seller’s product innovation is successful in period t + 1 and the platform owner encroaches, that means n 3 F ( t ) and n 3 P ( t ) will increase by n F ( t + 1 ) and n P ( t + 1 ) , respectively, and n 1 F ( t ) and n 1 P ( t ) will do the same. Thus, the demand of each category of each seller is as follows:
D 3 F ( t + 1 ) = p 1 F ( t + 1 ) p 3 F ( t + 1 ) e 1 F ( t + 1 ) + e 3 F ( t + 1 ) n 1 F ( t ) + n 3 F ( t ) q ( 1 + δ ) p 3 F ( t + 1 ) e 3 F ( t + 1 ) n 3 F ( t ) n F ( t + 1 ) q
D 3 P ( t + 1 ) = p 1 P ( t + 1 ) p 3 P ( t + 1 ) e 1 P ( t + 1 ) + e 3 P ( t + 1 ) n 1 P ( t ) + n 3 P ( t ) q α ( 1 + δ ) p 1 F ( t + 1 ) + p 3 P ( t + 1 ) e 3 P ( t + 1 ) + e 1 F ( t + 1 ) + n 1 F ( t ) + n F ( t + 1 ) n 3 P ( t ) n P ( t + 1 ) q ( α δ )
D 1 F ( t + 1 ) = p 1 F ( t + 1 ) + p 3 P ( t + 1 ) e 3 P ( t + 1 ) + e 1 F ( t + 1 ) + n 1 F ( t ) + n F ( t + 1 ) n 3 P ( t ) n P ( t + 1 ) q ( α δ )   p 1 F ( t + 1 ) p 3 F ( t + 1 ) e 1 F ( t + 1 ) + e 3 F ( t + 1 ) n 1 F ( t ) + n 3 F ( t ) q ( 1 + δ )
D 1 P ( t + 1 ) = 1 p 1 P ( t + 1 ) p 3 P ( t + 1 ) e 1 P ( t + 1 ) + e 3 P ( t + 1 ) n 1 P ( t ) + n 3 P ( t ) q α ( 1 + δ )
where p ij ( t + 1 ) and e ij ( t + 1 ) represent the retail price and the marketing effort of ij-type when the platform owner encroaches in period t + 1, respectively.
At this time, the optimization problem of the third-party seller and the platform owner selling two categories is:
max p 3 j ( t + 1 ) , e 3 j ( t + 1 ) , n j ( t + 1 ) π 3 ( I , E ) ( t + 1 ) = j = F , P ( ( 1 r ) ( D 3 j ( t + 1 ) p 3 j ( t + 1 ) ) e 3 j ( t + 1 ) 2 2 β 2 ( n 3 j ( t ) + n j ( t + 1 ) ) 2 ) s . t .   e 3 j ( t + 1 ) 0 , n j ( t + 1 ) 0
max p 1 j ( t + 1 ) , e 1 j ( t + 1 ) π 1 ( I , E ) ( t + 1 ) = j = F , P ( rD 3 j ( t + 1 ) p 3 j ( t + 1 ) + D 1 j ( t + 1 ) p 1 j ( t + 1 ) e 1 j ( t + 1 ) 2 2 β 2 ( n 1 j ( t ) + n j ( t + 1 ) ) 2 ) s . t .   e 1 j ( t + 1 ) 0
where (I,E) represents the situation in which the third-party seller’s product innovation is successful and the platform owner encroaches.
The innovation marginal profit of each seller is:
π i ( I , E ) ( t + 1 ) = π i ( I , E ) ( t + 1 ) π i ( t )
When the third-party seller’s product innovation is successful in period t + 1 and the platform owner does not encroach, that means n 3 F ( t ) and n 3 P ( t ) will increase by n F ( t + 1 ) and n P ( t + 1 ) , respectively, and n 1 F ( t ) and n 1 P ( t ) will keep unchanged. Thus, the demand of each category of each seller is as follows:
D 3 F ( t + 1 ) = p 1 F ( t + 1 ) p 3 F ( t + 1 ) e 1 F ( t + 1 ) + e 3 F ( t + 1 ) n 1 F ( t ) + n 3 F ( t ) + n 3 F ( t + 1 ) q ( 1 + δ ) p 3 F ( t + 1 ) e 3 F ( t + 1 ) n 3 F ( t ) n 3 F ( t + 1 ) q
D 3 P ( t + 1 ) = p 1 P ( t + 1 ) p 3 P ( t + 1 ) e 1 P ( t + 1 ) + e 3 P ( t + 1 ) n 1 P ( t ) + n 3 P ( t ) + n 3 P ( t + 1 ) q α ( 1 + δ ) p 1 F ( t + 1 ) + p 3 P ( t + 1 ) e 3 P ( t + 1 ) + e 1 F ( t + 1 ) + n 1 F ( t ) n 3 P ( t ) n 3 P ( t + 1 ) q ( α δ )
D 1 F ( t + 1 ) = p 1 F ( t + 1 ) + p 3 P ( t + 1 ) e 3 P ( t + 1 ) + e 1 F ( t + 1 ) + n 1 F ( t ) n 3 P ( t ) n 3 P ( t + 1 ) q ( α δ ) p 1 F ( t + 1 ) p 3 F ( t + 1 ) e 1 F ( t + 1 ) + e 3 F ( t + 1 ) n 1 F ( t ) + n 3 F ( t ) + n 3 F ( t + 1 ) q ( 1 + δ )
D 1 P ( t + 1 ) = 1 p 1 P ( t + 1 ) p 3 P ( t + 1 ) e 1 P ( t + 1 ) + e 3 P ( t + 1 ) n 1 P ( t ) + n 3 P ( t ) + n 3 P ( t + 1 ) q α ( 1 + δ )
where p ij ( t + 1 ) and e ij ( t + 1 ) represent the retail price and the marketing effort of ij-type when the platform owner does not encroach in period t + 1, respectively.
At this time, the optimization problem of the third-party seller and the platform owner selling two categories is:
max p 3 j ( t + 1 ) , e 3 j ( t + 1 ) , n 3 j ( t + 1 ) π 3 ( I , N ) ( t + 1 ) = j = F , P ( ( 1 r ) ( D 3 j ( t + 1 ) p 3 j ( t + 1 ) ) e 3 j ( t + 1 ) 2 2 β 2 ( n 3 j ( t ) + n j ( t + 1 ) ) 2 ) s . t .   e 3 j ( t + 1 ) 0 , n 3 j ( t + 1 ) 0
max p 1 j ( t + 1 ) , e 1 j ( t + 1 ) π 1 ( I , N ) ( t + 1 ) = j = F , P ( rD 3 j ( t + 1 ) p 3 j ( t + 1 ) + D 1 j ( t + 1 ) p 1 j ( t + 1 ) e 1 j ( t + 1 ) 2 2 β 2 n 1 j ( t ) 2 ) s . t .   e 1 j ( t + 1 ) 0
where (I,N) represents the situation in which the third-party seller’s production innovation is successful and the platform owner does not encroach.
The innovation marginal profit of each seller is:
π i ( I , N ) ( t + 1 ) = π i ( I , N ) ( t + 1 ) π i ( t )
Therefore, the expected marginal profit of product innovation of the third-party seller in period t + 1 is:
E ( π 3 ( t + 1 ) ) = ρ ( t + 1 ) f ( t + 1 ) π 3 ( I , E ) ( t + 1 ) + ( 1 f ( t + 1 ) ) π 3 ( I , N ) ( t + 1 ) 1 + γ 1 + σ ρ ( t + 1 ) 1 + σ
where f ( t + 1 ) represents the product encroachment probability of the platform owner in period t + 1.
The expected marginal profit of product innovation of the third-party seller is equal to the probability of success of innovation multiplied by the weighted average of the marginal profits of innovation under the condition of platform encroachment and non-encroachment, minus the innovation investment amount.
In order to obtain the maximum expected marginal profit for the third-party seller, let E ( π 3 ( t + 1 ) ) ρ ( t + 1 ) = 0 , and the optimal success probability of innovation in period t + 1 is:
ρ ( t + 1 ) = min { max f ( t + 1 ) π 3 ( I , E ) ( t + 1 ) + ( 1 f ( t + 1 ) ) π 3 ( I , N ) ( t + 1 ) 1 + γ 1 σ , 0 , 1 } 0 ,   1
The expected profit change brought about by the successful product innovation for the platform owner in period t + 1 is:
E ( π 1 ( t + 1 ) ) = ρ ( t + 1 ) f ( t + 1 ) π 1 ( I , E ) ( t + 1 ) + ( 1 f ( t + 1 ) ) π 1 ( I , N ) ( t + 1 )
The expected profit change of the platform owner is equal to the probability of success of innovation multiplied by the weighted average of profit changes under encroachment and non-encroachment conditions. Let E ( π 1 ( t + 1 ) ) f ( t + 1 ) = 0 , and the optimal encroachment probability of platform owner in period t + 1 is:
f ( t + 1 ) = min { max [ π 1 ( I , N ) ( t + 1 ) ( 1 + σ ) ( π i ( I , N ) ( t + 1 ) π 1 ( I , E ) ( t + 1 ) ) + σ π 3 ( I , N ) ( t + 1 ) ( 1 + σ ) ( π 3 ( I , N ) ( t + 1 ) π 3 ( I , E ) ( t + 1 ) ) , 0 ] , 1 } 0 ,   1
Therefore, the number of variants for each category of the third-party seller and the platform owner in period t + 1 are the cumulation of increments for each period:
n 3 j ( t + 1 ) = t = 0 t + 1 ρ ( t + 1 ) ( f ( t + 1 ) n j ( t + 1 ) + ( 1 f ( t + 1 ) ) n 3 j ( t + 1 ) )
n 1 j ( t + 1 ) = t = 0 t + 1 ρ ( t + 1 ) f ( t + 1 ) n j ( t + 1 )

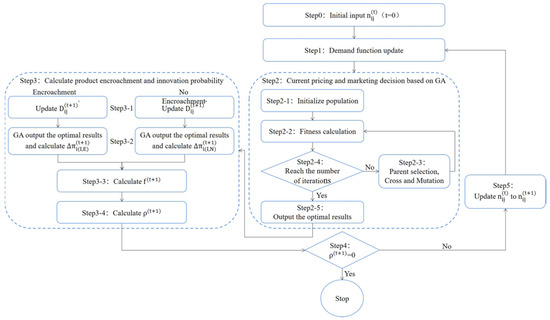
3.3. Multi-Agent Simulation Model Establishment

Based on the above strategy, this paper establishes a multi-agent simulation model based on a genetic algorithm (GA) and observes the emergent results of multiple periods of competition and evolution by simulating the heuristic process of some bounded rational decision-making of merchants. As a parallel algorithm, GA has been used for seeking the global optimum and widely applied to solve the game equilibrium solution [8,9]. The complex constraints and objective functions are only used to check the feasibility and quality of the GA solution. In view of the short-term decision-making with the goal of maximizing the respective profits of both sellers in this paper, it can be regarded as a dual-objective optimization problem. Therefore, this paper uses GA to determine the optimal category retail price and marketing efforts in each period and nests GA into the game model of third-party seller category innovation and platform category encroachment to solve the optimal pricing, marketing, and innovation decisions under different encroachment situations of the platform.
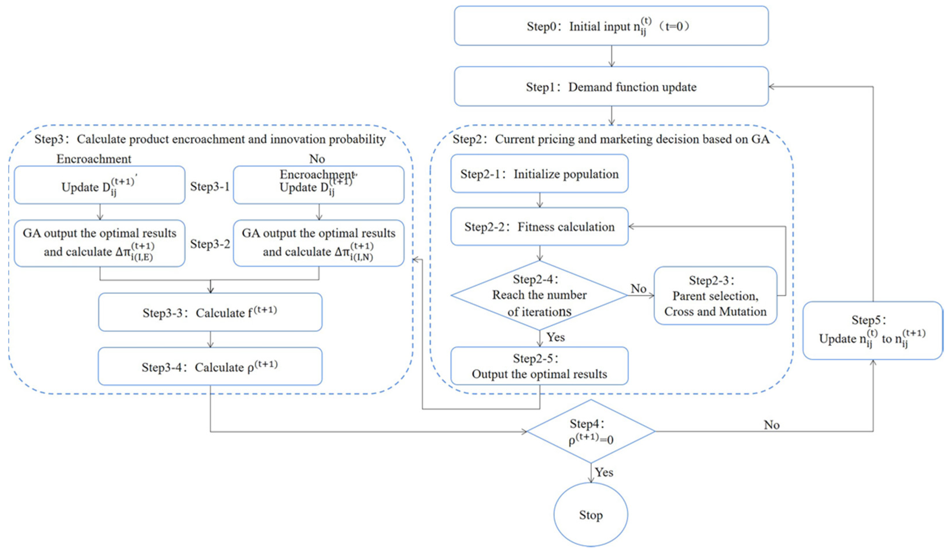
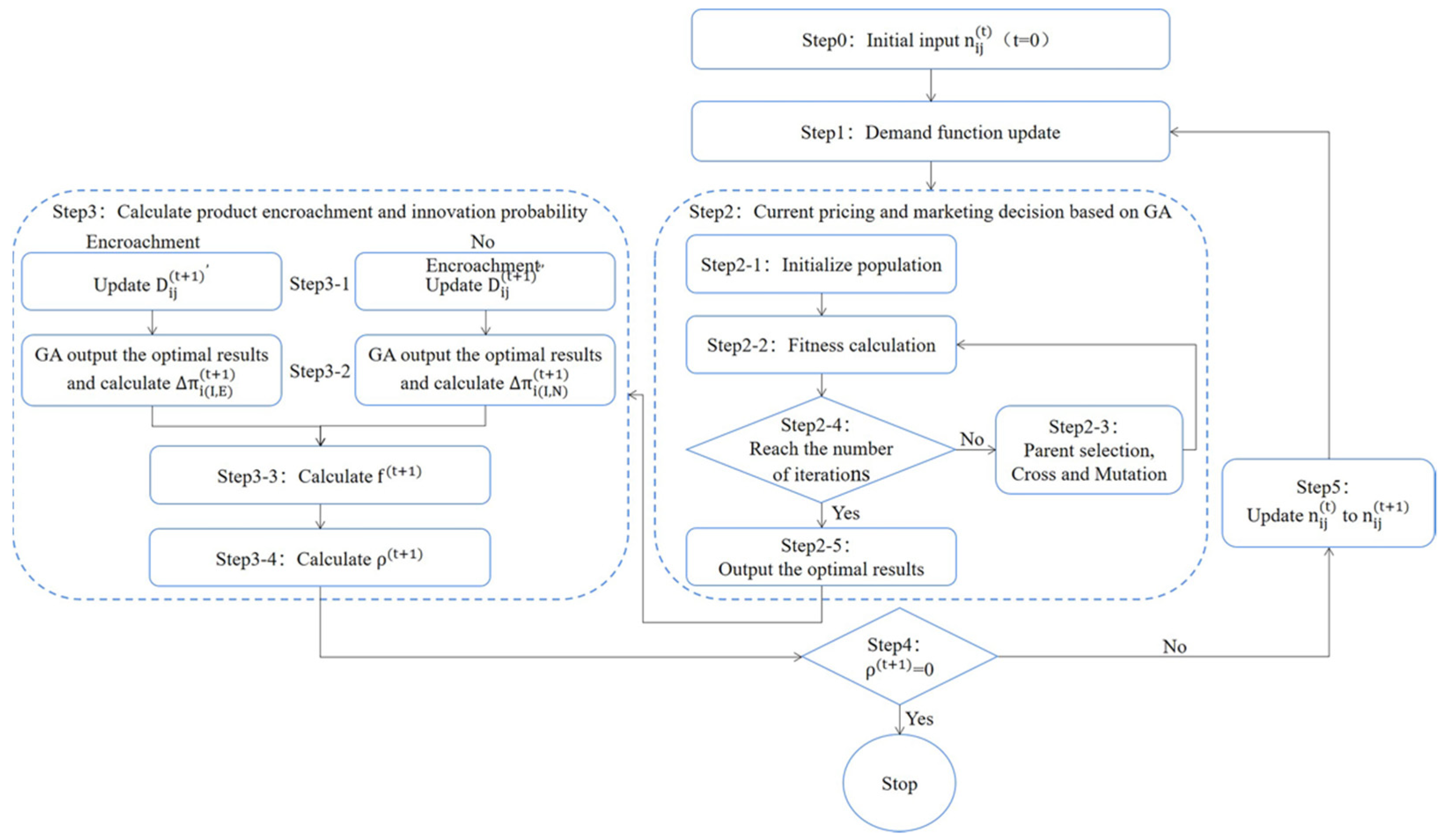
This paper uses multi-agent simulation to dynamically simulate the decision-making and interaction process of each agent in multiple periods. The multi-period, multi-product innovation and encroachment decision-making process of a composite e-commerce platform ecosystem is shown in Figure 3. The process can be expressed as the following steps:
Step 0: Enter the number of variants for each category of each seller in the initial state, n ij ( 0 ) = 0 (i = 1, 3; j = F,P).
Step 1: Based on Equations (6)–(9), update the demand function of each category of each seller.
Step 2: Use GA to determine p ij ( t ) and e ij ( t ) according to the following sub-steps.
Step 2-1: Initialize the population, set the variable range, and generate individual genes according to the variable range.
Step 2-2: Determine the fitness function [31] and calculate the fitness of each individual.
Step 2-3: Use the roulette wheel method to select the parents. Select excellent individuals with large fitness values for chromosome cross-combination and mutation.
Step 2-4: Repeat Step 2-2 to Step 2-3 until the number of iterations is reached, then jump out of the loop.
Step 2-5: Select the individual with the largest fitness as the optimal solution.
Step 3: Calculate f ( t + 1 ) and ρ ( t + 1 ) according to the following sub-steps.
Step 3-1: Based on Equations (13)–(16) and (20)–(23), update the demand function in the case of platform encroachment and non-encroachment.
Step 3-2: Use GA to determine the optimal strategies under different encroachment situations. Use Equations (19) and (26) to calculate π i ( I , E ) ( t + 1 ) and π i ( I , N ) ( t + 1 ) .
Step 3-3: Use Equation (30) to calculate the platform owner’s optimal encroachment probability of innovative products in period t + 1.
Step 3-4: Use Equation (28) to calculate the optimal probability of successful innovation of the third-party seller in period t + 1.
Step 4: Determine whether the probability of successful innovation in period t + 1 is equal to 0. If ρ ( t + 1 ) = 0 , it means that the third-party seller fails to innovate and no longer invests in innovation; if ρ ( t + 1 ) > 0 , it means that the third-party seller can still successfully innovate new products, and it does not achieve an equilibrium yet.
Step 5: Based on Equations (31) and (32), update the number of product variants of each category of each party in period t + 1 and use it as the input for the next cycle. If Step 5 determines that the third-party seller’s product innovation success probability decreases to 0, the iteration ends.

4. Model Simulation and Analysis

This paper conducts multi-agent simulation experiments on Anylogic 8.7.5 software (Software Source: Russian XJ Technolegic) to explore the evolution law of the optimal decision-making of the composite e-commerce platform system and analyzes the influence of category vertical differentiation, consumer channel preference, scale diseconomies, and platform commission rate on equilibrium decision-making. The model parameters and variables are configured as shown in Table 2.

4.1. Changes in Multi-Period Equilibrium Decision

When t = 1, the third-party seller develops new products successfully, and the platform owner implements the encroachment strategy. After that, the changes in the equilibrium decision of both sellers are shown in Figure 4, Figure 5, Figure 6 and Figure 7.
It can be seen from Figure 4 that the number of innovated variants of 3P-type is much higher than that of 3F-type, and the platform owner only encroaches on category P, not category F. Figure 4 shows that the independent seller will innovate variants for both categories at the same time, but the platform owner almost only copycats high-end category variants. The independent seller consistently develops and maintains more product variants to stay competitive and strives to survive in the category P market.
It can be seen from Figure 5 that the prices of both categories of the third-party seller increase; the price of the platform owner’s category F decreases, while the price of the platform owner’s category P increases. As the third-party seller continues to innovate category variants, the retail price of his products will increase. The price of 1P-type that the platform owner constantly copycats will also increase, but the price of 1F-type that the platform owner chooses not to copycat will decrease as the competitiveness of the independent seller increases.
Figure 6 shows that with the passage of time, compared with the platform owner, the third-party seller has the motivation to improve marketing efforts. Although the marketing effort level of the platform owner will gradually decrease while the marketing effort level of the independent seller gradually increases, since the independent seller has more products to sell, the marketing effort level will actually be lower than that of the platform owner; on the contrary, the platform owner needs to maintain a higher marketing effort level because of fewer product variants.
It can be seen from Figure 7 that the profits of both the third-party seller and the platform owner increase. Although the platform owner may encroach on the innovative products, the increase in product diversity meets more consumer demand, and there are more innovative products in the high-end market, increasing profits for both sellers.

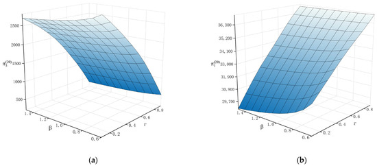
4.2. Influence of δ and α

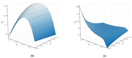
Figure 8, Figure 9, Figure 10 and Figure 11 show the influence of the consumers’ platform owner preference δ and the category vertical differentiation degree α on the equilibrium decision-making of both sellers (taking t = 20 as an example).
It can be seen from Figure 8 that the number of innovative variants of 3F-type is positively correlated with α; in contrast, the number of innovative variants of 3P-type and the number of copycat variants of 1P-type are negatively correlated with α. For the category F, when the quality difference between it and the category P is large, the third-party seller will usually increase the number of variants of the category F to make up for the lack of quality value identification. On the contrary, when the quality of the category P is significantly different from that of the category F, both types of sellers perceive less necessity to maintain a high volume of variants in the category P.
In addition, it can be seen from Figure 8 that for the category F, if consumers’ platform owner preference is high, the number of variants of 3F-type will be reduced. This is because the platform owner has no new variant of the category F, there is less competition, and the third-party seller will reduce variants to accommodate the actual reduction in demand. For the category P, if consumers’ platform owner preference is high, it will cause the third-party seller and the platform owner to increase variants of the category P at the same time. This is because there is a strong competitive relationship at this time, and both types of sellers take the decision to actively expand the number of category variants.
For the 1P-type, when the quality difference between category P and category F increases, or consumers’ platform owner preference increases, the price of 1P-type will increase almost linearly (see Figure 9a). For the 3P-type, when the quality gap between the category P and the category F increases, the price of 3P-type will monotonically increase. In addition, when consumers’ platform owner preference increases, at first the third-party seller can free ride the rapid rise in the pricing of 1P-type and increase the price of his own category P. However, as consumers’ platform owner preference exceeds the “free-riding window”, the pricing of 3P-type will fall. Therefore, it can be seen from Figure 9b that the retail price of 3P-type first increases and then decreases with the increase in δ.
It can be seen from Figure 9c that the retail price of 3F-type also first increases and then decreases with the increase in δ. This is because the high-end category whose price starts to fall will form a crowding-out effect on the low-end category. In addition, when δ approaches 1.0, it can be seen from Figure 9c that the price of 3F-type will gradually decrease as the quality of the category P greatly exceeds that of the category F. However, when δ is at a high level, we can see that the price of 3F-type may not decrease as α increases. The independent seller also has the potential to increase 3F-type pricing by innovating more variants that create value for consumers. This is not surprising, as the platform owner actually does not encroach innovative variants of category F.
For the 1P-type, if consumers’ platform owner preference is high, the platform owner sees no need to provide more marketing efforts for his products. Therefore, the marketing effort level of 1P-type decreases monotonically with δ (see Figure 10a). In addition, Figure 10a shows that when δ approaches 1.0, as the quality gap between the category P and the category F increases, the platform owner reduces the marketing effort level due to the reduction of copycat. However, when δ is at a high level, the platform owner promotes the third-party seller to innovate high-quality category variants through enhanced marketing efforts as α increases.
It can be seen from Figure 10b that the marketing effort level of 3F-type first increases and then decreases with the increase in δ. This is because when δ increases, the third-party seller will increase his marketing efforts for category F at first; however, if δ is larger, the third-party seller will shift more marketing efforts to category P with more innovative variants. In addition, Figure 10b shows that when δ approaches 1.0, the marketing effort level of 3F-type decreases as α increases. However, when δ is at a high level, the third-party seller will provide more marketing efforts for the increased number of 3F-type’s innovative variants as α increases.
It can be seen from Figure 10c that the marketing effort level of 3P-type increases monotonically with δ when α ≤ 2.4. For the 3P-type, when α is small, the third-party seller will provide more marketing efforts for the increased number of innovative variants as δ increases. However, Figure 10c shows that the effect of δ on the marketing effort level of 3P exhibits a positive N-shaped characteristic of “increase first, then decrease and then increase” when α > 2.4. This is because the increasing δ has to some extent discouraged the marketing enthusiasm of the third-party seller, but with the decline of the platform owner’s marketing efforts, the third-party seller will seize this opportunity to promote his products. In addition, Figure 10c shows that when δ approaches 1.0, the third-party seller attracts consumers by increasing the marketing effort level as α increases; when δ is at a high level, the third-party seller reduces marketing investment due to the weakening competition in the high-end market as α increases.
It can be seen from Figure 11 that the third-party seller’s profit first increases and then decreases with the increase in δ, and the platform’s profit increases monotonically with δ. This is because increasing δ is conducive to promoting the horizontal innovation of category P, and the third-party seller can benefit more from free rides at first. However, as δ exceeds the “free-riding window”, the 3P-type’s actual demand and retail price decrease, resulting in lower profits for the third-party seller, while the platform owner’s profit will increase monotonously. In addition, when α increases, the market demand and pricing of category P increase, and since the marginal profit of category P is higher, the profits of both sellers increase monotonously with α (see Figure 11).

4.3. Influence of β and r

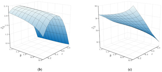
Figure 12, Figure 13, Figure 14 and Figure 15 show the influence of diseconomies of scale β and commission rate r on the equilibrium decision-making of both sellers (taking t = 20 as an example).
As can be seen from Figure 12, the number of innovative variants of 3F-type first increases and then decreases with the increase in r, the number of innovative variants of 3P-type is negatively correlated with r, and the number of copycat variants of 1P-type is negatively correlated with r. When the commission rate is quite low, the third-party seller does not innovate variants of category F and can gain more profits by innovating variants of category P; as r increases, the third-party seller starts expecting to increase profits by innovating lower-end products that the platform owner will not encroach on; however, when the r is quite high, the third-party seller is even forced to leave the platform, naturally reducing the investment in innovation. For the platform owner, when r is small, the platform owner is willing to directly benefit from his own business, resulting in an increase in the number of copycat variants. On the contrary, when r is large, the shared revenue (commission fee) is more important to the platform owner and the platform owner will reduce the encroachment of innovative products. In addition, Figure 12 shows that the higher the diseconomies of scale, the fewer the category variants in the online marketplace.
When β increases, the number of variants of category P decreases, and the price consumers are willing to pay for it decreases (see Figure 13a,b). It can be seen from Figure 13c that the retail price of 3F increases monotonically with β when r ≤ 0.5 and decreases monotonically with β when r > 0.5. This is because when r is small, the third-party seller hardly innovates new variants of category F. If β increases, the competitive pressure from category P decreases, which increases the retail price of category F. However, when r is large, the third-party seller innovates variants of category F. If β increases, the innovative variants of category F reduce, resulting in a lower retail price. Moreover, the 3P-type with a significantly lower retail price also has a crowding-out effect on low-end 3F-type.
In addition, it can be seen from Figure 13 that the retail price of all categories is proportional to r. This is because the larger r is, the more the platform owner relies on shared revenue. In order to prevent the excessive decline of shared revenue, the platform owner pushes the third-party seller to set higher retail prices by actively raising the prices of self-operated products.
When β increases, the innovation investment of the third-party seller in category P decreases, and naturally, the marketing efforts on category P also decrease (see Figure 14a). It can be seen from Figure 14b that the marketing effort level of 3F-type increases monotonically with β when r ≤ 0.5 and decreases monotonically with β when r > 0.5. As mentioned earlier, when r is small, the third-party seller hardly innovates new variants of category F. If β increases, the third-party seller will expand the low-end market by increasing his marketing efforts to 3F-type. However, when r is large, the third-party seller innovates variants of category F. If β increases, the third-party seller reduces marketing efforts for category F with fewer innovative variants.
It can be seen from Figure 14c that the marketing effort level of 1P-type decreases monotonically with β when r ≤ 0.5 and increases monotonically with β when r > 0.5. This is because when r is small, if β increases, the platform owner reduces the marketing effort level due to the reduction of copycat. However, when r is large, if β increases, the platform owner will motivate the third-party seller to be innovative by improving marketing efforts. In addition, it can be seen from Figure 14 that the marketing effort level of the above types varies with r in the same way as the number of variants with r.
It can be seen from Figure 15 that the third-party seller’s profit and the platform owner’s profit decrease monotonically with β. This is because when β increases, the horizontal innovation of each category decreases, resulting in lower profits for both sellers. In addition, Figure 15 shows that the third-party seller’s profit decreases monotonically with r, while the platform owner’s profit increases monotonically with r. For the third-party seller, when r increases, although the retail price of the category increases, the horizontal innovation degree of category P with higher marginal profit decreases, and the commission paid increases. Therefore, the overall profit of the third-party seller decreases. For the platform owner, when r increases, the commission charged increases, and the retail price of 1P-type increases. Therefore, the profit of the platform owner increases.

4.4. Managerial Insights

The following managerial insights based on the research results:
From the perspective of third-party sellers, third-party sellers must be wary of the platform owner’s product encroachment, which leads to a reduction in the differentiation of the category, reducing their innovation margin profit. Therefore, in order to avoid the excessive decline of the innovation marginal profit caused by the platform owner’s product encroachment, firstly, third-party sellers should adjust the innovation investment amount in each period according to the possible product encroachment behavior of the platform owner and increase the retail price and marketing effort level of innovative products. Secondly, as the platform owner focuses on the profitable category, third-party sellers can sell a variety of vertically differentiated categories at the same time. While competing fiercely with the platform owner in the high-end market, third-party sellers can also gain some profits by expanding their share of the low-end market. Thirdly, third-party sellers can also expand the vertical differentiation between the traffic-attracting category and the profitable category by improving the level of production technology and adding new variations of the traffic-attracting category to attract more consumers.
From the perspective of the platform owner, firstly, because the platform owner has a dominant market position, entering the third-party product market can bring more profits for himself. Therefore, the platform owner can choose to encroach on some products with high prices and deep product lines. Secondly, when considering whether to encroach on new products, the platform owner should not only weigh self-operated income and shared income, but also balance short-term profit through encroachment and damage to independent sellers’ product innovation caused by excessive encroachment. To be precise, the platform’s selective encroachment on new products can improve its own revenue while alleviating the inhibitory effect on the continuity of third-party sellers’ category innovation. In addition, in order to avoid third-party sellers being forced out of the market by the platform owner’s product encroachment, the platform owner can appropriately raise the retail prices of self-operated products and reduce marketing efforts to ease market competition. Thirdly, the platform owner can also improve consumers’ platform owner preference by ensuring the high quality of platform services, thereby encouraging third-party sellers to invest in research and development of high-quality new products. Furthermore, the platform owner should set a reasonable commission rate to ensure the variety of variations of various categories, thereby expanding the sales scope of the composite e-commerce platform.

5. Conclusions

This paper studies product encroachment by the e-commerce platform owner on independent third-party sellers’ innovative products. The applied model considers the dual differentiation of categories and combines the method of multi-agent simulation to conduct a competitive dynamic simulation study. The following conclusions are obtained: (1) In the case where multiple categories are sold at the same time, the third-party seller will innovate variants for both the traffic-attracting category and the profitable category at the same time and invest more funds in innovative R&D of high-quality category P, and the profit-driven platform owner will only encroach on the new variants of the profitable category. (2) Consumers’ platform owner preference and category vertical differentiation describe consumers’ valuation of different categories, both of which affect the intensity of competition between categories and consumers’ purchasing utility, thereby affecting the equilibrium decision-making of the third-party seller and the platform owner. When the categories of the platform owner have a greater valuation advantage, the third-party seller has a stronger incentive to innovate variants of category P, and the platform owner has a stronger incentive to encroach. When the valuation advantage of the high-quality category is obvious, the motivation of the third-party seller to innovate variants of category F increases. (3) The commission rate and diseconomies of scale directly affect the distribution of shared income and the marginal profit of category innovation, thus affecting the equilibrium decision-making of the third-party seller and the platform owner. If the commission rate is low, the third-party seller will invest in innovating variants of category P. If the commission rate is high, although the platform owner has a weak incentive to encroach, the third-party seller has little investment in product innovation. The diseconomies of scale of category diversity management costs hinder the growth of product variety in the online marketplace.
The research in this paper can be extended in the following directions: Firstly, the composite e-commerce platform model considered in this paper is relatively simple, with only the platform owner and one third-party seller. In the future, it can be extended to study the case of multiple independent sellers. Secondly, this paper assumes that consumers are rational and seek to maximize utility and does not consider consumers’ strategic behaviors. Future studies should explore whether strategic consumers will guide the product innovation behavior of independent sellers and the product encroachment behavior of the platform owner through their own first-period purchases. Finally, this paper integrates product encroachment and product innovation and drives the platform owner’s product encroachment with high profit. In the future, product encroachment can also be studied with the goal of regulating product quality.

Author Contributions

Conceptualization, T.Y. and Z.W.; methodology, Z.W.; software, T.Y.; validation, Z.W.; formal analysis, T.Y. and Z.W.; investigation, T.Y. and Z.W.; resources, T.Y. and Z.W.; data curation, Z.W.; writing—original draft preparation, Z.W.; writing—review and editing, T.Y. and Z.W.; visualization, Z.W.; supervision, Z.W.; project administration, T.Y.; funding acquisition, T.Y. All authors have read and agreed to the published version of the manuscript.

Funding

This research received no external funding.

Data Availability Statement

Not applicable.

Conflicts of Interest

The authors declare no conflict of interest.

References

  1. Piezunka, H.; Katila, R.; Eisenhardt, K.M. Big fish or big pond? Seller’s dilemma in intermediary selection. AOM Proc. 2016, 1, 10208. [Google Scholar] [CrossRef]
  2. Khan, L.M. Amazon’s Antitrust Paradox. Yale Law J. 2017, 126, 710–805. [Google Scholar]
  3. Prince, J.T.; Simon, D.H. Do incumbents improve service quality in response to entry? Evidence from airlines’ on-time performance. Manag. Sci. 2015, 61, 372–390. [Google Scholar] [CrossRef]
  4. Ethiraj, S.; Zhou, Y.M. Fight or flight? Market positions, submarket interdependencies, and strategic responses to entry threats. SMJ 2019, 40, 1545–1569. [Google Scholar] [CrossRef]
  5. Li, X.; Cai, X.Q.; Chen, J. Quality and Private Label Encroachment Strategy. Prod. Oper. Manag. 2021, 31, 374–390. [Google Scholar] [CrossRef]
  6. Jiang, B.; Jerath, K.; Srinivasan, K. Firm Strategies in the ‘Mid Tail’ of Platform-Based Retailing? Mark. Sci. 2011, 30, 757–775. [Google Scholar] [CrossRef]
  7. Ti, H.W.; Huang, L.; Pei, L.G. Amazon’s Market Demand and Differential Product Selection Research. In Proceedings of the 2020 11th International Conference on E-Education, E-Business, E-Management, and E-Learning, Osaka, Japan, 10–12 January 2020; pp. 360–363. [Google Scholar]
  8. Yu, Y.; Huang, G. Nash game model for optimizing market strategies, configuration of platform products in a Vendor Managed Inventory (VMI) supply chain for a product family. Eur. J. Oper. Res. 2010, 206, 361–373. [Google Scholar] [CrossRef][Green Version]
  9. Zhou, H.; Wang, S.Y.; Cheng, T.C.E. Competition and evolution in multi-product supply chains: An agent-based retailer model. Int. J. Prod. Econ. 2013, 146, 325–336. [Google Scholar]
  10. Jiang, G.; Liu, S.; Liu, W.; Xu, Y. Agent-based modeling and simulation of the decision behaviors of e-retailers. Ind. Manag. Data Syst. 2018, 118, 1094–1113. [Google Scholar] [CrossRef]
  11. Parker, G.; Van Alstyne, M.W. Two-sided network effects: A theory of information product design. Manag. Sci. 2005, 51, 1494–1504. [Google Scholar] [CrossRef]
  12. Parker, G.; Van Alstyne, M.W. Innovation, openness, and platform control. Manag. Sci. 2014, 64, 2973–3468. [Google Scholar]
  13. Gawer, A.; Henderson, R. Platform owner entry and innovation in complementary markets: Evidence from Intel. J. Econ. Manag. Strat. 2007, 16, 1–34. [Google Scholar] [CrossRef]
  14. Zhu, F.; Liu, Q.H. Competing with Complementors: An Empirical Look at Amazon.com. SMJ 2018, 39, 2618–2642. [Google Scholar] [CrossRef]
  15. Li, Q.; Wang, Q.S.; Song, P.J. Third-party sellers’ product entry strategy and its sales impact on a hybrid retail platform. Electron. Commer. Res. Appl. 2021, 47, 101049. [Google Scholar] [CrossRef]
  16. Hagiu, A.; Teh, T.H.; Wright, J. Should Platforms Be Allowed to Sell on Their Own Marketplaces? Rand J. Econ. 2022, 53, 297–327. [Google Scholar] [CrossRef]
  17. Etro, F. Product selection in online marketplaces. J. Econ. Manag. Strat. 2021, 30, 614–637. [Google Scholar] [CrossRef]
  18. Feng, N.; Chen, J.J.; Feng, H.Y.; Li, M.Q. Optimal product selection and pricing strategies for platform vendors under two-sided network effects. Electron. Commer. Res. Appl. 2020, 43, 100990. [Google Scholar] [CrossRef]
  19. Wu, C.H.; Lai, J.Y. Dynamic pricing and competitive time-to-market strategy of new product launch under a multistage duopoly. Eur. J. Oper. Res. 2019, 277, 138–152. [Google Scholar] [CrossRef]
  20. Yi, Y.Y.; Chen, Y.X. Product appearance and functionality quality competition model in toy manufacturers duopoly market. CIMS 2020, 26, 2216–2231. [Google Scholar]
  21. Baron, D.P. Dynamic positioning, product innovation, and entry in a vertically differentiated market. J. Econ. Manag. Strat. 2021, 30, 287–307. [Google Scholar] [CrossRef]
  22. Li, C.Y.; Zhang, C.H.; Li, Y.T. Research on Innovation R&D Strategy of Manufacturers Considering Following Product Encroachment under Differentiated Innovation Capability. Chin. J. Manag. Sci. 2021, 1–12. [Google Scholar] [CrossRef]
  23. Zhang, T.; Li, G.; Lai, K.K.; Leung, J.W.K. Information disclosure strategies for the intermediary and competitive sellers. Eur. J. Oper. Res. 2018, 271, 1156–1173. [Google Scholar] [CrossRef]
  24. Shangguan, L.L.; Miao, Z.W.; Lan, Y.Q. Two-dimensional product differentiation and pricing strategies. Syst. Eng. Pract. 2021, 41, 93–112. [Google Scholar]
  25. Jalali, H.; Van den Broeke, M.; Van Nieuwenhuyse, I. Platform and product design for markets with quality and feature sensitive customers. Int. J. Prod. Econ. 2022, 244, 108354. [Google Scholar] [CrossRef]
  26. Tian, C.; Xiao, T.; Shang, J. Channel differentiation strategy in a dual-channel supply chain considering free riding behavior. Eur. J. Oper. Res. 2022, 301, 473–485. [Google Scholar] [CrossRef]
  27. Lv, H. Who benefits when coupons are issued by a duopoly from an e-market? Manag. Decis. Econ. 2021, 42, 1656–1664. [Google Scholar] [CrossRef]
  28. Feng, J.; Li, X.; Zhang, X.Q. Online Product Reviews-Triggered Dynamic Pricing: Theory and Evidence. ISR 2019, 30, 1107–1123. [Google Scholar] [CrossRef]
  29. Liu, Y.M.; Yang, R.Y.; Fan, C. The Manufacturer’s Strategy Choice of Online Customization Channel Considering Product Variety. Soft Sci. 2017, 31, 123–127+138. [Google Scholar]
  30. Zhao, J.; Liu, J.; Mei, S.E. Optimization Strategies of Corporate Targeted Advertising Based on Dual Channels. CIMS 2019, 25, 2385–2394. [Google Scholar]
  31. Shou, Y.Y.; Song, C.J. Optimization of R&D project partner selection for complex product systems. Sci. Res. Manag. 2014, 35, 144–149. [Google Scholar]
Figure 1. Decision sequence.
Figure 1. Decision sequence.
Systems 10 00215 g001
Figure 2. Consumer market segmentation.
Figure 2. Consumer market segmentation.
Systems 10 00215 g002
Figure 3. Schematic diagram of multi-period, multi-product innovation-and-encroachment decision-making process of composite e-commerce platform ecosystem.
Figure 3. Schematic diagram of multi-period, multi-product innovation-and-encroachment decision-making process of composite e-commerce platform ecosystem.
Systems 10 00215 g003
Figure 4. Number of sub-variants of each category of each seller during multiple periods (a) number of sub-variants of category F of each seller during multiple periods and (b) number of sub-variants of category P of each seller during multiple periods.
Figure 4. Number of sub-variants of each category of each seller during multiple periods (a) number of sub-variants of category F of each seller during multiple periods and (b) number of sub-variants of category P of each seller during multiple periods.
Systems 10 00215 g004
Figure 5. Retail price for each category of each seller during multiple periods: (a) retail price for 3F-type during multiple periods, (b) retail price for 3P-type during multiple periods, (c) retail price for 1F-type during multiple periods, and (d) retail price for 1P-type during multiple periods.
Figure 5. Retail price for each category of each seller during multiple periods: (a) retail price for 3F-type during multiple periods, (b) retail price for 3P-type during multiple periods, (c) retail price for 1F-type during multiple periods, and (d) retail price for 1P-type during multiple periods.
Systems 10 00215 g005aSystems 10 00215 g005b
Figure 6. Marketing effort level of each category by each seller during multiple periods: (a) marketing effort level of 3F-type during multiple periods; (b) marketing effort level of 3P-type during multiple periods; (c) marketing effort level of 1F-type during multiple periods; and (d) marketing effort level of 1P-type during multiple periods.
Figure 6. Marketing effort level of each category by each seller during multiple periods: (a) marketing effort level of 3F-type during multiple periods; (b) marketing effort level of 3P-type during multiple periods; (c) marketing effort level of 1F-type during multiple periods; and (d) marketing effort level of 1P-type during multiple periods.
Systems 10 00215 g006aSystems 10 00215 g006b
Figure 7. Profit of each seller during multiple periods: (a) profit of the third-party seller during multiple periods and (b) profit of the platform owner during multiple periods.
Figure 7. Profit of each seller during multiple periods: (a) profit of the third-party seller during multiple periods and (b) profit of the platform owner during multiple periods.
Systems 10 00215 g007
Figure 8. The variation in the number of variants of each category of each seller with δ and α: (a) the variation in the number of variants of category F of each seller with δ and α, and (b) the variation in the number of variants of category P of each seller with δ and α.
Figure 8. The variation in the number of variants of each category of each seller with δ and α: (a) the variation in the number of variants of category F of each seller with δ and α, and (b) the variation in the number of variants of category P of each seller with δ and α.
Systems 10 00215 g008
Figure 9. The variation in retail price of types 1P, 3P, and 3F with δ and α: (a) the variation in retail price of 1P-type with δ and α, (b) the variation in retail price of 3P-type with δ and α, and (c) the variation in retail price of 3F-type with δ and α.
Figure 9. The variation in retail price of types 1P, 3P, and 3F with δ and α: (a) the variation in retail price of 1P-type with δ and α, (b) the variation in retail price of 3P-type with δ and α, and (c) the variation in retail price of 3F-type with δ and α.
Systems 10 00215 g009
Figure 10. The variation in marketing effort level of types 1P, 3F, and 3P with δ and α: (a) the variation in marketing effort level of 1P-type with δ and α, (b) the variation in marketing effort level of 3F-type with δ and α, and (c) the variation in marketing effort level of 3P-type with δ and α.
Figure 10. The variation in marketing effort level of types 1P, 3F, and 3P with δ and α: (a) the variation in marketing effort level of 1P-type with δ and α, (b) the variation in marketing effort level of 3F-type with δ and α, and (c) the variation in marketing effort level of 3P-type with δ and α.
Systems 10 00215 g010aSystems 10 00215 g010b
Figure 11. The variation of profit of each seller with δ and α: (a) the variation of profit of the third-party seller with δ and α, and (b) the variation of profit of the platform owner with δ and α.
Figure 11. The variation of profit of each seller with δ and α: (a) the variation of profit of the third-party seller with δ and α, and (b) the variation of profit of the platform owner with δ and α.
Systems 10 00215 g011
Figure 12. The variation in the number of variants of each category of each seller with β and r: (a) the variation in the number of variants of category F of each seller with β and r, and (b) the variation in the number of variants of category P of each seller with β and r.
Figure 12. The variation in the number of variants of each category of each seller with β and r: (a) the variation in the number of variants of category F of each seller with β and r, and (b) the variation in the number of variants of category P of each seller with β and r.
Systems 10 00215 g012
Figure 13. The variation in retail price of types 1P, 3P, and 3F with β and r: (a) the variation in retail price of 1P-type with β and r, (b) the variation in retail price of 3P-type with β and r; and (c) the variation in retail price of 3F-type with β and r.
Figure 13. The variation in retail price of types 1P, 3P, and 3F with β and r: (a) the variation in retail price of 1P-type with β and r, (b) the variation in retail price of 3P-type with β and r; and (c) the variation in retail price of 3F-type with β and r.
Systems 10 00215 g013aSystems 10 00215 g013b
Figure 14. The variation in marketing effort level of types 3P, 3F, and 1P with β and r: (a) the variation in marketing effort level of 3P-type with β and r, (b) the variation in marketing effort level of 3F-type with β and r, and (c) the variation in marketing effort level of 1P-type with β and r.
Figure 14. The variation in marketing effort level of types 3P, 3F, and 1P with β and r: (a) the variation in marketing effort level of 3P-type with β and r, (b) the variation in marketing effort level of 3F-type with β and r, and (c) the variation in marketing effort level of 1P-type with β and r.
Systems 10 00215 g014aSystems 10 00215 g014b
Figure 15. The variation of profit of each seller with β and r: (a) the variation of profit of the third-party seller with β and r, and (b) the variation of profit of the platform owner with β and r.
Figure 15. The variation of profit of each seller with β and r: (a) the variation of profit of the third-party seller with β and r, and (b) the variation of profit of the platform owner with β and r.
Systems 10 00215 g015
Table 1. Comparative summary of related studies.
Table 1. Comparative summary of related studies.
ReferencesCategory EncroachmentCategory InnovationVertical DifferentiationHorizontal DifferentiationMulti-PeriodGame AnalysisMulti-Agent
Gawer and Henderson [13]
Zhu and Liu [14]
Li et al. [15]
Parker and
Van Alstyne [12]
Jiang et al. [6]
Hagiu et al. [16]
Etro [17]
Feng et al. [18]
Wu and Lai [19]
Yi and Chen [20]
Baron [21]
Li et al. [22]
Zhang et al. [23]
Feng et al. [28]
Shangguan
et al. [24]
Jalali et al. [25]
Tian et al. [26]
Lv [27]
This study
Table 2. Model parameters and variable value settings.
Table 2. Model parameters and variable value settings.
PARAM, VARMeaningValueAssignment Rules
θ + Scope of consumers’ quality assessment of categories100Constant
q F Quality of Category F1000Constant
αCategory vertical differentiation2.0, 2.1, 2.2, etc.Constant, set according to the experimental situation
δPlatform owner operated channel preference of customers1.5, 1.6, 1.7, etc.Constant, set according to the experimental situation
βDiseconomies of scale in product management costs0.8, 1.0, 1.2, etc.Constant, set according to the experimental situation
rThe commission rate charged by the platform0.4, 0.5, 0.6, etc.Constant, set according to the experimental situation
σSensitivity of product innovation success to investment0.3Constant
γMarginal cost of product innovation investment70Constant
p ij ( t ) Retail price of category j of seller i[0, 1500]Automatically adjust settings from GA training results
e ij ( t ) Marketing efforts of category j by seller i[0, 100]Automatically adjust settings from GA training results
n ij ( t ) The number of variants of seller i’s category j Initial   value     n ij ( 0 ) = 0 Automatically adjust settings from GA training results
Publisher’s Note: MDPI stays neutral with regard to jurisdictional claims in published maps and institutional affiliations.

Share and Cite

MDPI and ACS Style

Wang, Z.; Yang, T. Multi-Category Innovation and Encroachment Strategy Evolution of Composite E-Commerce Platform Based on Multi-Agent Simulation. Systems 2022, 10, 215. https://doi.org/10.3390/systems10060215

AMA Style

Wang Z, Yang T. Multi-Category Innovation and Encroachment Strategy Evolution of Composite E-Commerce Platform Based on Multi-Agent Simulation. Systems. 2022; 10(6):215. https://doi.org/10.3390/systems10060215

Chicago/Turabian Style

Wang, Ziyan, and Tianjian Yang. 2022. "Multi-Category Innovation and Encroachment Strategy Evolution of Composite E-Commerce Platform Based on Multi-Agent Simulation" Systems 10, no. 6: 215. https://doi.org/10.3390/systems10060215

APA Style

Wang, Z., & Yang, T. (2022). Multi-Category Innovation and Encroachment Strategy Evolution of Composite E-Commerce Platform Based on Multi-Agent Simulation. Systems, 10(6), 215. https://doi.org/10.3390/systems10060215

Note that from the first issue of 2016, this journal uses article numbers instead of page numbers. See further details here.

Article Metrics

Back to TopTop