Impact of the Static Magnetic Field on Growth, Pigments, Osmolytes, Nitric Oxide, Hydrogen Sulfide, Phenylalanine Ammonia-Lyase Activity, Antioxidant Defense System, and Yield in Lettuce
Abstract
1. Introduction
2. Materials and Methods
2.1. Magneto-Priming Treatment and Experimental Setup
2.2. Growth Parameters and Pigments Content
2.3. Compatible Osmolyte Contents
2.4. Reactive Oxygen Species (ROS) and Lipid Peroxidation Content
2.5. Nitrate Reductase (NR), Nitric Oxide (NO), and Hydrogen Sulfide (H2S) Content
2.6. Enzymatic Antioxidant Assay
2.7. Non-Enzymatic Antioxidant Assay
2.7.1. Total Phenolic and Flavonoid Content
2.7.2. Anthocyanin Content
2.7.3. Ascorbic Acid (ASA) and Reduced Glutathione (GSH) Content
2.7.4. α-Tocopherol Content
2.8. Phenylalanine Ammonia-Lyase (PAL) Activity
2.9. Crop Yield Production
2.10. Statistical Analysis
3. Results
3.1. Impact of Different Intensities of SMF for Three Exposure Periods on Growth Criteria and Yield
3.2. Impact of Different Intensities of SMF for Three Exposure Periods on Pigments Content
3.3. Impact of Different Intensities of SMF for Three Exposure Periods on Osmolytes
3.4. Impact of Different Intensities of SMF for Three Exposure Periods on ROS and Oxidative Damage Trait
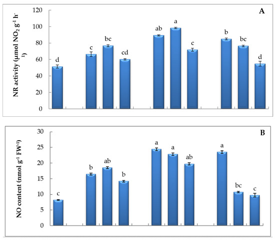
3.5. Impact of Different Intensities of SMF for Three Exposure Periods on NR Activity, NO, and H2S Content
3.6. Impact of Different Intensities of SMF for Three Times on Enzymatic Antioxidants
3.7. Impact of Different Intensities of SMF for Three Exposure Periods on Secondary Metabolism, Non-Enzymatic Antioxidants, and PAL Activity
3.8. PCA Analysis of Different Variable Relationships in Lettuce under SMF Exposure
4. Discussion
5. Conclusions
Author Contributions
Funding
Acknowledgments
Conflicts of Interest
References
- Mohapatra, U.; McCabe, M.S.; Power, J.B.; Schepers, F.; Van Der Arend, A.; Davey, M.R. Expression of the Bar Gene Confers Herbicide Resistance in Transgenic Lettuce. Transgenic Res. 1999, 8, 33–44. [Google Scholar] [CrossRef]
- Pileggi, M.; Pereira, A.A.M.; Silva, J.D.S.; Pileggi, S.A.V.; Verma, D.P.S. An improved method for transformation of lettuce by Agrobacterium tumefaciens with a gene that confers freezing resistance. Braz. Arch. Boil. Technol. 2001, 44, 191–196. [Google Scholar] [CrossRef]
- Vanjildorj, E.; Bae, T.-W.; Riu, K.-Z.; Kim, S.-Y.; Lee, H.-Y. Overexpression of Arabidopsis ABF3 gene enhances tolerance to droughtand cold in transgenic lettuce (Lactuca sativa). Plant Cell Tissue Organ Cult. 2005, 83, 41–50. [Google Scholar] [CrossRef]
- Ichikawa, Y.; Tamoi, M.; Sakuyama, H.; Maruta, T.; Ashida, H.; Yokota, A.; Shigeoka, S. Generation of transplastomic lettuce with enhanced growth and high yield. GM Crops 2010, 1, 322–326. [Google Scholar] [CrossRef]
- Cheng, D.M.; Pogrebnyak, N.; Kühn, P.; Krueger, C.G.; Johnson, W.; Raskin, I. Development and Phytochemical Characterization of High Polyphenol Red Lettuce with Anti-Diabetic Properties. PLoS ONE 2014, 9, e91571. [Google Scholar] [CrossRef]
- Aladjadjiyan, A. Influence of stationary magnetic field on lentil seeds. Int. Agrophys. 2010, 24, 321–324. [Google Scholar]
- Da Silva, J.A.T.; Dobránszki, J. Magnetic fields: How is plant growth and development impacted? Protoplasma 2015, 253, 231–248. [Google Scholar] [CrossRef]
- Belyavskaya, N. Biological effects due to weak magnetic field on plants. Adv. Space Res. 2004, 34, 1566–1574. [Google Scholar] [CrossRef]
- Sahebjamei, H.; Abdolmaleki, P.; Ghanati, F. Effects of magnetic field on the antioxidant enzyme activities of suspension-cultured tobacco cells. Bioelectromagnetics 2006, 28, 42–47. [Google Scholar] [CrossRef]
- Shine, M.B.; Kataria, S.; Guruprasad, K.N. Enhancement of maize seeds germination by magnetopriming in perspective with reactive oxygen species. J. Agric. Crop Res. 2017, 5, 66–76. [Google Scholar]
- Zhang, X.; Yarema, K.; Xu, A. Biological Effects of Static Magnetic Fields. In Biological Effects of Static Magnetic Fields; Springer Science and Business Media LLC: Berlin/Heidelberg, Germany, 2017; pp. 133–172. [Google Scholar]
- Pauling, L. Diamagnetic anisotropy of the peptide group. Proc. Natl. Acad. Sci. USA 1979, 76, 2293–2294. [Google Scholar] [CrossRef] [PubMed]
- Gould, J.L. Magnetoreception. Curr. Biol. 2010, 20, 431–435. [Google Scholar] [CrossRef] [PubMed]
- Shabrangi, A.; Hassanpour, H.; Majd, A.; Sheidai, M. Induction of genetic variation by electromagnetic fields in Zea mays L. and Brassica napus L. Caryologia 2015, 68, 272–279. [Google Scholar] [CrossRef][Green Version]
- Baghel, L.; Kataria, S.; Guruprasad, K.N. Static magnetic field treatment of seeds improves carbon and nitrogen metabolism under salinity stress in soybean. Bioelectromagnetics 2016, 37, 455–470. [Google Scholar] [CrossRef]
- Rezaei, A.; Ghanati, F.; Behmanesh, M. Static magnetic field improved salicylic acid effect on taxol production in suspension cultured hazel (Corylus avellana) cells. In Proceedings of the 6th International Workshop on Biological Effects of Electromagnetic Fields, Bodrum, Turkey, 11–17 October 2010; pp. 70–71. [Google Scholar]
- De Souza, A.; García, D.; Sueiro, L.; Gilart, F. Improvement of the seed germination, growth and yield of onion plants by extremely low frequency non-uniform magnetic fields. Sci. Hortic. 2014, 176, 63–69. [Google Scholar] [CrossRef]
- Youssef, M.; Kamer, M.E.A. Effectiveness of different nutrition sources and magnetic fields on lettuce grown under hydroponic system. Sci. J. Agric. Sci. 2019, 1, 62–71. [Google Scholar] [CrossRef]
- Lichtenthaler, H.K.; Wellburn, A.R. Determinations of total carotenoids and chlorophylls a and b of leaf extracts in different solvents. Biochem. Soc. Trans. 1983, 11, 591–592. [Google Scholar] [CrossRef]
- Fales, F.W. The assimilation and degradation of carbohydrates by yeast cells. J. Boil. Chem. 1951, 193, 113–124. [Google Scholar]
- Schlegel, H.-G. Die Verwertung organischer Säuren durch Chlorella im Licht. Planta 1956, 47, 510–526. (In German) [Google Scholar] [CrossRef]
- Bates, L.S.; Waldren, R.P.; Teare, I.D. Rapid determination of free proline for water-stress studies. Plant Soil 1973, 39, 205–207. [Google Scholar] [CrossRef]
- Lowry, O.H.; Rosebrough, N.J.; Farr, A.L.; Randall, R.J. Protein measurement with the Folin phenol reagent. J. Boil. Chem. 1951, 193, 291–297. [Google Scholar]
- Moore, S.; Stein, W.H. Photometric ninhydrin method for use in the chromatography of amino acids. J. Boil. Chem. 1948, 176, 367–388. [Google Scholar]
- Mukherjee, S.P.; Choudhuri, M.A. Implications of water stress-induced changes in the levels of endogenous ascorbic acid and hydrogen peroxide in Vigna seedlings. Physiol. Plant. 1983, 58, 166–170. [Google Scholar] [CrossRef]
- Elstner, E.F.; Heupel, A. Formation of hydrogen peroxide by isolated cell walls from horseradish (Armoracia lapathifolia Gilib). Planta 1976, 130, 175–180. [Google Scholar] [CrossRef] [PubMed]
- Rao, M.K.V.; Sresty, T.V.S. Antioxidative parameters in the seedlings of pigeon pea (Cajanus cajan (L.) Millspaugh) in response to Zn and Ni stresses. Plant Sci. 2000, 157, 113–128. [Google Scholar]
- Downs, M.; Nadelhoffer, K.; Melillo, J.; Aber, J. Foliar and fine root nitrate reductase activity in seedlings of four forest tree species in relation to nitrogen availability. Trees 1993, 7, 233–236. [Google Scholar] [CrossRef]
- Ding, A.H.; Nathan, C.F.; Stuehr, D.J. Release of reactive nitrogen intermediates and reactive oxygen intermediates from mouse peritoneal macrophages. Comparison of activating cytokines and evidence for independent production. J. Immunol. 1988, 141, 2407–2412. [Google Scholar]
- Hu, X.; Fang, J.; Cai, W.; Tang, Z. NO-mediated hypersensitive responses of rice suspension cultures induced by incompatible elicitor. Chin. Sci. Bull. 2003, 48, 358–363. [Google Scholar] [CrossRef]
- Nashef, A.S.; Osuga, D.T.; Feeney, R.E. Determination of hydrogen sulfide with 5,5-dithiobis-(2-nitrobenzoic acid), N-ethylmaleimide, and parachloromercuribenzoate. Anal. Biochem. 1977, 79, 394–405. [Google Scholar] [CrossRef]
- Ahmad, P.; Latef, A.A.H.A.; Hashem, A.; Allah, E.F.A.; Gücel, S.; Tran, L.-S.P. Nitric Oxide Mitigates Salt Stress by Regulating Levels of Osmolytes and Antioxidant Enzymes in Chickpea. Front. Plant Sci. 2016, 7, 347. [Google Scholar] [CrossRef]
- Stewart, R.R.C.; Bewley, J.D. Lipid Peroxidation Associated with Accelerated Aging of Soybean Axes. Plant Physiol. 1980, 65, 245–248. [Google Scholar] [CrossRef] [PubMed]
- Chen, G.; Asada, K. Inactivation of ascorbate peroxidase by thoils requires hydrogen peroxide. Plant Cell Physiol. 1992, 33, 117–123. [Google Scholar]
- Aebi, H. Catalase in vitro. Methods Enzymol. 1984, 105, 121–126. [Google Scholar]
- Maehly, A.C.; Chance, B. The assay of catalases and peroxidases. Methods Biochem. Anal. 1954, 1, 357–425. [Google Scholar] [PubMed]
- Lavid, N.; Schwartz, A.; Lewinsohn, E.; Tel-Or, E. Phenols and phenol oxidases are involved in cadmium accumulation in the water plants Nymphoides peltata (Menyanthaceae) and Nymphaeae (Nymphaeaceae). Planta 2001, 214, 189–195. [Google Scholar] [CrossRef] [PubMed]
- Flohé, L.; Günzler, W.A. Assays of glutathione peroxidase. Methods Enzymol. 1984, 105, 114–120. [Google Scholar] [CrossRef]
- Ghelfi, A.; Gaziola, S.; Cia, M.; Chabregas, S.; Falco, M.; Kuser-Falcao, P.; Azevedo, R. Cloning, expression, molecular modelling and docking analysis of glutathione transferase from Saccharum officinarum. Ann. Appl. Boil. 2011, 159, 267–280. [Google Scholar] [CrossRef]
- Kofalvi, S.; Nassuth, A. Influence of wheat streak mosaic virus infection on phenylpropanoid metabolism and the accumulation of phenolics and lignin in wheat. Physiol. Mol. Plant Pathol. 1995, 47, 365–377. [Google Scholar] [CrossRef]
- Zou, Y.; Lu, Y.; Wei, D. Antioxidant Activity of a Flavonoid-Rich Extract of Hypericum perforatum L in Vitro. J. Agric. Food Chem. 2004, 52, 5032–5039. [Google Scholar] [CrossRef]
- Krizek, D.T.; Kramer, G.F.; Upadhyaya, A.; Mirecki, R.M. UV-B response of cucumber seedling grown under metal halide and high pressure sodium/deluxe lamps. Physiol. Plant. 1993, 88, 350–358. [Google Scholar] [CrossRef]
- Jagota, S.; Dani, H. A new colorimetric technique for the estimation of vitamin C using Folin phenol reagent. Anal. Biochem. 1982, 127, 178–182. [Google Scholar] [CrossRef]
- Ellman, G.L. Tissue sulfhydryl groups. Arch. Biochem. Biophys. 1959, 82, 70–77. [Google Scholar] [CrossRef]
- Kivcak, B.; Mert, T. Quantitative determination of a-tocopherol. Fitoterapia 2001, 72, 656–661. [Google Scholar] [CrossRef]
- Sykłowska-Baranek, K.; Pietrosiuk, A.; Naliwajski, M.R.; Kawiak, A.; Jeziorek, M.; Wyderska, S.; Łojkowska, E.; Chinou, I. Effect of l-phenylalanine on PAL activity and production of naphthoquinone pigments in suspension cultures of Arnebia euchroma (Royle) Johnst. Vitr. Cell. Dev. Boil. Anim. 2012, 48, 555–564. [Google Scholar] [CrossRef]
- Martínez, F.R.; Pacheco, A.D.; Pardo, G.P.; Aguilar, C.H.; Ortiz, E.M. Variable Magnetic Field Effects on Seed Germination of Broccoli (Brassica oleracea L.). Annu. Res. Rev. Biol. 2014, 4, 3627–3635. [Google Scholar] [CrossRef]
- Usanov, A.D.; Belyachenko, Y.A.; Verkhov, D.G.; Tyrnov, V.S.; Usanov, D.A. Effect of frequency of alternating magnetic field on stimulation of plants meristem mitotic activity. Biochem. Biophys. 2013, 1, 61–65. [Google Scholar]
- Kuznetsov, O.A.; Schwuchow, J.; Sack, F.D.; Hasenstein, K.H. Curvature Induced by Amyloplast Magnetophoresis in Protonemata of the Moss Ceratodon purpureus. Plant Physiol. 1999, 119, 645–650. [Google Scholar] [CrossRef][Green Version]
- Radhakrishnan, R.; Kumari, B.D.R. Influence of pulsed magnetic field on soybean (Glycine max L.) seed germination, seedling growth and soil microbial population. Indian J. Biochem. Biophys. 2013, 50, 312–317. [Google Scholar]
- Kondrachuk, A.; Belyavskaya, N. The influence of the HGMF on mass-charge transfer in gravisensing cells. J. Gravit. Physiol. 2001, 8, 37–38. [Google Scholar]
- Baghel, L.; Kataria, S.; Guruprasad, K.N. Effect of static magnetic field pretreatment on growth, photosynthetic performance and yield of soybean under water stress. Photosynth. Photosynth. 2018, 56, 718–730. [Google Scholar] [CrossRef]
- Radhakrishnan, R. Magnetic field regulates plant functions, growth and enhances tolerance against environmental stresses. Physiol. Mol. Biol. Plants 2019, 25, 1107–1119. [Google Scholar] [CrossRef] [PubMed]
- Toulon, V.; Sentenac, H.; Thibaud, J.B.; Davidian, J.C.; Moulineau, C.; Grignon, C. Role of apoplast acidification by the H+ pump: Effect on the sensitivity to pH and CO2 of Brassica napus L. Planta 1992, 186, 212–218. [Google Scholar] [CrossRef] [PubMed]
- Sawhney, V.; Singh, D. Effect of chemical desiccation at the post-anthesis stage on some physiological and biochemical changes in the flag leaf of contrasting wheat genotypes. Field Crops Res. 2002, 77, 1–6. [Google Scholar] [CrossRef]
- Couée, I.; Sulmon, C.; Gouesbet, G.; El Amrani, A. Involvement of soluble sugars in reactive oxygen species balance and responses to oxidative stress in plants. J. Exp. Bot. 2006, 57, 449–459. [Google Scholar] [CrossRef] [PubMed]
- Yamashita, M.; Tomita-Yokotani, K.; Hashimoto, H.; Takai, M.; Tsushima, M.; Nakamura, T. Experimental concept for examination of biological effects of magnetic field concealed by gravity. Adv. Space Res. 2004, 34, 1575–1578. [Google Scholar] [CrossRef]
- De Souza, A.; Sueiro, L.; González, L.M.; Licea, L.; Porras, E.P.; Gilart, F. Improvement of the Growth and Yield of Lettuce Plants by Non-Uniform Magnetic Fields. Electromagn. Boil. Med. 2008, 27, 173–184. [Google Scholar] [CrossRef]
- Serraj, R.; Sinclair, T.R. Osmolyte accumulation: Can it really help increase crop yield under drought conditions? Plant Cell Environ. 2002, 25, 333–341. [Google Scholar] [CrossRef] [PubMed]
- Rajendrakumar, C.; Reddy, B.; Reddy, A. Proline-Protein Interactions: Protection of Structural and Functional Integrity of M4 Lactate Dehydrogenase. Biochem. Biophys. Res. Commun. 1994, 201, 957–963. [Google Scholar] [CrossRef] [PubMed]
- Kataria, S.; Jain, M.; Tripathi, D.K.; Singh, D.P. Involvement of nitrate reductase-dependent nitric oxide production in magnetopriming-induced salt tolerance in soybean. Physiol. Plant. 2019, 168, 422–436. [Google Scholar] [CrossRef] [PubMed]
- Dawood, M.F.; Azooz, M.M. Concentration-dependent effects of tungstate on germination, growth, lignification-related enzymes, antioxidants, and reactive oxygen species in broccoli (Brassica oleracea var. italica L.). Environ. Sci. Pollut. Res. 2019, 26, 36441–36457. [Google Scholar] [CrossRef]
- Jia, H.; Hu, Y.; Fan, T.; Li, J. Hydrogen sulfide modulates actin-dependent auxin transport via regulating ABPs results in changing of root development in Arabidopsis. Sci. Rep. 2015, 5, 8251. [Google Scholar] [CrossRef] [PubMed]
- Jin, Z.; Xue, S.; Luo, Y.; Tian, B.; Fang, H.; Li, H.; Pei, Y. Hydrogen sulfide interacting with abscisic acid in stomatal regulation responses to drought stress in Arabidopsis. Plant Physiol. Biochem. 2013, 62, 41–46. [Google Scholar] [CrossRef] [PubMed]
- Bashandy, S.R.; Abd-Alla, M.H.; Dawood, M.F.A. Alleviation of the toxicity of oily wastewater to canola plants by the N2-fixing, aromatic hydrocarbon biodegrading bacterium Stenotrophomonas maltophilia-SR1. Appl. Soil Ecol. 2020, 154, 103654. [Google Scholar] [CrossRef]
- Sallam, A.; Alqudah, A.; Dawood, M.F.A.; Baenziger, P.S.; Börner, A. Drought Stress Tolerance in Wheat and Barley: Advances in Physiology, Breeding and Genetics Research. Int. J. Mol. Sci. 2019, 20, 3137. [Google Scholar] [CrossRef] [PubMed]
- Dawood, M.F.A.; Azooz, M.M. Insights into the oxidative status and antioxidative responses of germinating broccoli (Brassica oleracea var. italica L.) seeds in tungstate contaminated water. Chemosphere 2020. Accepted. [Google Scholar]
- Younes, N.A.; Dawood, M.F.; Wardany, A.A. Biosafety assessment of graphene nanosheets on leaf ultrastructure, physiological and yield traits of Capsicum annuum L. and Solanum melongena L. Chemosphere 2019, 228, 318–327. [Google Scholar] [CrossRef]
- Blank, M.; Soo, L. The threshold for Na, K-ATP ase stimulation by electromagnetic fields. Bioelectrochem. Bioenerg. 1996, 40, 63–65. [Google Scholar] [CrossRef]
- Poinapen, D.; Brown, D.C.; Beeharry, G.K. Seed orientation and magnetic field strength have more influence on tomato seed performance than relative humidity and duration of exposure to non-uniform static magnetic fields. J. Plant Physiol. 2013, 170, 1251–1258. [Google Scholar] [CrossRef]
- Cakmak, T.; Çakmak, Z.E.; Dumlupınar, R.; Tekinay, T. Analysis of apoplastic and symplastic antioxidant system in shallot leaves: Impacts of weak static electric and magnetic field. J. Plant Physiol. 2012, 169, 1066–1073. [Google Scholar] [CrossRef]
- Latef, A.A.H.A.; Alhmad, M.F.A.; Kordrostami, M.; Abo–Baker, A.-B.A.-E.; Zakir, A. Inoculation with Azospirillum lipoferum or Azotobacter chroococcum Reinforces Maize Growth by Improving Physiological Activities under Saline Conditions. J. Plant Growth Regul. 2020, 1–14. [Google Scholar] [CrossRef]
- Parida, A.K.; Das, A.B. Salt tolerance and salinity effects on plants: A review. Ecotoxicol. Environ. Saf. 2005, 60, 324–349. [Google Scholar] [CrossRef] [PubMed]
- Wang, J.; Zhang, H.; Allen, R.D. Overexpression of an Arabidopsis peroxisomal ascorbate peroxidase gene in tobacco increases protection against oxidative stress. Plant Cell Physiol. 1999, 40, 725–732. [Google Scholar] [CrossRef] [PubMed]
- Noctor, G.; Mhamdi, A.; Chaouch, S.; Han, Y.; Neukermans, J.; Garcia, B.M.; Queval, G.; Foyer, C.H. Glutathione in plants: An integrated overview. Plant Cell Environ. 2011, 35, 454–484. [Google Scholar] [CrossRef] [PubMed]
- Sen, A.; Alikamanoğlu, S. Effects of static magnetic field pretreatment with and without PEG 6000 or NaCl exposure on wheat biochemical parameters. Russ. J. Plant Physiol. 2014, 61, 646–655. [Google Scholar] [CrossRef]
- Asghar, T.; Jamil, Y.; Iqbal, M.; Haq, Z.-U.; Abbas, M. Laser light and magnetic field stimulation effect on biochemical, enzymes activities and chlorophyll contents in soybean seeds and seedlings during early growth stages. J. Photochem. Photobiol. B Biol. 2016, 165, 283–290. [Google Scholar] [CrossRef]
- Bagy, H.M.K.; Hassan, E.A.; Nafady, N.A.; Dawood, M.F. Efficacy of arbuscular mycorrhizal fungi and endophytic strain Epicoccum nigrum ASU11 as biocontrol agents against blackleg disease of potato caused by bacterial strain Pectobacterium carotovora subsp. atrosepticum PHY7. Boil. Control 2019, 134, 103–113. [Google Scholar] [CrossRef]
- Abdollahi, F.; Amiri, H.; Niknam, V.; Ghanati, F.; Mahdigholi, K. Effects of Static Magnetic Fields on the Antioxidant System of Almond Seeds. Russ. J. Plant Physiol. 2019, 66, 299–307. [Google Scholar] [CrossRef]
- Younes, N.A.; Dawood, M.F.; Wardany, A.A. The phyto-impact of fluazinam fungicide on cellular structure, agro-physiological, and yield traits of pepper and eggplant crops. Environ. Sci. Pollut. Res. 2020, 27, 18064–18078. [Google Scholar] [CrossRef]
- Ahmad, M.; Galland, P.; Ritz, T.; Wiltschko, R.; Wiltschko, W. Magnetic intensity affects cryptochrome-dependent responses in Arabidopsis thaliana. Planta 2006, 225, 615–624. [Google Scholar] [CrossRef]
- Lin, C. Blue Light Receptors and Signal Transduction. Plant Cell 2002, 14, S207–S225. [Google Scholar] [CrossRef]
- Kulbat, K. The role of phenolic compounds in plant resistance. Biotechnol. Food Sci. 2016, 80, 97–108. [Google Scholar]








| Treatments | Shoot Length (cm Plant−1) | Root Length (cm Plant−1) | Shoot DW (mg Plant−1) | Root DW (mg Plant−1) | Crop Yield (ton/hectare) | Number of Lateral Roots | Stem Thickness (mm) |
|---|---|---|---|---|---|---|---|
| MF0 | 7.27 ± 0.24 c | 5.16 ± 0.16 e | 10.33 ± 0.33 e | 3.01 ± 0.12 c | 57.69 ± 1.61 g | 17 ± 0.57 d | 1 ± 0.05 ab |
| MF1+ 1 h | 8.50 ± 0.23 b | 8.00 ± 0.10 b | 21.01 ± 0.57 c | 8.14 ± 0.1 b | 67.98 ± 1.24 f | 22 ± 0.57 c | 1 ± 0.06 ab |
| MF1+ 2 h | 8.50 ± 0.28 b | 7.00 ± 0.15 c | 31.11 ± 0.57 ab | 12.33 ± 0.37 a | 75.73 ± 1.71 e | 28 ± 0.68 b | 1.5 ± 0.08 ab |
| MF1+ 3 h | 8.00 ± 0.12 b | 9.02 ± 0.08 a | 16.01 ± 0.51 d | 7.19 ± 0.26 b | 76.11 ± 1.52 de | 30.7 ± 0.33 ab | 1.5 ± 0.07 ab |
| MF2+ 1 h | 8.00 ± 0.10 b | 8.00 ± 0.10 b | 22.03 ± 0.55 c | 8.37 ± 0.33 b | 75.14 ± 1.41 e | 28 ± 0.57 b | 2 ± 0.09 a |
| MF2+ 2 h | 8.50 ± 0.15 b | 8.00 ± 0.11 b | 23.66 ± 0.33 c | 8.67 ± 0.29 b | 81.37 ± 1.37 c | 28 ± 0.56 b | 2.5 ± 0.10 a |
| MF2+ 3 h | 8.00 ± 0.17 b | 8.00 ± 0.13 b | 28.12 ± 0.59 b | 12.23 ± 0.36 a | 84.99 ± 1.32 b | 32.6 ± 0.54 a | 2.5 ± 0.12 a |
| MF3+ 1 h | 9.20 ± 0.15 a | 7.00 ± 0.05 c | 35.66 ± 0.88 a | 12.67 ± 0.35 a | 78.88 ± 0.94 d | 33 ± 0.75 a | 2 ± 0.08 a |
| MF3+ 2 h | 8.00 ± 0.28 b | 7.00 ± 0.28 c | 17.00 ± 0.57 d | 6.66 ± 0.32 bc | 84.88 ± 1.19 b | 22.7 ± 0.83 c | 2 ± 0.06 a |
| MF3+ 3 h | 8.00 ± 0.10 b | 6.00 ± 0.10 d | 17.01 ± 0.58 d | 5.03 ± 0.24 bc | 90.49 ± 0.82 a | 23.6 ± 0.32 c | 1 ± 0.04 ab |
| Treatments | Proline (µg g−1 FW) | Total Soluble Sugars (mg g−1 FW) | Total Soluble Proteins (mg g−1 FW) | Total Free Amino Acids (mg g−1 FW) |
|---|---|---|---|---|
| MF0 | 0.84 ± 0.03 d | 56.76 ± 0.69 e | 31.88 ± 1.23 d | 4.81 ± 0.46 e |
| MF1+ 1 h | 1.60 ± 0.02 c | 107.39 ± 1.31 b | 39.47 ± 0.36 d | 10.61 ± 0.68 a b |
| MF1+ 2 h | 1.49 ± 0.06 c | 100.37 ± 1.22 b c | 36.30 ± 0.71 d | 9.92 ± 0.72 c |
| MF1+ 3 h | 2.69 ± 0.03 b | 118.72 ± 1.44 a | 61.45 ± 0.57 b c | 11.74 ± 0.69 a |
| MF2+ 1 h | 4.19 ± 0.09 a | 85.88 ± 1.04 c | 52.70 ± 0.49 c | 8.49 ± 0.41 c d |
| MF2+ 2 h | 4.95 ± 0.08 a | 110. 17 ± 1.42 b | 98.39 ± 0.92 a | 10.89 ± 0.91 a b |
| MF2+ 3 h | 2.06 ± 0.04 b | 116.37 ± 0.84 a | 36.21 ± 0.31 d | 11.51 ± 0.84 a |
| MF3+ 1 h | 3.12 ± 0.09 ab | 69.89 ± 1.10 d | 45.28 ± 0.42 c | 6.91 ± 0.81 d e |
| MF3+ 2 h | 1.35 ± 0.07 c | 90.88 ± 0.69 c | 73.67 ± 0.68 b | 8.98 ± 0.72 c d |
| MF3+ 3 h | 0.84 ± 0.02 d | 56.32 ± 1.14 e | 35.55 ± 0.33 d | 5.61 ± 0.56 d e |
| Treatments | Anthocyanins (µg g−1 FW) | Flavonoids (mg g−1 FW) | Phenolics (mg g−1 FW) | ASA (μg g−1 FW) | GSH (µmol g−1 FW) | α-Tocopherol (μg g−1 FW) | PAL (μmol mg−1 Protein−1 min−1) |
|---|---|---|---|---|---|---|---|
| MF0 | 0.07 ± 0.002 h | 1.27 ± 0.073 g | 3.08 ± 0.18 f | 22.87 ± 0.76 h | 6.71 ± 0.23 e | 304.63 ± 12.73 f | 44.36 ± 1.42 g |
| MF1+ 1 h | 0.09 ± 0.001 g | 2.51 ± 0.40 e | 9.62 ± 0.17 b | 32.65 ± 0.38 e | 9.58 ± 0.11 d | 739.42 ± 16.57 b | 66.29 ± 6.14 d e |
| MF1+ 2 h | 0.10 ± 0.002 g | 3.47 ± 0.033 c | 8.87 ± 0.16 c | 41.67 ± 0.49 d | 12.23 ± 0.14 c | 400.14 ± 13.57 e | 70.68 ± 1.76 d |
| MF1+ 3 h | 0.12 ± 0.001 e | 3.49 ± 0.032 c | 10.95 ± 0.19 a | 45.86 ± 0.54 c | 13.45 ± 0.18 c | 777.05 ± 21.16 a b | 64.38 ± 1.75 d e |
| MF2+ 1 h | 0.14 ± 0.003 d | 2.86 ± 0.026 d | 6.82 ± 0.12 e | 40.13 ± 0.47 d | 11.77 ± 0.13 c | 493.89 ± 14.65 d | 94.98 ± 2.34 b |
| MF2+ 2 h | 0.12 ± 0.004 e | 3.95 ± 0.037 b | 6.41 ± 0.11 e | 72.17 ± 0.85 a | 22.18 ± 0.25 a | 364.71 ± 15.65 e | 101.64 ± 2.45 a |
| MF2+ 3 h | 0.25 ± 0.003 a | 2.92 ± 0.027 d | 8.72 ± 0.51 c | 26.61 ± 0.31 g | 7.81 ± 0.09 d e | 807.26 ± 12.43 a | 87.84 ± 1.45 c |
| MF3+ 1 h | 0.18 ± 0.004 c | 2.00 ± 0.018 f | 6.86 ± 0.12 e | 24.74 ± 0.29 h | 7.26 ± 0.12 d e | 772.05 ± 16.97 a b | 55.04 ± 2.30 f |
| MF3+ 2 h | 0.22 ± 0.003 b | 4.86 ± 0.045 a | 6.71 ± 0.14 e | 53.91 ± 0.64 b | 15.79 ± 0.16 b | 784.60 ± 17.97 a | 61.53 ± 1.92 e |
| MF3+ 3 h | 0.11 ± 0.005 f | 3.53 ± 0.033 c | 7.39 ± 0.13 d | 29.53 ± 0.35 f | 8.66 ± 0.10 d | 673.03 ± 15.98 c | 50.34 ± 1.50 f g |
© 2020 by the authors. Licensee MDPI, Basel, Switzerland. This article is an open access article distributed under the terms and conditions of the Creative Commons Attribution (CC BY) license (http://creativecommons.org/licenses/by/4.0/).
Share and Cite
Abdel Latef, A.A.H.; Dawood, M.F.A.; Hassanpour, H.; Rezayian, M.; Younes, N.A. Impact of the Static Magnetic Field on Growth, Pigments, Osmolytes, Nitric Oxide, Hydrogen Sulfide, Phenylalanine Ammonia-Lyase Activity, Antioxidant Defense System, and Yield in Lettuce. Biology 2020, 9, 172. https://doi.org/10.3390/biology9070172
Abdel Latef AAH, Dawood MFA, Hassanpour H, Rezayian M, Younes NA. Impact of the Static Magnetic Field on Growth, Pigments, Osmolytes, Nitric Oxide, Hydrogen Sulfide, Phenylalanine Ammonia-Lyase Activity, Antioxidant Defense System, and Yield in Lettuce. Biology. 2020; 9(7):172. https://doi.org/10.3390/biology9070172
Chicago/Turabian StyleAbdel Latef, Arafat Abdel Hamed, Mona F. A. Dawood, Halimeh Hassanpour, Maryam Rezayian, and Nabil A. Younes. 2020. "Impact of the Static Magnetic Field on Growth, Pigments, Osmolytes, Nitric Oxide, Hydrogen Sulfide, Phenylalanine Ammonia-Lyase Activity, Antioxidant Defense System, and Yield in Lettuce" Biology 9, no. 7: 172. https://doi.org/10.3390/biology9070172
APA StyleAbdel Latef, A. A. H., Dawood, M. F. A., Hassanpour, H., Rezayian, M., & Younes, N. A. (2020). Impact of the Static Magnetic Field on Growth, Pigments, Osmolytes, Nitric Oxide, Hydrogen Sulfide, Phenylalanine Ammonia-Lyase Activity, Antioxidant Defense System, and Yield in Lettuce. Biology, 9(7), 172. https://doi.org/10.3390/biology9070172

