GC-MS Guided Phytochemical Fingerprinting and Multi-Target Therapeutic Evaluation of Ixora chinensis Lam. Leaves: Insights into Its Hypoglycemic and Analgesic Activities
Simple Summary
Abstract
1. Introduction
2. Materials and Methods
2.1. Plant Sample Collection and Authentication
2.2. Extraction and Fractionation
2.3. Drugs and Chemicals
2.4. Phytochemical Analysis
- Gas chromatography-mass spectrometry (GC-MS) analysis
2.5. Experimental Animals
- Ethical approval and method of sacrifice
- Acute toxicity test
2.6. Preparation of Oral Doses
2.7. Hypoglycemic Activity Test
- Oral glucose tolerance test (OGTT)
2.8. Analgesic Activity Test
- Tail-flicking test
- Acetic acid-induced writhing test
2.9. In Silico Study
- Molecular docking
- Pharmacokinetic and toxicity evaluation
2.10. Statistical Methods
3. Results
3.1. Phytochemicals from GC-MS Analysis
3.2. Acute Toxicity Test
3.3. Hypoglycemic Activity
3.4. Analgesic Activity
3.4.1. Tail-Flicking Test in Mice
3.4.2. Acetic Acid-Induced Writhing Test in Mice
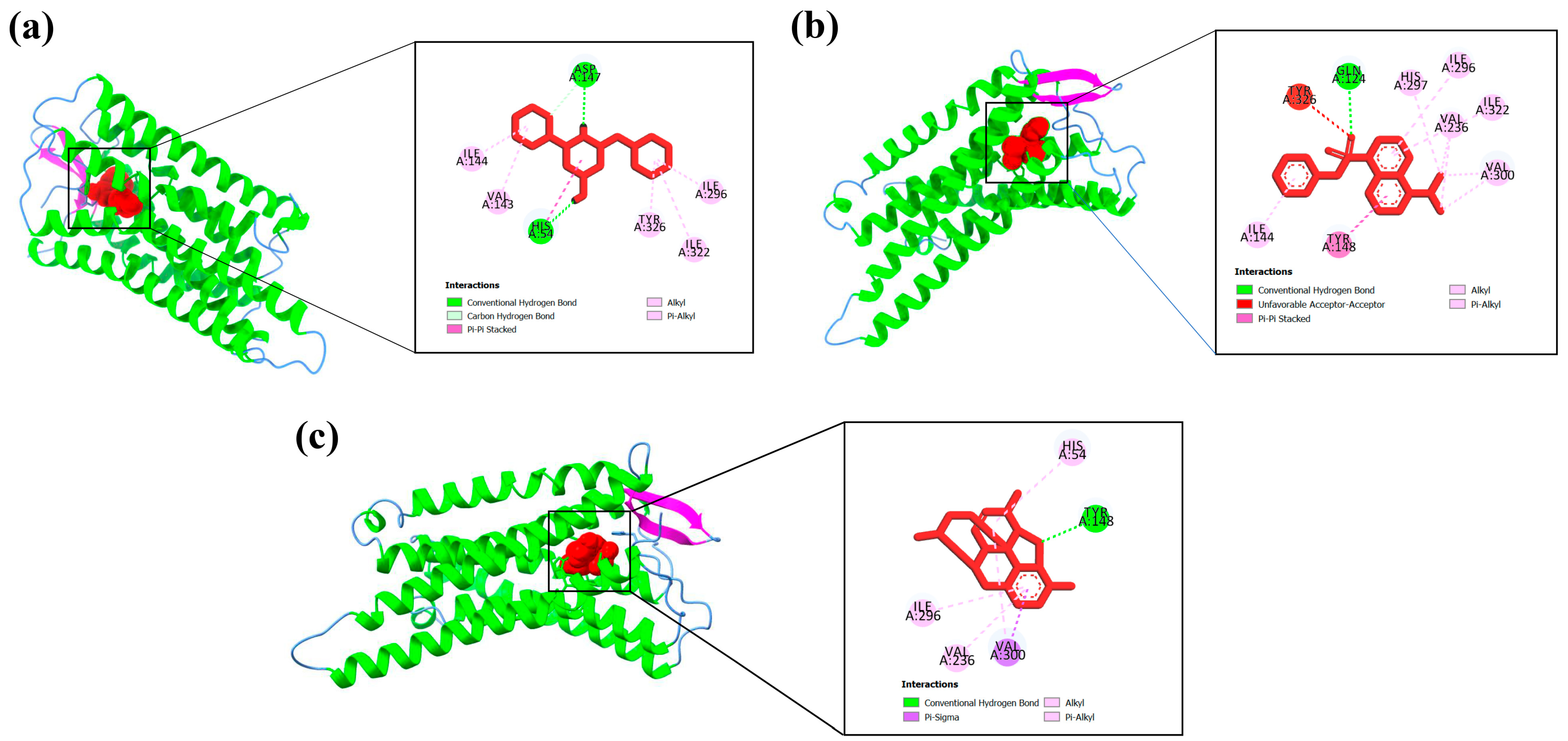
3.5. Molecular Docking
3.6. Drug Likeness and Pharmacokinetic Parameters Analysis
4. Discussion
5. Conclusions
Supplementary Materials
Author Contributions
Funding
Institutional Review Board Statement
Informed Consent Statement
Data Availability Statement
Acknowledgments
Conflicts of Interest
References
- Al-Wajih, A.M.M.; El-Shaibany, A.; Alburyhi, M.M.; Abdelkhalek, A.S.; Elaasser, M.M.; Raslan, A.E. Comparative study of phytochemical composition, oral toxicity, antioxidant, and anticancer activities of both Aloe vera and Aloe vacillans (Asphodelaceae family) flowers extract: In vitro, in vivo, and in silico studies. Trends Phytochem. Res. 2025, 9, 1–22. [Google Scholar]
- Karimi, A.; Majlesi, M.; Rafieian-Kopaei, M. Herbal versus synthetic drugs; beliefs and facts. J. Nephropharmacol. 2015, 4, 27. [Google Scholar]
- d Sarker, S.; Nahar, L. Evidence-based phytotherapy: What, why and how? Trends Phytochem. Res. 2018, 2, 125–126. [Google Scholar]
- Hossain, M.A.; Pervin, R. Current antidiabetic drugs: Review of their efficacy and safety. Nutr. Ther. Interv. Diabetes Metab. Syndr. 2018, 455–473. [Google Scholar] [CrossRef]
- Tran, N.; Pham, B.; Le, L. Bioactive compounds in anti-diabetic plants: From herbal medicine to modern drug discovery. Biology 2020, 9, 252. [Google Scholar] [CrossRef]
- L Harvey, A. Plant natural products in anti-diabetic drug discovery. Curr. Org. Chem. 2010, 14, 1670–1677. [Google Scholar] [CrossRef]
- Falk, S.; Dickenson, A.H. Pain and nociception: Mechanisms of cancer-induced bone pain. J. Clin. Oncol. 2014, 32, 1647–1654. [Google Scholar] [CrossRef] [PubMed]
- Patterson, D.R.; Hoflund, H.; Espey, K.; Sharar, S. Nursing Committee of the International Society for Burn Injuries. Pain management. Burns 2004, 30, A10–A15. [Google Scholar] [CrossRef]
- Harirforoosh, S.; Asghar, W.; Jamali, F. Adverse effects of nonsteroidal antiinflammatory drugs: An update of gastrointestinal, cardiovascular and renal complications. J. Pharm. Pharm. Sci. 2013, 16, 821–847. [Google Scholar] [CrossRef]
- Bian, A.; Lu, L. The complete chloroplast genome of Ixora chinensis and phylogenetic relationships. Mitochondrial DNA Part B 2021, 6, 3217–3221. [Google Scholar] [CrossRef]
- Sraboni, N.H.; Rafe, M.R.; Hussain, M.M. Phytochemical Screening and Biological Activity Evaluation of the Methanolic Crude Extract of Ixora chinensis (Family: Rubiaceae). Bangladesh Pharm. J. 2025, 28, 20–27. [Google Scholar] [CrossRef]
- Bhagyasri, Y.; Ali, P.; Raja, M.; Reddy, N.; Praveen, D.; Mounika, K.; Latha, D.; Parameshwari, N. Determination of in-vitro anti microbial activity and anti-diabetic activity of Ixora chinensis. Am. J. Public Health Res. 2019, 7, 6–12. [Google Scholar] [CrossRef]
- Hemalatha, K.; Sunitha, D.; Sirajunisa, T.; Suresh, H.M. Isolation, characterization and evaluation of antioxidant and anticancer activities from isolated components of Ixora chinensis Lam. flowers. Ann. Phytomed. 2023, 12, 325–334. [Google Scholar]
- Nadeem, R.; Imran, M.; Saeed, Z.; Pervaiz, M.; Younas, U. Exploring the therapeutic potential of Ixora extract: A comprehensive review of mediated studies. Adv. Tradit. Med. 2025, 25, 107–144. [Google Scholar] [CrossRef]
- Sunitha, D.; Hemalatha, K.; Manthripragada, B.R.; Chary, N. Extraction and isolation of active constituents from Ixora chinensis Lam leaves. Der Pharma Chem. 2015, 7, 434–441. [Google Scholar]
- Dontha, S.; Kamurthy, H.; Mantripragada, B. Phytochemical and pharmacological profile of Ixora: A review. Int. J. Pharm. Sci. Res. 2015, 6, 567. [Google Scholar]
- Takeda, Y.; Nishimura, H.; Inouye, H. Two new iridoid glucosides from Ixora chinensis. Phytochemistry 1975, 14, 2647–2650. [Google Scholar] [CrossRef]
- Aktar, F.; Kuddus, M.R.; Kabir, S.; Rashid, M.A.; Chakma, K. Membrane stabilizing and cytotoxic activities of different Kupchan partitionates of Oroxylum indicum (L.) Vent. leaf and bark extracts. Dhaka Univ. J. Pharm. Sci. 2013, 12, 181–183. [Google Scholar] [CrossRef]
- Zimmermann, M. Ethical guidelines for investigations of experimental pain in conscious animals. Pain 1983, 16, 109–110. [Google Scholar] [CrossRef] [PubMed]
- Bedi, O.; Krishan, P. Investigations on acute oral toxicity studies of purpurin by application of OECD guideline 423 in rodents. Naunyn-Schmiedeberg’s Arch. Pharmacol. 2020, 393, 565–571. [Google Scholar] [CrossRef]
- El Hilaly, J.; Israili, Z.H.; Lyoussi, B. Acute and chronic toxicological studies of Ajuga iva in experimental animals. J. Ethnopharmacol. 2004, 91, 43–50. [Google Scholar] [CrossRef]
- Jegnie, M.; Abula, T.; Woldekidan, S.; Chalchisa, D.; Asmare, Z.; Afework, M. Acute and sub-acute toxicity evaluation of the crude methanolic extract of Justicia schimperiana leaf in Wistar Albino Rats. J. Exp. Pharmacol. 2023, 15, 467–483. [Google Scholar] [CrossRef]
- Rahman, M.M.; Soma, M.A.; Sultana, N.; Hossain, M.J.; Sufian, M.A.; Rahman, M.O.; Rashid, M.A. Exploring therapeutic potential of Woodfordia fruticosa (L.) Kurz leaf and bark focusing on antioxidant, antithrombotic, antimicrobial, anti-inflammatory, analgesic, and antidiarrheal properties. Health Sci. Rep. 2023, 6, e1654. [Google Scholar] [CrossRef] [PubMed]
- Karim, M.R.; Hossain, M.S.; Islam, M.S.; Hossen, M.R.; Ali, M.S. Exploration of Hypoglycemic, Analgesic, Antidiarrheal, and Antioxidant Properties of the Methanolic Extract of the Stems of Gymnema inodorum (Lour.) Decne. Dhaka Univ. J. Pharm. Sci. 2025, 24, 39–48. [Google Scholar] [CrossRef]
- Alam, S.; Emon, N.U.; Rashid, M.A.; Arman, M.; Haque, M.R. Investigation of biological activities of Colocasia gigantea Hook. f. leaves and PASS prediction, in silico molecular docking with ADME/T analysis of its isolated bioactive compounds. bioRxiv 2020. [Google Scholar] [CrossRef]
- Azad, S.A.K.; Sayeed, M.A.; Meah, M.S.; Mawa, S.J.; Alam, S.; Hasan, M.N.; Hanif, M.A.; Khan, R.; Arman, M.; Kim, M.G. Unveiling the therapeutic potentialities and chemical characterization of methanolic Merremia vitifolia (Burm. f) Hallier f. stem extract: A Multi-faceted investigation via in vitro, in vivo, and in silico approaches. Heliyon 2024, 10, e38449. [Google Scholar] [CrossRef]
- Labu, Z.K.; Karim, S.; Rahman, M.T.; Hossain, M.I.; Arifuzzaman, S.; Shakil, M. Assessment of phytochemical screening, antibacterial, analgesic, and antipyretic potentials of Litsea glutinosa (L.) leaves extracts in a mice model. PLoS ONE 2025, 20, e0309857. [Google Scholar] [CrossRef]
- Shahriar, S.; Shermin, S.A.; Hasnat, H.; Hossain, F.; Han, A.; Geng, P.; Alam, S.; Mamun, A.A. Chemico-pharmacological evaluation of the methanolic leaf extract of Catharanthus ovalis: GC–MS/MS, in vivo, in vitro, and in silico approaches. Front. Pharmacol. 2024, 15, 1347069. [Google Scholar] [CrossRef]
- Yuan, S.; Chan, H.C.S.; Hu, Z. Using PyMOL as a platform for computational drug design. WIREs Comput. Mol. Sci. 2017, 7, e1298. [Google Scholar] [CrossRef]
- Kim, S.; Chen, J.; Cheng, T.; Gindulyte, A.; He, J.; He, S.; Li, Q.; Shoemaker, B.A.; Thiessen, P.A.; Yu, B.; et al. PubChem 2023 update. Nucleic Acids Res. 2023, 51, D1373–D1380. [Google Scholar] [CrossRef]
- Dallakyan, S.; Olson, A.J. Small-Molecule Library Screening by Docking with PyRx. In Chemical Biology: Methods and Protocols; Springer: New York, NY, USA, 2015; pp. 243–250. [Google Scholar] [CrossRef]
- Trott, O.; Olson, A.J. AutoDock Vina: Improving the speed and accuracy of docking with a new scoring function, efficient optimization, and multithreading. J. Comput. Chem. 2010, 31, 455–461. [Google Scholar] [CrossRef] [PubMed]
- Daina, A.; Michielin, O.; Zoete, V. SwissADME: A free web tool to evaluate pharmacokinetics, drug-likeness and medicinal chemistry friendliness of small molecules. Sci. Rep. 2017, 7, 42717. [Google Scholar] [CrossRef]
- Lipinski, C.A.; Lombardo, F.; Dominy, B.W.; Feeney, P.J. Experimental and computational approaches to estimate solubility and permeability in drug discovery and development settings. Adv. Drug Deliv. Rev. 2012, 64, 4–17. [Google Scholar] [CrossRef]
- Banerjee, P.; Kemmler, E.; Dunkel, M.; Preissner, R. ProTox 3.0: A webserver for the prediction of toxicity of chemicals. Nucleic Acids Res. 2024, 52, W513–W520. [Google Scholar] [CrossRef]
- Hussein, R.A.; El-Anssary, A.A. Plants secondary metabolites: The key drivers of the pharmacological actions of medicinal plants. Herbal Med. 2019, 1, 11–30. [Google Scholar]
- Crozier, A.; Clifford, M.N.; Ashihara, H. Plant secondary metabolites. In Occurrence, Structure and Role in the Human Diet; Blackwell-Publishers: Oxford, UK, 2006. [Google Scholar]
- Lund, P.C.; Cwik, J.C.; Pagdanganan, R.T. Etidocaine—A new long-acting local anesthetic agent: A clinical evaluation. Anesth. Analg. 1973, 52, 482–494. [Google Scholar] [CrossRef] [PubMed]
- Peyton, L.R.; Gallagher, S.; Hashemzadeh, M. Triazole antifungals: A review. Drugs Today 2015, 51, 705–718. [Google Scholar] [CrossRef] [PubMed]
- Maliszewski, D.; Drozdowska, D. Recent advances in the biological activity of s-triazine core compounds. Pharmaceuticals 2022, 15, 221. [Google Scholar] [CrossRef]
- Gutiérrez-del-Río, I.; López-Ibáñez, S.; Magadán-Corpas, P.; Fernández-Calleja, L.; Pérez-Valero, Á.; Tuñón-Granda, M.; Miguélez, E.M.; Villar, C.J.; Lombó, F. Terpenoids and polyphenols as natural antioxidant agents in food preservation. Antioxidants 2021, 10, 1264. [Google Scholar] [CrossRef]
- Chen, L.J.; Zhang, Y.; Chen, Y.G. Chemical constituents of plants from the Genus Ixora. Chem. Biodivers. 2016, 13, 275–283. [Google Scholar] [CrossRef]
- Yang, X.; Kang, M.C.; Lee, K.W.; Kang, S.M.; Lee, W.W.; Jeon, Y.J. Antioxidant activity and cell protective effect of loliolide isolated from Sargassum ringgoldianum subsp. coreanum. Algae 2011, 26, 201–208. [Google Scholar] [CrossRef]
- Santos, C.C.D.M.P.; Salvadori, M.S.; Mota, V.G.; Costa, L.M.; de Almeida, A.A.C.; de Oliveira, G.A.L.; Costa, J.P.; de Sousa, D.P.; de Freitas, R.M.; de Almeida, R.N. Antinociceptive and antioxidant activities of phytol in vivo and in vitro models. Neurosci. J. 2013, 2013, 949452. [Google Scholar] [CrossRef]
- Ihegboro, G.O.; Ononamadu, C.J.; Owolarafe, T.A.; Onifade, O.; Udeh, J.J.; Saliu, A.O.; Abolaji, D.D.; Ibrahim, Y.M. In vitro Investigation and GC-MS Analysis of the Chemical Constituents in the Fraction of Hexane Leaf Extract of Tapinanthus bangwensis (Engl. and K. Krause). Trop. J. Phytochem. Pharm. Sci. 2024, 3, 143–152. [Google Scholar] [CrossRef]
- Xin, F.; Du, C.; Lan, G.; Wu, Z. Synthesis, Characterization, and Agricultural Biological Activities of 5-Fluoro-2-hydroxy Butyrophenone. J. Chem. 2013, 2013, 895892. [Google Scholar] [CrossRef]
- Zhao, F.; Wang, P.; Lucardi, R.D.; Su, Z.; Li, S. Natural sources and bioactivities of 2, 4-di-tert-butylphenol and its analogs. Toxins 2020, 12, 35. [Google Scholar] [CrossRef]
- Shelke, D.B.; Tayade, S.; Gawande, P.; Sonawane, H.B. GC-MS analysis and antioxidant potential of wild underutilized medicinally important legume, velvet bean (Mucuna pruriens L. DC.). Not. Sci. Biol. 2022, 14, 11098. [Google Scholar] [CrossRef]
- Mozibullah, M.; Ahammad, H.; Tarin, T.; Islam, M.J.; Khatun, M.; Islam, M.J.; Sikder, M.A. Evaluation of anti-oxidant and antibacterial activities of Ixora chinensis and Cascabela thevetia leaf extracts: An in vitro study. J. Pharmacogn. Phytochem. 2023, 12, 35–40. [Google Scholar] [CrossRef]
- Aquino, R.; De Feo, V.; De Simone, F.; Pizza, C.; Cirino, G. Plant metabolites. New compounds and anti-inflammatory activity of Uncaria tomentosa. J. Nat. Prod. 1991, 54, 453–459. [Google Scholar] [CrossRef] [PubMed]
- Walag, A.M.P.; Ahmed, O.; Jeevanandam, J.; Akram, M.; Ephraim-Emmanuel, B.C.; Egbuna, C.; Semwal, P.; Iqbal, M.; Hassan, S.; Uba, J.O. Health benefits of organosulfur compounds. In Functional Foods and Nutraceuticals: Bioactive Components, Formulations and Innovations; Springer International Publishing: Cham, Switzerland, 2020; pp. 445–472. [Google Scholar]
- Kharasch, N.; Potempa, S.J.; Wehrmeister, H.L. The sulfenic acids and their derivatives. Chem. Rev. 1946, 39, 269–332. [Google Scholar] [CrossRef]
- Rahman, S.S.; Klamrak, A.; Nopkuesuk, N.; Nabnueangsap, J.; Janpan, P.; Choowongkomon, K.; Daduang, J.; Daduang, S. Impacts of Plu kaow (Houttuynia cordata Thunb.) ethanolic extract on diabetes and dyslipidemia in STZ induced diabetic rats: Phytochemical profiling, cheminformatics analyses, and molecular docking studies. Antioxidants 2024, 13, 1064. [Google Scholar] [CrossRef] [PubMed]
- Henriksen, G.; Willoch, F. Imaging of opioid receptors in the central nervous system. Brain 2008, 131, 1171–1196. [Google Scholar] [CrossRef]
- Simon, L.S. Role and regulation of cyclooxygenase-2 during inflammation. Am. J. Med. 1999, 106, 37S–42S. [Google Scholar] [CrossRef]
- Roy, D.; Brar, S.; Bhatia, R.; Rangra, N.K. An insight into the ethnopharmacological importance of Indian subcontinent medicinal plant species of Rubiaceae family. Adv. Tradit. Med. 2024, 24, 947–969. [Google Scholar] [CrossRef]
- Chaudhary, M.; Tyagi, K. A review on molecular docking and it’s application. Int. J. Adv. Res. 2024, 12, 1141–1153. [Google Scholar] [CrossRef]
- Zhang, B.B.; Zhou, G.; Li, C. AMPK: An emerging drug target for diabetes and the metabolic syndrome. Cell Metab. 2009, 9, 407–416. [Google Scholar] [CrossRef]
- Wang, X.; Li, J.; Shang, J.; Bai, J.; Wu, K.; Liu, J.; Yang, Z.; Ou, H.; Shao, L. Metabolites extracted from microorganisms as potential inhibitors of glycosidases (α-glucosidase and α-amylase): A review. Front. Microbiol. 2022, 13, 1050869. [Google Scholar] [CrossRef] [PubMed]
- Martinez, R.V.; Reval, M.I.; Campos, M.D.; Terrón, J.A.; Ramírez, A.M.; López-Muñoz, F.J. Involvement of peripheral cyclooxygenase-1 and cyclooxygenase-2 in inflammatory pain. J. Pharm. Pharmacol. 2002, 54, 405–412. [Google Scholar] [CrossRef] [PubMed]
- Honorio, K.M.; Moda, T.L.; Andricopulo, A.D. Pharmacokinetic Properties and In Silico ADME Modeling in Drug Discovery. Med. Chem. 2013, 9, 163–176. [Google Scholar] [CrossRef]








| SL No. | Compound Name | Retention Time | Match Factor | Fragment Ion m/z | Formula | Molecular Weight | % Peak Area | Sub-Class |
|---|---|---|---|---|---|---|---|---|
| A1 | N-Methyl-N-(4-toluensulfonyl)-benzamide | 3.3612 | 65.39 | 118.0, 105.0, 77.0, 51.0 | C15H15NO3S | 289.077 | 0.17 | Sulfonamide |
| A2 | Etidocaine | 4.1928 | 60.31 | 128.0, 105.0, 75.0 | C17H28N2O | 276.22 | 15.55 | Isoquinoline alkaloid |
| A3 | N,N,3-trimethylbenzenamine | 5.3521 | 66.39 | 84.0 | C9H13N | 135.105 | 0.13 | Aromatic amine |
| A4 | 5-Methyl-furan-2-carboxylic acid (1H-[1,2,4]triazol-3-yl)-amide | 6.5377 | 68.05 | 110.1, 68.1, 42.4 | C8H8N4O2 | 192.065 | 0.03 | Furan-triazole hybrid |
| A5 | 5-(dimethylamino)-1-Naphthalenesulfonic acid phenyl ester | 8.5007 | 80.08 | 170.2, 107.1 | C18H17NO3S | 327.093 | 0.11 | Sulfonic ester |
| A6 | s-Triazine, 2-amino-4-(piperidinomethyl)-4-piperidino- | 11.2335 | 64.40 | 193.1, 179.1, 86.1 | C14H24N6 | 276.206 | 1.89 | Piperidine alkaloid |
| A7 | 4-methyl-N-(4-methylphenyl)-N-[4-[2-(4-methylphenyl)ethenyl]phenyl]-benzenamine | 17.2228 | 65.62 | 307.0, 179.0 | C29H27N | 389.214 | 0.60 | Aromatic amine |
| A8 | 1H-Pyrazole, 4,5-dihydro-3,4,5-trimethyl- | 20.1259 | 62.81 | 97.0 | C6H12N2 | 112.1 | 0.20 | Pyrazole alkaloid |
| SL No. | Compound Name | Retention Time | Match Factor | Fragment Ion m/z | Formula | Molecular Weight | % Peak Area | Sub-Class |
|---|---|---|---|---|---|---|---|---|
| P1 | 1-(2-hydroxyphenyl)-1-Butanone | 3.5240 | 62.64 | 132.0, 121.0, 88.0 | C10H12O2 | 164.084 | 0.13 | Phenolic acid derivative |
| P2 | Benzeneacetic acid, alpha-methoxy-, methyl ester | 3.6061 | 67.44 | 121.1, 77.1 | C10H12O3 | 180.079 | 2.03 | Phenolic acid ester |
| P3 | o-Acetophenetidide, N-(dimethylcarbamoylmethyl)- | 6.9350 | 63.90 | 222.2, 202.2, 192.1, 149.9 | C14H20N2O3 | 264.147 | 0.02 | Phenolic amide |
| P4 | 2,4-Di-tert-butylphenol | 7.7395 | 93.02 | 191.0, 163.0, 91.0 | C14H22O | 206.167 | 58.15 | Simple Phenol (Antioxidant) |
| P5 | 3,5-Dihydroxybenzhydrazide | 7.9937 | 63.57 | 137.0, 125.0, 81.0, 69.0 | C7H8N2O3 | 168.053 | 0.43 | Phenolic acid |
| P6 | 2(4H)-Benzofuranone, 5,6,7,7a-tetrahydro-4,4,7a-trimethyl-, I- | 8.1749 | 60.22 | 137.1, 124.1, 111.1, 81.1, 67.1 | C11H16O2 | 180.115 | 1.72 | Lignan-like benzofuran |
| P7 | p-Octylacetophenone | 9.1452 | 64.81 | 217.2, 189.1, 133.1, 91.1 | C16H24O | 232.183 | 0.39 | Phenolic ketone |
| P8 | 9,9-dimethyl-9H-Fluoren-3-ol | 9.7511 | 60.56 | 195.0, 180.0, 165.0 | C15H14O | 210.104 | 0.32 | Polycyclic aromatic alcohol |
| P9 | Benzoic acid, 2-ethylhexyl ester | 10.0084 | 87.45 | 105.0, 77.0, 55.0 | C15H22O2 | 234.162 | 2.36 | Phenolic acid ester |
| P10 | 1,4-benzenediol, 2-methyl-, 4-acetate | 10.8903 | 66.21 | 124.0, 95.0, 79.0, 67.0 | C9H10O3 | 166.063 | 0.61 | Phenolic acid ester |
| P11 | 2,3-diphenyl-2-Cyclopropen-1-one | 10.9368 | 70.21 | 178.0, 152.0 | C15H10O | 206.073 | 0.68 | Stilbene-like aromatic ketone |
| P12 | 4-Methoxyphenylaldehyde trimethylene acetal | 11.2309 | 60.72 | 193.0, 179.0 | C11H14O3 | 194.094 | 1.89 | Stilbene-like acetal |
| P13 | m-Toluic acid, 2-ethylhexyl ester | 11.2905 | 70.90 | 119.0, 91.0, 83.0, 70.0 | C16H24O2 | 248.178 | 0.92 | Aromatic ester |
| P14 | Benzenepropanoic acid, 3,5-bis(1,1-dimethylethyl)-4-hydroxy-, methyl ester | 12.3993 | 65.37 | 277.0, 219.0, 161.0, 147.0, 134.0 | C18H28O3 | 292.204 | 0.01 | Phenolic acid ester |
| SL No. | Compound Name | Retention Time | Match Factor | Fragment Ion m/z | Formula | Molecular Weight | % Peak Area | Sub-Class |
|---|---|---|---|---|---|---|---|---|
| E1 | d-Proline, N-ethoxycarbonyl-, isohexyl ester | 5.4841 | 75.73 | 142.0, 85.0, 70.0, 41.0 | C14H25NO4 | 271.178 | 0.21 | Amino acid ester |
| E2 | 2-Ethylbutyric acid, tetrahydrofurfuryl ester | 7.5483 | 68.81 | 84.0, 71.0, 55.0 | C11H20O3 | 200.141 | 1.05 | Fatty acid ester |
| E3 | Succinic acid, tridec-2-yn-1-yl tetrahydrofurfuryl ester | 11.5293 | 67.97 | 85.0, 71.0, 43.0 | C22H36O5 | 380.256 | 0.18 | Dicarboxylic ester |
| E4 | Pentanedioic acid, 2-oxo-, dimethyl ester | 12.5257 | 63.37 | 115.0, 87.0, 55.0 | C7H10O5 | 174.053 | 0.16 | Dicarboxylic ester |
| SL No. | Compound Name | Retention Time | Match Factor | Fragment Ion m/z | Formula | Molecular Weight | % Peak Area | Sub-Class |
|---|---|---|---|---|---|---|---|---|
| T1 | Loliolide | 10.7158 | 73.34 | 111.0, 95.0, 81.0 | C11H16O3 | 196.11 | 0.22 | Monoterpene lactone |
| T2 | 2-Ethyl-5-propylcyclopentanone | 10.7865 | 60.24 | 118.0, 97.0, 83.0, 69.0 | C10H18O | 154.136 | 0.07 | Cyclopentanone |
| T3 | Phytol | 11.3545 | 72.75 | 109.0, 95.0, 81.0, 71.0 | C20H40O | 296.308 | 2.96 | Diterpene alcohol |
| T4 | 7,9-Di-tert-butyl-1-oxaspiro(4,5)deca-6,9-diene-2,8-dione | 12.2055 | 79.97 | 205.0, 175.0, 91.0 | C17H24O3 | 276.173 | 1.07 | Flavonoid-like oxaspiro compound |
| T5 | (Z,Z)-1,8,11-Heptadecatriene | 13.7925 | 74.18 | 95.1, 81.1, 67.1 | C17H30 | 234.235 | 0.34 | Polyunsaturated hydrocarbon |
| T6 | Tricyclo[3.2.1.0(2,4)]octan-8-one, 3,3-dimethyl-, (1.alpha.,2.alpha.,4.alpha.,5.alpha.) | 13.8552 | 63.96 | 93.0, 79.0, 56.0 | C10H14O | 150.104 | 0.57 | Monoterpene ketone |
| T7 | 5-Cyclohexyl-1-pentene | 13.8895 | 64.39 | 95.1, 81.1 | C11H20 | 152.157 | 0.38 | Cycloalkene |
| T8 | dl-Menthol | 13.9583 | 79.98 | 95.0, 81.0, 71.0 | C10H20O | 156.151 | 0.13 | Monoterpene alcohol |
| T9 | 3-Ethyl-3-methylheptane | 14.7003 | 64.27 | 85.0, 71.0, 57.0, 43.0 | C10H22 | 142.172 | 2.31 | Alkane |
| T10 | (3-octylundecyl)-Benzene | 15.8950 | 60.25 | 91.0, 71.0, 43.0 | C25H44 | 344.344 | 0.11 | Alkylbenzene |
| T11 | 2-Methyl-3-(3-methyl-but-2-enyl)-2-(4-methyl-pent-3-enyl)-oxetane | 19.6856 | 64.23 | 157.0, 81.0, 41.0 | C15H26O | 222.198 | 0.08 | Sesquiterpene oxetane |
| T12 | Epilupeol; 20(29)-Lupen-3alpha-ol, acetate (isomer 1) | 23.9558 | 68.36 | 107.1, 93.1, 81.1 | C32H52O2 | 468.397 | 0.32 | Triterpene alcohol |
| SL No. | Compound Name | Retention Time | Match Factor | Fragment Ion m/z | Formula | Molecular Weight | % Peak Area | Sub-Class |
|---|---|---|---|---|---|---|---|---|
| S1 | Sulfurous acid, cyclohexylmethyl isohexyl ester | 11.7824 | 73.44 | 97.0, 85.0, 69.0, 55.0, 43.0 | C13H26O3S | 262.16 | 0.33 | Sulfur ester |
| S2 | Sulfurous acid, isohexyl pentyl ester | 14.5574 | 61.05 | 85.0, 71.0, 57.0 | C11H24O3S | 236.145 | 1.04 | Sulfur ester |
| S3 | Sulfurous acid, nonyl pentyl ester | 15.5630 | 70.87 | 97.1, 85.1, 71.1, 57.1, 43.2 | C14H30O3S | 278.192 | 0.12 | Sulfur ester |
| Group | Average Glucose Level (mmol/L) After Loading the Glucose Sample | ||||
|---|---|---|---|---|---|
| 0 min | 30 min | 60 min | 120 min | 180 min | |
| CTL | 5.68 ± 0.20 | 10.63 ± 0.69 | 10.02 ± 0.53 | 9.58 ± 0.26 | 8.83 ± 0.37 |
| STD | 5.45 ± 0.27 | 10.98 ± 0.59 | 7.82 ± 0.32 *** | 6.20 ± 0.39 *** | 3.95 ± 0.14 *** |
| NHF-200 | 5.25 ± 0.11 | 8.45 ± 0.11 | 6.92 ± 0.08 *** | 6.20 ± 0.09 *** | 5.25 ± 0.11 *** |
| NHF-400 | 5.20 ± 0.17 | 8.40 ± 0.26 | 6.80 ± 0.15 *** | 5.90 ± 0.09 *** | 4.48 ± 0.17 *** |
| CF-200 | 6.25 ± 0.11 | 11.00 ± 0.41 | 9.22 ± 0.15 *** | 8.27 ± 0.14 *** | 7.22 ± 0.12 *** |
| CF-400 | 5.40 ± 0.32 | 9.40 ± 0.26 | 7.67 ± 0.21 *** | 6.78 ± 0.17 *** | 4.52 ± 0.08 *** |
| EAF-200 | 5.86 ± 0.17 | 10.63 ± 0.34 | 9.95 ± 0.24 | 9.25 ± 0.23 * | 8.55 ± 0.11 |
| EAF-400 | 5.70 ± 0.13 | 10.70 ± 0.23 | 9.80 ± 0.13 | 9.10 ± 0.13 ** | 8.42 ± 0.38 |
| AQF-200 | 5.30 ± 0.28 | 10.55 ± 0.20 | 9.67 ± 0.10 | 9.42 ± 0.08 | 9.13 ± 0.20 |
| AQF-400 | 6.52 ± 0.08 | 11.12 ± 0.21 | 10.17 ± 0.10 | 9.80 ± 0.46 | 9.15 ± 0.19 |
| Treatment | 30 min | 60 min | 90 min | |||
|---|---|---|---|---|---|---|
| Mean ± SD (seconds) | % Time Elongation | Mean ± SD (seconds) | % Time Elongation | Mean ± SD (seconds) | % Time Elongation | |
| Control | 1.61 ± 0.34 | - | 1.81 ± 0.49 | - | 1.85 ± 0.22 | - |
| Morphine | 4.38 ± 0.05 | 171.49 *** | 6.77 ± 0.08 | 274.38 *** | 7.63 ± 0.05 | 312.81 *** |
| NHF-200 | 1.79 ± 0.05 | 10.84 | 2.25 ± 0.03 | 24.52 | 1.89 ± 0.04 | 2.44 |
| NHF-400 | 1.85 ± 0.55 | 14.67 | 2.20 ± 0.11 | 21.84 | 1.95 ± 0.03 | 5.24 |
| CF-200 | 1.72 ± 0.28 | 6.51 | 3.68 ± 0.73 | 103.32 *** | 3.97 ± 0.51 | 114.70 *** |
| CF-400 | 1.95 ± 0.34 | 20.76 | 4.57 ± 0.50 | 152.72 *** | 5.00 ± 0.21 | 170.51 *** |
| EAF-200 | 1.68 ± 0.16 | 3.92 | 1.89 ± 0.21 | 4.88 | 1.98 ± 0.83 | 7.30 |
| EAF-400 | 1.72 ± 0.28 | 6.51 | 2.10 ± 0.27 | 16.31 | 2.03 ± 0.67 | 9.83 |
| AQF-200 | 1.70 ± 0.22 | 5.58 | 3.30 ± 0.21 | 82.58 *** | 4.03 ± 0.25 | 117.77 *** |
| AQF-400 | 1.85 ± 0.48 | 14.67 | 4.32 ± 0.43 | 139.08 *** | 5.27 ± 0.19 | 184.94 *** |
| Groups | Mean Writhing (Mean ± SD) | % Inhibition of Writhing |
|---|---|---|
| Control | 21.50 ± 3.01 | - |
| Diclofenac sodium | 6.50 ± 1.05 *** | 69.77 |
| NHF-200 | 15.67 ± 1.86 ** | 27.11 |
| NHF-400 | 7.67 ± 0.81 *** | 64.33 |
| CF-200 | 20.67 ± 0.81 | 3.86 |
| CF-400 | 20.67 ± 0.81 | 6.97 |
| EAF-200 | 20.83 ± 0.76 | 3.11 |
| EAF-400 | 19.67 ± 1.20 | 8.51 |
| AQF-200 | 17.33 ± 1.86 * | 19.40 |
| AQF-400 | 9.17 ± 0.98 *** | 57.35 |
| Criteria | A1 | A5 | A6 | P8 | P11 | Diclofenac | Morphine | Metformin |
|---|---|---|---|---|---|---|---|---|
| PubChem CID | 561987 | 598567 | 210894 | 606915 | 65057 | 3033 | 5288826 | 4091 |
| MW | 289.35 | 327.4 | 276.38 | 210.27 | 206.24 | 296.15 | 285.34 | 129.16 |
| H-bond donors | 0 | 1 | 1 | 1 | 0 | 2 | 2 | 3 |
| H-bond acceptors | 3 | 3 | 4 | 1 | 1 | 2 | 4 | 2 |
| TPSA | 62.83 | 54.99 | 71.17 | 20.23 | 17.07 | 49.33 | 52.93 | 91.49 |
| LogP | 2.66 | 2.88 | 2.98 | 2.32 | 2.39 | 1.98 | 2.55 | 0.34 |
| BBB permeant | Yes | Yes | No | Yes | Yes | Yes | Yes | No |
| GI absorption | High | High | High | High | High | High | High | High |
| Lipinski Violations | 0 | 0 | 0 | 0 | 0 | 0 | 0 | 0 |
| Toxicity Class | 6 | 4 | 5 | 4 | 4 | 3 | 4 | 4 |
| Hepatotoxicity | Inactive | Inactive | Inactive | Inactive | Inactive | Active | Inactive | Inactive |
| Mutagenicity | Inactive | Inactive | Inactive | Inactive | Inactive | Inactive | Inactive | Inactive |
| Cytotoxicity | Inactive | Inactive | Inactive | Inactive | Inactive | Inactive | Inactive | Inactive |
| Immunotoxicity | Inactive | Active | Inactive | Inactive | Inactive | Inactive | Inactive | Inactive |
Disclaimer/Publisher’s Note: The statements, opinions and data contained in all publications are solely those of the individual author(s) and contributor(s) and not of MDPI and/or the editor(s). MDPI and/or the editor(s) disclaim responsibility for any injury to people or property resulting from any ideas, methods, instructions or products referred to in the content. |
© 2026 by the authors. Licensee MDPI, Basel, Switzerland. This article is an open access article distributed under the terms and conditions of the Creative Commons Attribution (CC BY) license.
Share and Cite
Baisnab, J.; Islam, M.S.; Kavey, M.R.H.; Shourav, S.M.Y.; Hosen, M.R.; Abid, M.F.; Rahman, S.S.; Klamrak, A.; Chaveerach, A.; Daduang, S.; et al. GC-MS Guided Phytochemical Fingerprinting and Multi-Target Therapeutic Evaluation of Ixora chinensis Lam. Leaves: Insights into Its Hypoglycemic and Analgesic Activities. Biology 2026, 15, 592. https://doi.org/10.3390/biology15080592
Baisnab J, Islam MS, Kavey MRH, Shourav SMY, Hosen MR, Abid MF, Rahman SS, Klamrak A, Chaveerach A, Daduang S, et al. GC-MS Guided Phytochemical Fingerprinting and Multi-Target Therapeutic Evaluation of Ixora chinensis Lam. Leaves: Insights into Its Hypoglycemic and Analgesic Activities. Biology. 2026; 15(8):592. https://doi.org/10.3390/biology15080592
Chicago/Turabian StyleBaisnab, Joy, Md. Saiful Islam, Md Reduanul Haque Kavey, S. M. Yasin Shourav, Md. Riaz Hosen, Md. Faysal Abid, Shaikh Shahinur Rahman, Anuwatchakij Klamrak, Arunrat Chaveerach, Sakda Daduang, and et al. 2026. "GC-MS Guided Phytochemical Fingerprinting and Multi-Target Therapeutic Evaluation of Ixora chinensis Lam. Leaves: Insights into Its Hypoglycemic and Analgesic Activities" Biology 15, no. 8: 592. https://doi.org/10.3390/biology15080592
APA StyleBaisnab, J., Islam, M. S., Kavey, M. R. H., Shourav, S. M. Y., Hosen, M. R., Abid, M. F., Rahman, S. S., Klamrak, A., Chaveerach, A., Daduang, S., & Karim, M. R. (2026). GC-MS Guided Phytochemical Fingerprinting and Multi-Target Therapeutic Evaluation of Ixora chinensis Lam. Leaves: Insights into Its Hypoglycemic and Analgesic Activities. Biology, 15(8), 592. https://doi.org/10.3390/biology15080592

