Screening Candidate Genes for Body Size Traits in Dongfeng Sika Deer Bucks Based on Genome-Wide Association Analysis
Simple Summary
Abstract
1. Background
2. Materials and Methods
2.1. Test Animals and Sample Collection
2.2. DNA Extraction and Library Sequencing
2.3. Genotype Quality Control and Principal Component Analysis
2.4. Genome-Wide Association Analysis
2.5. Multiple Testing Hypotheses
2.6. Enrichment Analysis of Annotated Genes
2.7. Data Statistics
3. Results
3.1. Measurement Statistics of Body Size Traits
3.2. Results of Principal Component Analysis
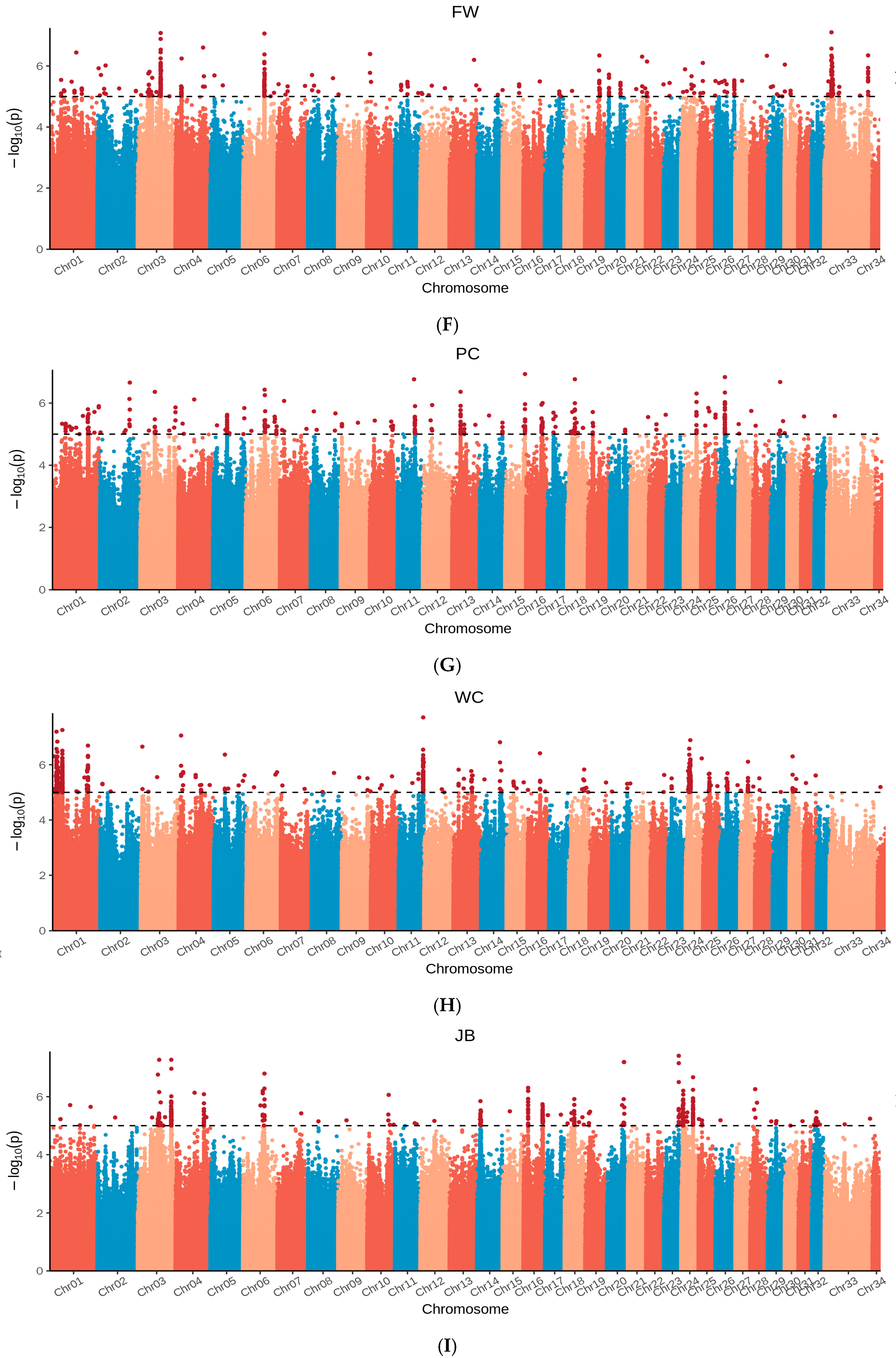
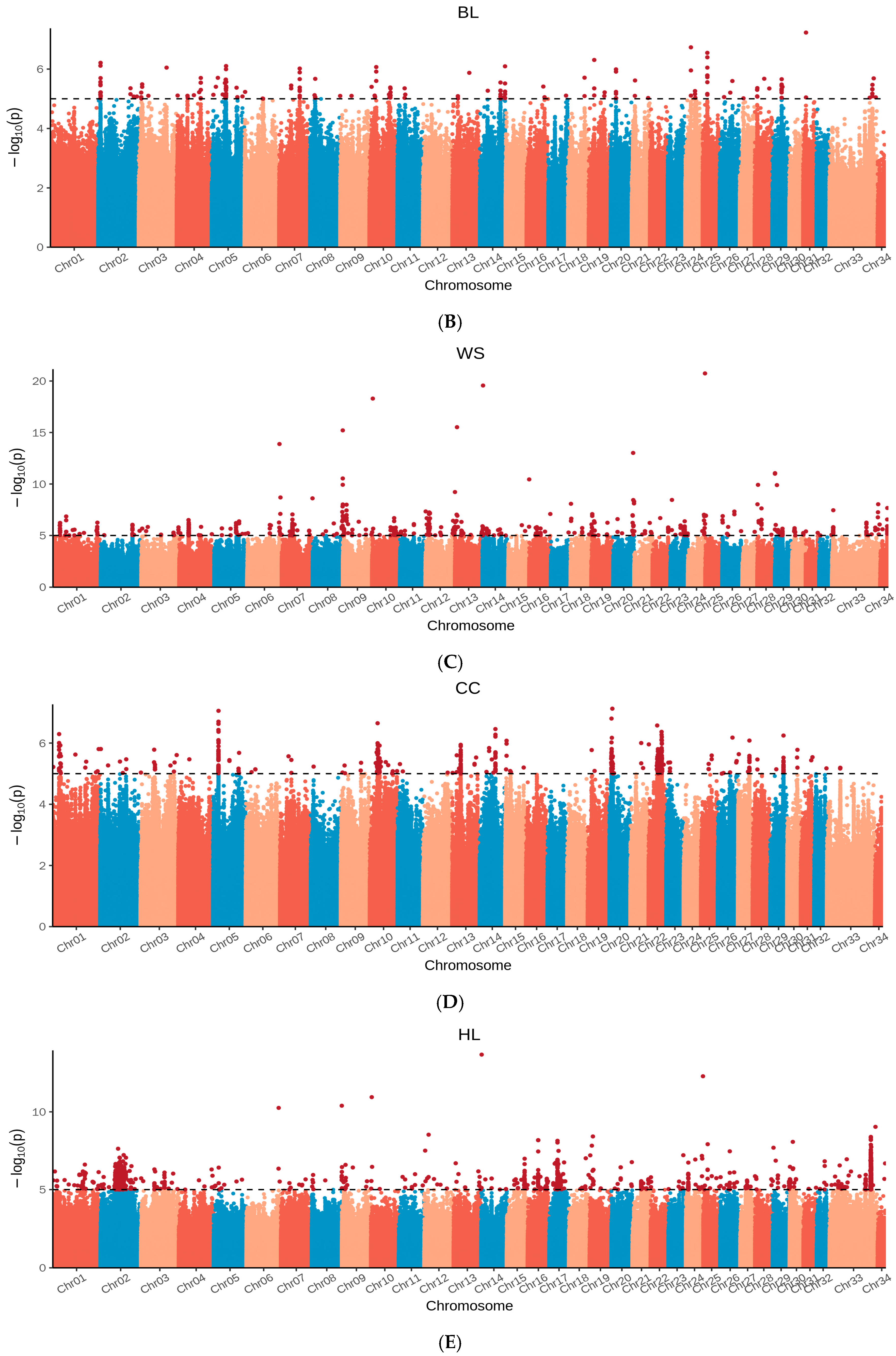
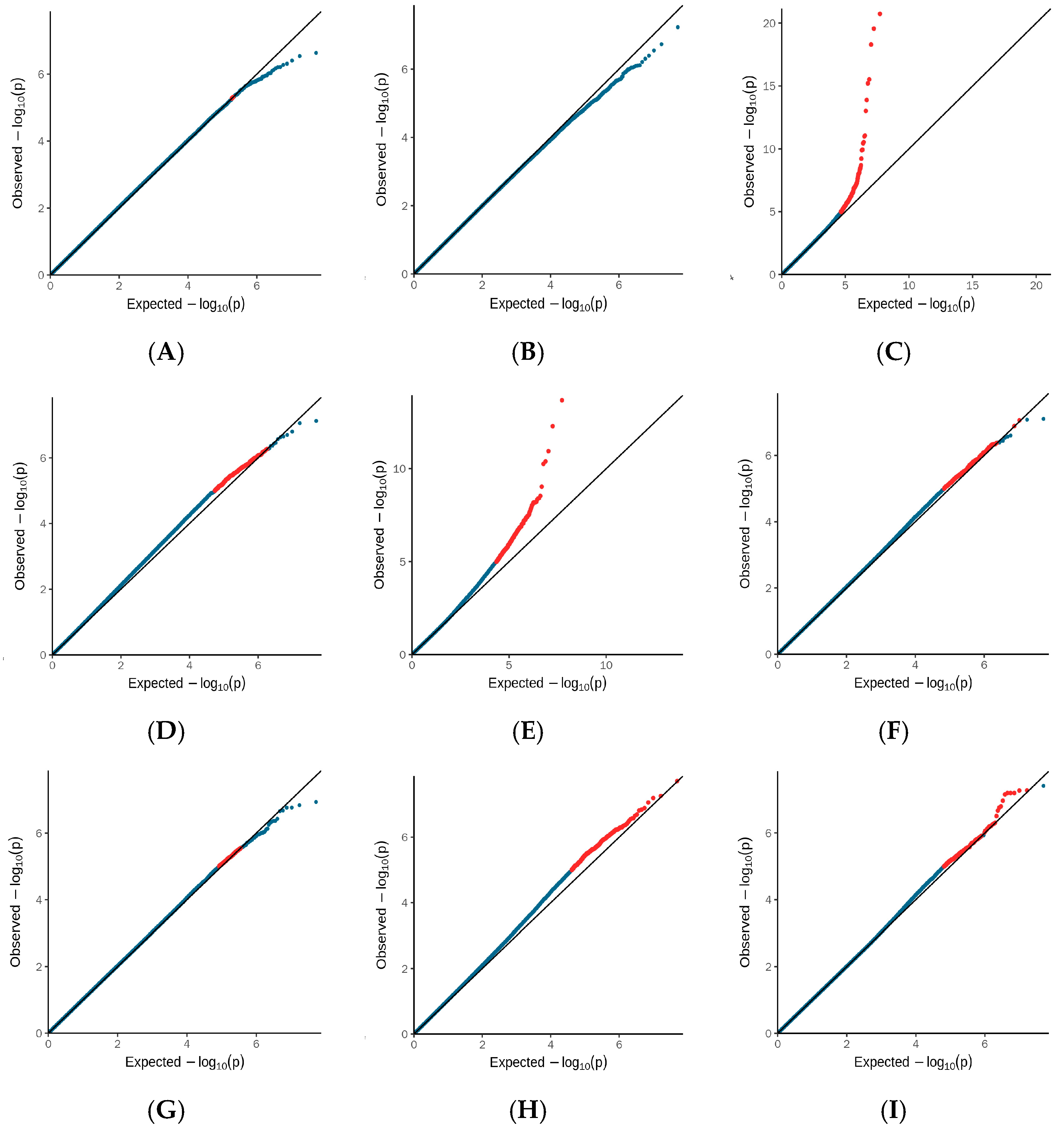
3.3. GWAS Results of Body Size Traits of Dongfeng Sika Deer Bucks
3.4. Functional Annotation of Candidate Genes
4. Discussion
5. Conclusions
Supplementary Materials
Author Contributions
Funding
Institutional Review Board Statement
Informed Consent Statement
Data Availability Statement
Acknowledgments
Conflicts of Interest
References
- Zhang, Y.; Zhang, X.Y.; Du, P.Z.; Wang, J.Y.; Xu, D.Y.; Long, Y.T.; Han, H.S. Relationship between reproductive hormone levels and fecundity during timed insemination in sika deer. J. Econ. Zool. 2024, 28, 226–230+238. [Google Scholar]
- Wei, G.Q.; Xue, J.L.; Liu, S.X.; Duan, J.L.; Jiang, T.; Wang, Y.K. Conservation and utilization of germplasm resources of Sika deer in China. J. Jilin Agric. Univ. 2022, 44, 379–385. [Google Scholar] [CrossRef]
- Jian, B.Q.; Zhao, Y.Y.; Li, H.B.; Zhu, L.M.; Deng, X.D. Current situation of the development of sika deer industry in Dongfeng County and countermeasures and suggestions. Spec. Wild Econ. Anim. Plant Res. 2023, 45, 176–181. [Google Scholar] [CrossRef]
- Wang, F.H.; Gao, G.; Qian, Y.; Liu, L.N.; Zhu, H.J.; Qu, L.; Zhang, L. Genome-wide association analysis of fleece fineness traits in white velvet goats in northern Shaanxi. Chin. J. Anim. Sci. 2025, 61, 249–256. [Google Scholar] [CrossRef]
- Li, H.D. Genome-Wide Selection of Body Weight and Other Traits in Sika Deer. Master’s Thesis, Chinese Academy of Agricultural Sciences, Beijing, China, 2023. [Google Scholar] [CrossRef]
- Li, C.; Duan, D.D.; Xue, Y.H.; Han, X.; Wang, K.J.; Qiao, R.M.; Li, X.L.; Li, X.J. An association study on imputed whole-genome resequencing from high-throughput sequencing data for body traits in crossbred pigs. Anim. Genet. 2022, 53, 212–219. [Google Scholar] [CrossRef] [PubMed]
- Fan, H.H.; Wang, T.J.; Dong, Y.M.; Li, Y.; Liu, H.T.; Xing, X.M. Validation of SNP molecular markers specific for horse deer. Chin. Anim. Husb. Vet. Med. 2021, 48, 1313–1322. [Google Scholar] [CrossRef]
- Fan, H.H.; Wang, T.J.; Li, Y.; Liu, H.T.; Dong, Y.M.; Zhang, R.R.; Wang, H.L.; Shang, L.Y.; Xing, X.M. Development and validation of a 1 K sika deer (Cervus nippon) SNP Chip. BMC Genom. Data 2021, 22, 35. [Google Scholar] [CrossRef]
- Xing, H.H.; Guo, M.Y.; Han, R.B.; Zhang, F.R.; Li, H.P. Expression analysis of the MEF2C gene in the apical velvet skin tissue of Meihua antler at different growth stages. J. Econ. Zool. 2022, 26, 79–84, 90. [Google Scholar] [CrossRef]
- Guo, M.Y.; Han, R.B.; Xing, H.H.; Zhang, F.R.; Li, H.P. Gene cloning and expression analysis of KGF in the apical velvet skin tissue of Sika deer. J. China Agric. Univ. 2022, 27, 154–161. [Google Scholar]
- Sun, J.Y.; Zhang, F.R.; Guo, M.Y.; Han, R.B.; Xia, Y.L.; Li, H.P. Differential DNA methylation of NGF gene in apical velvet skin tissues of Meihua deer antlers at different growth stages. J. Econ. Zool. 2022, 26, 85–90. [Google Scholar] [CrossRef]
- Li, H.P. A Study on the method for calculating marginal benefits of breeding objective traits in Sika deer. For. Sci. 2006, 42, 78–81. [Google Scholar]
- Farkhondeh, T.; Mehrpour, O.; Buhrmann, C.; Pourbagher-Shahri, A.M.; Shakibaei, M.; Samarghandian, S. Organophosphorus Compounds and MAPK Signaling Pathways. Int. J. Mol. Sci. 2020, 21, 4258. [Google Scholar] [CrossRef]
- Zhang, B. Exploring the Mechanism of Tension-Regulated Autophagy in Delaying Disc Degeneration Based on the MAPK/ERK/mTOR Pathway. Doctoral Dissertation, Shandong University of Traditional Chinese Medicine, Jinan, China, 2022. [Google Scholar] [CrossRef]
- Wang, Y.; Zhang, H.B. Regulation of Autophagy by mTOR Signaling Pathway. Adv. Exp. Med. Biol. 2019, 1206, 67–83. [Google Scholar] [CrossRef]
- Sun, X.Y. Effects of Baicalin on ROS/MAPK Signaling Pathway Mediating Inflammatory Responses in Mouse Intestine and IPEC-J2 Cells. Master’s Thesis, Guangdong Ocean University, Zhanjiang, China, 2023. [Google Scholar] [CrossRef]
- Haque, M.A.; Jantan, I.; Harikrishnan, H.; Ghazalee, S. Standardized extract of Zingiber zerumbet suppresses LPS-induced pro-inflammatory responses through NF-kappaB, MAPK and PI3K-Akt signaling pathways in U937 macrophages. Phytomedicine 2019, 54, 195–205. [Google Scholar] [CrossRef]
- Brennan, C.M.; Emerson, C.P., Jr.; Owens, J.; Christoforou, N. p38 MAPKs—Roles in skeletal muscle physiology, disease mechanisms, and as potential therapeutic targets. JCI Insight 2021, 6, e149915. [Google Scholar] [CrossRef] [PubMed]
- Tang, P.; Virtue, S.; Goie, J.Y.G.; Png, C.W.; Guo, J.; Li, Y.; Jiao, H.; Chua, Y.L.; Campbell, M.; Moreno-Navarrete, J.M.; et al. Regulation of adipogenic differentiation and adipose tissue inflammation by interferon regulatory factor 3. Cell Death Differ. 2021, 28, 3022–3035. [Google Scholar] [CrossRef]
- Li, T.; Jin, M.; Wang, H.; Zhang, W.; Yuan, Z.; Wei, C. Whole-genome scanning for selection signatures reveals candidate genes associated with growth and tail length in sheep. Animals 2024, 14, 687. [Google Scholar] [CrossRef] [PubMed]
- Ma, L. 301 Methods of genome-wide association studies and their applications in dairy cattle. J. Anim. Sci. 2020, 98, 31. [Google Scholar] [CrossRef]
- Ren, J.; Gao, Z.; Lu, Y.; Li, M.; Hong, J.; Wu, J.; Wu, D.; Deng, W.; Xi, D.; Chong, Y. Application of GWAS and mGWAS in livestock and poultry breeding. Animals 2024, 14, 2382. [Google Scholar] [CrossRef]
- Zheng, X.T. Determination of body weight and body size of newborn fawns of Northeastern red deer (Cervus nippon). Spec. Sci. Exp. (Spec. Sci. Exp.) 1984, 1+4. [Google Scholar] [CrossRef]
- Inuzuka, H.; Redies, C.; Takeichi, M. Differential expression of R- and N-cadherin in neural and mesodermal tissues during early chicken development. Development 1991, 113, 959–967. [Google Scholar] [CrossRef] [PubMed]
- Caballero, J.N.; Gervasi, M.G.; Veiga, M.F.; Dalvit, G.C.; Perez-Martínez, S.; Cetica, P.D.; Vazquez-Levin, M.H. Epithelial cadherin is present in bovine oviduct epithelial cells and gametes, and is involved in fertilization-related events. Theriogenology 2014, 81, 1189–1206. [Google Scholar] [CrossRef]
- Rosenberg, P.; Esni, F.; Sjödin, A.; Larue, L.; Carlsson, L.; Gullberg, D.; Takeichi, M.; Kemler, R.; Semb, H. A potential role of R-cadherin in striated muscle formation. Dev. Biol. 1997, 187, 55. [Google Scholar] [CrossRef]
- Schmitz, C.; Wacker, I.; Hutter, H. The Fat-like cadherin CDH-4 controls axon fasciculation, cell migration, and hypodermis and pharynx development in Caenorhabditis elegans. Dev. Biol. 2008, 316, 249–259. [Google Scholar] [CrossRef]
- Chen, H. Molecular Mechanism of TSHR (G558R) Mutation Regulating Heat Stress Response in Chickens. Master’s Thesis, Anhui Agricultural University, Hefei, China, 2021. [Google Scholar] [CrossRef]
- Pierce, J.G.; Parsons, T.F. Glycoprotein hormones: Structure and function. Annu. Rev. Biochem. 1981, 50, 465–495. [Google Scholar] [CrossRef]
- Wilson, B.; Raghupathy, E.; Tonoue, T.; Tong, W. TSH-like actions of dibutyryl-cAMP on isolated bovine thyroid cells. Endocrinology 1968, 83, 877–884. [Google Scholar] [CrossRef]
- Davies, T.; Marians, R.; Latif, R. The TSH receptor reveals itself. J. Clin. Investig. 2002, 110, 161–164. [Google Scholar] [CrossRef]
- Abe, E.; Marians, R.C.; Yu, W.; Wu, X.B.; Ando, T.; Li, Y.; Iqbal, J.; Eldeiry, L.; Rajendren, G.; Blair, H.C.; et al. TSH is a negative regulator of skeletal remodeling. Cell 2003, 115, 151–162. [Google Scholar] [CrossRef] [PubMed]
- Peng, L.; Luan, S.; Shen, X.; Zhan, H.; Ge, Y.; Liang, Y.; Wang, J.; Xu, Y.; Wu, S.; Zhong, X.; et al. Thyroid hormone deprivation and TSH/TSHR signaling deficiency lead to central-associated intestinal dysplasia. Life Sci. 2024, 345, 122577. [Google Scholar] [CrossRef]
- Zanon-Moreno, V.; Ciancotti-Olivares, L.; Asencio, J.; Sanz, P.; Ortega-Azorin, C.; Pinazo-Duran, M.D.; Corella, D. Association between a SLC23A2 gene variation, plasma vitamin C levels, and risk of glaucoma in a Mediterranean population. Mol. Vis. 2011, 17, 2997–3004. [Google Scholar] [PubMed]
- Cao, B.; Xia, Y.; Cai, Z.X.; Wang, Z.Y.; Tang, C.; Song, Y.H. Construction of a Brain-specific SLC23A2 Gene Knockout Mice Model. Neuroscience 2023, 524, 137–148. [Google Scholar] [CrossRef]
- Lazaro-Guevara, J.M.; Garrido-Lopez, K.M.; Soberanis, L.S.R.; Sandoval-Vargas, M.A.; Flores-Robles, B.J.; Téllez-Arreola, J.L. Discovery of a novel missense mutation in the RIMS1 gene potentially enhances the severity of retinitis pigmentosa (RP) caused by RP1 mutation in humans. Gene Rep. 2025, 39, 102156. [Google Scholar] [CrossRef]
- Castillo, P.E.; Schoch, S.; Schmitz, F.; Südhof, T.C.; Malenka, R.C. RIM1α is required for presynaptic long-term potentiation. Nature 2002, 415, 327–330. [Google Scholar] [CrossRef] [PubMed]
- Short, P.J.; McRae, J.F.; Gallone, G.; Sifrim, A.; Won, H.; Geschwind, D.H.; Wright, C.F.; Firth, H.V.; FitzPatrick, D.R.; Barrett, J.C. De novo mutations in regulatory elements in neurodevelopmental disorders. Nature 2018, 555, 611–616. [Google Scholar] [CrossRef] [PubMed]
- Nordgaard, C.; Vind, A.C.; Stonadge, A.; Kjøbsted, R.; Snieckute, G.; Antas, P.; Blasius, M.; Reinert, M.S.; Del Val, A.M.; Bekker-Jensen, D.B.; et al. ZAKβ is activated by cellular compression and mediates contraction-induced MAP kinase signaling in skeletal muscle. EMBO J. 2022, 41, e111650. [Google Scholar] [CrossRef]
- Rey, C.; Faustin, B.; Mahouche, I.; Ruggieri, R.; Brulard, C.; Ichas, F.; Soubeyran, I.; Lartigue, L.; De Giorgi, F. The MAP3K ZAK, a novel modulator of ERK-dependent migration, is upregulated in colorectal cancer. Oncogene 2016, 35, 3190–3200. [Google Scholar] [CrossRef]








| Trait | Maximum | Minimum | Mean | Standard Deviation | Coefficient of Variation (%) |
|---|---|---|---|---|---|
| Body Height, cm | 121 | 92 | 108.50 | 5.87 | 5.41 |
| Body Length, cm | 127 | 91 | 105.67 | 4.98 | 4.71 |
| Chest Circumference, cm | 140 | 57 | 97.19 | 27.60 | 28.40 |
| Chest Depth, cm | 54 | 39 | 47.13 | 3.08 | 6.54 |
| Head Length, cm | 41 | 21 | 30.76 | 3.13 | 10.17 |
| Frontal width, cm | 15 | 10 | 12.98 | 1.19 | 9.16 |
| Pipe Circumference, cm | 19.5 | 9 | 10.70 | 0.81 | 7.57 |
| Tail length, cm | 20 | 6 | 15.42 | 2.02 | 13.10 |
| Antler shank distance, cm | 12 | 7 | 10.08 | 0.97 | 9.60 |
| Trait | Chromosome | Location, bp | Genotype | p-Value | Proximity Gene |
|---|---|---|---|---|---|
| Body Height | Chr29 | 37,719,498 | A/G | 7.32 × 10−24 | RIC1 |
| Chr25 | 51,359,020 | G/C | 7.00 × 10−24 | none | |
| Body Length | Chr25 | 15,274,058 | G/C | 7.63 × 10−24 | LOC122684034, LOC122683960 |
| Chr27 | 12,003,186 | G/T | 7.82 × 10−24 | RTTN | |
| Chest Circumference | Chr06 | 105,298,383 | G/A | 24.53 × 10−23 | none |
| Chr08 | 98,463,587 | G/A | 28.35 × 10−23 | none | |
| Chr10 | 2,576,269 | C/T | 31.67 × 10−22 | LOC122702151 | |
| Chr13 | 6,800,873 | G/A | 26.68 × 10−23 | UBE3A, LOC122707019 | |
| Chr14 | 2,063,506 | A/G | 34.55 × 10−23 | LOC122708028 | |
| Chr20 | 65,299,752 | A/C | 22.78 × 10−23 | S1PR1, OLFM3 | |
| Chr24 | 55,874,319 | G/C | 42.92 × 10−23 | ERC2 | |
| Chr24 | 53,493,952 | G/A | 23.62 × 10−23 | TRNAW-CCA, LOC122683393 | |
| Chr24 | 52,547,833 | G/T | 22.82 × 10−23 | FHIT | |
| Chr28 | 852,575 | T/C | 20.38 × 10−23 | LOC122685417 | |
| Chr29 | 716,609 | T/C | 24.64 × 10−23 | LOC122686330 | |
| Chr33 | 149,895,086 | T/C | 22.81 × 10−23 | none | |
| Chest Depth | Chr05 | 18,303,189 | T/C | 6.70 × 10−23 | none |
| Chr20 | 9,754,766 | T/C | 7.45 × 10−23 | none | |
| Head Length | Chr14 | 2,063,506 | A/G | 10.37 × 10−23 | LOC122708028 |
| Chr33 | 149,895,086 | T/C | 10.84 × 10−22 | none | |
| Chr24 | 55,874,319 | G/C | 12.20 × 10−23 | ERC2 | |
| Chr23 | 49,007,055 | G/A | 9.07 × 10−22 | BMP2, LOC122681619 | |
| Chr26 | 31,522,038 | G/A | 9.46 × 10−23 | LOC122684220 | |
| Chr28 | 3,389,441 | G/T | 7.81 × 10−23 | LOC122685417 | |
| Chr32 | 11,106,917 | T/C | 8.20 × 10−23 | LOC122688080 | |
| Chr10 | 2,576,269 | C/T | 8.97 × 10−23 | LOC122702151 | |
| Frontal Width | Chr30 | 1,835,247 | C/T | 7.68 × 10−24 | LOC122686995 |
| Pipe Circumference | Chr24 | 41,986,106 | G/C | 7.78 × 10−24 | FOXP1 |
| Chr26 | 22,876,437 | C/T | 7.80 × 10−23 | ARFGEF3 | |
| Tail Length | Chr01 | 31,765,591 | T/A | 7.24 × 10−24 | none |
| Chr11 | 80,720,780 | G/A | 7.34 × 10−24 | SLC8A1 | |
| Shank Distance | Chr03 | 70,147,010 | A/G | 7.89 × 10−24 | none |
| Chr20 | 56,254,868 | A/G | 7.83 × 10−24 | LRIF1, LOC122676741 | |
| Chr23 | 49,421,440 | A/G | 7.72 × 10−24 | TRNAW-CCA, LOC122681873 |
| GO ID | Molecular Function | p-Value | Gene Count | Gene | Form |
|---|---|---|---|---|---|
| GO:0034330 | cell junction organization | 0.0001 | 10 | CHRNAL/CDH4/EPHA3/NRXN3/GABRA5/RIMA1/ADGRB3d/ERC2/CDH18/CDH26 | BP |
| GO:0050890 | cognition | 0.0006 | 7 | MME/NRXN3/SORCS3/GPR155/LINS1/GABRA5/ADGRB3 | BP |
| GO:0016239 | positive regulation of macroautophagy | 0.0058 | 3 | SPTLC2/TRIM13/SNX7 | BP |
| GO:0018108 | peptidyl-tyrosine phosphorylation | 0.0061 | 3 | AGTRLA/EPHA3/LRRK1 | BP |
| GO:0048639 | positive regulation of developmental growth | 0.0072 | 4 | CDH4/TSHR/SLC23A2/RIMS1 | BP |
| GO:0016342 | catenin complex | 0.0002 | 3 | CDH4/CDH18/CDH26 | CC |
| GO:0099634 | postsynaptic specialization membrane | 0.0008 | 5 | CHRNAL/SORCS3/GLRA3/GABRA5/ADGRB3 | CC |
| GO:0030695 | GTPase regulator activity | 0.0001 | 8 | GDI2/ARHGEF3/ARHGAP18/DOCK2/GOPC/ADGRB3/DENND6A/ARFGEF3 | MF |
| GO:0016758 | hexosyltransferase activity | 0.0046 | 4 | GBE1/AGL/POMT2/GALNTL6 | MF |
| GO:0008238 | exopeptidase activity | 0.0050 | 3 | MME/CTSZ/SCRN3 | MF |
| Pathway | Database | Input Number | Background Number | p-Value | Corrected p-Value | Gene |
|---|---|---|---|---|---|---|
| Starch and sucrose metabolism | KEGG PATHWAY | 1 | 33 | 1.64 | 1.01 | GBE1 |
| Propanoate metabolism | KEGG PATHWAY | 1 | 36 | 1.61 | 1.01 | HIBCH |
| Neuroactive ligand-receptor interaction | KEGG PATHWAY | 2 | 372 | 1.59 | 1.01 | GLRA3, CHRNA1 |
| beta-Alanine metabolism | KEGG PATHWAY | 1 | 38 | 1.59 | 1.01 | HIBCH |
| Valine, leucine and isoleucine degradation | KEGG PATHWAY | 1 | 52 | 1.45 | 0.97 | HIBCH |
| Non-small cell lung cancer | KEGG PATHWAY | 1 | 66 | 1.35 | 0.96 | FHIT |
| Fc gamma R-mediated phagocytosis | KEGG PATHWAY | 1 | 94 | 1.21 | 0.94 | DOCK2 |
| Small cell lung cancer | KEGG PATHWAY | 1 | 100 | 1.18 | 0.94 | FHIT |
| Metabolic pathways | KEGG PATHWAY | 3 | 1540 | 1.08 | 0.94 | HIBCH, GBE1, FHIT |
| Carbon metabolism | KEGG PATHWAY | 1 | 127 | 1.08 | 0.94 | HIBCH |
| Purine metabolism | KEGG PATHWAY | 1 | 141 | 1.04 | 0.94 | FHIT |
| Yersinia infection | KEGG PATHWAY | 1 | 141 | 1.04 | 0.94 | WIPF1 |
| Chemokine signaling pathway | KEGG PATHWAY | 1 | 188 | 0.92 | 0.86 | DOCK2 |
| Endocytosis | KEGG PATHWAY | 1 | 269 | 0.77 | 0.74 | WIPF1 |
| MAPK signaling pathway | KEGG PATHWAY | 1 | 305 | 0.73 | 0.73 | MAP3K20 |
Disclaimer/Publisher’s Note: The statements, opinions and data contained in all publications are solely those of the individual author(s) and contributor(s) and not of MDPI and/or the editor(s). MDPI and/or the editor(s) disclaim responsibility for any injury to people or property resulting from any ideas, methods, instructions or products referred to in the content. |
© 2026 by the authors. Licensee MDPI, Basel, Switzerland. This article is an open access article distributed under the terms and conditions of the Creative Commons Attribution (CC BY) license.
Share and Cite
Zhang, Y.; Zhang, X.; Zhao, L.; Zhang, Z.; Zhao, Y.; Qian, W.; Gai, G.; Bai, H.; Du, P.; Han, H. Screening Candidate Genes for Body Size Traits in Dongfeng Sika Deer Bucks Based on Genome-Wide Association Analysis. Biology 2026, 15, 227. https://doi.org/10.3390/biology15030227
Zhang Y, Zhang X, Zhao L, Zhang Z, Zhao Y, Qian W, Gai G, Bai H, Du P, Han H. Screening Candidate Genes for Body Size Traits in Dongfeng Sika Deer Bucks Based on Genome-Wide Association Analysis. Biology. 2026; 15(3):227. https://doi.org/10.3390/biology15030227
Chicago/Turabian StyleZhang, Yan, Xinyuan Zhang, Lieping Zhao, Zhen Zhang, Yao Zhao, Wenxi Qian, Guanghui Gai, Huixin Bai, Peize Du, and Huansheng Han. 2026. "Screening Candidate Genes for Body Size Traits in Dongfeng Sika Deer Bucks Based on Genome-Wide Association Analysis" Biology 15, no. 3: 227. https://doi.org/10.3390/biology15030227
APA StyleZhang, Y., Zhang, X., Zhao, L., Zhang, Z., Zhao, Y., Qian, W., Gai, G., Bai, H., Du, P., & Han, H. (2026). Screening Candidate Genes for Body Size Traits in Dongfeng Sika Deer Bucks Based on Genome-Wide Association Analysis. Biology, 15(3), 227. https://doi.org/10.3390/biology15030227

