Mechanistic Pathways Controlling Cadmium Bioavailability and Ecotoxicity in Agricultural Systems: A Global Meta-Analysis of Lime Amendment Strategies
Simple Summary
Abstract
1. Introduction
2. Materials and Methods
2.1. Data Sources and Treatments
- (1)
- Monitoring requirements: Studies must document soil pH levels, bioavailable Cd concentrations, and Cd accumulation in plant tissues (shoots and grains) of at least one crop species.
- (2)
- Research focus: Investigations should emphasize effects of Cd contamination on agricultural crops, with particular attention to rice (Oryza sativa L.).
- (3)
- Treatment design: Research must clearly specify the lime-based amendment dosages, utilize these materials as primary immobilization agents, and include both untreated controls and various Ca-amended treatments.
- (4)
- Data availability: Essential statistical information, including sample numbers, mean values, standard deviations, and/or standard errors (SEs) for target parameters, must be explicitly presented in manuscripts, tables, or extractables from published figures.
2.2. Meta-Analysis
2.3. Statistical Analysis
3. Results
3.1. Lime-Based Materials Regulate Cd Migration in Acidic Soil–Plant Systems Through Chemical Fixation and Ionic Competition
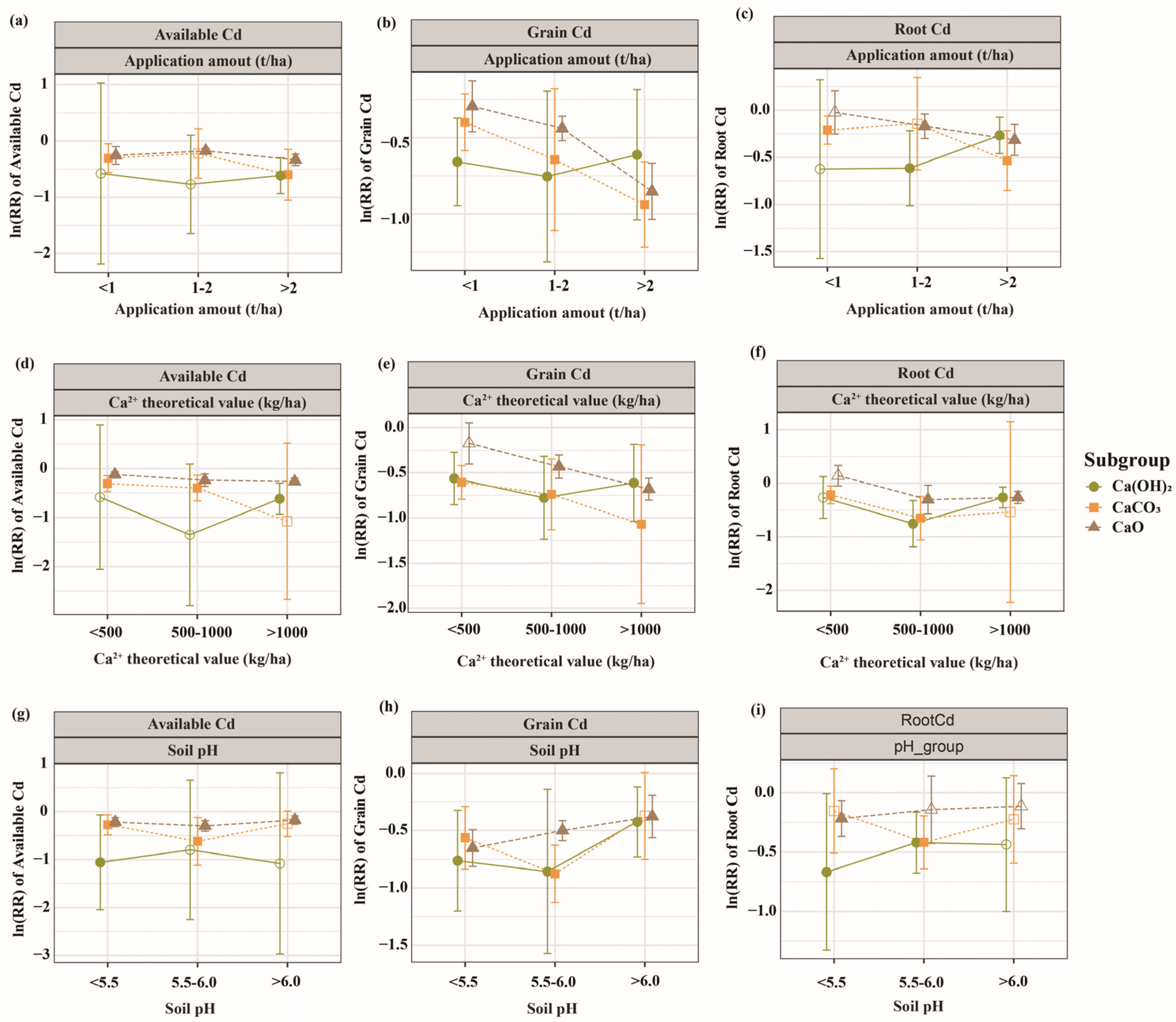
3.2. Differential Roles of Three Lime-Based Materials in Chemical Fixation and Ionic Competition Mechanisms
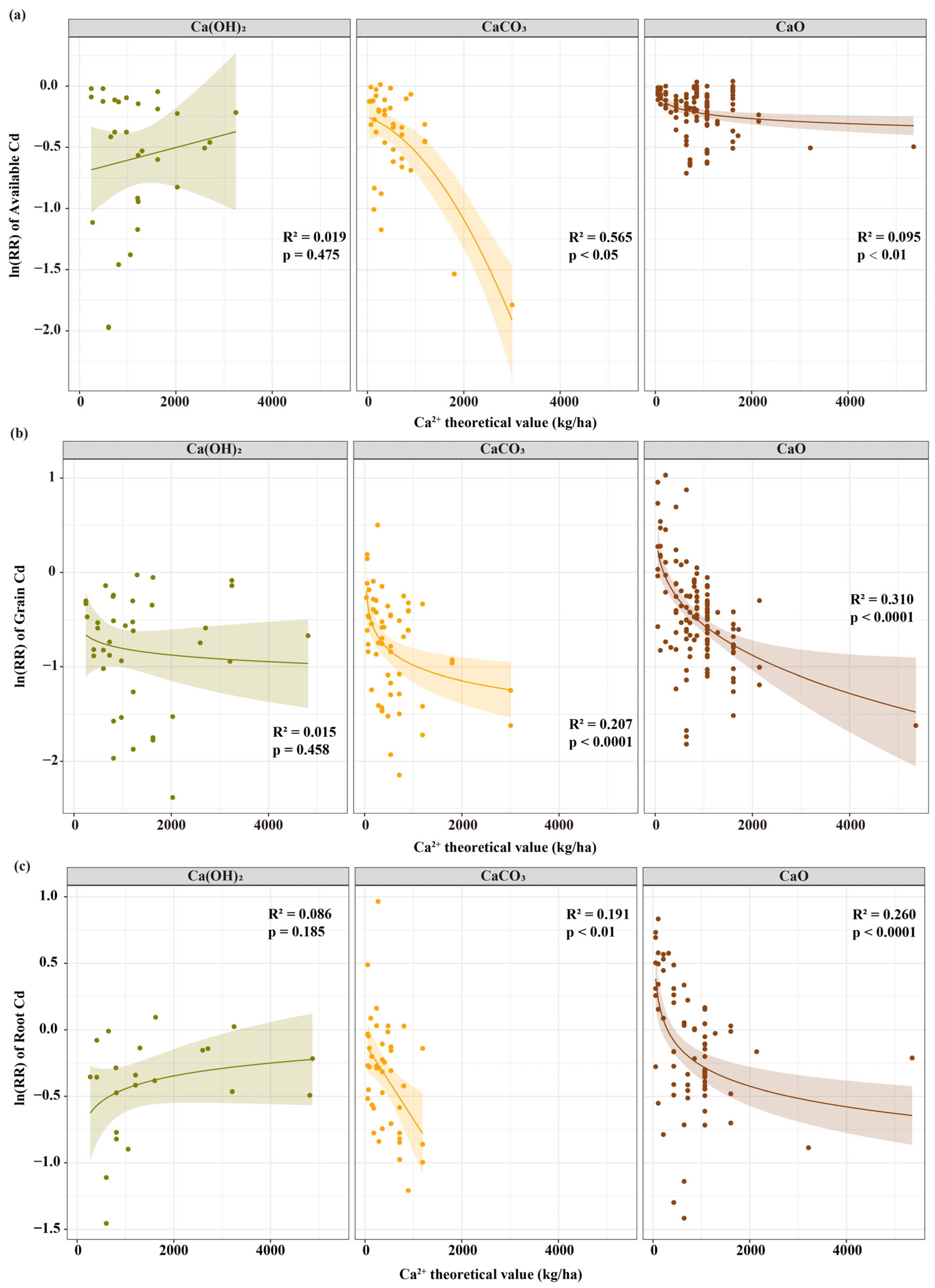
3.3. Validation of Dual Mechanisms and Mechanistic Division of Three Lime-Based Materials
4. Discussion
4.1. Dual Blocking Mechanisms of Lime-Based Materials in Regulating Cd Migration in Acidic Soil–Plant Systems
4.2. Mechanistic Differences of Three Lime-Based Materials in Cd Immobilization and Control and Long-Term Advantages of Calcium Carbonate
4.3. Mechanistic Analysis and Economic Feasibility Evaluation of Passivation Performance of Calcium Carbonate on Cd
5. Conclusions
Supplementary Materials
Author Contributions
Funding
Institutional Review Board Statement
Informed Consent Statement
Data Availability Statement
Conflicts of Interest
References
- Hussain, B.; Ashraf, M.N.; Shafeeq-ur-rahman, A.A.; Farooq, M. Cadmium stress in paddy fields: Effects of soil conditions and remediation strategies. Sci. Total Environ. 2021, 754, 142188. [Google Scholar] [CrossRef]
- Hou, D.; Jia, X.; Wang, L.; McGrath, S.P.; Zhu, Y.G.; Hu, Q.; Zhao, F.J.; Bank, M.S.; O’Connor, D.; Nriagu, J. Global soil pollution by toxic metals threatens agriculture and human health. Science 2025, 388, 705–709. [Google Scholar] [CrossRef]
- Ondrasek, G.; Shepherd, J.; Rathod, S.; Dharavath, R.; Rashid, M.I.; Brtnicky, M.; Shahid, M.S.; Horvatinec, J.; Rengel, Z. Metal contamination—A global environmental issue: Sources, implications & advances in mitigation. RSC Adv. 2025, 15, 3904–3927. [Google Scholar] [CrossRef]
- Li, X.; Shen, Q.; Zhang, D.; Mei, X.; Ran, W.; Xu, Y.; Yu, G. Functional groups determine biochar properties (pH and EC) as studied by combining results from pyrolysis and aqueous extraction. Environ. Sci. Technol. 2013, 58, 5234–5243. [Google Scholar] [CrossRef]
- Khan, S.; Cao, Q.; Zheng, Y.M.; Huang, Y.Z.; Zhu, Y.G. Health risks of heavy metals in contaminated soils and food crops irrigated with wastewater in Beijing, China. Environ. Pollut. 2008, 152, 686–692. [Google Scholar] [CrossRef] [PubMed]
- Rizwan, M.; Ali, S.; Adrees, M.; Rizvi, H.; Zia-ur-Rehman, M.; Hannan, F.; Qayyum, M.F.; Hafeez, F.; Ok, Y.S. Cadmium stress in rice: Toxic effects, tolerance mechanisms, and management: A critical review. Environ. Sci. Pollut. Res. 2016, 25, 17859–17879. [Google Scholar] [CrossRef]
- Wang, P.; Chen, H.; Kopittke, P.M.; Zhao, F.J. Cadmium contamination in agricultural soils of China and the impact on food safety. Environ. Pollut. 2019, 249, 1038–1048. [Google Scholar] [CrossRef] [PubMed]
- Li, R.; Yang, Y.; Lou, H.; Wang, W.; Du, R.; Chen, H.; Du, X.; Hu, S.; Wang, G.; Yan, J.; et al. Glutathione triggers leaf-to-leaf, calcium-based plant defense signaling. Nat. Commun. 2025, 16, 1915. [Google Scholar] [CrossRef]
- Islam, M.S.; Magid, A.S.I.A.; Chen, Y.; Weng, L.; Ma, J.; Arafat, M.Y.; Khan, Z.H.; Li, Y. Effect of calcium and iron-enriched biochar on arsenic and cadmium accumulation from soil to rice paddy tissues. Sci. Total Environ. 2021, 785, 147163. [Google Scholar] [CrossRef]
- Chen, H.; Zhang, W.; Yang, X.; Wang, P.; McGrath, S.; Zhao, F. Effective methods to reduce cadmium accumulation in rice grain. Chemosphere 2018, 207, 699–707. [Google Scholar] [CrossRef]
- Zhao, Q.; Wang, J.; Li, H.; Wang, Z.; Makar, R.S.; Yao, L.; Chen, Z.; Han, H. Phosphate-solubilizing bacteria reduce Cd accumulation in spinach by forming P–Ca adhesive films in the roots and altering the structure of soil macroaggregates. J. Hazard. Mater. 2025, 494, 138482. [Google Scholar] [CrossRef]
- Dai, M.; Zhang, L.; Li, J.; Zhu, C.; Song, L.; Huang, H.; Xu, C.; Li, Q.; Chen, L.; Jiang, C.; et al. Calcium regulates the physiological and molecular responses of Morus alba roots to cadmium stress. J. Hazard. Mater. 2024, 480, 136210. [Google Scholar] [CrossRef] [PubMed]
- Haider, F.U.; Liqun, C.; Coulter, J.A.; Cheema, S.A.; Wu, J.; Zhang, R.; Wenjun, M.; Farooq, M. Cadmium toxicity in plants: Impacts and remediation strategies. Ecotoxicol. Environ. Saf. 2021, 211, 111887. [Google Scholar] [CrossRef] [PubMed]
- Ahmad, M.; Rajapaksha, A.U.; Lim, J.E.; Zhang, M.; Bolan, N.; Mohan, D.; Vithanage, M.; Lee, S.S.; Ok, Y.S. Biochar as a sorbent for contaminant management in soil and water: A review. Chemosphere 2024, 99, 19–33. [Google Scholar] [CrossRef]
- Hamid, Y.; Tang, L.; Wang, X.; Hussain, B.; Yaseen, M.; Aziz, M.Z.; Yang, X. Organic soil additives for the remediation of cadmium contaminated soils and their impact on the soil-plant system: A review. Sci. Total Environ. 2020, 707, 136121. [Google Scholar] [CrossRef]
- Kong, L.; Guo, Z.; Peng, C.; Xiao, X.; He, Y. Factors influencing the effectiveness of liming on cadmium reduction in rice: A meta-analysis and decision tree analysis. Sci. Total Environ. 2021, 779, 146477. [Google Scholar] [CrossRef] [PubMed]
- He, L.; Huang, D.; Zhang, Q.; Zhu, H.; Xu, C.; Li, B.; Zhu, Q. Meta-analysis of the effects of liming on soil pH and cadmium accumulation in crops. Ecotoxicol. Environ. Saf. 2021, 223, 112621. [Google Scholar] [CrossRef]
- Peng, Y.; Li, X.; Wu, H.; Li, C.; Zhang, M.; Yang, H. Critical Review of Ca(OH)2/CaO Thermochemical Energy Storage Materials. Energies 2023, 16, 3019. [Google Scholar] [CrossRef]
- Wang, J.; Gu, Y.; Yuan, D.; Shen, Z.; Lv, F.; Wan, D.; Gao, Y.; Duan, Y.; Liang, Q.; Dai, Z.; et al. Research Progress and Key Technical Barriers in CaO/Ca(OH)2 Based Energy Storage: A Systematic Review. Clean Energy Sustain. 2025, 3, 10005. [Google Scholar] [CrossRef]
- Liu, H.; Chen, C.; Li, X.; Yang, P. Meta-analysis compares the effectiveness of modified biochar on cadmium availability. Front. Environ. Sci. 2024, 12, 1413047. [Google Scholar] [CrossRef]
- Liao, P.; Huang, S.; Zeng, Y.; Shao, H.; Zhang, J.; Griebigen, K.J. Liming increases yield and reduces grain cadmium concentration in rice paddies: A meta-analysis. Plant Soil 2021, 465, 157–169. [Google Scholar] [CrossRef]
- Hao, J.Q.; Feng, Y.Z.; Wang, X.; Yu, Q.; Zhang, F.; Yang, G.L.; Ren, D.X.; Han, X.H.; Wang, X.J.; Ren, C.J. Soil microbial nitrogen-cycling gene abundances in response to crop diversification: A meta-analysis. Sci. Total Environ. 2022, 838, 156621. [Google Scholar] [CrossRef]
- Elrys, A.S.; Wen, Y.; Feng, D.; El-Mekkawy, R.M.; Kong, M.; Qin, X.; Lu, Q.; Dan, X.; Zhu, Q.; Tang, S.; et al. Cadmium inhibits carbon and nitrogen cycling through soil microbial biomass and reduces soil nitrogen availability. J. Hazard. Mater. 2025, 489, 137524. [Google Scholar] [CrossRef] [PubMed]
- Gao, Y.; Tan, Z.Y.; Wang, H.; Zhu, Y.N. Nitrogen fertilization and the rhizosphere effect on nitrogen cycling: A meta-analysis. Appl. Soil Ecol. 2023, 186, 104788. [Google Scholar] [CrossRef]
- Rosenberg, M.S.; Adamsm, D.C.; Gurevitch, J. MetaWin: Statistical Software for Meta-Analysis, version 2.1; Sinauer Associates: Sunderland, MA, USA, 2000.
- Hepler, P.K. Calcium: A Central Regulator of Plant Growth and Development. Plant Cell 2005, 17, 2142–2155. [Google Scholar] [CrossRef]
- Sterckeman, T. Soil to plant transfer of cadmium. OCL—Oilseeds and Fats. Crops Lipids 2025, 32, 14. [Google Scholar] [CrossRef]
- Qin, S.; Liu, H.; Nie, Z.; Rengel, Z.; Gao, W.; Li, C.; Zhao, P. Toxicity of cadmium and its competition with mineral nutrients for uptake by plants: A review. Pedosphere 2020, 30, 168–180. [Google Scholar] [CrossRef]
- Fan, J.; Cai, C.; Chi, H.; Reid, B.; Coulon, F.; Zhang, Y.; Hou, Y. Remediation of cadmium and lead polluted soil using thiol-modified biochar. J. Hazard. Mater. 2020, 388, 122037. [Google Scholar] [CrossRef]
- Wei, B.; Peng, Y.; Jeyakumar, P.; Lin, L.; Zhang, D.; Yang, M.; Zhu, J.; Ki Lin, C.S.; Wang, H.; Wang, Z.; et al. Soil pH restricts the ability of biochar to passivate cadmium: A meta-analysis. Environ. Res. 2022, 219, 115110. [Google Scholar] [CrossRef]
- Liu, L.; Song, W.; Guo, M. Remediation techniques for heavy metal-contaminated soils: Principles and applicability. Sci. Total Environ. 2018, 633, 206–219. [Google Scholar] [CrossRef]
- Bian, R.; Li, L.; Bao, D.; Zheng, J.; Zhang, X.; Zheng, J.; Liu, X.; Cheng, K.; Pan, G. Cd immobilization in a contaminated rice paddy by inorganic stabilizers of calcium hydroxide and silicon slag and by organic stabilizer of biochar. Environ. Sci. Pollut. Res. 2016, 23, 10028–10036. [Google Scholar] [CrossRef]
- Sebastian, A.; Prasad, M.N.V. Cadmium minimization in rice. A review. Agron. Sustain. Dev. 2014, 34, 155–173. [Google Scholar] [CrossRef]
- Wang, Y.; Blatt, M.R.; Chen, Z. Ion Transport at the Plant Plasma Membrane. In eLS; John Wiley & Sons, Ltd.: Hoboken, NJ, USA, 2018; p. 20. [Google Scholar] [CrossRef]
- Antoniadis, V.; Levizou, E.; Shaheen, S.M.; Ok, Y.S.; Sebastian, A.; Baum, C.; Prasad, M.N.V.; Wenzel, W.W.; Rinklebe, J. Trace elements in the soil-plant interface: Phytoavailability, translocation, and phytoremediation—A review. Earth-Sci. Rev. 2017, 171, 621–645. [Google Scholar] [CrossRef]
- Han, Y.; Ucak-Astarlioglu, M.G.; Burroughs, J.F.; Bullard, J.W. Calcium hydroxide dissolution rates: Dependence on temperature and saturation. Chem. Eng. J. 2025, 515, 162484. [Google Scholar] [CrossRef]
- Dou, X.; Zhang, J.; Zhang, C.; Ma, D.; Chen, L.; Zhou, G.; Li, J.; Duan, Y. Calcium carbonate regulates soil organic carbon accumulation by mediating microbial communities in northern China. Catena 2023, 231, 107327. [Google Scholar] [CrossRef]
- Rodriguez-Navarro, C.; Kudlacz, K.; Cizer, Ö.; Ruiz-Agudo, E. Formation of amorphous calcium carbonate and its transformation into mesostructured calcite. CrystEngComm 2013, 14, 83–90. [Google Scholar] [CrossRef]
- Stumm, W.; Morgan, J.J. Aquatic Chemistry: Chemical Equilibria and Rates in Natural Waters, 3rd ed.; John Wiley & Sons: Hoboken, NJ, USA, 1996. [Google Scholar]
- Zhang, L.; Wang, W.; Yue, C.; Si, Y. Biogenic calcium improved Cd2+ and Pb2+ immobilization in soil using the ureolytic bacteria Bacillus pasteurii. Sci. Total Environ. 2024, 921, 171060. [Google Scholar] [CrossRef] [PubMed]
- Plummer, L.N.; Busenberg, E. The solubilities of calcite, aragonite and vaterite in CO2-H2O solutions between 0 and 90 °C, and an evaluation of the aqueous model for the system CaCO3-CO2-H2O. Geochim. Cosmochim. Acta 1982, 46, 1011–1040. [Google Scholar] [CrossRef]
- Moral, R.; Gilkes, R.J.; Jordán, M.M. Distribution of Heavy Metals in Calcareous and Non-Calcareous Soils in Spain. Water Air Soil Pollut. 2015, 162, 127–142. [Google Scholar] [CrossRef]
- Kumar, V.; Pandita, S.; Singh Sidhu, G.P.; Sharma, A.; Khanna, K.; Kaur, P.; Bali, A.S.; Chen, S. Copper bioavailability, uptake, toxicity and tolerance in plants: A comprehensive review. Chemosphere 2021, 262, 127810. [Google Scholar] [CrossRef]
- Argüello, D.; Chavez, E.; Gutierrez, E.; Pittomvils, M.; Dekeyrel, J.; Blommaert, H.; Smolders, E. Soil amendments to reduce cadmium in cacao (Theobroma cacao L.): A comprehensive field study in Ecuador. Chemosphere 2023, 324, 138318. [Google Scholar] [CrossRef]
- Li, Y.; Zhang, M.; Wang, X.; Ai, S.; Meng, X.; Liu, Z.; Yang, F.; Cheng, K. Synergistic enhancement of cadmium immobilization and soil fertility through biochar and artificial humic acid-assisted microbial-induced calcium carbonate precipitation. J. Hazard. Mater. 2024, 476, 135140. [Google Scholar] [CrossRef] [PubMed]
- Sun, Y.; Sun, G.; Xu, Y.; Wang, L.; Lin, D.; Liang, X.; Shi, X. In situ stabilization remediation of cadmium contaminated soils of wastewater irrigation region using sepiolite. J. Environ. Sci. 2012, 24, 1799–1805. [Google Scholar] [CrossRef] [PubMed]
- Lyu, H.; Gao, B.; He, F.; Zimmerman, A.R.; Ding, C.; Huang, H.; Tang, J. Effects of ball milling on the physicochemical and sorptive properties of biochar: Experimental observations and governing mechanisms. Environ. Pollut. 2018, 233, 54–63. [Google Scholar] [CrossRef] [PubMed]
- Yu, X.; Keitel, C.; Dijkstra, F.D. Ameliorating soil acidity with calcium carbonate and calcium hydroxide: Effects on carbon, nitrogen, and phosphorus dynamics. J. Soil Sci. Plant Nutr. 2023, 23, 5270–5278. [Google Scholar] [CrossRef]
- Appelo, C.A.J.; Postma, D. Geochemistry, Groundwater and Pollution; CRC Press: Boca Raton, FL, USA, 2005. [Google Scholar] [CrossRef]
- Inoue, J.; Teramoto, T.; Kazama, T.; Nakamura, T. Engineering rice Nramp5 modifies cadmium and manganese uptake selectivity using yeast assay system. Front. Plant Sci. 2024, 15, 1482099. [Google Scholar] [CrossRef]
- Sasaki, A.; Yamaji, N.; Yokosho, K.; Ma, J.F. Nramp5 is a major transporter responsible for manganese and cadmium uptake in rice. Plant Cell 2012, 24, 2155–2167. [Google Scholar] [CrossRef]
- Enesi, R.O.; Dyck, M.; Chang, S.; Thilakarathna, M.S.; Fan, X.; Stelkov, S.; Gorim, L.Y. Liming remediates soil acidity and improves crop yield and profitability—A meta-analysis. Front. Agron. 2023, 5, 1194896. [Google Scholar] [CrossRef]
- Mattila, H.P.; Hudd, H.; Zevenhoven, R. Cradle-to-gate life cycle assessment of precipitated calcium carbonate production from steel converter slag. J. Clean. Prod. 2014, 84, 611–618. [Google Scholar] [CrossRef]
- Cao, S.; Zhou, W.; Zhou, Y.; Luo, S. The Cadmium Reduction Effect of Silicon Calcium Magnesium Soil Conditioner on Acid Cadmium Polluted Soil and Rice. J. Henan Agric. Sci. 2017, 46, 54–58. [Google Scholar]
- Chen, H.; Wang, P.; Chang, J.; Kopittke, P.M.; Zhao, F. Producing Cd-safe rice grains in moderately and seriously Cd-contaminated paddy soils. Chemosphere 2021, 267, 128893. [Google Scholar] [CrossRef]
- Cheng, Z.; Shi, J.; He, Y.; Wu, L.; Xu, J. Assembly of root-associated bacterial community in cadmium contaminated soil following five-year consecutive application of soil amendments: Evidences for improved soil health. J. Hazard. Mater. 2022, 426, 128095. [Google Scholar] [CrossRef]
- Dai, Y.; Yang, Y.; Fu, K.; Li, Y.; Wang, M.; Chen, W. Effects and application risk of liming on cadmium uptake by rice. Chin. J. Environ. Eng. 2021, 15, 1473–1480. [Google Scholar]
- Dong, H.; Tang, S.; Ye, S.; Zhao, M.; Li, H.; Wang, G. Effect of lime on the transfer of Cd and Pb in the soil-rice cultivation system and their accumulation in the rice grains. J. Saf. Environ. 2016, 16, 226–231. [Google Scholar] [CrossRef]
- Duan, M.; Wang, S.; Huang, D.; Zhu, Q.; Liu, S.; Zhang, Q.; Zhu, H.; Xu, C. Effectiveness of simultaneous applications of lime and zinc/iron foliar sprays to minimize cadmium accumulation in rice. Ecotoxicol. Environ. Saf. 2018, 165, 510–515. [Google Scholar] [CrossRef] [PubMed]
- Gong, L.; Chen, K.; Li, D.; Cai, M.; Wang, J.; Zhang, Q. Remediation effects of mixed amendment at different application levels on cadmium-contaminated farmland soil. J. Zhejiang Univ. (Agric. Life Sci.) 2022, 48, 359–368. [Google Scholar] [CrossRef]
- Guo, F.; Ding, C.; Zhou, Z.; Huang, G.; Wang, X. Effects of combined amendments on crop yield and cadmium uptake in two cadmium contaminated soils under rice-wheat rotation. Ecotoxicol. Environ. Saf. 2018, 148, 303–310. [Google Scholar] [CrossRef]
- Hamid, Y.; Liu, L.; Usman, M.; Tang, L.; Lin, Q.; Rashid, M.S.; Ulhassan, Z.; Hussain, I.M.; Yang, X. Organic/inorganic amendments for the remediation of a red paddy soil artificially contaminated with different cadmium levels: Leaching, speciation, and phytoavailability tests. J. Environ. Manag. 2022, 303, 114148. [Google Scholar] [CrossRef]
- Hamis, Y.; Tang, L.; Hussain, B.; Usman, M.; Gurajala, H.K.; Rashid, M.S.; He, Z.; Yang, X. Efficiency of lime, biochar, Fe containing biochar and composite amendments for Cd and Pb immobilization in a co-contaminated alluvial soil. Environ. Pollut. 2020, 257, 113609. [Google Scholar] [CrossRef]
- He, Y.; Huang, D.; Zhu, Q.; Wang, S.; Liu, S.; He, H.; Zhu, H.; Xu, C. A three-season field study on the in-situ remediation of Cd-contaminated paddy soil using lime, two industrial by-products, and a low-Cd-accumulation rice cultivar. Ecotoxicol. Environ. Saf. 2017, 136, 135–141. [Google Scholar] [CrossRef]
- Hu, H.; Gao, L.; Zhang, H.; Zhou, X.; Zheng, J.; Hu, J.; Hu, H.; Ma, Y. Effectiveness of Passivator Amendments and Optimized Fertilization for Ensuring the Food Safety of Rice and Wheat from Cadmium-Contaminated Farmland. Sustainability 2022, 14, 15026. [Google Scholar] [CrossRef]
- Huang, B.; Wu, Q.; Xiao, H.; Meng, X.; Wu, J. Effects of continuous application of lime for three years on cadmium concentration and uptake by wheat and rice in Cd contaminated soil. Soil Fertil. Sci. China 2020, 3, 138–143. [Google Scholar]
- Huang, G.; Ding, C.; Hu, Z.; Cui, C.; Zhang, T.; Wang, X. Topdressing iron fertilizer coupled with pre-immobilization in acidic paddy fields reduced cadmium uptake by rice (Oryza sativa L.). Sci. Total Environ. 2018, 636, 1040–1047. [Google Scholar] [CrossRef] [PubMed]
- Huang, G.; Ding, C.; Guo, N.; Ding, M.; Zhang, H.; Kamran, M.; Zhou, Z.; Zhang, T.; Wang, X. Polymer-coated manganese fertilizer and its combination with lime reduces cadmium accumulation in brown rice (Oryza sativa L.). J. Hazard. Mater. 2021, 415, 125597. [Google Scholar] [CrossRef] [PubMed]
- Huang, Y.; Sheng, H.; Zhou, P.; Zhang, Y. Remediation of Cd-contaminated acidic paddy fields with four-year consecutive liming. Ecotoxicol. Environ. Saf. 2020, 188, 109903. [Google Scholar] [CrossRef]
- Huang, Y.; Liao, M.; Ye, Z.; Ting, L. Cd Concentrations in Two Low Cd Accumulating Varieties of Rice and Their Relationships With Soil Cd Content and Their Regulation Under Field Conditions. J. Ecol. Rural. Environ. 2017, 33, 748–754. [Google Scholar] [CrossRef]
- Hamid, Y.; Tang, L.; Lu, M.; Hussain, B.; Zehra, A.; Khan, M.B.; He, Z.; Gurajala, H.K.; Yang, X. Assessing the immobilization efficiency of organic and inorganic amendments for cadmium phytoavailability to wheat. J. Soil Sediments 2019, 19, 3708–3717. [Google Scholar] [CrossRef]
- Hamid, Y.; Tang, L.; Wang, X.; Hussain, B.; Yassen, M.; Aziz, M.Z.; Yang, X. Immobilization of cadmium and lead in contaminated paddy field using inorganic and organic additives. Sci. Rep. 2018, 8, 17839. [Google Scholar] [CrossRef]
- Li, B.; Yang, L.; Wang, C.; Zheng, S.; Xiao, R.; Guo, Y. Effects of organic-inorganic amendments on the cadmium fraction in soil and its accumulation in rice (Oryza sativa L.). Environ. Sci. Pollut. Res. Int. 2018, 26, 13762–13772. [Google Scholar] [CrossRef]
- Li, D.; Liu, H.; Gao, M.; Zhou, J.; Zhou, J. Effects of soil amendments, foliar sprayings of silicon and selenium and their combinations on the reduction of cadmium accumulation in rice. Pedosphere 2022, 32, 649–659. [Google Scholar] [CrossRef]
- Li, F.; Ai, S.; Wang, Y.; Tang, M.; Li, Y. In Situ Field-Scale Remediation of Low Cd-Contaminated Paddy Soil Using Soil Amendments. Water Air Soil Pollut. 2016, 227, 342. [Google Scholar] [CrossRef]
- Li, G.; Cheng, Q.; Cheng, H. Remediation of Cd Contaminated Acidic Rice Fields Using the Combined Application of Lime and Organic Matter. Environ. Sci. 2021, 42, 925–931. [Google Scholar] [CrossRef]
- Li, P.; Wang, X.; Zhang, T.; Zhou, D.; He, Y. Distribution and Accumulation of Copper and Cadmium in Soil–Rice System as Affected by Soil Amendments. Water Air Soil Pollut. 2009, 196, 29–40. [Google Scholar] [CrossRef]
- Li, X.; Long, J.; Peng, P.; Chen, Q.; Dong, X.; Jiang, K.; Hou, H.; Liao, B. Evaluation of Calcium Oxide of Quicklime and Si–Ca–Mg Fertilizer for Remediation of Cd Uptake in Rice Plants and Cd Mobilization in Two Typical Cd-Polluted Paddy Soils. Int. J. Environ. Res. 2018, 12, 877–885. [Google Scholar] [CrossRef]
- Li, X.; Yang, C.; Liu, Y.; Zhang, M.; Sun, X.; Zhou, Y.; Yin, W.; Wang, S.; Wang, X. Effect of Passivators on Cd Availability in Farmland Soil and Cd Uptake by Different Rice Varieties. Environ. Eng. 2021, 39, 211–216. [Google Scholar] [CrossRef]
- Liu, B.; Ji, X.; Peng, H.; Tian, F.; Wu, J.; Shi, L. Effects of phosphorous fertilizers on phytoavailability of cadmium in its contaminated soil and related mechanisms. Chin. J. Appl. Ecol. 2012, 23, 1585–1590. [Google Scholar]
- Liu, Z.; Huang, Y.; Ji, X.; Xie, Y.; Peng, J.; Eissa, M.A.; Fahmy, A.; Abou-Elwafa, S.F. Effects and Mechanism of Continuous Liming on Cadmium Immobilization and Uptake by Rice Grown on Acid Paddy Soils. J. Soil Sci. Plant Nutr. 2020, 20, 2316–2328. [Google Scholar] [CrossRef]
- Lu, J.; Gong, L.; Cai, M.; Zhang, G.; Zhang, Q. Study on the Passivation Effect of Minerals on Cd in Farmland Soil with Light Heavy Metal Pollution. J. Ecol. Rural. Environ. 2022, 38, 391–398. [Google Scholar] [CrossRef]
- Luo, W.; Yang, S.; Khan, M.A.; Ma, J.; Xu, W.; Li, Y.; Xiang, Z.; Jin, G.; Zhong, B.; Duan, L.; et al. Mitigation of Cd accumulation in rice with water management and calcium-magnesium phosphate fertilizer in field environment. Environ. Geochem. Health 2020, 42, 3877–3886. [Google Scholar] [CrossRef]
- Meng, L.; Huang, T.; Shi, J.; Chen, J.; Zhong, F.; Wu, L.; Xu, J. Decreasing cadmium uptake of rice (Oryza sativa L.) in the cadmium-contaminated paddy field through different cultivars coupling with appropriate soil amendments. J. Soils Sediments 2018, 19, 1788–1798. [Google Scholar] [CrossRef]
- Shi, L.; Guo, Z.; Liang, F.; Peng, C.; Xiao, X.; Feng, W. Effects of lime and water management on uptake and translocation of cadmium in rice. Trans. Chin. Soc. Agric. Eng. 2017, 33, 111–117. [Google Scholar]
- Shi, L.; Guo, Z.; Liu, S.; Xiao, X.; Peng, C.; Feng, W.; Ran, H.; Zeng, P. Effects of combined soil amendments on Cd accumulation, translocation and food safety in rice: A field study in southern China. Environ. Geochem. Health 2021, 44, 2451–2463. [Google Scholar] [CrossRef]
- Shi, L.; Guo, Z.; Peng, C.; Xiao, X.; Xue, Q.; Ran, H.; Feng, W. Lime based amendments inhibiting uptake of cadmium in rice planted in contaminated soils. Trans. Chin. Soc. Agric. Eng. 2018, 34, 209–216. [Google Scholar] [CrossRef]
- Shi, L.; Guo, Z.; Peng, C.; Xiao, X.; Feng, W.; Huang, B.; Ran, H. Immobilization of cadmium and improvement of bacterial community in contaminated soil following a continuous amendment with lime mixed with fertilizers: A four-season field experiment. Ecotoxicol. Environ. Saf. 2019, 171, 425–434. [Google Scholar] [CrossRef]
- Tang, X.; Zhou, X.; Huang, F.; Zhou, J. Study on the Effect of Comprehensive Treatment Technology on Rice Cadmium Content Under Different Cd Polluted Cultivated Land. J. Ecol. Rural. Environ. 2020, 36, 1339–1346. [Google Scholar] [CrossRef]
- Tian, F.; Ji, X.; Xie, Y.; Wu, J.; Guang, D. Alkaline slow-release fertilizer decreased rice Cd uptake at Cd-contaminated paddy fields. J. Agro-Environ. Sci. 2016, 35, 2116–2122. [Google Scholar]
- Wang, X.; Zhang, D.; Zhao, S.; Su, Q.; Lu, J.; Dai, Y. Safe Utilization Effect of Passivator, Foliar Inhibitor, and Their Combined Application on Cadmium-contaminated Farmland. Environ. Sci. 2024, 45, 7237–7244. [Google Scholar]
- Xiao, M.; Fan, J.; Wang, H.; Xu, C.; Zhang, Q.; Chen, X.; Zhu, H.; Zhu, H.; Huang, D. Effect of Chinese milk vetch combined with lime on cadmium uptake and translocation in rice. China Environ. Sci. 2022, 42, 276–284. [Google Scholar]
- Xiao, R.; Huang, Z.; Li, X.; Chen, W.; Deng, Y.; Han, C. Lime and Phosphate Amendment Can Significantly Reduce Uptake of Cd and Pb by Field-Grown Rice. Sustainability 2017, 9, 430. [Google Scholar] [CrossRef]
- Xie, Y.; Ji, X.; Tian, F.; Wu, J.; Liu, Z.; Guan, D. Effect of passivator on Cd uptaking of rice in different Cd pollution characteristics paddy soils. Chin. J. Environ. Eng. 2017, 11, 1242–1250. [Google Scholar]
- Yan, D.; Guo, Z.; Huang, F.; Ran, H.; Zhang, L. Effect of Calcium Magnesium Phosphate on Remediation Paddy Soil Contaminated with Cadmium Using Lime and Sepiolite. Environ. Sci. 2020, 41, 1491–1497. [Google Scholar] [CrossRef]
- Yang, D.; Li, X.; Zhou, Y.; Luo, L.; Xie, Y.; Wang, P.; Li, X. Effects of straw returning with different lime dosages on Cd accumulation in rice. J. Agro-Environ. Sci. 2021, 40, 6. [Google Scholar] [CrossRef]
- Yang, R.; Chen, X.; Zhang, Y.; Cui, J.; Wu, L.; Ma, Y.; Liao, J.; He, H. Effects of Nano Material on Cadmium Accumulation Capacity and Grain Yield of Indica Hybrid Rice Under Wetting-drying Alternation Irrigation. Environ. Sci. 2021, 42, 1. [Google Scholar] [CrossRef]
- Yuan, C.; Li, B.; Zhu, R.; Yao, D.; Zhan, F.; Chen, J.; Zu, Y.; He, Y.; Li, Y. Immobilization of Cd and Pb using different amendments of cultivated soils around lead-zinc mines. J. Agro-Environ. Sci. 2019, 38, 807–817. [Google Scholar]
- Yuan, F.; Tang, X.; Wu, J.; Zhao, K.; Ye, Z. Simultaneous immobilization of arsenic and cadmium in paddy soil by Fe-Mn binary oxide: A field-scale study. Environ. Sci. 2021, 42, 3535–3548. [Google Scholar] [CrossRef]
- Yang, Y.; Chen, J.; Huang, Q.; Tang, S.; Wang, J.; Hu, P.; Shao, G. Can liming reduce cadmium (Cd) accumulation in rice (Oryza sativa) in slightly acidic soils? A contradictory dynamic equilibrium between Cd uptake capacity of roots and Cd immobilisation in soils. Chemosphere 2018, 193, 547–556. [Google Scholar] [CrossRef]
- Zeng, T.; Khaliq, M.A.; Li, H.; Jayasuriya, P.; Guo, J.; Li, Y.; Wang, G. Assessment of Cd availability in rice cultivation (Oryza sativa): Effects of amendments and the spatiotemporal chemical changes in the rhizosphere and bulk soil. Ecotoxicol. Environ. Saf. 2020, 196, 110490. [Google Scholar] [CrossRef]
- Zhang, J.; Kong, F.; Lu, S. Remediation Effect and Mechanism of Inorganic Passivators on Cadmium Contaminated Acidic Paddy Soil. Environ. Sci. 2022, 43, 4679–4686. [Google Scholar] [CrossRef]
- Zhang, S.; Quan, L.; Zhu, Y.; Yan, J.; He, X.; Zhang, J.; Xu, X.; Hu, Z.; Hu, F.; Chen, Y.; et al. Differential effects of three amendments on the immobilisation of cadmium and lead for Triticum aestivum grown on polluted soil. Environ. Sci. Pollut. Res. 2020, 27, 40434–40442. [Google Scholar] [CrossRef]
- Zhang, Q.; Zhang, L.; Liu, T.; Liu, B.; Huang, D.; Zhu, Q.; Xu, C. The influence of liming on cadmium accumulation in rice grains via iron-reducing bacteria. Sci. Total Environ. 2018, 645, 109–118. [Google Scholar] [CrossRef]
- Zhang, Z.; Ji, X.; Xie, Y.; Guan, D.; Peng, H.; Zhu, J.; Tian, F. Effects of quicklime application at different rice growing stage on the cadmium contents in rice grain. J. Agro-Environ. Sci. 2016, 35, 1867–1872. [Google Scholar]
- Zhao, Y.; Zhang, C.; Wang, C.; Huang, Y.; Liu, Z. Increasing phosphate inhibits cadmium uptake in plants and promotes synthesis of amino acids in grains of rice. Environ. Pollut. 2020, 257, 113496. [Google Scholar] [CrossRef]
- Zhou, L.; Xiao, F.; Xiao, H.; Zhang, Y.; Ao, H. Effects of Lime on Cadmium Accumulation of Double-Season Rice in Paddy Fields with Different Cadmium Pollution Degrees. Sci. Agric. Sin. 2021, 54, 780–791. [Google Scholar] [CrossRef]
- Zhu, Q.; Huang, D.; Zhu, G.; Ge, T.; Liu, G.; Zhu, H.; Liu, S.; Zhang, X. Sepiolite is recommended for the remediation of Cd-contaminated paddy soil. Acta Agric. Scand. Sect. B Soil Plant Sci. 2008, 60, 110–116. [Google Scholar] [CrossRef]






| Reference | Publications Reviewed | Lime-Based Materials Specificity | Calcium-Related Indicators | Plant Cadmium Distribution | Cadmium Speciation Analysis |
|---|---|---|---|---|---|
| Kong et al. [16] | 39 studies (rice only) | Calcium carbonate, calcium hydroxide, calcium oxide (mixed analysis) | Not included | Grain cadmium only | Not included |
| Liao et al. [21] | 35 studies (rice only) | Lime-based materials (undifferentiated) | Not included | Grain cadmium and yield | Not included |
| He et al. [17] | 30 studies | Carbon carbonate, calcium carbonate, calcium hydroxide, calcium oxide (grouped) | Not included | Shoot and grain cadmium | Not included |
| This study | 55 studies (rice focus) | Carbon carbonate, calcium hydroxide, carbon oxide (separate analysis) | Soil exchangeable calcium ions, grain calcium | Root, shoot, grain, husk cadmium | CdF1–F4 fractions |
Disclaimer/Publisher’s Note: The statements, opinions and data contained in all publications are solely those of the individual author(s) and contributor(s) and not of MDPI and/or the editor(s). MDPI and/or the editor(s) disclaim responsibility for any injury to people or property resulting from any ideas, methods, instructions or products referred to in the content. |
© 2026 by the authors. Licensee MDPI, Basel, Switzerland. This article is an open access article distributed under the terms and conditions of the Creative Commons Attribution (CC BY) license.
Share and Cite
Qin, J.; Sun, K.; Sun, Y.; He, S.; Zhao, Y.; Qi, J.; Lan, Y.; Wei, B.; Wang, Z. Mechanistic Pathways Controlling Cadmium Bioavailability and Ecotoxicity in Agricultural Systems: A Global Meta-Analysis of Lime Amendment Strategies. Biology 2026, 15, 207. https://doi.org/10.3390/biology15030207
Qin J, Sun K, Sun Y, He S, Zhao Y, Qi J, Lan Y, Wei B, Wang Z. Mechanistic Pathways Controlling Cadmium Bioavailability and Ecotoxicity in Agricultural Systems: A Global Meta-Analysis of Lime Amendment Strategies. Biology. 2026; 15(3):207. https://doi.org/10.3390/biology15030207
Chicago/Turabian StyleQin, Jianxun, Keke Sun, Yongfeng Sun, Shunting He, Yanwen Zhao, Junyuan Qi, Yimin Lan, Beilei Wei, and Ziting Wang. 2026. "Mechanistic Pathways Controlling Cadmium Bioavailability and Ecotoxicity in Agricultural Systems: A Global Meta-Analysis of Lime Amendment Strategies" Biology 15, no. 3: 207. https://doi.org/10.3390/biology15030207
APA StyleQin, J., Sun, K., Sun, Y., He, S., Zhao, Y., Qi, J., Lan, Y., Wei, B., & Wang, Z. (2026). Mechanistic Pathways Controlling Cadmium Bioavailability and Ecotoxicity in Agricultural Systems: A Global Meta-Analysis of Lime Amendment Strategies. Biology, 15(3), 207. https://doi.org/10.3390/biology15030207

