Identification and Stability Assessment of Reference Genes in Helicoverpa armigera Under Plant Secondary Substance and Insecticide Stresses
Simple Summary
Abstract
1. Introduction
2. Materials and Methods
2.1. Insect Rearing
2.2. Insect Treatments
2.3. RNA Extraction and cDNA Synthesis
2.4. Candidate Reference Genes Selection and Primer Design
2.5. Real-Time Quantitative PCR Assay
2.6. Stability Analysis of Reference Genes
2.7. Validation of Reference Genes
3. Results
3.1. Amplification Specificity and Efficiency of Candidate Reference Genes
3.2. Expression Level Analysis of Candidate Reference Genes
3.3. Stability of Candidate Reference Genes Under Biotic Conditions
3.3.1. Developmental Stages
3.3.2. Larval Tissues
3.3.3. Adult Sexes
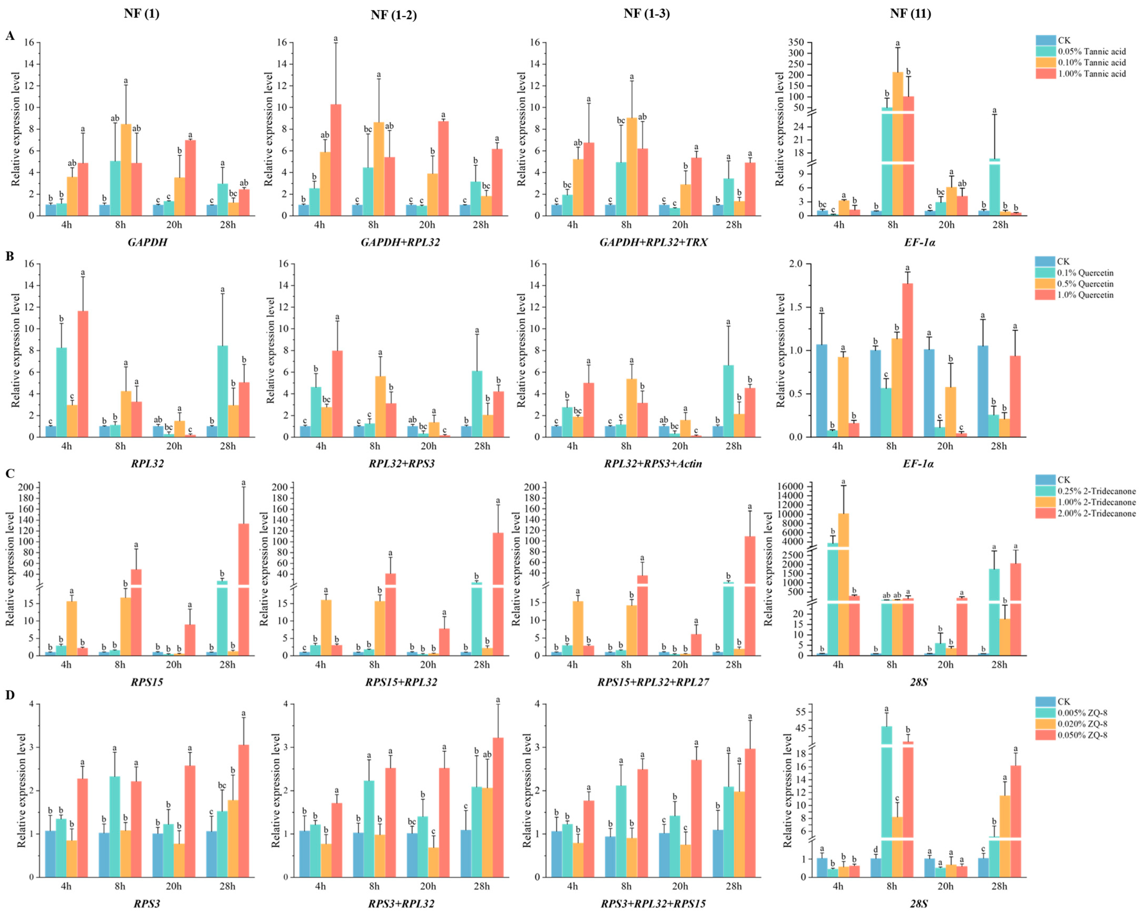
3.4. Stability of Candidate Reference Genes Under Plant Secondary Substance Treatment
3.4.1. Tannic Acid
3.4.2. Quercetin
3.4.3. 2-Tridecanone
3.4.4. ZQ-8
3.5. Stability of Candidate Reference Genes Under Insecticide Treatment
3.5.1. Chlorantraniliprole
3.5.2. Indoxacarb
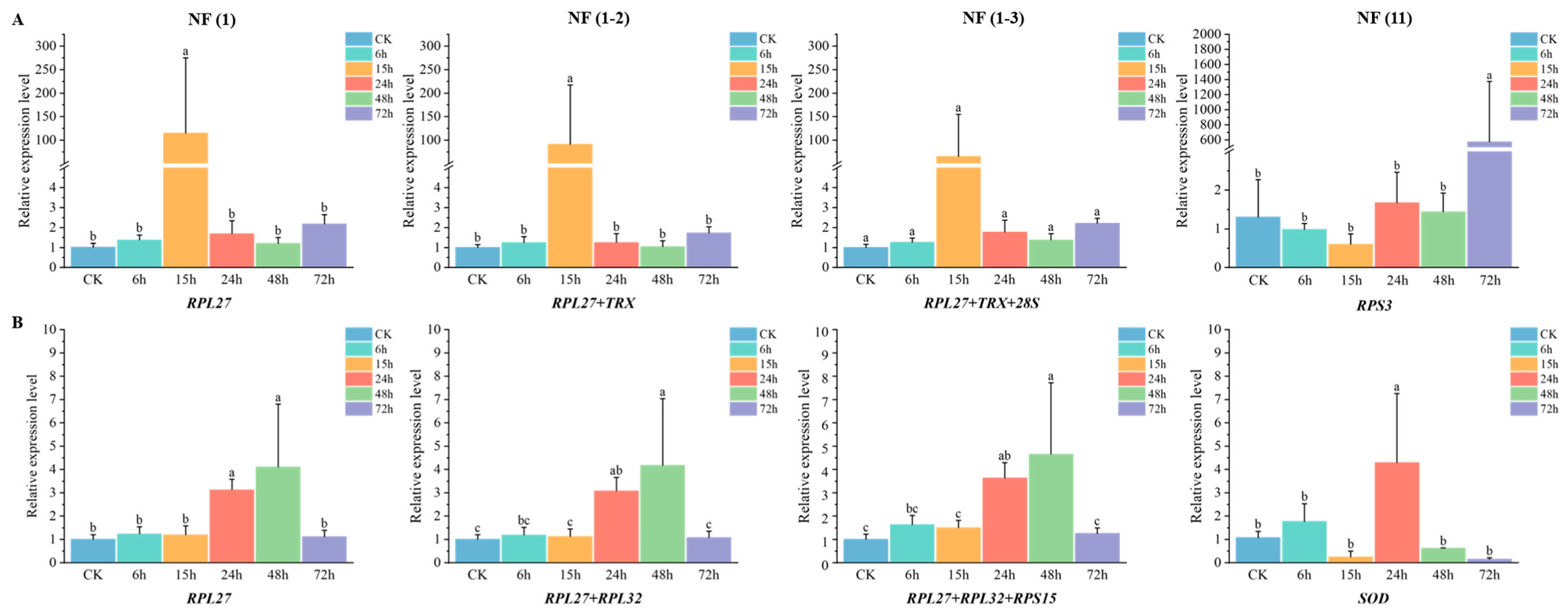
3.6. Combination of the Best Number of Reference Genes
3.7. Validation of Reference Gene Selection
3.8. Expression Profile of GADD45 Under Abiotic Conditions
4. Discussion
5. Conclusions
Supplementary Materials
Author Contributions
Funding
Institutional Review Board Statement
Informed Consent Statement
Data Availability Statement
Conflicts of Interest
Abbreviations
| qPCR | Real-time quantitative polymerase chain reaction |
| LC30 | Lethal Concentration for 30% of the individuals |
| DMSO | Dimethyl sulfoxide |
| Ct | Cycle threshold |
| R2 | Correlation coefficients |
| E | Efficiencies |
| Tubulin | Beta-tubulin 1 chain |
| GAPDH | Glyceraldehyde-3-phosphate dehydrogenase |
| 28S | 28S ribosomal RNA |
| RPL32 | Ribosomal protein L gene 32 |
| RPL27 | Ribosomal protein L gene 27 |
| RPS15 | Ribosomal protein S gene 15 |
| RPS3 | Ribosomal protein S gene 3 |
| SOD | Cu/Zn superoxide dismutase |
| TRX | Thioredoxin |
| EF1-α | Elongation factor 1 alpha |
| GADD45 | Growth arrest and DNA-damage-inducible gene 45 |
References
- Nonis, A.; De Nardi, B.; Nonis, A. Choosing between RT-qPCR and RNA-seq: A back-of-the-envelope estimate towards the definition of the break-even-point. Anal. Bioanal. Chem. 2014, 406, 3533–3536. [Google Scholar] [CrossRef]
- Bustin, S.A.; Beaulieu, J.F.; Huggett, J.; Jaggi, R.; Kibenge, F.S.B.; Olsvik, P.A.; Penning, L.C.; Toegel, S. MIQE précis: Practical implementation of minimum standard guidelines for fluorescence-based quantitative real-time PCR experiments. BMC Mol. Biol. 2010, 11, 74. [Google Scholar] [CrossRef] [PubMed]
- Praité, A.; Lambert, J.M.; Delpy, L.; Al Hayek, S. Guidelines for RNA analysis by reverse transcription quantitative polymerase chain reaction. Methods Mol. Biol. 2025, 2962, 3–13. [Google Scholar] [PubMed]
- Bustin, S.A.; Ruijter, J.M.; van den Hoff, M.J.B.; Kubista, M.; Pfaffl, M.W.; Shipley, G.L.; Tran, N.; Rödiger, S.; Untergasser, A.; Mueller, R.; et al. MIQE 2.0: Revision of the minimum information for publication of quantitative real-time PCR experiments guidelines. Clini. Chem. 2025, 71, 634–651. [Google Scholar] [CrossRef]
- Li, R.M.; Xie, W.; Wang, S.L.; Wu, Q.J.; Yang, N.; Yang, X.; Pan, H.P.; Zhou, X.M.; Bai, L.Y.; Xu, B.Y.; et al. Reference gene selection for qRT-PCR analysis in the sweetpotato whitefly, Bemisia tabaci (Hemiptera: Aleyrodidae). PLoS ONE 2013, 8, e53006. [Google Scholar] [CrossRef]
- Jeon, J.H.; Moon, K.H.; Kim, Y.H.; Kim, Y.H. Reference gene selection for qRT-PCR analysis of season- and tissue-specific gene expression profiles in the honey bee Apis mellifera. Sci. Rep. 2020, 10, 13935. [Google Scholar] [CrossRef] [PubMed]
- Zhou, T.; Feng, H.H.; Zhang, J.; Tang, Y.L.; Dong, X.L.; Kang, K. Selection of Sclerodermus pupariae reference genes for quantitative real-time PCR. Insects 2025, 16, 268. [Google Scholar] [CrossRef]
- Zhang, H.Z.; Bleiker, K.P.; Keeling, C.I.; Liu, Y.Z.; Wei, H.L.; Zhang, B.; Han, C.K.; Erbilgin, N. Reference genes selection for qRT-PCR analysis in Dendroctonus rufipennis. Gene 2025, 972, 149830. [Google Scholar] [CrossRef]
- Shakeel, M.; Rodriguez, A.; Tahir, U.B.; Jin, F.L. Gene expression studies of reference genes for quantitative real-time PCR: An overview in insects. Biotechnol. Lett. 2018, 40, 227–236. [Google Scholar] [CrossRef]
- Lü, J.; Yang, C.X.; Zhang, Y.J.; Pan, H.P. Selection of reference genes for the normalization of RT-qPCR data in gene expression studies in insects: A systematic review. Front. Physiol. 2018, 9, 1560. [Google Scholar] [CrossRef]
- Cunningham, J.P.; Zalucki, M.P. Understanding heliothine (Lepidoptera: Heliothinae) pests: What is a host plant? J. Econ. Entomol. 2014, 107, 881–896. [Google Scholar] [CrossRef]
- Wang, Z.G.; Jiang, S.S.; Mota-Sanchez, D.; Wang, W.; Li, X.R.; Gao, Y.L.; Lu, X.P.; Yang, X.Q. Cytochrome P450-mediated λ-cyhalothrinresistance in a field strain of Helicoverpa armigera from northeast China. J. Agric. Food Chem. 2019, 67, 3546–3553. [Google Scholar] [CrossRef] [PubMed]
- Wu, K.M.; Guo, Y.Y. The evolution of cotton pest management practices in China. Annu. Rev. Entomol. 2005, 50, 31–52. [Google Scholar] [CrossRef] [PubMed]
- Wu, C.F.; Ding, C.H.; Chen, S.; Wu, X.Y.; Zhang, L.Q.; Song, Y.Y.; Li, W.; Zeng, R.S. Exposure of Helicoverpa armigera larvae to plant volatile organic compounds induces cytochrome P450 monooxygenases and enhances larval tolerance to the insecticide methomyl. Insects 2021, 12, 238. [Google Scholar] [CrossRef]
- Lu, Y.H. Ever-evolving advances in the researches of cotton insect pest management in China. J. Plant Prot. 2021, 48, 937–939. (In Chinese) [Google Scholar]
- Huang, Y.; Wu, P.Z.; Zheng, J.Y.; Zhang, Y.; Qiu, L.H. Status of resistance to chemical insecticides in cotton bollworm Helicoverpa armigera and research progresses on the molecular mechanisms. J. Plant Prot. 2022, 49, 336–350. (In Chinese) [Google Scholar]
- Chandra, G.S.; Asokan, R.; Manamohan, M.; Krishna Kumar, N.K.; Sita, T. Evaluation of reference genes for quantitative real-time PCR normalization in cotton bollworm, Helicoverna armigera. Mol. Biol. 2014, 48, 927–938. [Google Scholar]
- Shakeel, M.; Zhu, X.; Kang, T.H.; Wan, H.; Li, J.H. Selection and evaluation of reference genes for quantitative gene expression studies in cotton bollworm, Helicoverpa armigera (Lepidoptera: Noctuidae). J. Asia-Pac. Entomol. 2015, 18, 123–130. [Google Scholar] [CrossRef]
- Zhang, S.D.; An, S.H.; Li, Z.; Wu, F.M.; Yang, Q.P.; Liu, Y.C.; Cao, J.J.; Zhang, H.J.; Zhang, Q.W.; Liu, X.X. Identification and validation of reference genes for normalization of gene expression analysis using qRT-PCR in Helicoverpa armigera (Lepidoptera: Noctuidae). Gene 2015, 555, 393–402. [Google Scholar] [CrossRef]
- Liang, G.M.; Tan, W.J.; Guo, Y.Y. Improvement of the artificial rearing technology of cotton bollworms. J. Plant Prot. 1999, 25, 15–17. (In Chinese) [Google Scholar]
- Zhou, Y.T.; Wang, C.J.; Xin, F.; Han, X.Q.; Zhang, J.; Sun, K. Synthesis, insecticidal, fungicidal activities and structure-activity relationships of Tschimganin analogs. Molecules 2018, 23, 1473. [Google Scholar] [CrossRef]
- Xing, L.S.; Yuan, C.F.; Wang, M.L.; Lin, Z.; Shen, B.C.; Hu, Z.H.; Zou, Z. Dynamics of the interaction between cotton bollworm Helicoverpa armigera and nucleopolyhedrovirus as revealed by integrated transcriptomic and proteomic analyses. Mol. Cell. Proteom. 2017, 16, 1009–1028. [Google Scholar] [CrossRef] [PubMed]
- Vandesompele, J.; De Preter, K.; Pattyn, F.; Poppe, B.; Van Roy, N.; De Paepe, A.; Speleman, F. Accurate normalization of real-time quantitative RT-PCR data by geometric averaging of multiple internal control genes. Genome Biol. 2002, 3, research0034. [Google Scholar] [CrossRef]
- Andersen, C.L.; Jensen, J.L.; Ørntoft, T.F. Normalization of real-time quantitative reverse transcription-PCR data: A model-based variance estimation approach to identify genes suited for normalization, applied to bladder and colon cancer data sets. Cancer Res. 2004, 64, 5245–5250. [Google Scholar] [CrossRef] [PubMed]
- Pfaffl, M.W.; Tichopad, A.; Prgomet, C.; Neuvians, T.P. Determination of stable housekeeping genes, differentially regulated target genes and sample integrity: BestKeeper-Excel-based tool using pair-wise correlations. Biotechnol. Lett. 2004, 26, 509–515. [Google Scholar] [CrossRef] [PubMed]
- Silver, N.; Best, S.; Jiang, J.; Thein, S.L. Selection of housekeeping genes for gene expression studies in human reticulocytes using real-time PCR. BMC Mol. Biol. 2006, 7, 33. [Google Scholar] [CrossRef]
- Xie, F.L.; Xiao, P.; Chen, D.L.; Xu, L.; Zhang, B.H. miRDeepFinder: A miRNA analysis tool for deep sequencing of plant small RNAs. Plant Mol. Biol. 2012, 80, 75–84. [Google Scholar] [CrossRef]
- Xie, F.L.; Wang, J.Y.; Zhang, B.H. RefFinder: A web-based tool for comprehensively analyzing and identifying reference genes. Funct. Integr. Genom. 2023, 23, 1–5. [Google Scholar] [CrossRef]
- Fu, W.; Xie, W.; Zhang, Z.; Wang, S.L.; Wu, Q.J.; Liu, Y.; Zhou, X.M.; Zhou, X.G.; Zhang, Y.J. Exploring valid reference genes for quantitative real-time PCR analysis in Plutella xylostella (Lepidoptera: Plutellidae). Int. J. Biol. Sci. 2013, 9, 792–802. [Google Scholar] [CrossRef]
- Livak, K.J.; Schmittgen, T.D. Analysis of relative gene expression data using realtime quantitative PCR and the 2−△△CT method. Methods 2001, 25, 402–408. [Google Scholar] [CrossRef]
- Teng, X.L.; Zhang, Z.; He, G.L.; Yang, L.W.; Li, F. Validation of reference genes for quantitative expression analysis by real-time RT-PCR in four Lepidopteran insects. J. Insect. Sci. 2012, 12, 60. [Google Scholar] [CrossRef]
- Yang, Y.H.; Li, Z.; Cao, J.J.; Li, Y.R.; Li, H.; Yang, Q.P.; Zhang, Q.W.; Liu, X.X. Identification and evaluation of suitable reference genes for normalization of MicroRNA expression in Helicoverpa armigera (lepidoptera: Noctuidae) using quantitative real-time PCR. J. Insect. Sci. 2017, 17, 33. [Google Scholar] [CrossRef]
- Tang, F.; Tu, H.Z.; Shang, Q.L.; Gao, X.W.; Liang, P. Molecular cloning and characterization of five glutathione S-transferase genes and promoters from Micromelalopha troglodyta (Graeser) (Lepidoptera: Notodontidae) and their response to tannic acid stress. Insects 2020, 11, 339. [Google Scholar] [CrossRef]
- Gao, X.W.; Dong, X.L.; Zhao, Y.; Zhen, B.Z. Induction of carboxylesterase, glutathione S-transferase and acetylcholinesterase by quercetin in Helicoverpa armigera. Chin. J. Pest. Sci. 1999, 1, 56–60. (In Chinese) [Google Scholar]
- Antonious, G.F. Production and quantification of methyl ketones in wild tomato accessions. J. Environ. Sci. Health Part B 2001, 36, 835–848. [Google Scholar] [CrossRef] [PubMed]
- Zhang, L.; Lu, Y.; Xiang, M.; Shang, Q.L.; Gao, X.W. The retardant effect of 2-Tridecanone, mediated by Cytochrome P450, on the development of cotton bollworm, Helicoverpa armigera. BMC Genom. 2016, 17, 954. [Google Scholar] [CrossRef] [PubMed]
- Ma, K.S.; Tang, Q.L.; Liang, P.Z.; Xia, J.; Zhang, B.Z.; Gao, X.W. Toxicity and sublethal effects of two plant allelochemicals on the demographical traits of cotton aphid, Aphis gossypii Glover (Hemiptera: Aphididae). PLoS ONE 2019, 14, e0221646. [Google Scholar] [CrossRef]
- Riddick, E.W. Potential of quercetin to reduce herbivory without disrupting natural enemies and pollinators. Agriculture 2021, 11, 476. [Google Scholar] [CrossRef]
- Yang, L.; Chen, M.H.; Han, X.Q.; Liu, C.Y.; Wang, C.J.; Zhang, G.Q.; Yang, D.S.; Zhao, S.F. Discovery of ZQ-8, a novel starting point to develop inhibitors against the potent molecular target Chitinase. J. Agric. Food Chem. 2022, 70, 11314–11323. [Google Scholar] [CrossRef]
- Choudhury, A.; Verma, S.; Muthamilarasan, M.; Rajam, M.V. Identification of suitable reference genes for expression profiling studies using qRT-PCR in an important insect pest, Maruca vitrata. Mol. Biol. Rep. 2021, 48, 7477–7485. [Google Scholar] [CrossRef] [PubMed]
- Han, S.P.; Qin, Q.J.; Wang, D.; Zhou, Y.Y.; He, Y.Z. Selection and evaluation of reference genes for qRT-PCR in Spodoptera frugiperda (Lepidoptera: Noctuidae). Insects 2021, 12, 902. [Google Scholar] [CrossRef]
- Zhao, X.D.; Geng, Y.S.; Hu, T.Y.; Zhao, Y.G.; Yang, S.L.; Hao, D.J. Evaluation of optimal reference genes for qRT-PCR analysis in Hyphantria cunea (Drury). Insects 2022, 13, 97. [Google Scholar] [CrossRef] [PubMed]
- Zhou, X.; Liao, W.J.; Liao, J.M.; Liao, P.; Hua, L. Ribosomal proteins: Functions beyond the ribosome. J. Mol. Cell Biol. 2015, 7, 92–104. [Google Scholar] [CrossRef] [PubMed]
- Rambaldelli, G.; Bacci, L.; Pollutri, D.; Filipek, K.; Penzo, M. Master of disguise: Ribosomal protein L5 beyond translation. Biochimie 2025, 238, 65–72. [Google Scholar] [CrossRef] [PubMed]
- Zhao, Z.Q.; Zheng, K.Y.; Ou, Q.; Xu, P.Z.; Qin, S.; Sun, X.; Li, M.W.; Wu, Y.C.; Wang, X.Y. Identification of optimal reference genes in Bombyx mori (Lepidoptera) for normalization of stress-responsive genes after challenge with pesticides. Arch. Insect Biochem. Physiol. 2022, 110, e21896. [Google Scholar] [CrossRef]
- Tran, H.; Brunet, A.; Grenier, J.M.; Datta, S.R.; Fornace, A.J., Jr.; DiStefano, P.S.; Chiang, L.W.; Greenberg, M.E. DNA repair pathway stimulated by the forkhead transcription factor FOXO3a through the Gadd45 protein. Science 2002, 296, 530–534. [Google Scholar] [CrossRef]
- Barreto, G.; Schäfer, A.; Marhold, J.; Stach, D.; Swaminathan, S.K.; Handa, V.; Döderlein, G.; Maltry, N.; Wu, W.; Lyko, F.; et al. Gadd45α promotes epigenetic gene activation by repair-mediated DNA demethylation. Nature 2007, 445, 671–675. [Google Scholar] [CrossRef]
- Schäfer, A. Gadd45 proteins: Key players of repair-mediated DNA demethylation. Adv. Exp. Med. Biol. 2013, 793, 35–50. [Google Scholar]





| Gene Symbol | Gene ID | Primer Sequence (5′–3′) | Size (bp) | PCR Efficiency (%) | Regression Coefficient (R2) |
|---|---|---|---|---|---|
| Actin | 110378032 | F: GACGGTCAGGTCATCACCATC | 151 | 97.09 | 0.9951 |
| R: ACAGGTCCTTACGGATGTCA | |||||
| Tubulin | 110379521 | F: ATCAGAGAGGAATATCCC | 151 | 99.96 | 0.9985 |
| R: CATTGTCGATACAGTAGG | |||||
| EF-1α | 110372934 | F: GACAAACGTACCATCGAGAAG | 279 | 91.99 | 0.9972 |
| R: GATACCAGCCTCGAACTCAC | |||||
| RPS3 | 110373935 | F: ACGGAGTTTTCAAGGCGGAA | 208 | 93.52 | 0.9993 |
| R: GACTGCTCCGGGATGTTGAA | |||||
| RPS15 | 124636953 | F: CCGAGATTGTTAAGACAC | 152 | 90.48 | 0.9989 |
| R: GTATGTGACTGAGAACTC | |||||
| RPL27 | 110383711 | F: ACAGGTATCCCCGCAAAGTGC | 155 | 95.26 | 0.9988 |
| R: GTCCTTGGCGCTGAACTTCTC | |||||
| RPL32 | 126056134 | F: CATCAATCGGATCGCTATG | 152 | 92.86 | 0.9988 |
| R: CCATTGGGTAGCATGTGAC | |||||
| 28S | 135119273 | F: CGATAGCGAACAAGTACCGT | 100 | 89.28 | 0.9984 |
| R: TTCGAGTTTCGCAGGTTTAC | |||||
| GAPDH | 110377691 | F: CCAGAAGACAGTGGATGGAC | 140 | 90.40 | 0.9997 |
| R: TACCAGTCAGCTTTCCGTTC | |||||
| SOD | 110377870 | F: CATGGATTCCATGTTCACGAG | 132 | 93.70 | 0.9975 |
| R: GTTGCCGAGGTCTCCAACATG | |||||
| TRX | 110382630 | F: GTCGATCCACATCAAGGAC | 140 | 96.61 | 0.9993 |
| R: CATTGGCCATCTCATCTAG | |||||
| GADD45 | 110381518 | F: TCCAAGAACAGCAACCGA | 167 | 89.46 | 0.9961 |
| R: CAGCAGCCGAGAAGTTTG |
| Treatments | Rank | Delta CT | BestKeeper | GeNorm | Normfinder | RefFinder | ||||||
|---|---|---|---|---|---|---|---|---|---|---|---|---|
| Gene | Average of SD | Gene | SD [±Ct] | CV [%Ct] | Gene | Stability (M) | Gene | Stability | Gene | Stability | ||
| Development Stage | 1 | RPS3 | 0.82 | RPL27 | 0.34 | 1.75 | RPS15 | 0.155 | RPS3 | 0.183 | RPS3 | 2 |
| 2 | RPL32 | 0.86 | RPL32 | 0.37 | 1.86 | RPL27 | 0.155 | TRX | 0.186 | RPL27 | 2.34 | |
| 3 | TRX | 0.86 | RPS15 | 0.4 | 2.02 | RPL32 | 0.184 | GAPDH | 0.338 | RPL32 | 2.91 | |
| 4 | GAPDH | 0.91 | RPS3 | 0.6 | 3.03 | RPS3 | 0.319 | RPL32 | 0.455 | RPS15 | 3.08 | |
| 5 | RPS15 | 0.92 | GAPDH | 0.69 | 3.06 | TRX | 0.434 | RPS15 | 0.553 | TRX | 3.16 | |
| 6 | RPL27 | 0.92 | TRX | 0.69 | 3.14 | GAPDH | 0.484 | RPL27 | 0.568 | GAPDH | 4.56 | |
| 7 | Actin | 1.24 | SOD | 0.86 | 3.37 | Actin | 0.596 | Actin | 1.011 | Actin | 7.45 | |
| 8 | SOD | 1.28 | 28S | 1 | 4.8 | SOD | 0.706 | SOD | 1.014 | SOD | 7.74 | |
| 9 | 28S | 1.42 | Actin | 1.04 | 5.77 | 28S | 0.842 | 28S | 1.164 | 28S | 8.74 | |
| 10 | EF-1α | 1.58 | EF-1α | 1.31 | 6.84 | EF-1α | 1.01 | EF-1α | 1.4 | EF-1α | 10 | |
| 11 | Tubulin | 1.73 | Tubulin | 1.37 | 5.46 | Tubulin | 1.14 | Tubulin | 1.591 | Tubulin | 11 | |
| Larval Tissue | 1 | RPL32 | 1.05 | RPL27 | 0.98 | 4.57 | RPS15 | 0.479 | RPL32 | 0.228 | RPL32 | 1.86 |
| 2 | TRX | 1.09 | RPS15 | 1.31 | 6.04 | RPL27 | 0.479 | TRX | 0.252 | RPL27 | 2.83 | |
| 3 | GAPDH | 1.13 | 28S | 1.44 | 6.89 | RPL32 | 0.643 | GAPDH | 0.446 | RPS15 | 3.03 | |
| 4 | Tubulin | 1.18 | RPL32 | 1.56 | 6.96 | TRX | 0.732 | Tubulin | 0.561 | TRX | 3.13 | |
| 5 | SOD | 1.22 | SOD | 1.63 | 5.76 | SOD | 0.798 | SOD | 0.693 | GAPDH | 4.74 | |
| 6 | RPS15 | 1.32 | TRX | 1.65 | 6.84 | Tubulin | 0.859 | RPS3 | 0.939 | SOD | 5 | |
| 7 | RPS3 | 1.34 | Tubulin | 1.86 | 6.32 | GAPDH | 0.916 | RPS15 | 0.945 | Tubulin | 5.09 | |
| 8 | RPL27 | 1.4 | GAPDH | 2.13 | 8.33 | RPS3 | 1.002 | RPL27 | 1.106 | 28S | 7.4 | |
| 9 | EF-1α | 1.56 | RPS3 | 2.37 | 9.86 | EF-1α | 1.09 | EF-1α | 1.291 | RPS3 | 7.42 | |
| 10 | 28S | 1.79 | EF-1α | 2.75 | 11.59 | 28S | 1.199 | 28S | 1.589 | EF-1α | 9.24 | |
| 11 | Actin | 2.28 | Actin | 2.83 | 13.25 | Actin | 1.396 | Actin | 2.133 | Actin | 11 | |
| Adult Sex | 1 | RPS3 | 0.74 | EF-1α | 0.45 | 2.22 | RPS3 | 0.045 | EF-1α | 0.121 | RPS3 | 1.86 |
| 2 | RPL27 | 0.74 | 28S | 0.45 | 2.18 | RPL27 | 0.045 | Actin | 0.263 | RPL27 | 2.51 | |
| 3 | RPS15 | 0.76 | Actin | 0.54 | 2.62 | RPS15 | 0.078 | RPS3 | 0.439 | EF-1α | 2.78 | |
| 4 | EF-1α | 0.79 | RPS3 | 0.68 | 3.25 | RPL32 | 0.107 | RPL27 | 0.459 | Actin | 3.66 | |
| 5 | RPL32 | 0.79 | RPL27 | 0.7 | 3.32 | Actin | 0.256 | RPS15 | 0.496 | RPS15 | 4.05 | |
| 6 | Actin | 0.8 | RPS15 | 0.73 | 3.43 | EF-1α | 0.336 | RPL32 | 0.55 | 28S | 4.76 | |
| 7 | SOD | 1.01 | RPL32 | 0.78 | 3.64 | SOD | 0.402 | SOD | 0.83 | RPL32 | 5.09 | |
| 8 | 28S | 1.2 | Tubulin | 0.79 | 3.05 | 28S | 0.605 | 28S | 0.912 | SOD | 7.84 | |
| 9 | GAPDH | 1.37 | GAPDH | 0.83 | 3.8 | TRX | 0.792 | TRX | 1.209 | TRX | 9.24 | |
| 10 | TRX | 1.37 | TRX | 0.91 | 4.01 | GAPDH | 0.902 | GAPDH | 1.211 | GAPDH | 9.74 | |
| 11 | Tubulin | 1.47 | SOD | 1.07 | 4.09 | Tubulin | 1.006 | Tubulin | 1.297 | Tubulin | 10.16 | |
| Tannic Acid | 1 | GAPDH | 1.11 | 28S | 0.68 | 3.03 | RPS15 | 0.336 | GAPDH | 0.38 | GAPDH | 2.11 |
| 2 | RPL32 | 1.14 | TRX | 1.16 | 5.02 | RPL27 | 0.336 | RPS3 | 0.491 | RPL32 | 2.91 | |
| 3 | RPS3 | 1.15 | RPL32 | 1.17 | 5.6 | RPL32 | 0.504 | TRX | 0.572 | TRX | 3.46 | |
| 4 | TRX | 1.19 | GAPDH | 1.22 | 5.16 | SOD | 0.642 | RPL32 | 0.595 | RPS15 | 3.5 | |
| 5 | RPS15 | 1.24 | RPS15 | 1.27 | 6.19 | GAPDH | 0.777 | Actin | 0.838 | RPL27 | 3.98 | |
| 6 | RPL27 | 1.29 | RPL27 | 1.33 | 6.59 | TRX | 0.864 | RPS15 | 0.873 | RPS3 | 4.14 | |
| 7 | Actin | 1.32 | RPS3 | 1.36 | 6.21 | RPS3 | 0.923 | RPL27 | 0.972 | 28S | 5.62 | |
| 8 | SOD | 1.42 | SOD | 1.43 | 5.58 | Actin | 0.991 | SOD | 1.121 | SOD | 6.73 | |
| 9 | Tubulin | 1.68 | Actin | 1.55 | 7.47 | Tubulin | 1.147 | Tubulin | 1.375 | Actin | 7.09 | |
| 10 | 28S | 1.86 | Tubulin | 1.55 | 5.14 | 28S | 1.274 | 28S | 1.6 | Tubulin | 9.24 | |
| 11 | EF-1α | 1.94 | EF-1α | 1.98 | 8.44 | EF-1α | 1.395 | EF-1α | 1.747 | EF-1α | 11 | |
| Quercetin | 1 | RPS3 | 1.07 | RPL32 | 0.83 | 3.99 | RPL27 | 0.505 | RPS3 | 0.186 | RPL32 | 2.06 |
| 2 | Actin | 1.16 | 28S | 0.83 | 3.72 | RPL32 | 0.505 | Actin | 0.477 | RPS3 | 2.11 | |
| 3 | RPL32 | 1.18 | RPS15 | 0.86 | 4.16 | RPS15 | 0.571 | RPL32 | 0.615 | Actin | 3.31 | |
| 4 | RPS15 | 1.21 | RPL27 | 1 | 4.84 | RPS3 | 0.633 | TRX | 0.624 | RPS15 | 3.66 | |
| 5 | TRX | 1.25 | RPS3 | 1.02 | 4.75 | Actin | 0.689 | RPS15 | 0.635 | RPL27 | 3.74 | |
| 6 | GAPDH | 1.28 | Actin | 1.03 | 5.3 | GAPDH | 0.809 | GAPDH | 0.699 | TRX | 5.79 | |
| 7 | RPL27 | 1.29 | GAPDH | 1.22 | 5.18 | TRX | 0.871 | RPL27 | 0.854 | 28S | 6.04 | |
| 8 | SOD | 1.51 | TRX | 1.36 | 6 | SOD | 0.949 | SOD | 1.151 | GAPDH | 6.24 | |
| 9 | Tubulin | 1.82 | SOD | 1.39 | 5.35 | Tubulin | 1.139 | Tubulin | 1.544 | SOD | 8.24 | |
| 10 | EF-1α | 1.98 | Tubulin | 1.69 | 6.03 | EF-1α | 1.282 | EF-1α | 1.788 | Tubulin | 9.24 | |
| 11 | 28S | 2.19 | EF-1α | 1.89 | 8.88 | 28S | 1.448 | 28S | 2.004 | EF-1α | 10.24 | |
| 2-Tridecanone | 1 | RPS15 | 1.57 | Actin | 0.96 | 4.94 | RPS15 | 0.317 | RPS15 | 0.396 | RPS15 | 1.5 |
| 2 | RPL32 | 1.59 | RPL32 | 1.25 | 5.97 | RPL27 | 0.317 | RPL32 | 0.527 | RPL32 | 2.21 | |
| 3 | RPL27 | 1.6 | RPL27 | 1.38 | 6.78 | RPL32 | 0.418 | RPL27 | 0.598 | RPL27 | 2.28 | |
| 4 | GAPDH | 1.87 | Tubulin | 1.39 | 4.94 | SOD | 0.982 | GAPDH | 1.112 | Actin | 4.12 | |
| 5 | SOD | 1.91 | EF-1α | 1.56 | 6.57 | GAPDH | 1.174 | SOD | 1.284 | GAPDH | 5.03 | |
| 6 | Actin | 2.03 | RPS15 | 1.56 | 7.34 | TRX | 1.306 | Actin | 1.474 | SOD | 5.48 | |
| 7 | TRX | 2.12 | 28S | 2.32 | 9.16 | RPS3 | 1.439 | TRX | 1.653 | TRX | 7.36 | |
| 8 | EF-1α | 2.24 | GAPDH | 2.33 | 9.23 | Actin | 1.581 | EF-1α | 1.684 | EF-1α | 7.67 | |
| 9 | RPS3 | 2.34 | SOD | 2.47 | 9.17 | EF-1α | 1.719 | RPS3 | 1.941 | Tubulin | 7.95 | |
| 10 | Tubulin | 2.59 | TRX | 2.7 | 10.96 | Tubulin | 1.864 | Tubulin | 2.265 | RPS3 | 8.89 | |
| 11 | 28S | 3.08 | RPS3 | 2.75 | 11.5 | 28S | 2.086 | 28S | 2.757 | 28S | 9.82 | |
| ZQ-8 | 1 | RPS3 | 0.61 | RPS15 | 0.36 | 1.74 | RPL27 | 0.239 | RPS3 | 0.192 | RPS3 | 2 |
| 2 | RPL32 | 0.62 | RPL27 | 0.36 | 1.77 | RPL32 | 0.239 | GAPDH | 0.243 | RPL32 | 2.21 | |
| 3 | RPS15 | 0.63 | RPS3 | 0.38 | 1.82 | RPS15 | 0.287 | RPS15 | 0.256 | RPS15 | 2.28 | |
| 4 | GAPDH | 0.64 | RPL32 | 0.38 | 1.82 | RPS3 | 0.333 | RPL32 | 0.265 | RPL27 | 2.66 | |
| 5 | RPL27 | 0.65 | GAPDH | 0.46 | 1.96 | GAPDH | 0.386 | RPL27 | 0.357 | GAPDH | 3.76 | |
| 6 | Actin | 0.77 | TRX | 0.55 | 2.44 | TRX | 0.458 | Actin | 0.493 | TRX | 6.48 | |
| 7 | TRX | 0.83 | Actin | 0.57 | 2.84 | SOD | 0.509 | TRX | 0.675 | Actin | 6.7 | |
| 8 | SOD | 0.88 | SOD | 0.62 | 2.42 | Actin | 0.57 | Tubulin | 0.726 | SOD | 7.97 | |
| 9 | EF-1α | 0.91 | Tubulin | 0.71 | 2.39 | Tubulin | 0.641 | SOD | 0.728 | Tubulin | 8.97 | |
| 10 | Tubulin | 0.92 | EF-1α | 0.73 | 3.25 | EF-1α | 0.687 | EF-1α | 0.73 | EF-1α | 9.74 | |
| 11 | 28S | 1.28 | 28S | 0.9 | 4.05 | 28S | 0.795 | 28S | 1.187 | 28S | 11 | |
| Chlorantraniliprole | 1 | TRX | 1.53 | 28S | 0.96 | 4.21 | RPL27 | 0.161 | Tubulin | 0.721 | RPL27 | 2.21 |
| 2 | RPL27 | 1.54 | GAPDH | 1.09 | 3.76 | RPL32 | 0.161 | 28S | 0.841 | TRX | 2.71 | |
| 3 | RPL32 | 1.6 | RPL27 | 1.19 | 5.81 | TRX | 0.302 | TRX | 0.841 | 28S | 3.03 | |
| 4 | Tubulin | 1.64 | RPS15 | 1.22 | 5.97 | EF-1α | 0.568 | RPL27 | 0.924 | RPL32 | 3.08 | |
| 5 | EF-1α | 1.64 | RPL32 | 1.25 | 5.97 | Tubulin | 0.737 | EF-1α | 0.961 | Tubulin | 3.56 | |
| 6 | 28S | 1.69 | TRX | 1.29 | 5.51 | Actin | 0.842 | RPL32 | 1.051 | EF-1α | 5.48 | |
| 7 | Actin | 1.75 | RPS3 | 1.32 | 6.29 | 28S | 0.916 | Actin | 1.073 | GAPDH | 5.66 | |
| 8 | GAPDH | 2.09 | Tubulin | 1.39 | 4.7 | GAPDH | 1.14 | GAPDH | 1.36 | Actin | 7.36 | |
| 9 | SOD | 2.51 | EF-1α | 1.41 | 6.29 | SOD | 1.369 | SOD | 2.08 | RPS15 | 7.95 | |
| 10 | RPS3 | 3.12 | Actin | 1.46 | 7.64 | RPS15 | 1.777 | RPS15 | 2.912 | SOD | 9.46 | |
| 11 | RPS15 | 3.12 | SOD | 2.57 | 8.76 | RPS3 | 2.021 | RPS3 | 2.915 | RPS3 | 9.82 | |
| Indoxacarb | 1 | RPL27 | 0.88 | 28S | 0.73 | 3.23 | RPL27 | 0.13 | RPL27 | 0.065 | RPL27 | 1.32 |
| 2 | RPL32 | 0.9 | RPS15 | 0.74 | 3.72 | RPL32 | 0.13 | RPL32 | 0.138 | RPL32 | 2 | |
| 3 | TRX | 0.95 | RPL27 | 0.74 | 3.76 | TRX | 0.276 | TRX | 0.252 | RPS15 | 3.36 | |
| 4 | RPS15 | 1.05 | RPL32 | 0.81 | 4.02 | RPS15 | 0.469 | RPS15 | 0.569 | TRX | 3.57 | |
| 5 | RPS3 | 1.08 | RPS3 | 0.87 | 4.28 | RPS3 | 0.538 | RPS3 | 0.606 | 28S | 3.83 | |
| 6 | 28S | 1.2 | TRX | 0.92 | 4.05 | 28S | 0.637 | 28S | 0.839 | RPS3 | 5 | |
| 7 | Actin | 1.29 | Actin | 1.06 | 5.63 | Actin | 0.744 | Actin | 0.943 | Actin | 7 | |
| 8 | EF-1α | 1.31 | Tubulin | 1.12 | 3.87 | EF-1α | 0.843 | EF-1α | 0.961 | EF-1α | 8.24 | |
| 9 | Tubulin | 1.41 | EF-1α | 1.2 | 5.55 | Tubulin | 0.938 | Tubulin | 1.078 | Tubulin | 8.74 | |
| 10 | GAPDH | 1.6 | GAPDH | 1.38 | 4.76 | GAPDH | 1.051 | GAPDH | 1.343 | GAPDH | 10 | |
| 11 | SOD | 2.21 | SOD | 1.79 | 6.16 | SOD | 1.262 | SOD | 2.076 | SOD | 11 | |
Disclaimer/Publisher’s Note: The statements, opinions and data contained in all publications are solely those of the individual author(s) and contributor(s) and not of MDPI and/or the editor(s). MDPI and/or the editor(s) disclaim responsibility for any injury to people or property resulting from any ideas, methods, instructions or products referred to in the content. |
© 2026 by the authors. Licensee MDPI, Basel, Switzerland. This article is an open access article distributed under the terms and conditions of the Creative Commons Attribution (CC BY) license.
Share and Cite
Zhao, J.; Kan, H.-R.; Jin, X.-X.; Zhang, J.-Y.; Zhou, H.-R.; Han, X.-Q.; Ye, J. Identification and Stability Assessment of Reference Genes in Helicoverpa armigera Under Plant Secondary Substance and Insecticide Stresses. Biology 2026, 15, 175. https://doi.org/10.3390/biology15020175
Zhao J, Kan H-R, Jin X-X, Zhang J-Y, Zhou H-R, Han X-Q, Ye J. Identification and Stability Assessment of Reference Genes in Helicoverpa armigera Under Plant Secondary Substance and Insecticide Stresses. Biology. 2026; 15(2):175. https://doi.org/10.3390/biology15020175
Chicago/Turabian StyleZhao, Jie, Hao-Ran Kan, Xin-Xin Jin, Jiang-Yuan Zhang, Hong-Run Zhou, Xiao-Qiang Han, and Jing Ye. 2026. "Identification and Stability Assessment of Reference Genes in Helicoverpa armigera Under Plant Secondary Substance and Insecticide Stresses" Biology 15, no. 2: 175. https://doi.org/10.3390/biology15020175
APA StyleZhao, J., Kan, H.-R., Jin, X.-X., Zhang, J.-Y., Zhou, H.-R., Han, X.-Q., & Ye, J. (2026). Identification and Stability Assessment of Reference Genes in Helicoverpa armigera Under Plant Secondary Substance and Insecticide Stresses. Biology, 15(2), 175. https://doi.org/10.3390/biology15020175

