Exploring the Global and Regional Factors Influencing the Density of Trachurus japonicus in the South China Sea
Simple Summary
Abstract
1. Introduction
2. Materials and Methods
2.1. Data Preparation
2.2. Model Performance Comparison
- (1)
- Model Selection and Hyperparameter Optimization
- (2)
- Model Prediction and Evaluation
- (3)
- Model Performance Comparison
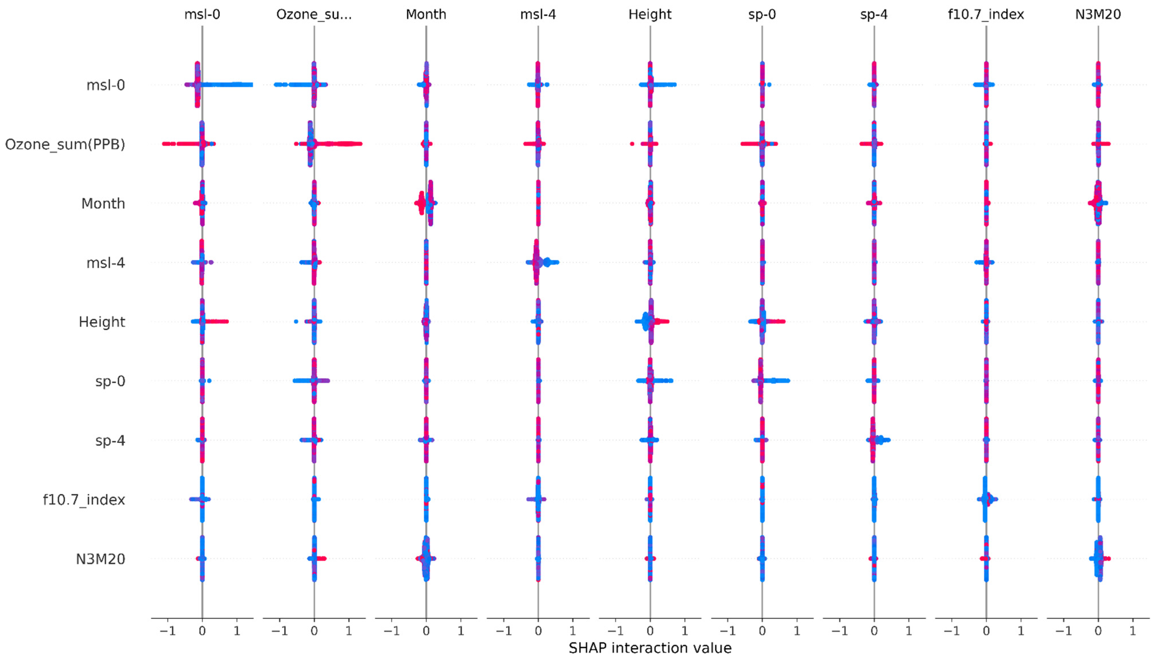
2.3. SHAP Value Analysis
- (1)
- Principles of SHAP Values
- (2)
- Interaction Effects
- (3)
- SHAP Value Analysis in Our Study
2.4. Causal Inference
- (1)
- Causal Inference
- (2)
- Causal Inference Evaluation
3. Results
3.1. Key Factors Influencing T. japonicus Density
3.2. A Complex Causal Network Revealed
3.3. The Relevance of Ozone to Our Research Environment
4. Discussion
5. Conclusions
Supplementary Materials
Author Contributions
Funding
Institutional Review Board Statement
Informed Consent Statement
Data Availability Statement
Acknowledgments
Conflicts of Interest
References
- Lauria, V.; Das, I.; Hazra, S.; Cazcarro, I.; Arto, I.; Kay, S.; Ofori-Danson, P.; Ahmed, M.; Hossain, M.A.; Barange, M. Importance of fisheries for food security across three climate change vulnerable deltas. Sci. Total Environ. 2018, 640, 1566–1577. [Google Scholar] [CrossRef] [PubMed]
- Zhang, K.; Li, M.; Li, J.; Sun, M.; Xu, Y.; Cai, Y.; Chen, Z.; Qiu, Y. Climate-induced small pelagic fish blooms in an overexploited marine ecosystem of the South China Sea. Ecol. Indic. 2022, 145, 109598. [Google Scholar] [CrossRef]
- Aronson, R.B.; Thatje, S.; McClintock, J.B.; Hughes, K.A. Anthropogenic impacts on marine ecosystems in Antarctica. Ann. N. Y. Acad. Sci. 2011, 1223, 82–107. [Google Scholar] [CrossRef] [PubMed]
- Takahashi, M.; Sassa, C.; Kitajima, S.; Yoda, M.; Tsukamoto, Y. Linking environmental drivers, juvenile growth, and recruitment for japanese jack mackerel Trachurus japonicus in the sea of Japan. Fish. Oceanogr. 2022, 31, 70–83. [Google Scholar] [CrossRef]
- Zhang, C.I.; Lee, J.B. Stock assessment and management implications of horse mackerel (Trachurus japonicus) in Korean waters, based on the relationships between recruitment and the ocean environment. Prog. Oceanogr. 2001, 49, 513–537. [Google Scholar] [CrossRef]
- De Boeck, H.J.; Vicca, S.; Roy, J.; Nijs, I.; Milcu, A.; Kreyling, J.; Jentsch, A.; Chabbi, A.; Campioli, M.; Callaghan, T. Global change experiments: Challenges and opportunities. Bioscience 2015, 65, 922–931. [Google Scholar] [CrossRef]
- Madin, E.M.; Dill, L.M.; Ridlon, A.D.; Heithaus, M.R.; Warner, R.R. Human activities change marine ecosystems by altering predation risk. Glob. Change Biol. 2016, 22, 44–60. [Google Scholar] [CrossRef]
- Poloczanska, E.S.; Brown, C.J.; Sydeman, W.J.; Kiessling, W.; Schoeman, D.S.; Moore, P.J.; Brander, K.; Bruno, J.F.; Buckley, L.B.; Burrows, M.T. Global imprint of climate change on marine life. Nat. Clim. Change 2013, 3, 919–925. [Google Scholar] [CrossRef]
- Kang, B.; Liu, M.; Huang, X.-X.; Li, J.; Yan, Y.-R.; Han, C.-C.; Chen, S.-B. Fisheries in Chinese seas: What can we learn from controversial official fisheries statistics? Rev. Fish Biol. Fish. 2018, 28, 503–519. [Google Scholar] [CrossRef]
- Screen, J.A.; Simmonds, I. The central role of diminishing sea ice in recent Arctic temperature amplification. Nature 2010, 464, 1334–1337. [Google Scholar] [CrossRef]
- Perlwitz, J.; Hoerling, M.; Dole, R. Arctic tropospheric warming: Causes and linkages to lower latitudes. J. Clim. 2015, 28, 2154–2167. [Google Scholar] [CrossRef]
- Chen, J.; Song, L.; Wainwright, M.; Jordan, M. Learning to explain: An information-theoretic perspective on model interpretation. In Proceedings of the International Conference on Machine Learning, Stockholm, Sweden, 10–15 July 2018; pp. 883–892. [Google Scholar]
- Mangalathu, S.; Hwang, S.-H.; Jeon, J.-S. Failure mode and effects analysis of RC members based on machine-learning-based SHapley Additive exPlanations (SHAP) approach. Eng. Struct. 2020, 219, 110927. [Google Scholar] [CrossRef]
- Antwarg, L.; Miller, R.M.; Shapira, B.; Rokach, L. Explaining anomalies detected by autoencoders using Shapley Additive Explanations. Expert Syst. Appl. 2021, 186, 115736. [Google Scholar] [CrossRef]
- Swaen, G.; van Amelsvoort, L. A weight of evidence approach to causal inference. J. Clin. Epidemiol. 2009, 62, 270–277. [Google Scholar] [CrossRef] [PubMed]
- Kohler, U.; Kreuter, F.; Stuart, E.A. Nonprobability Sampling and Causal Analysis. Annu. Rev. Stat. Its Appl. 2019, 6, 149–172. [Google Scholar] [CrossRef]
- Pearl, J. An Introduction to Causal Inference. Int. J. Biostat. 2010, 6, 7. [Google Scholar] [CrossRef]
- Baker, S.G. Causal inference, probability theory, and graphical insights. Stat. Med. 2013, 32, 4319–4330. [Google Scholar] [CrossRef]
- Pearl, J. Causal inference. In Proceedings of the Workshop on Causality: Objectives Assessment, Whistler, BC, Canada, 12 December 2008; pp. 39–58. [Google Scholar]
- Lukas, R.; Lindstrom, E. The mixed layer of the western equatorial Pacific Ocean. J. Geophys. Res.-Oceans 1991, 96, 3343–3357. [Google Scholar] [CrossRef]
- Zheng, S.; Liu, H.; Wang, X. A robust mode of the winter oceanic mixed layer depth in the North Pacific. Dynam. Atmos. Oceans 2022, 97, 101281. [Google Scholar] [CrossRef]
- Pörtner, H.O.; Farrell, A.P. Physiology and climate change. Science 2008, 322, 690–692. [Google Scholar] [CrossRef]
- Fogarty, M.; Incze, L.; Hayhoe, K.; Mountain, D.; Manning, J. Potential climate change impacts on Atlantic cod (Gadus morhua) off the northeastern USA. Mitig. Adapt. Strat. Gl. 2008, 13, 453–466. [Google Scholar] [CrossRef]
- Sarmiento, J.L.; Slater, R.; Barber, R.; Bopp, L.; Doney, S.; Hirst, A.; Kleypas, J.; Matear, R.; Mikolajewicz, U.; Monfray, P. Response of ocean ecosystems to climate warming. Glob. Biogeochem. Cycles 2004, 18, GB3003. [Google Scholar] [CrossRef]
- Fu, C.; Xu, Y.; Bundy, A.; Grüss, A.; Coll, M.; Heymans, J.J.; Fulton, E.A.; Shannon, L.; Halouani, G.; Velez, L. Making ecological indicators management ready: Assessing the specificity, sensitivity, and threshold response of ecological indicators. Ecol. Indic. 2019, 105, 16–28. [Google Scholar] [CrossRef]
- Breiman, L. Random forests. Mach. Learn. 2001, 45, 5–32. [Google Scholar] [CrossRef]
- Chen, T.; Guestrin, C. Xgboost: A scalable tree boosting system. In Proceedings of the 22nd ACM SIGKDD International Conference on Knowledge Discovery and Data Mining, San Francisco, CA, USA, 13–17 August 2016; pp. 785–794. [Google Scholar]
- Sharma, A.; Kiciman, E. DoWhy: An end-to-end library for causal inference. arXiv 2020. [Google Scholar] [CrossRef]
- Battocchi, K.; Dillon, E.; Hei, M.; Lewis, G.; Oka, P.; Oprescu, M.; Syrgkanis, V. EconML: A Python Package for ML-Based Heterogeneous Treatment Effects Estimation. GitHub 2019. Available online: https://github.com/py-why/EconML/releases/tag/v0.15.0 (accessed on 28 February 2024).
- Datta, A.; Sen, S.; Zick, Y. Algorithmic transparency via quantitative input influence: Theory and experiments with learning systems. In Proceedings of the 2016 IEEE Symposium on Security and Privacy (SP), San Jose, CA, USA, 23–25 May 2016; pp. 598–617. [Google Scholar]
- Schlitzer; Reiner. Ocean Data View. Available online: https://odv.awi.de (accessed on 15 May 2025).
- Sun, M.; Cai, Y.; Zhang, K.; Zhao, X.; Chen, Z. A method to analyze the sensitivity ranking of various abiotic factors to acoustic densities of fishery resources in the surface mixed layer and bottom cold water layer of the coastal area of low latitude: A case study in the northern South China Sea. Sci. Rep. 2020, 10, 11128. [Google Scholar] [CrossRef]
- Sun, M.; Zhao, X.; Cai, Y.; Zhang, K.; Chen, Z. Relationship Between Multi-Factors and Short-Term Changes in Fishery Resources. Front. Mar. Sci. 2021, 8, 693950. [Google Scholar] [CrossRef]
- Bergstra, J.; Bengio, Y. Random search for hyper-parameter optimization. J. Mach. Learn. Res 2012, 13, 281–305. [Google Scholar]
- Kohavi, R. A study of cross-validation and bootstrap for accuracy estimation and model selection. In Proceedings of the International Joint Conference on Articial Intelligence (IJCAI), Montreal, QC, Canada, 20–25 August 1995; pp. 1137–1145. [Google Scholar]
- Hastie, T.; Tibshirani, R.; Friedman, J.H. The Elements of Statistical Learning: Data Mining, Inference, and Prediction; Springer: Berlin/Heidelberg, Germany, 2009; Volume 2. [Google Scholar]
- Willmott, C.J.; Matsuura, K. Advantages of the mean absolute error (MAE) over the root mean square error (RMSE) in assessing average model performance. Clim. Res. 2005, 30, 79–82. [Google Scholar] [CrossRef]
- Nash, J.E.; Sutcliffe, J.V. River flow forecasting through conceptual models part I—A discussion of principles. J. Hydrol. 1970, 10, 282–290. [Google Scholar] [CrossRef]
- Lundberg, S.M.; Erion, G.; Chen, H.; DeGrave, A.; Prutkin, J.M.; Nair, B.; Katz, R.; Himmelfarb, J.; Bansal, N.; Lee, S.-I. From local explanations to global understanding with explainable AI for trees. Nat. Mach. Intell. 2020, 2, 56–67. [Google Scholar] [CrossRef]
- Lundberg, S.M.; Lee, S.-I. A unified approach to interpreting model predictions. In Proceedings of the Advances in Neural Information Processing Systems 30 (NIPS 2017), Long Beach, CA, USA, 4–9 December 2017. [Google Scholar]
- Muller, T. Probability theory and causation: A branching space-times analysis. Br. J. Philos. Sci. 2005, 56, 487–520. [Google Scholar] [CrossRef][Green Version]
- Rosenbaum, P.R. Overt Bias in Observational Studies; Springer: Berlin/Heidelberg, Germany, 2002. [Google Scholar]
- Rosenbaum, P.R. Modern algorithms for matching in observational studies. Annu. Rev. Stat. Appl. 2020, 7, 143–176. [Google Scholar] [CrossRef]
- Rosenbaum, P.R.; Rosenbaum, P.; Briskman. Design of Observational Studies; Springer: Berlin/Heidelberg, Germany, 2010; Volume 10. [Google Scholar]
- Sommer, U. Nitrate- and silicate-competition among antarctic phytoplankton. Mar. Biol. 1986, 91, 345–351. [Google Scholar] [CrossRef]
- Walker, M.M.; Kirschvink, J.L.; Ahmed, G.; Dizon, A.E. Evidence that fin whales respond to the geomagnetic field during migration. J. Exp. Biol. 1992, 171, 67–78. [Google Scholar] [CrossRef]
- Kamykowski, D.; Zentara, S.-J.; Morrison, J.M.; Switzer, A.C. Dynamic global patterns of nitrate, phosphate, silicate, and iron availability and phytoplankton community composition from remote sensing data. Glob. Biogeochem. Cycles 2002, 16, 25-1–25-29. [Google Scholar] [CrossRef]
- Heath, M.R. Changes in the structure and function of the North Sea fish foodweb, 1973–2000, and the impacts of fishing and climate. ICES J. Mar. Sci. 2005, 62, 847–868. [Google Scholar] [CrossRef]
- Beaugrand, G.; Brander, K.M.; Alistair Lindley, J.; Souissi, S.; Reid, P.C. Plankton effect on cod recruitment in the North Sea. Nature 2003, 426, 661–664. [Google Scholar] [CrossRef]
- MacArthur, R.H. Geographical Ecology: Patterns in the Distribution of Species; Princeton University Press: Princeton, NJ, USA, 1984. [Google Scholar]
- Parmesan, C. Ecological and evolutionary responses to recent climate change. Annu. Rev. Ecol. Evol. Syst. 2006, 37, 637–669. [Google Scholar] [CrossRef]
- Häder, D.P.; Williamson, C.E.; Wängberg, S.Å.; Rautio, M.; Rose, K.C.; Gao, K.; Helbling, E.W.; Sinha, R.P.; Worrest, R. Effects of UV radiation on aquatic ecosystems and interactions with other environmental factors. Photochem. Photobiol. Sci. 2015, 14, 108–126. [Google Scholar] [CrossRef]
- Post, E.; Bhatt, U.S.; Bitz, C.M.; Brodie, J.F.; Fulton, T.L.; Hebblewhite, M.; Kerby, J.; Kutz, S.J.; Stirling, I.; Walker, D.A. Ecological consequences of sea-ice decline. Science 2013, 341, 519–524. [Google Scholar] [CrossRef]
- Sætre, R.; Toresen, R.; Søiland, H.; Fossum, P. The Norwegian spring-spawning herring-spawning, larval drift and larval retention. Sarsia 2002, 87, 167–178. [Google Scholar] [CrossRef]
- Barber, R.T.; Chavez, F.P. Biological consequences of el nino. Science 1983, 222, 1203–1210. [Google Scholar] [CrossRef]
- Torres, R.; Frangópulos, M.; Hamamé, M.; Montecino, V.; Maureira, C.; Pizarro, G.; Reid, B.; Valle-Levinson, A.; Blanco, J.L. Nitrate to silicate ratio variability and the composition of micro-phytoplankton blooms in the inner-fjord of Seno Ballena (Strait of Magellan, 54°S). Cont. Shelf Res. 2011, 31, 244–253. [Google Scholar] [CrossRef]
- Halpern, B.S.; Walbridge, S.; Selkoe, K.A.; Kappel, C.V.; Micheli, F.; d’Agrosa, C.; Bruno, J.F.; Casey, K.S.; Ebert, C.; Fox, H.E. A global map of human impact on marine ecosystems. Science 2008, 319, 948–952. [Google Scholar] [CrossRef]
- Doney, S.C.; Fabry, V.J.; Feely, R.A.; Kleypas, J.A. Ocean acidification: The other CO2 problem. Annu. Rev. Mar. Sci. 2009, 1, 169–192. [Google Scholar] [CrossRef] [PubMed]
- Sabine, C.L.; Feely, R.A.; Gruber, N.; Key, R.M.; Lee, K.; Bullister, J.L.; Wanninkhof, R.; Wong, C.; Wallace, D.W.; Tilbrook, B. The oceanic sink for anthropogenic CO2. Science 2004, 305, 367–371. [Google Scholar] [CrossRef] [PubMed]






| Group | Factor | Estimated Effect | Data Subset Refutation | Random Common Cause Refutation | ||
|---|---|---|---|---|---|---|
| New Effect | p_Value | New Effect | p_Value | |||
| Treatment Group | msl-0 | 0.01 | 0.10 | 0.26 | 0.09 | 0.16 |
| Ozone_sum | 0.09 | 0.09 | 0.90 | 0.08 | 0.96 | |
| msl-4 | −0.18 | 0.01 | 0.22 | 0.03 | 0.20 | |
| sp-0 | 2.68 | 0.23 | 0.08 | 0.29 | 0.06 | |
| sp-4 | 0.13 | 0.06 | 0.38 | 0.06 | 0.54 | |
| F10.7_index | −0.20 | −0.11 | 0.66 | −0.18 | 0.70 | |
| Month | −0.10 | −0.32 | 0.16 | −0.34 | 0.08 | |
| Height | 0.17 | 0.15 | 0.74 | 0.15 | 0.94 | |
| N3M20 | 0.03 | −0.01 | 0.70 | −0.02 | 0.58 | |
| Control Group | Random | −0.26 | 0.01 | 0.01 * | 0.01 | 0.00 * |
Disclaimer/Publisher’s Note: The statements, opinions and data contained in all publications are solely those of the individual author(s) and contributor(s) and not of MDPI and/or the editor(s). MDPI and/or the editor(s) disclaim responsibility for any injury to people or property resulting from any ideas, methods, instructions or products referred to in the content. |
© 2025 by the authors. Licensee MDPI, Basel, Switzerland. This article is an open access article distributed under the terms and conditions of the Creative Commons Attribution (CC BY) license (https://creativecommons.org/licenses/by/4.0/).
Share and Cite
Sun, M.; Li, Y.; Chen, Z.; Xu, Y.; Yang, Y.; Zhang, Y.; Peng, Y.; Zhou, H. Exploring the Global and Regional Factors Influencing the Density of Trachurus japonicus in the South China Sea. Biology 2025, 14, 895. https://doi.org/10.3390/biology14070895
Sun M, Li Y, Chen Z, Xu Y, Yang Y, Zhang Y, Peng Y, Zhou H. Exploring the Global and Regional Factors Influencing the Density of Trachurus japonicus in the South China Sea. Biology. 2025; 14(7):895. https://doi.org/10.3390/biology14070895
Chicago/Turabian StyleSun, Mingshuai, Yaquan Li, Zuozhi Chen, Youwei Xu, Yutao Yang, Yan Zhang, Yalan Peng, and Haoda Zhou. 2025. "Exploring the Global and Regional Factors Influencing the Density of Trachurus japonicus in the South China Sea" Biology 14, no. 7: 895. https://doi.org/10.3390/biology14070895
APA StyleSun, M., Li, Y., Chen, Z., Xu, Y., Yang, Y., Zhang, Y., Peng, Y., & Zhou, H. (2025). Exploring the Global and Regional Factors Influencing the Density of Trachurus japonicus in the South China Sea. Biology, 14(7), 895. https://doi.org/10.3390/biology14070895

