Sperm Selection Using Microfluidic Techniques Significantly Decreases Sperm DNA Fragmentation (SDF), Enhancing Reproductive Outcomes: A Systematic Review and Meta-Analysis
Simple Summary
Abstract
1. Introduction
2. Materials and Methods
2.1. Search Strategy
2.2. Study Identification and Selection
2.3. Data Extraction and Database Creation
2.4. Statistical Analysis
2.5. Evaluation of the Methodological Quality
3. Results
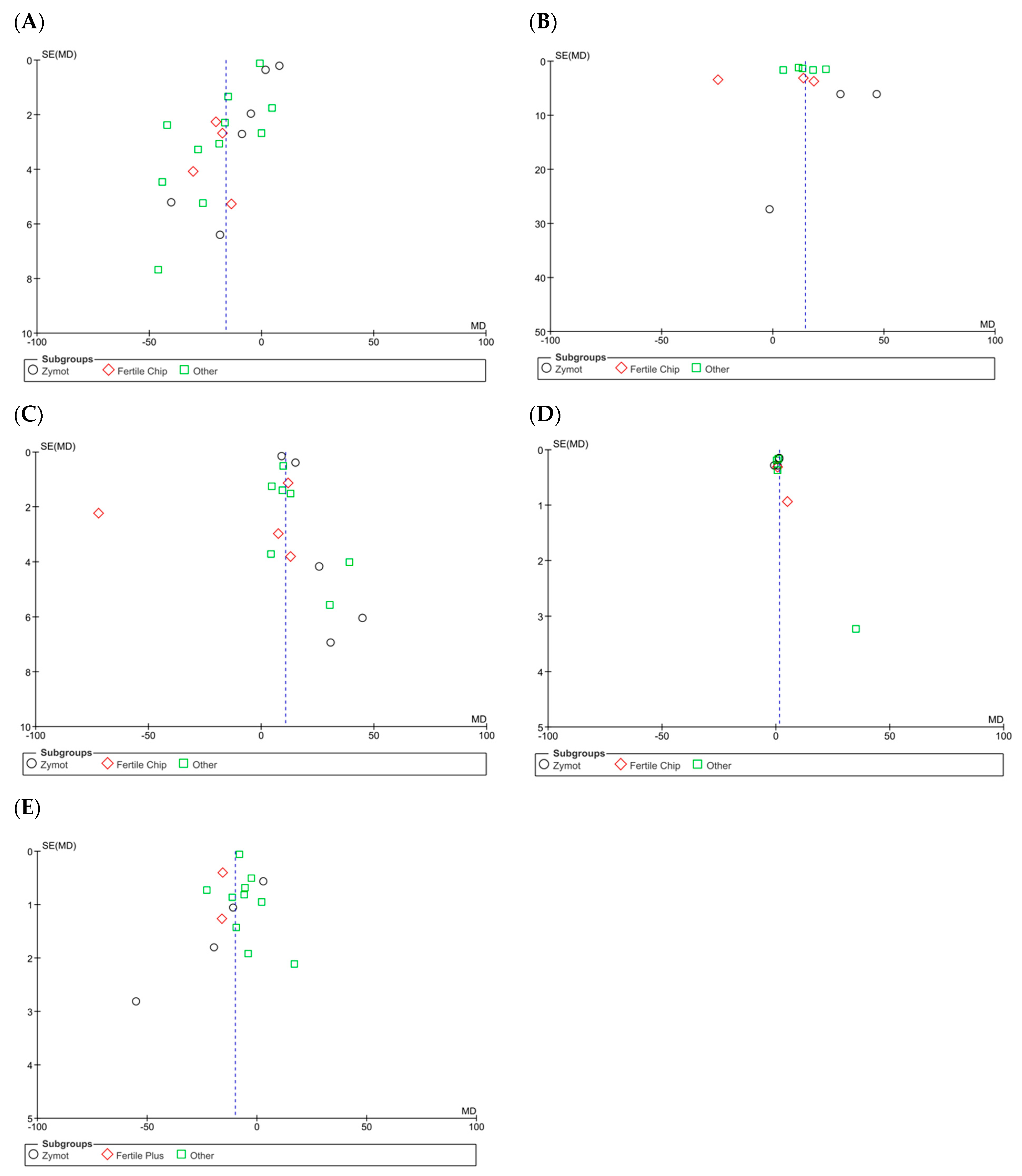
3.1. Seminal Parameters
3.1.1. Concentration
3.1.2. Motility
3.1.3. Morphology
3.1.4. Sperm DNA Fragmentation (SDF)
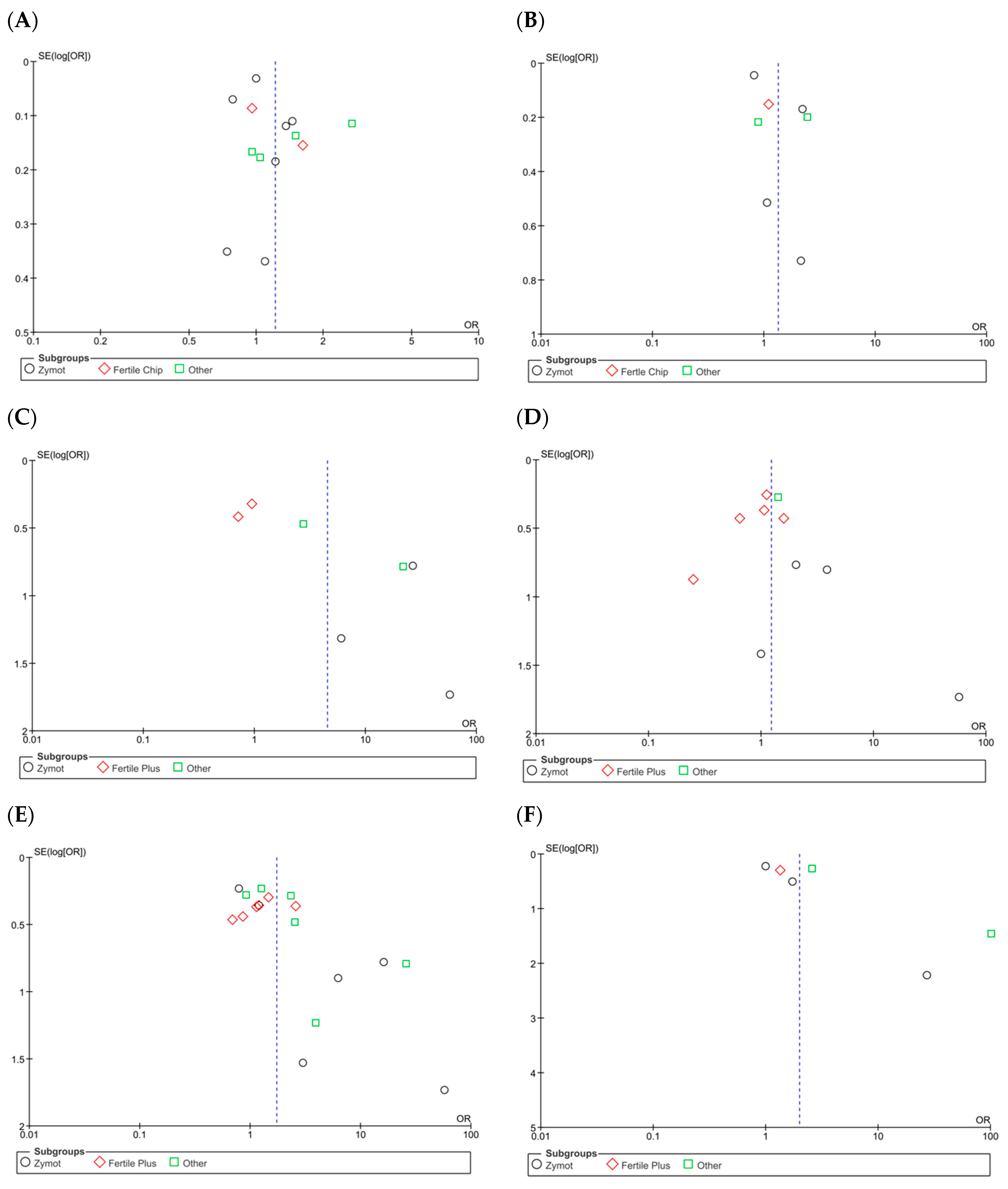
3.2. Artificial Insemination Outcomes (AI)
3.3. IVF-ICSI Reproductive Outcomes
3.3.1. Fertilization Rate
3.3.2. Embryo Euploidy Rate
3.3.3. Biochemical Pregnancy Rate
3.3.4. Implantation Rate
3.3.5. Clinical Pregnancy Rate
3.3.6. Ongoing Pregnancy Rate
3.3.7. Miscarriage Rate (All Types)
3.3.8. Live Birth Rate
3.4. Summary of the Analysis of the Seminal Parameters and Reproductive Outcomes in IVF/ICSI
4. Discussion
5. Conclusions
Author Contributions
Funding
Institutional Review Board Statement
Informed Consent Statement
Data Availability Statement
Conflicts of Interest
Appendix A

| Study | Design | Study Population Criteria: Inclusion (I)/Exclusion(E) | ART | Microfluidic Chip | Control | Measured Parameters |
|---|---|---|---|---|---|---|
| Anbari et al., 2021 [20] | Prospective randomized pilot study | I: couples with EOD E: severe male factor N = 95 couples | ICSI | Others | SU | Seminal parameters; reproductive outcomes |
| Asghar et al., 2014 [32] | Prospective non-randomized study | I: male volunteers E: severe male factor N = 12 | - | Others | SU | Seminal parameters |
| Aydin et al., 2022 [34] | Prospective randomized study | I: IVF couples E: 3 or more IVF failures N = 128 couples | ICSI | Fertile Plus | SU | Reproductive outcomes |
| Dadkhah et al., 2023 [46] | Prospective non-randomized study | I: Fertility patients E: severe male factor N = 18 | - | Others | SU + DG | Seminal parameters |
| Dev Nayar et al., 2021 [1] | Prospective randomized study | I: IVF couples E: severe male factor N = 300 couples | ICSI | Others | DG | Reproductive outcomes |
| Doostabadi et al., 2022 [21] | Prospective non-randomized study | I: males with DNA fragmentation index (DFI) ≥ 30% E: others N = 20 couples | - | Others | SU | Seminal parameters |
| Escudé-Logares et al., 2024 [44] | Retrospective study | I: Cycles with donated oocyte E: Depending on the analysis males under or more than 45 years old N = 132 cycles | ICSI | ZyMot | DG | Reproductive outcomes |
| Göde et al., 2019 [22] | Retrospective study | I: couples undergoing AI cycles E: IVF/ICSI couples N = 133 couples | AI | Fertile Plus | DG | Seminal parameters; reproductive outcomes |
| Göde et al., 2020 [23] | Prospective non-randomized study | I: Male volunteers E: severe male factor N = 201 | - | Fertile Plus | SU + DG | Seminal parameters |
| Godiwala et al., 2022 [28] | Retrospective cohort study | I: couples with previous ICSI failures after DG E: others N = 176 | ICSI | ZyMot | DG | Seminal parameters; reproductive outcomes |
| Godiwala et al., 2023 [29] | Prospective randomized sibling study | I: ICSI + PGT-A or PGT-M couples aged 18–42 years with ≥6 mature oocytes E: non PGT-A cycles N = 158 couples | ICSI | ZyMot | DG | Reproductive outcomes |
| Godiwala et al., 2024 [24] | Retrospective randomized sibling study | I: ICSI + PGT-A couples E: non PGT-A cycles N = 106 couples | ICSI | ZyMot | DG | Seminal parameters; reproductive outcomes |
| Keating et al., 2021 [4] | Retrospective study | I: ICSI couples E: donated oocytes/sperm N = 114 couples | ICSI | Others | DG | Seminal parameters; reproductive outcomes |
| Keskin et al., 2022 [35] | Retrospective observational study | I: patients with two or more ICSI failures + PGT-A and SDF > 30% E: rest N = 243 cycles | ICSI | Fertile Plus | DG | Reproductive outcomes |
| Kishi et al., 2015 [12] | Prospective non-randomized study | I: male volunteers E: - N = 10 | - | Others | SU | Seminal parameters |
| Kocur et al., 2023 (1) [36] | Prospective non-randomized study | I: male volunteers undergoing sperm cryopreservation utilizing microfluidics E: - N = 2238 (98 microfluidics; 2140 DG) | - | Others | DG | Seminal parameters |
| Kocur et al., 2023 (2) [25] | Prospective non-randomized study | I: couples undergoing ICSI + PGT-A cycles, with >50% aneuploid embryos in previous cycles E: rest N = 57 couples | ICSI | ZyMot | DG | Seminal parameters; reproductive outcomes |
| Kothamasu et al., 2023 [8] | Retrospective study | I: couples undergoing ICSI cycles E: severe male factor N = 357 embryo transfers | ICSI | Others | DG | Reproductive outcomes |
| Lara-Cerrillo et al., 2023 [45] | Retrospective cohort study | I: couples undergoing ICSI with previous failures and >60% SDF E: rest N = 28 couples | ICSI | ZyMot | SU + DG | Reproductive outcomes |
| Meseguer et al., 2021 [30] | Prospective non-randomized pilot study | I: male volunteers aged 35 +/− 8 years E: - N = 25 | - | Others | DG | Seminal parameters |
| Mirsanei et al., 2022 [10] | Prospective non-randomized study | I: depending on the analysis couples undergoing their 1st ICSI cycle/couples with previous ICSI failures E: PCOS, endometriosis, severe male factor N = depending on the analysis 10/15 couples, respectively | ICSI | Fertile Plus | DG | Seminal parameters; reproductive outcomes |
| Özaltin et al., 2023 [41] | Prospective randomized cohort study | I: couples undergoing ICSI cycles, women aged 18–43 years, no disorders, normal hormone panel, no severe male factor E: rest N = 213 couples | ICSI | Fertile Plus | SU + DG | Reproductive outcomes |
| Ozcan et al., 2021 [42] | Retrospective study | I: couples undergoing ICSI cycles with male factor infertility E: - N = 181 couples | ICSI | Fertile Plus | DG | Reproductive outcomes |
| Palmerola et al., 2020 [26] | Retrospective cohort study | I: ICSI + PGT-A couples E: non PGT-A cycles N = 167 cycles | IVF | Others | DG | Reproductive outcomes |
| Pardiñas et al., 2023 [13] | Prospective non-randomized study | I: ART patients E: - N = 27 | - | ZyMot | SU | Seminal parameters |
| Parrella et al., 2019 [11] | Prospective non-randomized study | I: depending on the analysis couples undergoing ICSI + PGT-A cycles/ICSI cycles without PGT E: - N = 9 couples (depending on the analysis, 5 and 4, respectively) | ICSI | ZyMot | DG | Seminal parameters; Reproductive outcomes |
| Pavlovic et al., 2020 [37] | Retrospective cohort study | I: Couples undergoing ICSI with microfluidics, after DG E: - N = 749 MII oocytes | ICSI | Others | DG | Reproductive outcomes |
| Phairatana et al., 2023 [47] | Prospective non-randomized study | I: healthy men with normal semen profiles E: severe male factor N = 19 males | - | Others | DG | Seminal parameters |
| Pujol et al., 2022 [5] | Blinded split pilot study | I: patients with ≥ 60% dsSDF E: rest N = 9 males | - | ZyMot | SU | Seminal parameters |
| Quinn et al., 2018 [48] | Prospective non-randomized study | I: Infertile men from their medical center E: others N = 70 males | - | ZyMot | DG + SU | Seminal parameters |
| Quinn et al., 2022 [14] | Prospective randomized study | I: couples undergoing ICSI, inclusive with severe male factor E: donated oocytes/sperm N = 386 couples | ICSI | ZyMot | DG | Reproductive outcomes |
| Schiewe et al., 2021 [38] | Retrospective study | I: couples undergoing ICSI + PGT-A cycles E: - N = 3219 cycles | ICSI | ZyMot | DG | Reproductive outcomes |
| Sheibak et al., 2024 [27] | Prospective non-randomized study | I: 100 male patients (50 normozoospermic, 50 male factor infertility) E: - N = 100 samples | - | Others | SU/DG | Seminal parameters |
| Shirota et al., 2016 [31] | Prospective non-randomized study | I: healthy male volunteers E: - N = 37 | - | Others | SU | Seminal parameters |
| Vasilescu et al., 2023 [39] | Prospective non-randomized study | I: male volunteers E: - N = 33 | - | Others | SU | Seminal parameters |
| Yalcinkaya et al., 2019 [16] | Prospective sibling study | I: couples undergoing ICSI cycles, female patients <42 years old, with at least 5 MII oocytes E: severe male factor N = 81 patients | ICSI | Fertile Plus | SU | Reproductive outcomes |
| Yetkintel et al., 2019 [43] | Prospective randomized study | I: couples with EOD, women aged 20–40 years, patients with 1st or 2nd cycle E: rest N = 122 couples | ICSI | Fertile Plus | SU | Reproductive outcomes |
| Yildiz and Yuksel et al., 2019 [40] | Prospective randomized study | I: depending on the analysis patients undergoing their 1st ICSI cycle/patients with at least 2 previous cycle failures E: - N = 428 couples | ICSI | Fertile Plus | DG | Reproductive outcomes |
| Zaha et al., 2023 [33] | Retrospective study | I: patients undergoing ICSI cycles E: - N = 239 couples | ICSI | ZyMot | DG | Seminal parameters |
Appendix B


Appendix C

Appendix D



References
- Nayar, K.D.; Kant, G.; Gupta, S.; Sanan, S.; Mishra, J.; Nayar, K.D. Comparison of Microfluidic Sperm Sorting (Mfss) versus Physiological Intracytoplasmic Sperm Injection (Picsi) Versus Density Gradient in High DNA Fragmentation Index Sperm Samples. Fertil. Steril. 2021, 116, e188–e189. [Google Scholar] [CrossRef]
- Petraglia, F.; Serour, G.I.; Chapron, C. The changing prevalence of infertility. Int. J. Gynecol. Obstet. 2013, 123, S4–S8. [Google Scholar] [CrossRef]
- Huang, J.Y.J.; Rosenwaks, Z. Assisted reproductive techniques. In Human Fertility: Methods and Protocols; Springer: Berlin/Heidelberg, Germany, 2014; pp. 171–231. [Google Scholar] [CrossRef]
- Keating, D.; Tavares, D.R.; Rosenwaks, Z.; Palermo, G.D. A Sperm Selection Technique to Improve Embryo Ploidy. Fertil. Steril. 2021, 116, e137. [Google Scholar] [CrossRef]
- Pujol, A.; García-Peiró, A.; Ribas-Maynou, J.; Lafuente, R.; Mataró, D.; Vassena, R. A microfluidic sperm-sorting device reduces the proportion of sperm with double-stranded DNA fragmentation. Zygote 2022, 30, 200–205. [Google Scholar] [CrossRef] [PubMed]
- Esteves, S.C.; Santi, D.; Simoni, M. An update on clinical and surgical interventions to reduce sperm DNA fragmentation in infertile men. Andrology 2020, 8, 53–81. [Google Scholar] [CrossRef]
- Gil, M.; Sar-Shalom, V.; Melendez Sivira, Y.; Carreras, R.; Checa, M.A. Sperm selection using magnetic activated cell sorting (MACS) in assisted reproduction: A systematic review and meta-analysis. J. Assist. Reprod. Genet. 2013, 30, 479–485. [Google Scholar] [CrossRef]
- Kothamasu, V.S.S.; Ulrich, N.D.; Toppin, J.D.; Williams, F.B. Live Birth Rate After Using Microfluidic Sperm Separation Device for Sperm Preparation in All In-Vitro Fertilization (Ivf) and Intracytoplasmic Sperm Injection (Icsi) Cycles. Fertil. Steril. 2023, 120, e296–e297. [Google Scholar] [CrossRef]
- ESHRE Add-ons Working Group; Lundin, K.; Bentzen, J.G.; Bozdag, G.; Ebner, T.; Harper, J.; Le Clef, N.; Moffett, A.; Norcross, S.; Polyzos, N.P.; et al. Good practice recommendations on add-ons in reproductive medicine. Hum. Reprod. 2023, 38, 2062–2104. [Google Scholar] [CrossRef]
- Mirsanei, J.S.; Sheibak, N.; Zandieh, Z.; Mehdizadeh, M.; Aflatoonian, R.; Tabatabaei, M.; Mousavi, A.S.; Amjadi, F. Microfluidic chips as a method for sperm selection improve fertilization rate in couples with fertilization failure. Arch. Gynecol. Obs. 2022, 306, 901–910. [Google Scholar] [CrossRef] [PubMed]
- Parrella, A.; Keating, D.; Cheung, S.; Xie, P.; Stewart, J.D.; Rosenwaks, Z.; Palermo, G.D. A treatment approach for couples with disrupted sperm DNA integrity and recurrent ART failure. J. Assist. Reprod. Genet. 2019, 36, 2057–2066. [Google Scholar] [CrossRef] [PubMed] [PubMed Central]
- Kishi, K.; Ogata, H.; Ogata, S.; Mizusawa, Y.; Okamoto, E.; Matsumoto, Y.; Kokeguchi, S.; Shiotani, M. Frequency of sperm DNA fragmentation according to selection method: Comparison and relevance of a microfluidic device and a swim-up procedure. J. Clin. Diagn. Res. 2015, 9, QC14. [Google Scholar] [CrossRef] [PubMed]
- Pardiñas, M.L.; de los Santos, J.M.; Jaén, D.O.; Bastida, A.M.; Rivera-Egea, R.; Galán, A.; Insua, F.; De Los Santos, M.J. Microfluidic-Based Sperm Selection: Effect on Sperm DNA Fragmentation and Embryo Development. Fertil. Steril. 2023, 120, e294. [Google Scholar] [CrossRef]
- Quinn, M.M.; Ribeiro, S.; Juarez-Hernandez, F.; Simbulan, R.K.; Jalalian, L.; Cedars, M.I.; Rosen, M.P. Microfluidic preparation of spermatozoa for ICSI produces similar embryo quality to density-gradient centrifugation: A pragmatic, randomized controlled trial. Hum. Reprod. 2022, 37, 1406–1413. [Google Scholar] [CrossRef] [PubMed]
- Review Manager (RevMan). Version 5.4. The Cochrane Collaboration, 2020. Available online: https://revman.cochrane.org/ (accessed on 12 March 2024).
- Yalcinkaya Kalyan, E.; Can Celik, S.; Okan, O.; Akdeniz, G.; Karabulut, S.; Caliskan, E. Does a microfluidic chip for sperm sorting have a positive add-on effect on laboratory and clinical outcomes of intracytoplasmic sperm injection cycles? A sibling oocyte study. Andrologia 2019, 51, e13403. [Google Scholar] [CrossRef] [PubMed]
- Page, M.J.; McKenzie, J.E.; Bossuyt, P.M.; Boutron, I.; Hoffmann, T.C.; Mulrow, C.D.; Shamseer, L.; Tetzlaff, J.M.; Akl, E.A.; Brennan, S.E.; et al. The PRISMA 2020 statement: An updated guideline for reporting systematic reviews. BMJ 2021, 372, n71. [Google Scholar] [CrossRef] [PubMed]
- Sterne, J.A.C.; Savović, J.; Page, M.J.; Elbers, R.G.; Blencowe, N.S.; Boutron, I.; Cates, C.J.; Cheng, H.-Y.; Corbett, M.S.; Eldridge, S.M.; et al. RoB 2: A revised tool for assessing risk of bias in randomised trials. BMJ 2019, 366, l4898. [Google Scholar] [CrossRef]
- Sterne, J.A.C.; Hernán, M.A.; Reeves, B.C.; Savović, J.; Berkman, N.D.; Viswanathan, M.; Henry, D.; Altman, D.G.; Ansari, M.T.; Boutron, I.; et al. ROBINS-I: A tool for assessing risk of bias in non-randomized studies of interventions. BMJ 2016, 355, 4919. [Google Scholar] [CrossRef] [PubMed]
- Anbari, F.; Khalili, M.A.; Sultan Ahamed, A.M.; Mangoli, E.; Nabi, A.; Dehghanpour, F.; Sabour, M. Microfluidic sperm selection yields higher sperm quality compared to conventional method in ICSI program: A pilot study. Syst. Biol. Reprod. Med. 2021, 67, 137–143. [Google Scholar] [CrossRef] [PubMed]
- Doostabadi, M.R.; Mangoli, E.; Marvast, L.D.; Dehghanpour, F.; Maleki, B.; Torkashvand, H.; Talebi, A.R. Microfluidic devices employing chemo- and thermotaxis for sperm selection can improve sperm parameters and function in patients with high DNA fragmentation. Andrologia 2022, 54, e14623. [Google Scholar] [CrossRef] [PubMed]
- Gode, F.; Bodur, T.; Gunturkun, F.; Gurbuz, A.S.; Tamer, B.; Pala, I.; Isik, A.Z. Comparison of microfluid sperm sorting chip and density gradient methods for use in intrauterine insemination cycles. Fertil. Steril. 2019, 112, 842–848.e1. [Google Scholar] [CrossRef] [PubMed]
- Gode, F.; Gürbüz, A.S.; Tamer, B.; Pala, I.; Isik, A.Z. The effects of microfluidic sperm sorting, density gradient and swim-up methods on semen oxidation reduction potential. Urol. J. 2020, 17, 397. [Google Scholar] [CrossRef] [PubMed]
- Godiwala, P.; Kwieraga, J.; Almanza, E.; Neuber, E.; Grow, D.; Benadiva, C.; Makhijani, R.; DiLuigi, A.; Schmidt, D.; Bartolucci, A.; et al. The impact of microfluidics sperm processing on blastocyst euploidy rates compared with density gradient centrifugation: A sibling oocyte double-blinded prospective randomized clinical trial. Fertil. Steril. 2024, 122, 85–94. [Google Scholar] [CrossRef]
- Kocur, O.M.; Xie, P.; Rosenwaks, Z.; Palermo, G.D. MICROFLUIDIC SELECTION ENHANCES CRYOSURVIVAL OF SPERMATOZOA. Fertil. Steril. 2023, 120, e118–e119. [Google Scholar] [CrossRef]
- Palmerola, K.L.; Gerkowicz, S.A.; Collazo, I.; Arora, H.; Bustillo, M. Uperior Sperm Selection? Microfluidic Sperm Sorting Improves Euploid Embryo Ongoing Pregnancy Rate Compared to Density Gradient Centrifugation. Fertil. Steril. 2020, 114, e126. [Google Scholar] [CrossRef]
- Sheibak, N.; Amjadi, F.; Shamloo, A.; Zarei, F.; Zandieh, Z. Microfluidic sperm sorting selects a subpopulation of high-quality sperm with a higher potential for fertilization. Hum. Reprod. 2024, 39, 902–911. [Google Scholar] [CrossRef]
- Godiwala, P.; Almanza, E.; Kwieraga, J.; Makhijani, R.; Grow, D.; Nulsen, J.; Benadiva, C.; Bartolucci, A.; Engmann, L. Embryologic outcomes among patients using a microfluidics chip compared to density gradient centrifugation to process sperm: A paired analysis. J. Assist. Reprod. Genet. 2022, 39, 1523–1529. [Google Scholar] [CrossRef] [PubMed] [PubMed Central]
- Godiwala, P.; Kwieraga, J.; Almanza, E.; Nulsen, J.; Benadiva, C.; Grow, D.; Taggar, A.; Bartolucci, A.; Engmann, L. A Double-Blinded Prospective Randomized Trial Comparing Euploidy Rates Among Embryos Created from Sibling Oocytes Injected with Sperm Processed by Microfluidics or by Density Gradient Centrifugation. Fertil. Steril. 2023, 120, e4. [Google Scholar] [CrossRef]
- Meseguer, F.; Rivera-Egea, R.; Bori, L.; de los Ángeles Valera, M.; Alegre, L.; Meseguer, M. Novel sperm capacitation system based on microfluidics, the path to automation. Fertil. Steril. 2021, 116, e334–e335. [Google Scholar] [CrossRef]
- Shirota, K.; Yotsumoto, F.; Itoh, H.; Obama, H.; Hidaka, N.; Nakajima, K.; Miyamoto, S. Separation efficiency of a microfluidic sperm sorter to minimize sperm DNA damage. Fertil. Steril. 2016, 105, 315–321.e1. [Google Scholar] [CrossRef] [PubMed]
- Asghar, W.; Velasco, V.; Kingsley, J.L.; Shoukat, M.S.; Shafiee, H.; Anchan, R.M.; Mutter, G.L.; Tüzel, E.; Demirci, U. Selection of functional human sperm with higher DNA integrity and fewer reactive oxygen species. Adv. Healthc. Mater. 2014, 3, 1671–1679. [Google Scholar] [CrossRef]
- Zaha, I.; Naghi, P.; Stefan, L.; Bunescu, C.; Radu, M.; Muresan, M.E.; Sandor, M.; Sachelarie, L.; Huniadi, A. Comparative Study of Sperm Selection Techniques for Pregnancy Rates in an Unselected IVF–ICSI Population. J. Pers. Med. 2023, 13, 619. [Google Scholar] [CrossRef] [PubMed]
- Aydın, Ş.; Bulgan Kılıçdağ, E.; Çağlar Aytaç, P.; Çok, T.; Şimşek, E.; Haydardedeoğlu, B. Prospective randomized controlled study of a microfluidic chip technology for sperm selection in male infertility patients. Andrologia 2022, 54, e14415. [Google Scholar] [CrossRef]
- Keskin, M.; Pabuçcu, E.G.; Arslanca, T.; Demirkıran, Ö.D.; Pabuçcu, R. Does Microfluidic Sperm Sorting Affect Embryo Euploidy Rates in Couples with High Sperm DNA Fragmentation? Reprod. Sci. 2022, 29, 1801–1808. [Google Scholar] [CrossRef] [PubMed]
- Kocur, O.M.; Xie, P.; Cheung, S.; Souness, S.; McKnight, M.; Rosenwaks, Z.; Palermo, G.D. Can a sperm selection technique improve embryo ploidy? Andrology 2023, 11, 1605–1612. [Google Scholar] [CrossRef] [PubMed]
- Pavlovic, Z.J.; Sax, M.R.; Tawa, A.; Grimm, L.; Raptis, N.I.; Anderson, J.; Radley, E.; Mandell, H.; Oso, C.; Beltsos, A. Microfluidic sperm sorting vs. density gradient: A preliminary analysis examining embryo grade and pregnancy outcomes in ivf-icsi cycles using varying sperm selection methods. Fertil. Steril. 2020, 114, e331–e332. [Google Scholar] [CrossRef]
- Schiewe, M.C.; Maizar, A.M.A.; Nordbak, M.; Alcoer, M.; Dinsmore, A.W.; De Romana, C.; Toledo, P.J.; Baek, K.; Ringler, G.E.; Chung, K.; et al. Does zymōt sperm separation improve embryo development outcomes when applied to all infertility patients compared to density gradient washing or surgically attained sperm? Fertil. Steril. 2021, 116, e283–e284. [Google Scholar] [CrossRef]
- Vasilescu, S.A.; Ding, L.; Parast, F.Y.; Nosrati, R.; Warkiani, M.E. Sperm quality metrics were improved by a biomimetic microfluidic selection platform compared to swim-up methods. Microsyst. Nanoeng. 2023, 9, 37. [Google Scholar] [CrossRef]
- Yildiz, K.; Yuksel, S. Use of microfluidic sperm extraction chips as an alternative method in patients with recurrent in vitro fertilisation failure. J. Assist. Reprod. Genet. 2019, 36, 1423–1429. [Google Scholar] [CrossRef] [PubMed] [PubMed Central]
- Özaltın, S.; Çelik, H.G.; Koçyigit, Y.; Kar, E.; Güngör, M.; Yeh, J.; Baştu, E. Comparison of reproductive outcomes in ICSI cycles using sperm chip technique and density gradient technique in men with normal semen analysis. Clin. Exp. Obstet. Gynecol. 2023, 50, 46. [Google Scholar] [CrossRef]
- Ozcan, P.; Takmaz, T.; Yazici, M.G.K.; Alagoz, O.A.; Yesiladali, M.; Sevket, O.; Ficicioglu, C. Does the use of microfluidic sperm sorting for the sperm selection improve in vitro fertilization success rates in male factor infertility? J. Obs. Gynaecol. Res. 2021, 47, 382–388. [Google Scholar] [CrossRef] [PubMed]
- Yetkinel, S.; Kilicdag, E.B.; Aytac, P.C.; Haydardedeoglu, B.; Simsek, E.; Cok, T. Effects of the microfluidic chip technique in sperm selection for intracytoplasmic sperm injection for unexplained infertility: A prospective, randomized controlled trial. J. Assist. Reprod. Genet. 2019, 36, 403–409. [Google Scholar] [CrossRef] [PubMed] [PubMed Central]
- Escudé-Logares, L.; Serrano-Novillo, C.; Uroz, L.; Galindo, A.; Márquez, C. Advanced Paternal Age: A New Indicator for the Use of Microfluidic Devices for Sperm DNA Fragmentation Selection. J. Clin. Med. 2024, 13, 457. [Google Scholar] [CrossRef] [PubMed]
- Lara-Cerrillo, S.; Urda Muñoz, C.; de la Casa Heras, M.; Camacho Fernández-Pacheco, S.; Gijón de la Santa, J.; Lacruz-Ruiz, T.; Rosado-Iglesias, C.; Gonçalves-Aponte, V.; Badajoz Liébana, V.; García-Peiró, A. Microfluidic sperm sorting improves ICSI outcomes in patients with increased values of Double-Strand Breaks in sperm DNA. Rev. Int. Androl. 2023, 21, 100338. [Google Scholar] [CrossRef] [PubMed]
- Dadkhah, E.; Hajari, M.A.; Abdorahimzadeh, S.; Shahverdi, A.; Esfandiari, F.; Ziarati, N.; Taghipoor, M.; Montazeri, L. Development of a novel cervix-inspired tortuous microfluidic system for efficient, high-quality sperm selection. Lab Chip 2023, 23, 3080–3091. [Google Scholar] [CrossRef]
- Phairatana, T.; Prateepchaikul, T.; Navakanittworakul, R.; Choksuchat, C. Comparison of In-House Microfluidic Device and Centrifuge-Based Method Efficacy in Sperm Preparation for Assisted Reproductive Technology. J. Reprod. Infertil. 2023, 24, 85. [Google Scholar] [CrossRef]
- Quinn, M.M.; Jalalian, L.; Ribeiro, S.; Ona, K.; Demirci, U.; Cedars, M.I.; Rosen, M.P. Microfluidic sorting selects sperm for clinical use with reduced DNA damage compared to density gradient centrifugation with swim-up in split semen samples. Hum. Reprod. 2018, 33, 1388–1393. [Google Scholar] [CrossRef]








| Result | Units | Estimator | 95% CI | Number of Articles (Sample Size) |
|---|---|---|---|---|
| Seminal parameters | ||||
| Concentration | M/mL | MD | −15.95 [−19.28, −12.61] | 19 (1200) |
| Progressive motility | %A+B | MD | 14.50 [7.84, 21.71] | 8 (548) |
| Total motility | % | MD | 10.68 [6.04, 15.31] | 13 (832) |
| Morphology | % | MD | 1.41 [0.67, 2.16] | 7 (396) |
| SDF | % | MD | −9.98 [−13.19, −6.76] | 15 (593) |
| Reproductive outcomes after ICSI | ||||
| Fertilization rate | % | OR | 1.22 [1.01, 1.46] | 12 (40,748) |
| Embryo euploidy rate | % | OR | 1.34 [0.88, 2.04] | 7 (13,813) |
| Biochemical pregnancy rate/ET | % | OR | 1.23 [0.84, 1.80] | 8 (1189) |
| Implantation rate | % | OR | 4.51 [1.42, 14.37] | 6 (400) |
| Clinical pregnancy rate/ET | % | OR | 1.73 [1.22, 2.45] | 16 (2333) |
| Ongoing pregnancy rate/ET | % | OR | 1.99 [1.03, 3.83] | 6 (973) |
| All types misscarriage rate/cycle | % | OR | 0.84 [0.54, 1.31] | 3 (758) |
| All types misscarriage rate/pregnancy | % | OR | 0.71 [0.50, 1.02] | 10 (800) |
| LBR/1st ET | % | OR | 1.60 [0.80, 3.22] | 2 (143) |
| LBR/1st cycle | % | OR | 1.59 [1.12, 2.24] | 2 (598) |
| LBR/all ET | % | OR | 1.65 [1.06, 2.55] | 3 (570) |
| LBR/concluded cycle | % | OR | 1.03 [0.53, 2.00] | 4 (244) |
Disclaimer/Publisher’s Note: The statements, opinions and data contained in all publications are solely those of the individual author(s) and contributor(s) and not of MDPI and/or the editor(s). MDPI and/or the editor(s) disclaim responsibility for any injury to people or property resulting from any ideas, methods, instructions or products referred to in the content. |
© 2025 by the authors. Licensee MDPI, Basel, Switzerland. This article is an open access article distributed under the terms and conditions of the Creative Commons Attribution (CC BY) license (https://creativecommons.org/licenses/by/4.0/).
Share and Cite
Gisbert Iranzo, A.; Cano-Extremera, M.; Hervás, I.; Falquet Guillem, M.; Gil Juliá, M.; Navarro-Gomezlechon, A.; Pacheco-Rendón, R.M.; Garrido, N. Sperm Selection Using Microfluidic Techniques Significantly Decreases Sperm DNA Fragmentation (SDF), Enhancing Reproductive Outcomes: A Systematic Review and Meta-Analysis. Biology 2025, 14, 792. https://doi.org/10.3390/biology14070792
Gisbert Iranzo A, Cano-Extremera M, Hervás I, Falquet Guillem M, Gil Juliá M, Navarro-Gomezlechon A, Pacheco-Rendón RM, Garrido N. Sperm Selection Using Microfluidic Techniques Significantly Decreases Sperm DNA Fragmentation (SDF), Enhancing Reproductive Outcomes: A Systematic Review and Meta-Analysis. Biology. 2025; 14(7):792. https://doi.org/10.3390/biology14070792
Chicago/Turabian StyleGisbert Iranzo, Alma, Marina Cano-Extremera, Irene Hervás, Mar Falquet Guillem, María Gil Juliá, Ana Navarro-Gomezlechon, Rosa María Pacheco-Rendón, and Nicolás Garrido. 2025. "Sperm Selection Using Microfluidic Techniques Significantly Decreases Sperm DNA Fragmentation (SDF), Enhancing Reproductive Outcomes: A Systematic Review and Meta-Analysis" Biology 14, no. 7: 792. https://doi.org/10.3390/biology14070792
APA StyleGisbert Iranzo, A., Cano-Extremera, M., Hervás, I., Falquet Guillem, M., Gil Juliá, M., Navarro-Gomezlechon, A., Pacheco-Rendón, R. M., & Garrido, N. (2025). Sperm Selection Using Microfluidic Techniques Significantly Decreases Sperm DNA Fragmentation (SDF), Enhancing Reproductive Outcomes: A Systematic Review and Meta-Analysis. Biology, 14(7), 792. https://doi.org/10.3390/biology14070792

