Exploring Tumor Cell–Platelet Biochemical Interactions by Dielectric Measurements of Blood: A Potential Target for Tumor Detection and Staging
Simple Summary
Abstract
1. Introduction
2. Materials and Methods
2.1. Thermodynamic Scheme
2.2. Kluitenberg’s Non-Equilibrium Thermodynamic Synthesis
2.3. Dielectric Relaxations
2.4. Mathematical Approach
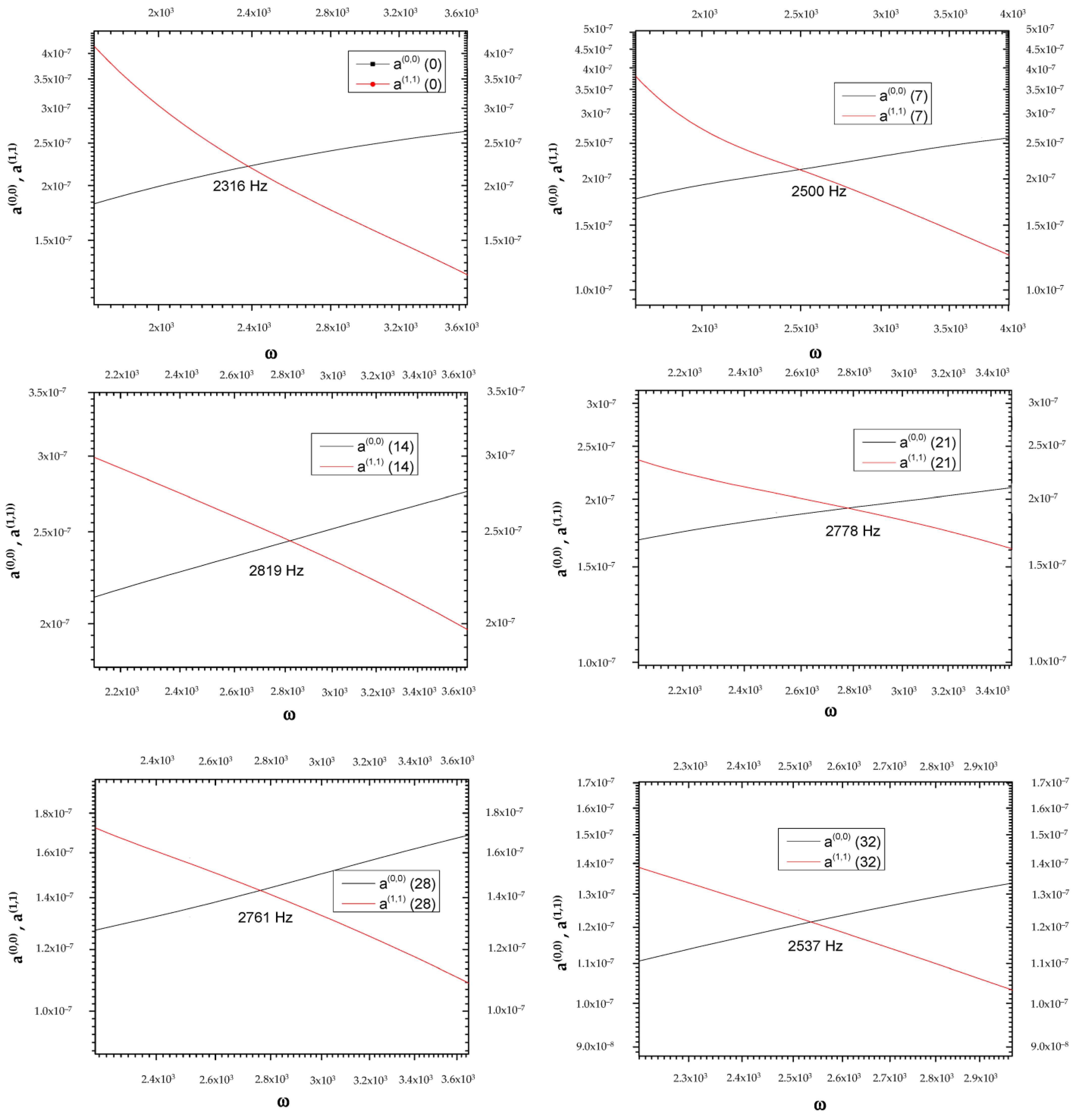
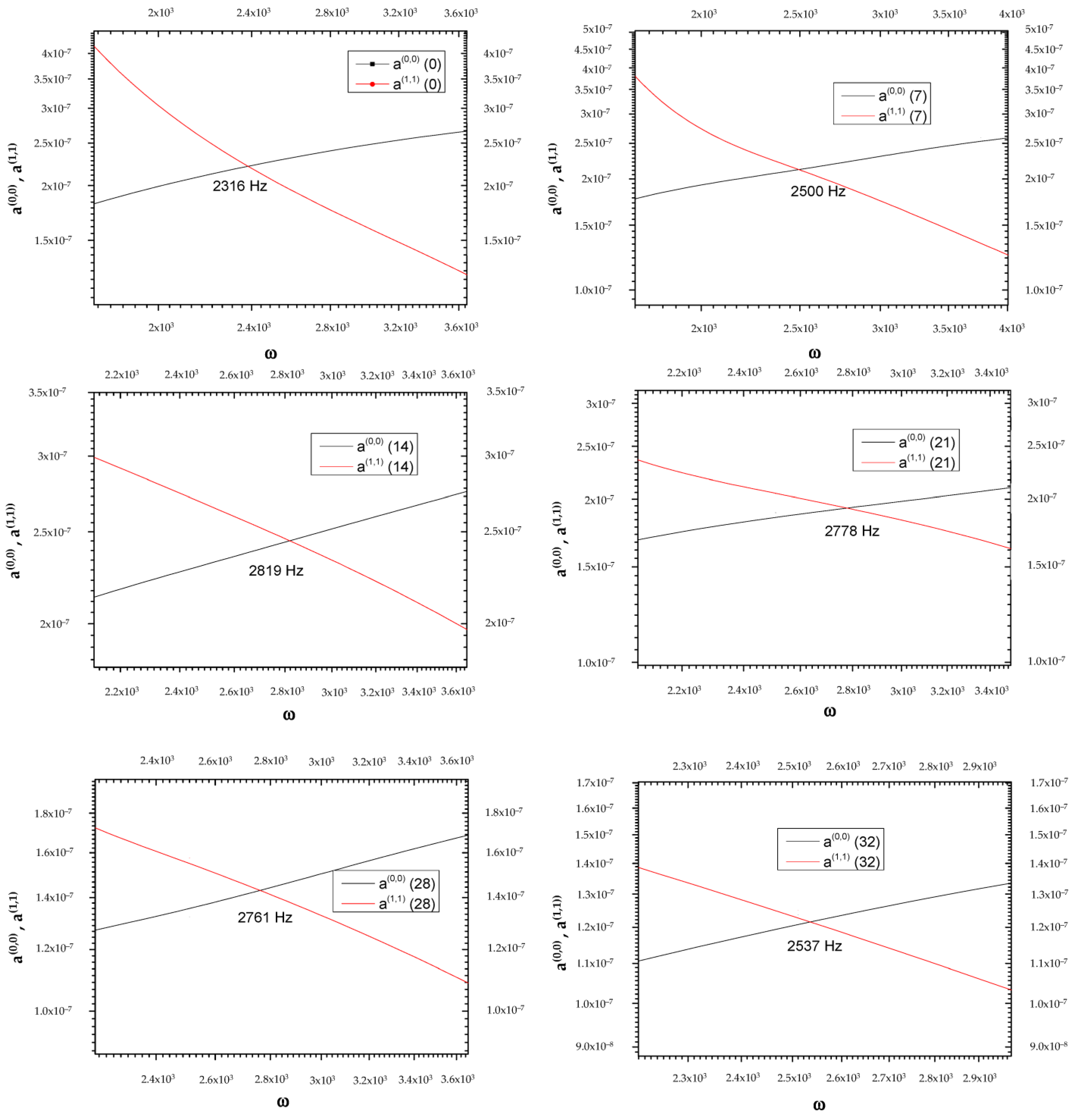
as they are related to polarization by orientation. Let us start with the determination of P(1) by recalling the following [22]:3. Results
4. Discussion
X Phenomena Cause: A Thermodynamic Explanation
5. Conclusions
Author Contributions
Funding
Institutional Review Board Statement
Informed Consent Statement
Data Availability Statement
Conflicts of Interest
Abbreviations
| CTCs | Circulating Tumor Cells |
| CTMs | Circulating Tumor Microemboli |
| CT | Computerized Tomography |
| MRI | Magnetic Resonance Imaging |
| PET | Positron Emission Tomography |
| TTM | Thermodynamic Tumor Matrix |
Appendix A
Appendix B
Glossary
References
- Dimri, M.; Satyanarayana, A. Molecular Signaling Pathways and Therapeutic Targets in Hepatocellular Carcinoma. Cancers 2020, 12, 491. [Google Scholar] [CrossRef] [PubMed]
- Justilien, V.; Fields, A.P. Utility and applications of orthotopic models of human non-small cell lung cancer (NSCLC) for the evaluation of novel and emerging cancer therapeutics. Curr. Protoc. Pharmacol. 2013, 62, 14.27.1–14.27.17. [Google Scholar] [CrossRef]
- Tassi, E.; Wellstein, A. Tumor Angiogenesis: Initiation and Targeting–Therapeutic Targeting of an FGF-Binding Protein, an Angiogenic Switch Molecule, and Indicator of Early Stages of Gastrointestinal Adenocarcinomas. Cancer Res. Treat. 2006, 38, 234–239. [Google Scholar] [CrossRef][Green Version]
- Olofsson, G.H.; Jensen, A.W.P.; Idorn, M.; Straten, P. Exercise Oncology and Immuno-Oncology; A (Future) Dynamic Duo. Int. J. Mol. Sci. 2020, 21, 3816. [Google Scholar] [CrossRef]
- Kuwabara, W.M.T.; Andrade-Silva, J.; Pereira, J.N.B.; Scialfa, J.H.; Cipolla-Neto, J. Neutrophil activation causes tumor regression in Walker 256 tumor bearing rats. Sci. Rep. 2019, 9, 16524. [Google Scholar] [CrossRef] [PubMed]
- Cordaro, A.; Neri, G.; Sciortino, M.T.; Scala, A.; Piperno, A. Graphene-Based Strategies in Liquid Biopsy and in Viral Diseases Diagnosis. Nanomaterials 2020, 10, 1014. [Google Scholar] [CrossRef] [PubMed]
- Donato, C.; Kunz, L.; Castro-Giner, F.; Paasinen-Sohns, A.; Strittmatter, K.; Szczerba, B.M.; Scherrer, R.; Di Maggio, N.; Heusermann, W.; Biehlmaier, O.; et al. Hypoxia triggers the intravasation of clustered circulating tumor cells. Cell Rep. 2020, 32, 108105. [Google Scholar] [CrossRef]
- Labelle, M.; Hynes, R.O. The initial hours of metastasis: The importance of cooperative host-tumor cell interactions during hematogenous dissemination. Cancer Discov. 2012, 2, 1091–1099. [Google Scholar] [CrossRef]
- Liu, X.; Liu, J.; Guan, Y.; Li, H.; Huang, L.; Tang, H.; He, J. Establishment of an orthotopic lung cancer model in nude mice and its evaluation by spiral CT. J. Thorac. Dis. 2012, 4, 141–145. [Google Scholar]
- Liu, F.; Lee, D.H.; Lagoa, R.; Kumar, S. New frontiers in biomedical science and engineering during 2014–2015. Biomed. Mater. Eng. 2015, 26, S3–S7. [Google Scholar] [CrossRef]
- Dong, X.Z. The development of the bioelectric impedance technologies. Chin. J. Med. Phys. 2004, 21, 311–320. [Google Scholar]
- Ermolina, I.; Polevaya, Y.; Feldman, Y.; Ginzburg, B.Z.; Schlesinger, M. Study of normal and malignant white blood cells by time domain dielectric spectroscopy. IEEE Trans. Dielectr. Electr. Insul. 2001, 82, 53–61. [Google Scholar] [CrossRef]
- Egot-Lemaire, S.; Pijanka, J.; Sulé-Suso, J.; Semenov, S. Dielectric spectroscopy of normal and malignant human lung cells at ultra-high frequencies. Phys. Med. Biol. 2009, 54, 2341–2357. [Google Scholar] [CrossRef]
- Chen, X.; Lv, X.; Wang, H. Lung carcinoma recognition by blood dielectric spectroscopy. Bio-Med. Mater. Eng. 2015, 26, S895–S901. [Google Scholar] [CrossRef] [PubMed]
- Kluitenberg, G.A. On dielectric and magnetic relaxation phenomena and non-equilibrium thermodynamics. Physica 1973, 68, 75. [Google Scholar] [CrossRef]
- Kluitenberg, G.A. On dielectric and magnetic relaxation phenomena and vectorial internal degrees. Physical A 1977, 87, 302. [Google Scholar] [CrossRef]
- Kluitenberg, G.A. On vectorial internal variables and dielectric and magnetic relaxation phenomena. Physical A 1981, 109, 91. [Google Scholar] [CrossRef]
- De Groot, S.R.; Mazur, P. Non-Equilibrium Thermodynamics; Dover Publications: New York, NY, USA, 1984. [Google Scholar]
- Farsaci, F.; Ficarra, S.; Russo, A.; Galtieri, A.; Tellone, E. Dielectric properties of human diabetic blood: Thermodynamic characterization and new prospective for alternative diagnostic techniques. J. Adv. Dielectr. 2015, 5, 1550021. [Google Scholar] [CrossRef]
- Farsaci, F.; Tellone, E.; Galtieri, A.; Ficarra, S. A new model for thermodynamic characterization of hemoglobin. Fluids 2019, 4, 135. [Google Scholar] [CrossRef]
- Farsaci, F.; Tellone, E.; Galtieri, A.; Ficarra, S. A new model with internal variables for theoretical thermodynamic characterization of hemoglobin: Entropy determination and comparative study. J. Mol. Liq. 2019, 279, 632–639. [Google Scholar] [CrossRef]
- Farsaci, F.; Tellone, E.; Galtieri, A.; Ficarra, S. A thermodynamic characterization of the phenomena evolving in cancer pathology by dielectric relaxation in blood: A new approach by construction of TTM (Thermodynamic Tumor Matrix). J. Mol. Liq. 2020, 316, 113839. [Google Scholar] [CrossRef]
- Naumov, G.N.; Wilson, S.M.; MacDonald, I.C.; Schmidt, E.E.; Morris, V.L.; Groom, A.C.; Hoffman, R.M.; Chamber, A.F. Cellular expression of green fluorescent protein, coupled with high-resolution in vivo videomicroscopy, to monitor steps in tumor metastasis. J. Cell Sci. 1999, 112, 1835–1842. [Google Scholar] [CrossRef]
- van Zijl, F.; Krupitza, G.; Mikulits, W. Initial steps of metastasis: Cell invasion and endothelial transmigration. Mutat. Res. 2011, 728, 23–34. [Google Scholar] [CrossRef]
- Chambers, A.F.; Groom, A.C.; MacDonald, I.C. Dissemination and growth of cancer cells in metastatic sites. Nat. Rev. Cancer 2002, 2, 563–572. [Google Scholar] [CrossRef] [PubMed]
- Stoletov, K.; Kato, H.; Zardouzian, E.; Kelber, J.; Yang, J.; Shattil, S.; Klemke, R. Visualizing extravasation dynamics of metastatic tumor cells. J. Cell Sci. 2010, 123, 2332–2341. [Google Scholar] [CrossRef]
- Mack, G.; Marshall, A. Lost in migration. Nat. Biotechnol. 2010, 28, 214–229. [Google Scholar] [CrossRef] [PubMed]
- Le, W.; Chen, B.; Cui, Z.; Liu, Z.; Shi, D. Detection of cancer cells based on glycolytic-regulated surface electrical charges. Biophys. Rep. 2019, 5, 10–18. [Google Scholar] [CrossRef]
- Khan, M.A.; Ahmad, R.; Srivastava, A.N. Cancer cell viability and survival in vitro as function of cell surface electric charge: An analytical study. Era’s J. Med. Res. 2015, 2, 67–77. [Google Scholar]
- Charman, R.A. Electrical Properties of Cells and Tissues. In Clayton’s Electrotherapy, 10th ed.; Kitchen, S., Bazin, S., Eds.; WB Saunders Company Ltd.: London, UK, 1996. [Google Scholar]
- Smith, C.; Best, S. Electromagnetic Man; St. Martin’s Press: New York, NY, USA, 1989. [Google Scholar]
- Haltiwanger, S. The Electrical Properties of Cancer Cells. Cells 2010. Available online: http://www.royalrife.com/haltiwanger1.pdf (accessed on 8 May 2025).
- Gowri Sree, V.; Udayakumar, K.; Sundararajan, R. Electric Field Analysis of Breast Tumor Cells. Int. J. Breast Cancer 2011, 2011, 235926. [Google Scholar]
- Cheng, X.; Cheng, K. Visualizing cancer extravasation: From mechanistic studies to drug development. Cancer Metastasis Rev. 2021, 40, 71–88. [Google Scholar] [CrossRef] [PubMed]






| ti Days | wi Hertz |
|---|---|
| 0 | 2316 |
| 7 | 2500 |
| 14 | 2819 |
| 21 | 2778 |
| 28 | 2761 |
| 32 | 2537 |
Disclaimer/Publisher’s Note: The statements, opinions and data contained in all publications are solely those of the individual author(s) and contributor(s) and not of MDPI and/or the editor(s). MDPI and/or the editor(s) disclaim responsibility for any injury to people or property resulting from any ideas, methods, instructions or products referred to in the content. |
© 2025 by the authors. Licensee MDPI, Basel, Switzerland. This article is an open access article distributed under the terms and conditions of the Creative Commons Attribution (CC BY) license (https://creativecommons.org/licenses/by/4.0/).
Share and Cite
Russo, A.; Tellone, E.; Farsaci, F. Exploring Tumor Cell–Platelet Biochemical Interactions by Dielectric Measurements of Blood: A Potential Target for Tumor Detection and Staging. Biology 2025, 14, 542. https://doi.org/10.3390/biology14050542
Russo A, Tellone E, Farsaci F. Exploring Tumor Cell–Platelet Biochemical Interactions by Dielectric Measurements of Blood: A Potential Target for Tumor Detection and Staging. Biology. 2025; 14(5):542. https://doi.org/10.3390/biology14050542
Chicago/Turabian StyleRusso, Annamaria, Ester Tellone, and Francesco Farsaci. 2025. "Exploring Tumor Cell–Platelet Biochemical Interactions by Dielectric Measurements of Blood: A Potential Target for Tumor Detection and Staging" Biology 14, no. 5: 542. https://doi.org/10.3390/biology14050542
APA StyleRusso, A., Tellone, E., & Farsaci, F. (2025). Exploring Tumor Cell–Platelet Biochemical Interactions by Dielectric Measurements of Blood: A Potential Target for Tumor Detection and Staging. Biology, 14(5), 542. https://doi.org/10.3390/biology14050542

