Deep Fertilization Enhances Crude Protein Content in Forage Maize by Modulating Key Enzymes of Protein Synthesis Across Plant Organs in Semi-Arid Regions of China
Simple Summary
Abstract
1. Introduction
2. Materials and Methods
2.1. Experimental Site
2.2. Experimental Design
2.3. Field Sampling
2.4. Sampling and Measurements
2.5. Statistical Analysis
3. Results
3.1. Rainfall and Average Temperature During the Experimental Period
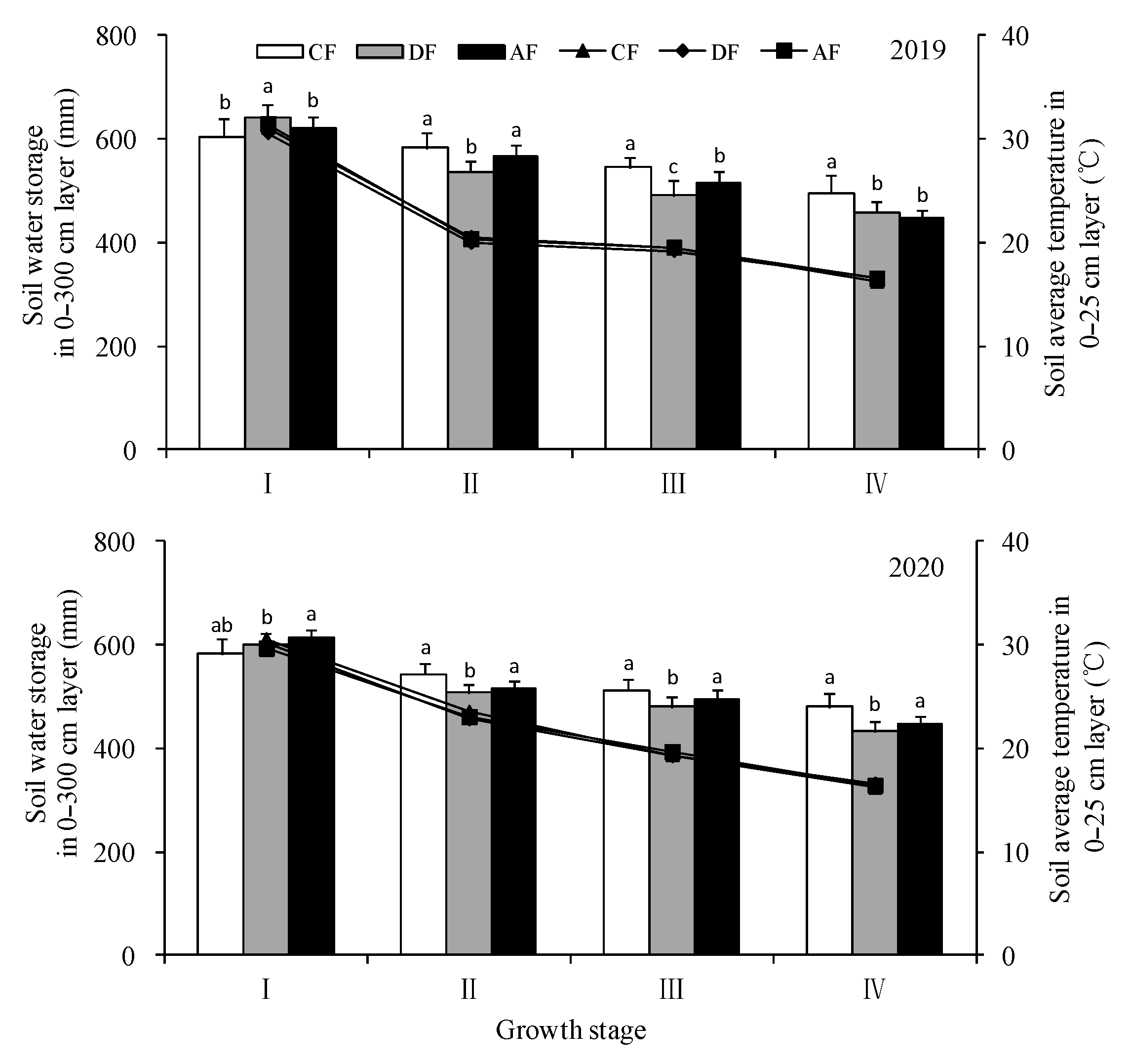
3.2. Effect of Chemical Fertilizer Placement on Soil Average Temperature and Water Storage
3.3. Effect of Chemical Fertilizer Placement on Content of Total N and Total K in Different Forage Maize Organs
3.4. Effect of Chemical Fertilizer Placement on N/K Ratios in Different Forage Maize Organs
3.5. Effect of Fertilization Depth on NR Activity in Different Forage Maize Organs
3.6. Effect of Fertilization Depth on GS Activity in Different Forage Maize Organs
3.7. Effect of Fertilization Depth on GPT Activity in Different Forage Maize Organs
3.8. Crude Protein Content in Different Forage Maize Organs at Different Fertilization Depths
3.9. Correlations Between Activities of Key Enzymes Associated with Crude Protein Synthesis and Crude Protein Content in Forage Maize
3.10. Partial Factor Productivity of N (PFPTN) and K (PFPTk) at Different Fertilization Depths
4. Discussion
4.1. Chemical Fertilizer Placement Significantly Affected Crude Protein Synthesis in Forage Maize
4.2. Chemical Fertilizer Placement Significantly Regulated the Activities of Key Enzymes Associated with Crude Protein Synthesis in Forage Maize
4.3. Chemical Fertilizer Placement Improved Crude Protein Synthesis by Increasing the Activities of Key Enzymes Associated with Protein Synthesis
5. Conclusions
Author Contributions
Funding
Institutional Review Board Statement
Informed Consent Statement
Data Availability Statement
Conflicts of Interest
References
- Lei, Q.X.; Long, J.J.; Liu, W.; Han, H.X.; Li, F.W.; Gao, J.B.; Zhou, Y.; Liu, J.; Cao, D.G. Effects of dietary metabolizable energy and crude protein on growth performance of Yimeng male chicken at 0 to 6 weeks of age. China Poult. 2019, 12, 26–30. [Google Scholar] [CrossRef]
- Liu, F.Y.; Zhao, Y.F.; Wang, J.Y.; Li, Y.F.; Li, W.S.; Zhao, G.X.; Hao, Y.S. Effects of dietary metabolic energy and crude protein levels on laying performance of Ba-shang long-tailed chickens. Feed Res. 2024, 23, 41–46. [Google Scholar] [CrossRef]
- Zhang, H.; Zhang, M.; Chen, Y.M.; Shi, J.W.; Wang, L.X.; Liu, P.; Mao, H.M.; Li, Q. Effects of different dietary crude protein levels on feed conversion and production performance of Binglangjiang buffalo. Feed Res. 2025, 3, 1–6. [Google Scholar] [CrossRef]
- Chen, G.Z.; Cai, T.; Wang, J.Y.; Wang, Y.H.; Ren, L.Q.; Wu, P.; Zhang, P.; Jia, Z.K. Suitable fertilizer application depth enhances the efficient utilization of key resources and improves crop productivity in rainfed farmland on the loess plateau, China. Front. Plant Sci. 2022, 13, 900352. [Google Scholar] [CrossRef]
- Gebre, M.G.; Earl, H.J. Soil water deficit and fertilizer placement effects on root biomass distribution, soil water extraction, water use, yield, and yield components of soybean [Glycine max (L.) Merr.] grown in 1-m rooting columns. Front. Plant Sci. 2021, 12, 581127. [Google Scholar] [CrossRef] [PubMed]
- Ordonez, R.A.; Castellano, M.J.; Danalatos, G.N.; Wright, E.E.; Hatfield, J.L.; Burras, L.; Archontoulis, S.V. Insufficient and excessive N fertilizer input reduces maize root mass across soil types. Field Crops Res. 2021, 267, 108142. [Google Scholar] [CrossRef]
- Wang, Y.; Zhang, X.Y.; Chen, J.; Chen, A.J.; Wang, L.Y.; Guo, X.Y.; Niu, Y.L.; Liu, S.R.; Mi, G.H.; Gao, Q. Reducing basal nitrogen rate to improve maize seedling growth, water and nitrogen use efficiencies under drought stress by optimizing root morphology and distribution. Agric. Water Manag. 2019, 212, 328–337. [Google Scholar] [CrossRef]
- Wang, C.; Zhou, L.B.; Zhang, G.B.; Gao, J.; Peng, F.L.; Zhang, C.L.; Xu, Y.; Zhang, L.Y.; Shao, M.B. Responses of photosynthetic characteristics and dry matter formation in waxy sorghum to row ratio configurations in waxy sorghum-soybean intercropping systems. Field Crops Res. 2021, 263, 108077. [Google Scholar] [CrossRef]
- Zhu, C.H.; Ouyang, Y.Y.; Diao, Y.; Yu, J.Q.; Luo, X.; Zheng, J.G.; Li, X.Y. Effects of mechanized deep placement of nitrogen fertilizer rate and type on rice yield and nitrogen use efficiency in Chuanxi Plain, China. J. Integr. Agric. 2021, 2, 581–592. [Google Scholar] [CrossRef]
- Hong, S.C.; Kim, M.W.; Kim, J.H.; Park, S.J. Understanding the effects of deep fertilization on upland crop cultivation and ammonia emissions using a newly developed deep fertilization device. Korean J. Environ. Agric. 2023, 42, 28–34. [Google Scholar] [CrossRef]
- Ding, X.P.; Li, G.H.; Zhang, J.W.; Liu, P.; Ren, B.C.; Zhao, B. Effects of base application depths of controlled release urea on yield and nitrogen utilization of summer maize. Sci. Agric. Sin. 2020, 53, 4342–4354. [Google Scholar] [CrossRef]
- Wang, J.Y. Effects of Different Fertilization Depth on Growth, Development and Yield of Summer Maize in Guanzhong Area. Ph.D. Thesis, Northwest A&F University, Xianyang, China, 2022. [Google Scholar]
- Zhao, T.P.; Xiao, H.J.; Zhao, H.; Gou, J.L.; Zhao, L.X.; Zhang, M.; Wei, Q.Q.; Qin, S.; Hu, G.; He, C.X. Response of maize yield, biological traits and nutrient utilization and soil fertility to fertilization depth in Guizhou. J. Irrig. Drain. 2020, 39, 21–25. [Google Scholar] [CrossRef]
- Yang, Y.M.; Sun, Y.M.; Jia, L.L.; Jia, S.L.; Meng, C.S. Effects of phosphorus fertilization depth on yield and root distribution of summer maize. Sci. Agric. Sin. 2018, 51, 1518–1526. [Google Scholar] [CrossRef]
- Wen, Y.; Wang, D. Basal fertilization on strips at different soil depths to increase dry matter accumulation and yield of winter wheat. J. Plant Nutr. Fertil. 2017, 23, 1387–1393. [Google Scholar] [CrossRef]
- Yan, H.H.; Wen, Y.; Wang, D. Effects of basal fertilization in strips at different soil depths on flag leaf senescence and photosynthetic characteristics, grain yield and fertilizer use efficiency of winter wheat. Sci. Agric. Sin. 2019, 52, 813–821. [Google Scholar] [CrossRef]
- Yu, X.F.; Zhang, X.C.; Miao, P.G.; Fang, Y.J.; Ma, Y.F.; Wang, H.L.; Hou, H.Z. Effect of deep fertilization on water use efficiency and yield of potato under vertical rotary tillage. J. Agric. Sci. Technol. Rev. 2021, 23, 182–190. [Google Scholar] [CrossRef]
- Li, J.R.; Liu, Q.; Zhang, G.H.; Li, Z.J.; Song, X.Y.; Tai, F.L.; Liu, X.C.; Chang, Y.Y.; Li, G. Effects of layered fertilization by subsoiling and rotary tillage on winter wheat yield and soil phosphorus distribution. J. Hebei Agric. Sci. 2020, 24, 90–93. [Google Scholar] [CrossRef]
- Li, G.S.; Wu, X.B.; Wei, J.L.; Li, Y.; Zhen, F.L.; Cui, R.Z.; Liu, Z.H.; Tan, D.S. Effect of stratified fertilization on yield and nitrogen use efficiency of corn. Shandong Agric. Sci. 2020, 52, 66–71. [Google Scholar] [CrossRef]
- Hou, H.Z.; Zhang, X.C.; Yin, J.D.; Fang, Y.J.; Wang, H.L.; Yu, X.F.; Ma, Y.F.; Zhang, G.P.; Lei, K.N. Effects of deep and layered application of reduced chemical nitrogen fertilizer on water, nutrient utilization and yield of spring wheat in rain-fed arid area. Sci. Agric. Sin. 2022, 55, 3289–3302. [Google Scholar] [CrossRef]
- Liang, H.; Chen, B.C.; Han, H.F.; Wang, S.B.; Wang, G.W.; Chen, J.Q. Effects of layered application of common fertilizer and controlled-release bulk-blend fertilizer on wheat growth. J. Soil Water Conserv. 2018, 32, 240–245. [Google Scholar] [CrossRef]
- Li, B.; Wang, G.Y.; Chen, Z.Y.; Xue, J.X.; Chen, Z.P.; Gong, Y.; Zhang, J.W.; Duan, W.W. Effects of layered fertilization on yield and water use efficiency of winter wheat under different irrigation conditions. J. Soil Water Conserv. 2021, 35, 326–332. [Google Scholar] [CrossRef]
- Wang, H.L.; Zhang, X.C.; Zhang, G.P.; Fang, Y.J.; Hou, H.Z.; Lei, K.N.; Ma, Y.F. Regulation of density and fertilization on crude protein synthesis in forage maize in a semiarid rainfed area. Agriculture 2023, 13, 715. [Google Scholar] [CrossRef]
- Yao, Y.L.; Zhang, M.; Tian, Y.H.; Zhang, B.W.; Zhao, M.; Zeng, K.; Yin, B. Urea deep placement for minimizing NH3 loss in an intensive rice cropping system. Field Crops Res. 2018, 218, 254–266. [Google Scholar] [CrossRef]
- Farmaha, B.S.; Fernández, F.G.; Nafziger, E.D. Distribution of soybean roots, soil water, phosphorus and potassium concentrations with broadcast and subsurface-band fertilization. Soil Sci. Soc. Am. J. 2012, 76, 1079–1089. [Google Scholar] [CrossRef]
- Gong, Y.; Duan, W.W.; Wang, G.Y.; Chen, Z.P.; Chen, Z.Y.; Xue, J.X.; Li, B. Effects of layered bottom application of slow- release fertilizer on growth, dry matter accumulation and yield of summer maize. Henan Agric. Sci. 2019, 48, 41–46. [Google Scholar] [CrossRef]
- Wu, P.; Liu, F.; Chen, G.Z.; Wang, J.Y.; Huang, F.Y.; Cai, T.; Zhang, P.; Jia, Z.K. Can deep fertilizer application enhance maize productivity by delaying leaf senescence and decreasing nitrate residue levels? Field Crops Res. 2021, 277, 108417. [Google Scholar] [CrossRef]
- Xiang, F.; Li, W.; Liu, H.Y.; Zhou, L.Y.; Yin, X.; Zeng, Z.X. Effects of nitrogen levels on key enzyme activities and non-structural carbohydrates in nitrogen metabolism in tea leaves. Acta Ecol. Sin. 2019, 39, 9052–9057. [Google Scholar] [CrossRef]
- Wu, P.; Wang, Y.F.; Zhang, Y.F.; Chen, T.Y.; Yang, L.; Xue, Y.W.; Yang, K.J. Effects of slow-release urea combined with common urea application layered in different soil depths on soil nitrogen, enzyme activity, and maize yield. Chin. J. Appl. Ecol. 2020, 31, 129–138. [Google Scholar] [CrossRef]
- Zhang, M.W.; Ma, D.Y.; Ma, G.; Wang, C.Y.; Xie, X.D.; Kang, G.Z. Responses of glutamine synthetase activity and gene expression to nitrogen levels in winter wheat cultivars with different grain protein content. J. Cereal Sci. 2017, 74, 187–193. [Google Scholar] [CrossRef]
- Zhao, M.Y.; Feng, Y.P.; Shi, Y.; Shen, H.H.; Hu, H.F.; Luo, Y.K.; Xu, L.C.; Kang, J.; Xing, A.J.; Wang, S.P.; et al. Yield and quality properties of silage maize and their influencing factors in China. Sci. China Life Sci. 2023, 65, 1655–1666. [Google Scholar] [CrossRef]
- Wu, Y.W.; Pu, W.; Zhao, B.; Wei, G.; Kong, F.L.; Yuan, J.C. Characteristics of Post-Anthesis Carbon and Nitrogen Accumulation and Translocation in Maize Cultivars with Different Low Nitrogen Tolerance. Acta Agron. Sin. 2021, 47, 915–928. [Google Scholar] [CrossRef]
- Hou, P.F.; Yuan, W.S.; Li, G.H.; Petropoulos, E.; Xue, L.X.; Feng, Y.F.; Xue, L.H.; Yang, L.Z.; Ding, Y.F. Deep fertilization with controlled-release fertilizer for higher cereal yield and N utilization in paddies: The optimal fertilization depth. Agron. J. 2021, 113, 5027–5039. [Google Scholar] [CrossRef]
- Zhang, G.X.; Meng, W.H.; Pan, W.H.; Han, J.; Liao, Y.C. Effect of soil water content changes caused by ridge-furrow plastic film mulching on the root distribution and water use pattern of spring maize in the Loess Plateau. Agric. Water Manag. 2022, 261, 107338. [Google Scholar] [CrossRef]
- Meng, Y.; Liu, Z.Y.; Li, J.; Gu, W.R.; Wei, S. Effects of nitrogen rate on grain yield and quality and key enzyme metabolism of spring maize under high density. Southwest China J. Agric. Sci. 2020, 33, 1146–1152. [Google Scholar] [CrossRef]
- Luo, F.; Gong, X.J.; Zhang, T.; Du, X. Effects of nitrogen, phosphorus and potassium on photo-biological characteristics and amino acid components of tea plants in spring. J. Plant Nutr. Fertil. 2015, 21, 147–155. [Google Scholar] [CrossRef]












| Year | Treatment | Yield of Crude Protein (Kg ha−1) | Nitrogen Rate (Kg ha−1) | PFPTN (Kg kg−1) | Potassium Rate (Kg ha−1) | PFPTk (Kg ha−1) |
|---|---|---|---|---|---|---|
| 2019 | CF | 5917.22 b | 300.00 | 19.72b | 135.00 | 43.83 b |
| DF | 7024.46 a | 300.00 | 23.41a | 135.00 | 52.03 a | |
| AF | 6117.23 b | 300.00 | 20.39b | 135.00 | 45.31 b | |
| CF | 5393.56 c | 300.00 | 17.98c | 135.00 | 39.95 c | |
| 2020 | DF | 8922.81 a | 300.00 | 29.74a | 135.00 | 66.09 a |
| AF | 6535.06 b | 300.00 | 21.78b | 135.00 | 48.41 b |
Disclaimer/Publisher’s Note: The statements, opinions and data contained in all publications are solely those of the individual author(s) and contributor(s) and not of MDPI and/or the editor(s). MDPI and/or the editor(s) disclaim responsibility for any injury to people or property resulting from any ideas, methods, instructions or products referred to in the content. |
© 2025 by the authors. Licensee MDPI, Basel, Switzerland. This article is an open access article distributed under the terms and conditions of the Creative Commons Attribution (CC BY) license (https://creativecommons.org/licenses/by/4.0/).
Share and Cite
Wang, H.; Zhang, G.; Yang, S.; Ma, M.; Fang, Y.; Hou, H.; Lei, K.; Yin, J. Deep Fertilization Enhances Crude Protein Content in Forage Maize by Modulating Key Enzymes of Protein Synthesis Across Plant Organs in Semi-Arid Regions of China. Biology 2025, 14, 535. https://doi.org/10.3390/biology14050535
Wang H, Zhang G, Yang S, Ma M, Fang Y, Hou H, Lei K, Yin J. Deep Fertilization Enhances Crude Protein Content in Forage Maize by Modulating Key Enzymes of Protein Synthesis Across Plant Organs in Semi-Arid Regions of China. Biology. 2025; 14(5):535. https://doi.org/10.3390/biology14050535
Chicago/Turabian StyleWang, Hongli, Guoping Zhang, Sicun Yang, Mingsheng Ma, Yanjie Fang, Huizhi Hou, Kangning Lei, and Jiade Yin. 2025. "Deep Fertilization Enhances Crude Protein Content in Forage Maize by Modulating Key Enzymes of Protein Synthesis Across Plant Organs in Semi-Arid Regions of China" Biology 14, no. 5: 535. https://doi.org/10.3390/biology14050535
APA StyleWang, H., Zhang, G., Yang, S., Ma, M., Fang, Y., Hou, H., Lei, K., & Yin, J. (2025). Deep Fertilization Enhances Crude Protein Content in Forage Maize by Modulating Key Enzymes of Protein Synthesis Across Plant Organs in Semi-Arid Regions of China. Biology, 14(5), 535. https://doi.org/10.3390/biology14050535
