Non-Linear Association Between Phase Angle and Body Fat in a Sample of US Adults
Simple Summary
Abstract
1. Introduction
2. Materials and Methods
2.1. The Sample
2.2. Measurements
2.3. Statistical Analysis
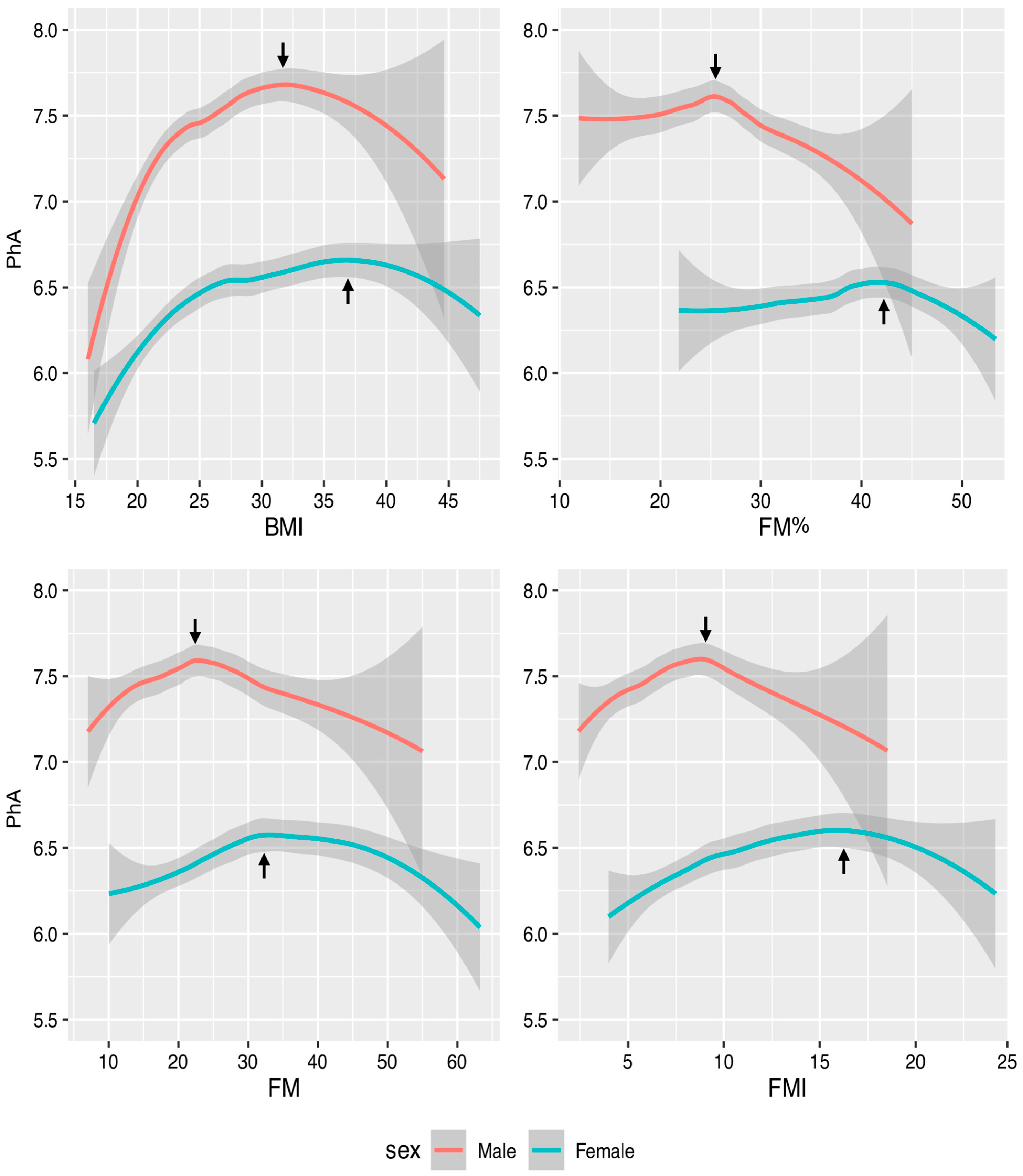
3. Results
4. Discussion
5. Conclusions
Supplementary Materials
Author Contributions
Funding
Institutional Review Board Statement
Informed Consent Statement
Data Availability Statement
Conflicts of Interest
References
- Bellido, D.; García-García, C.; Talluri, A.; Lukaski, H.C.; García-Almeida, J.M. Future Lines of Research on Phase Angle: Strengths and Limitations. Rev. Endocr. Metab. Disord. 2023, 24, 563–583. [Google Scholar] [CrossRef] [PubMed]
- Ward, L.C.; Brantlov, S. Bioimpedance Basics and Phase Angle Fundamentals. Rev. Endocr. Metab. Disord. 2023, 24, 381–391. [Google Scholar] [CrossRef] [PubMed]
- Lukaski, H.C.; Garcia-Almeida, J.M. Phase Angle in Applications of Bioimpedance in Health and Disease. Rev. Endocr. Metab. Disord. 2023, 24, 367–370. [Google Scholar] [CrossRef] [PubMed]
- Barbosa-Silva, M.C.G.; Barros, A.J.D.; Wang, J.; Heymsfield, S.B.; Pierson, R.N. Bioelectrical Impedance Analysis: Population Reference Values for Phase Angle by Age and Sex. Am. J. Clin. Nutr. 2005, 82, 49–52. [Google Scholar] [CrossRef]
- Marini, E.; Buffa, R.; Gobbo, L.A.; Salinas-Escudero, G.; Stagi, S.; García-Peña, C.; Sánchez-García, S.; Carrillo-Vega, M.F. Interpopulation Similarity of Sex and Age-Related Body Composition Variations Among Older Adults. Int. J. Environ. Res. Public Health 2020, 17, 6047. [Google Scholar] [CrossRef]
- Mundstock, E.; Amaral, M.A.; Baptista, R.R.; Sarria, E.E.; Dos Santos, R.R.G.; Filho, A.D.; Rodrigues, C.A.S.; Forte, G.C.; Castro, L.; Padoin, A.V.; et al. Association between Phase Angle from Bioelectrical Impedance Analysis and Level of Physical Activity: Systematic Review and Meta-Analysis. Clin. Nutr. Edinb. Scotl. 2019, 38, 1504–1510. [Google Scholar] [CrossRef]
- Rosa, G.B.; Lukaski, H.C.; Sardinha, L.B. The Science of Bioelectrical Impedance-Derived Phase Angle: Insights from Body Composition in Youth. Rev. Endocr. Metab. Disord. 2025, 26, 603–624. [Google Scholar] [CrossRef]
- Gonzalez, M.C.; Barbosa-Silva, T.G.; Bielemann, R.M.; Gallagher, D.; Heymsfield, S.B. Phase Angle and Its Determinants in Healthy Subjects: Influence of Body Composition. Am. J. Clin. Nutr. 2016, 103, 712–716. [Google Scholar] [CrossRef]
- Marini, E.; Campa, F.; Buffa, R.; Stagi, S.; Matias, C.N.; Toselli, S.; Sardinha, L.B.; Silva, A.M. Phase Angle and Bioelectrical Impedance Vector Analysis in the Evaluation of Body Composition in Athletes. Clin. Nutr. 2020, 39, 447–454. [Google Scholar] [CrossRef]
- Hirano, Y.; Yamada, Y.; Matsui, Y.; Ota, S.; Arai, H. Lower Limb Muscle Quality and Phase Angle Contribute to the Reduced Walking Speed among Older Adults. Geriatr. Gerontol. Int. 2022, 22, 603–609. [Google Scholar] [CrossRef]
- Di Vincenzo, O.; Marra, M.; Sacco, A.M.; Pasanisi, F.; Scalfi, L. Bioelectrical Impedance (BIA)-Derived Phase Angle in Adults with Obesity: A Systematic Review. Clin. Nutr. Edinb. Scotl. 2021, 40, 5238–5248. [Google Scholar] [CrossRef]
- Cancello, R.; Brunani, A.; Brenna, E.; Soranna, D.; Bertoli, S.; Zambon, A.; Lukaski, H.C.; Capodaglio, P. Phase Angle (PhA) in Overweight and Obesity: Evidence of Applicability from Diagnosis to Weight Changes in Obesity Treatment. Rev. Endocr. Metab. Disord. 2023, 24, 451–464. [Google Scholar] [CrossRef]
- Martins, P.C.; Alves Junior, C.A.S.; Silva, A.M.; Silva, D.A.S. Phase Angle and Body Composition: A Scoping Review. Clin. Nutr. ESPEN 2023, 56, 237–250. [Google Scholar] [CrossRef]
- Bosy-Westphal, A.; Danielzik, S.; Dörhöfer, R.-P.; Later, W.; Wiese, S.; Müller, M.J. Phase Angle from Bioelectrical Impedance Analysis: Population Reference Values by Age, Sex, and Body Mass Index. JPEN J. Parenter. Enteral Nutr. 2006, 30, 309–316. [Google Scholar] [CrossRef]
- Barrea, L.; Muscogiuri, G.; Laudisio, D.; Di Somma, C.; Salzano, C.; Pugliese, G.; de Alteriis, G.; Colao, A.; Savastano, S. Phase Angle: A Possible Biomarker to Quantify Inflammation in Subjects with Obesity and 25(OH)D Deficiency. Nutrients 2019, 11, 1747. [Google Scholar] [CrossRef]
- Brunani, A.; Perna, S.; Soranna, D.; Rondanelli, M.; Zambon, A.; Bertoli, S.; Vinci, C.; Capodaglio, P.; Lukaski, H.; Cancello, R. Body Composition Assessment Using Bioelectrical Impedance Analysis (BIA) in a Wide Cohort of Patients Affected with Mild to Severe Obesity. Clin. Nutr. Edinb. Scotl. 2021, 40, 3973–3981. [Google Scholar] [CrossRef] [PubMed]
- Luo, X.; Jin, W. Age-Related Changes in Bioelectrical Impedance Analysis-Derived Phase Angle (PhA) and the Association between PhA and Sarcopenic Obesity in Chinese Adults. Medicine 2025, 104, e41122. [Google Scholar] [CrossRef] [PubMed]
- Guida, B.; Trio, R.; Pecoraro, P.; Gerardi, M.C.; Laccetti, R.; Nastasi, A.; Falconi, C. Impedance Vector Distribution by Body Mass Index and Conventional Bioelectrical Impedance Analysis in Obese Women. Nutr. Metab. Cardiovasc. Dis. 2003, 13, 72–79. [Google Scholar] [CrossRef] [PubMed]
- Fu, L.; Ren, Z.; Liu, X.; Wu, N.; Zhao, K.; Luo, G.; Yang, H.; Zhang, Y.; Yan, T.; Liu, Y.; et al. Reference Data of Phase Angle Using Bioelectrical Impedance Analysis in Overweight and Obese Chinese. Front. Endocrinol. 2022, 13, 924199. [Google Scholar] [CrossRef]
- Ferraz, V.D.; da Costa Pereira, J.P.; Pinho Ramiro, C.P.S.; Floro Arcoverde, G.M.P.; Rodrigues, I.G.; Chagas, C.L.; de Queiroz, J.R.A.J.; de Lemos, M.C.C.; da Silva Diniz, A.; de Arruda, I.K.G. Is Phase Angle Associated with Visceral Adiposity and Cardiometabolic Risk in Cardiology Outpatients? Eur. J. Clin. Nutr. 2024, 78, 527–533. [Google Scholar] [CrossRef]
- Xiao, Q.; Xie, N.; Xiang, X.; Cao, T.; Xie, Y.; Liang, X.; Su, X. The Value of the Phase Angle of Bioelectrical Impedance Analysis to Predict Malnutrition in Hemodialysis Patients. Front. Nephrol. 2025, 5, 1478367. [Google Scholar] [CrossRef] [PubMed]
- Langer, R.D.; de Fatima Guimarães, R.; Gonçalves, E.M.; Guerra-Junior, G.; de Moraes, A.M. Phase Angle Is Determined by Body Composition and Cardiorespiratory Fitness in Adolescents. Int. J. Sports Med. 2020, 41, 610–615. [Google Scholar] [CrossRef] [PubMed]
- Streb, A.R.; Hansen, F.; Gabiatti, M.P.; Tozetto, W.R.; Del Duca, G.F. Phase Angle Associated with Different Indicators of Health-Related Physical Fitness in Adults with Obesity. Physiol. Behav. 2020, 225, 113104. [Google Scholar] [CrossRef]
- Skrzypek, M.; Szponar, B.; Drop, B.; Panasiuk, L.; Malm, M. Anthropometric, Body Composition and Behavioural Predictors of Bioelectrical Impedance Phase Angle in Polish Young Adults—Preliminary Results. Ann. Agric. Environ. Med. 2020, 27, 91–98. [Google Scholar] [CrossRef]
- Bennouar, S.; Bachir Cherif, A.; Raaf, N.; Hani, H.M.; Kessira, A.; Abdi, S. Raw Bioelectrical Impedance Parameters and Vector Analysis in the Screening of Low Muscle Mass and Low Muscle Mass Associated with Obesity in Adult Healthy Subjects. Intern. Emerg. Med. 2025, 20, 709–722. [Google Scholar] [CrossRef]
- Pérez Camargo, D.A.; Allende Pérez, S.R.; Rivera Franco, M.M.; Álvarez Licona, N.E.; Urbalejo Ceniceros, V.I.; Figueroa Baldenegro, L.E. Phase Angle of Bioelectrical Impedance Analysis as Prognostic Factor in Palliative Care Patients at the National Cancer Institute in Mexico. Nutr. Cancer 2017, 69, 601–606. [Google Scholar] [CrossRef]
- Centers for Disease Control and Prevention (CDC); National Center for Health Statistics (NCHS). National Health and Nutrition Examination Survey Data. Hyattsville, MD. U.S. Department of Health and Human Services, Centers for Disease Control and Prevention. 2012. Available online: https://wwwn.cdc.gov/nchs/nhanes/search/DataPage.aspx?Component=Examination&Cycle=2003-2004 (accessed on 9 February 2012).
- NHANES. Body Composition Procedures Manual. Internet. 2004. Available online: https://wwwn.cdc.gov/nchs/data/nhanes/public/2003/manuals/bc.pdf (accessed on 9 February 2012).
- HYDRA ECF/ICF Bio-Impedance Spectrum Analyzer (Model 4200); Operating Manual, Revision 1.01; Xitron Technologies, Inc.: San Diego, CA, USA, 1997.
- Cole, K.S. Membranes, Ions, and Impulses; University of California Press: Oakland, CA, USA, 1997. [Google Scholar]
- De Lorenzo, A.; Andreoli, A.; Matthie, J.; Withers, P. Predicting Body Cell Mass with Bioimpedance by Using Theoretical Methods: A Technological Review. J. Appl. Physiol. 1997, 82, 1542–1558. [Google Scholar] [CrossRef]
- Kuczmarski, R.J.; Ogden, C.L.; Guo, S.S.; Grummer-Strawn, L.M.; Flegal, K.M.; Mei, Z.; Wei, R.; Curtin, L.R.; Roche, A.F.; Johnson, C.L. 2000 CDC Growth Charts for the United States: Methods and Development; Vital Health Statistics 11; Department of Health and Human Services: Hyattsville, MD, USA, 2002; pp. 1–190. [Google Scholar]
- NHANES. Anthropometry Procedures Manual. 2004. Available online: https://wwwn.cdc.gov/nchs/data/nhanes/public/2003/manuals/bm.pdf (accessed on 9 February 2012).
- VanItallie, T.; Yang, M.; Heymsfield, S.; Funk, R.; Boileau, R. Height-Normalized Indices of the Body’s Fat-Free Mass and Fat Mass: Potentially Useful Indicators of Nutritional Status. Am. J. Clin. Nutr. 1990, 52, 953–959. [Google Scholar] [CrossRef]
- Hastie, T.; Tibshirani, R.; Friedman, J. The Elements of Statistical Learning; Springer Series in Statistics; Springer: New York, NY, USA, 2009; ISBN 978-0-387-84857-0. [Google Scholar]
- Benjamin, D.J.; Berger, J.O.; Johannesson, M.; Nosek, B.A.; Wagenmakers, E.-J.; Berk, R.; Bollen, K.A.; Brembs, B.; Brown, L.; Camerer, C.; et al. Redefine Statistical Significance. Nat. Hum. Behav. 2018, 2, 6–10. [Google Scholar] [CrossRef]
- Wells, J.C.K.; Fewtrell, M.S.; Williams, J.E.; Haroun, D.; Lawson, M.S.; Cole, T.J. Body Composition in Normal Weight, Overweight and Obese Children: Matched Case-Control Analyses of Total and Regional Tissue Masses, and Body Composition Trends in Relation to Relative Weight. Int. J. Obes. 2006, 30, 1506–1513. [Google Scholar] [CrossRef]
- Marini, E.; Stagi, S.; Cabras, S.; Comandini, O.; Ssensamba, J.T.; Fewtrell, M.; Busert-Sebela, L.; Saville, N.M.; Earthman, C.P.; Silva, A.M.; et al. Associations of Bioelectrical Impedance and Anthropometric Variables among Populations and within the Full Spectrum of Malnutrition. Nutrition 2024, 127, 112550. [Google Scholar] [CrossRef] [PubMed]
- Marini, E.; Sulis, S.; Vorobel’ová, L.; Stagi, S. Specific Bioelectrical Vectors Pattern in Individuals with Sarcopenic Obesity. Clin. Nutr. 2024, 43, 620–628. [Google Scholar] [CrossRef] [PubMed]
- Potter, A.W.; Chin, G.C.; Looney, D.P.; Friedl, K.E. Defining Overweight and Obesity by Percent Body Fat Instead of Body Mass Index. J. Clin. Endocrinol. Metab. 2025, 110, e1103–e1107. [Google Scholar] [CrossRef] [PubMed]
- Buffa, R.; Saragat, B.; Cabras, S.; Rinaldi, A.C.; Marini, E. Accuracy of Specific BIVA for the Assessment of Body Composition in the United States Population. PLoS ONE 2013, 8, e58533. [Google Scholar] [CrossRef]
- Ellulu, M.S.; Patimah, I.; Khaza’ai, H.; Rahmat, A.; Abed, Y. Obesity and Inflammation: The Linking Mechanism and the Complications. Arch. Med. Sci. 2017, 4, 851–863. [Google Scholar] [CrossRef]
- Tomeleri, C.M.; Cavaglieri, C.R.; de Souza, M.F.; Cavalcante, E.F.; Antunes, M.; Nabbuco, H.C.G.; Venturini, D.; Barbosa, D.S.; Silva, A.M.; Cyrino, E.S. Phase Angle Is Related with Inflammatory and Oxidative Stress Biomarkers in Older Women. Exp. Gerontol. 2018, 102, 12–18. [Google Scholar] [CrossRef]
- da Silva, B.R.; Orsso, C.E.; Gonzalez, M.C.; Sicchieri, J.M.F.; Mialich, M.S.; Jordao, A.A.; Prado, C.M. Phase Angle and Cellular Health: Inflammation and Oxidative Damage. Rev. Endocr. Metab. Disord. 2023, 24, 543–562. [Google Scholar] [CrossRef]
- Waki, M.; Kral, J.G.; Mazariegos, M.; Wang, J.; Pierson, R.N.; Heymsfield, S.B. Relative Expansion of Extracellular Fluid in Obese vs. Nonobese Women. Am. J. Physiol. 1991, 261, E199–E203. [Google Scholar] [CrossRef]
- Dittmar, M. Reliability and Variability of Bioimpedance Measures in Normal Adults: Effects of Age, Gender, and Body Mass. Am. J. Phys. Anthropol. 2003, 122, 361–370. [Google Scholar] [CrossRef]

| Men (n = 810) (Mean ± SD) | Women (n = 723) (Mean ± SD) | Men vs Women t-Test | p-Value | |
|---|---|---|---|---|
| Age | 34.2 ± 8.6 | 35.3 ± 8.4 | −2.53 | 0.012 |
| Height (cm) | 175.6 ± 7.6 | 162.6 ± 6.6 | 35.56 | ~0.000 |
| Weight (kg) | 83.9 ± 15.7 | 73.6 ± 17.4 | 12.18 | ~0.000 |
| R (ohm) | 464.0 ± 60.5 | 562.7 ± 76.9 | −28.07 | ~0.000 |
| Xc (ohm) | 60.3 ± 8.2 | 62.9 ± 8.5 | −6.09 | ~0.000 |
| PhA (°) | 7.5 ± 0.8 | 6.5 ± 0.7 | 25.91 | ~0.000 |
| FM (kg) | 23.0 ± 8.2 | 29.7 ± 11.2 | −13.46 | ~0.000 |
| FM% | 26.6 ± 5.7 | 38.8 ± 6.5 | −39.15 | ~0.000 |
| FMI (kg/m2) | 7.5 ± 2.6 | 11.2 ± 4.2 | −20.97 | ~0.000 |
| BMI (kg/m2) | 27.2 ± 4.6 | 27.9 ± 6.4 | −2.48 | 0.013 |
| F | p | Exp. Variance (%) | |
|---|---|---|---|
| BMI (kg/m2) | |||
| Men | 12.57 | ~0.000 | 8.25 |
| Women | 13.72 | ~0.000 | 7.96 |
| FM (kg) | |||
| Men | 2.35 | 0.0680 | 1.16 |
| Women | 5.04 | 0.0017 | 2.50 |
| FMI (kg/m2) | |||
| Men | 3.35 | 0.0182 | 1.54 |
| Women | 7.50 | 0.0001 | 3.17 |
| FM % | |||
| Men | 3.72 | 0.0146 | 1.46 |
| Women | 1.36 | 0.3580 | 0.58 |
Disclaimer/Publisher’s Note: The statements, opinions and data contained in all publications are solely those of the individual author(s) and contributor(s) and not of MDPI and/or the editor(s). MDPI and/or the editor(s) disclaim responsibility for any injury to people or property resulting from any ideas, methods, instructions or products referred to in the content. |
© 2025 by the authors. Licensee MDPI, Basel, Switzerland. This article is an open access article distributed under the terms and conditions of the Creative Commons Attribution (CC BY) license (https://creativecommons.org/licenses/by/4.0/).
Share and Cite
Frau, F.; Pizzo Junior, E.; Cabras, S.; Massidda, M.; Marini, E. Non-Linear Association Between Phase Angle and Body Fat in a Sample of US Adults. Biology 2025, 14, 1621. https://doi.org/10.3390/biology14111621
Frau F, Pizzo Junior E, Cabras S, Massidda M, Marini E. Non-Linear Association Between Phase Angle and Body Fat in a Sample of US Adults. Biology. 2025; 14(11):1621. https://doi.org/10.3390/biology14111621
Chicago/Turabian StyleFrau, Federica, Eduardo Pizzo Junior, Stefano Cabras, Myosotis Massidda, and Elisabetta Marini. 2025. "Non-Linear Association Between Phase Angle and Body Fat in a Sample of US Adults" Biology 14, no. 11: 1621. https://doi.org/10.3390/biology14111621
APA StyleFrau, F., Pizzo Junior, E., Cabras, S., Massidda, M., & Marini, E. (2025). Non-Linear Association Between Phase Angle and Body Fat in a Sample of US Adults. Biology, 14(11), 1621. https://doi.org/10.3390/biology14111621

