Microsatellite Markers Developed Based on Transcriptomic Data Reveal the Genetic Diversity and Population Genetic Structure of Angulyagra polyzonata in Guangxi, China
Simple Summary
Abstract
1. Introduction
2. Materials and Methods
2.1. Experimental Materials and DNA Extraction
2.2. Library Construction and SSR Search
2.3. SSR Clustering and Polymorphism Assessment
2.4. Design of SSR Primers
2.5. Verification of SSR Loci and Screening of Polymorphisms
2.6. Data Processing and Analysis
3. Results
3.1. The Number and Distribution of SSR Loci
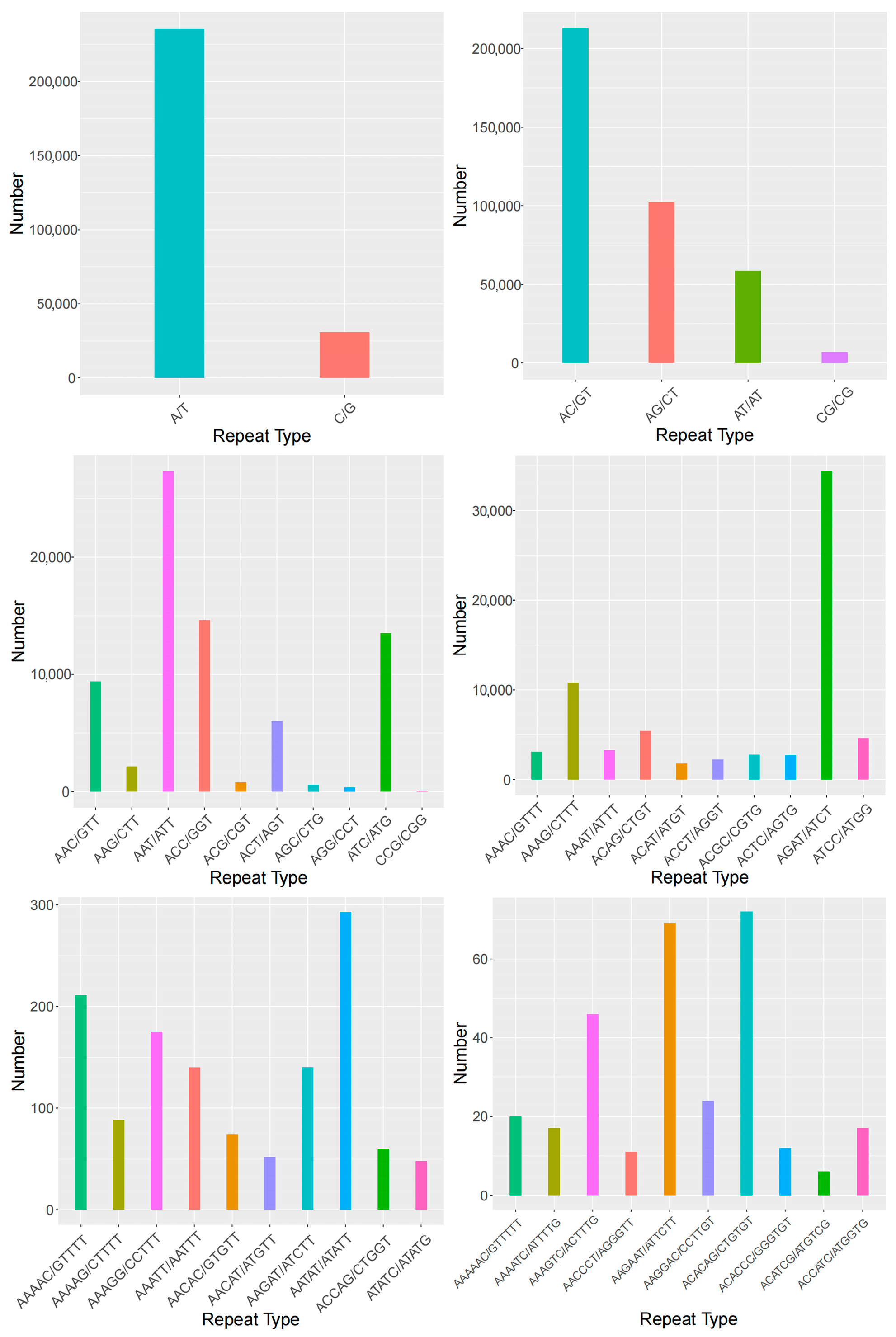
3.2. SSR Repetitive Type and Characteristics
3.3. Primer Polymorphism Analysis
3.4. Genetic Diversity Analysis
3.5. Genetic Differentiation
3.6. Population Genetic Structure
4. Discussion
5. Conclusions
Supplementary Materials
Author Contributions
Funding
Institutional Review Board Statement
Informed Consent Statement
Data Availability Statement
Acknowledgments
Conflicts of Interest
References
- Zhang, L.J.; Yen, Y.H.; Chen, Z.Y.; Du, L.N.; Ng, T.H.; von Rintelen, T. A new genus of river snails, Bakyietaia (Mollusca, Viviparidae), from South China and the Indochinese Peninsula. Eur. J. Taxon. 2025, 1005, 1–64. [Google Scholar] [CrossRef]
- Zhang, S.; Zhou, K.; Pan, X.; Yang, Y.; Zhang, C.; Peng, J.; Li, W.; Wang, D. Analysis of nutrient constituents and flavor substances in gastropod and visceral mass of Angulyagra polyzonata. Freshw. Fish. 2024, 54, 87–95. [Google Scholar]
- Yao, J.; Wen, L.; Ling, L.; Wan, P.; Wang, R.; Guan, W.; Wang, Q.; Chen, D.-W. Analysis of key aroma-active compounds in cooked river snail (Sinotaia quadrata) meat. Appl. Food Res. 2025, 5, 100736. [Google Scholar] [CrossRef]
- Wei, X.; Zhou, K.; Zou, X.; Zhang, X.; Li, Y.; Luo, H.; Huang, Y.; Du, X.; Qin, J.; Chen, Z. Microsatellite analyses reveal genetic diversity and population structure of Cipangopaludina chinensis in Guangxi, China. Aquac. Rep. 2025, 40, 102645. [Google Scholar] [CrossRef]
- Duan, B.; Kang, T.; Wan, H.; Liu, W.; Zhang, F.; Mu, S.; Guan, Y.; Li, Z.; Tian, Y.; Kang, X. Microsatellite markers reveal genetic diversity and population structure of Portunus trituberculatus in the Bohai Sea, China. Sci. Rep. 2023, 13, 8668. [Google Scholar] [CrossRef]
- Liu, F.; Qu, Y.-K.; Geng, C.; Wang, A.-M.; Zhang, J.-H.; Li, J.-F.; Chen, K.-J.; Liu, B.; Tian, H.-Y.; Yang, W.-P.; et al. Analysis of the population structure and genetic diversity of the red swamp crayfish (Procambarus clarkii) in China using SSR markers. Electron. J. Biotechnol. 2020, 47, 59–71. [Google Scholar] [CrossRef]
- Carneiro Vieira, M.L.; Santini, L.; Diniz, A.L.; Munhoz, C.d.F. Microsatellite markers: What they mean and why they are so useful. Genet. Mol. Biol. 2016, 39, 312–328. [Google Scholar] [CrossRef]
- Liu, W.; Guo, G.; Mi, C. An Overview of Transcriptionomics Research Techniques and Their Applications. Biol. Teach. 2019, 44, 2–5. [Google Scholar]
- Wang, H. Understanding and Differentiation of New Terms in High-throughput Sequencing Technology. Chin. Sci. Technol. Terms 2017, 19, 51–54. [Google Scholar]
- Jia, C.; Zhang, Y.; Zhu, L.; Zhang, R. Application Progress of Transcriptome Sequencing Technology in Biological Sequencing. Mol. Plant Breed. 2015, 13, 2388–2394. [Google Scholar]
- Zhou, K.; Li, Y.; Lin, Y.; Peng, J.; Chen, X.; Qin, J.; Chen, Z.; Huang, Y.; Zhang, C.; Du, X.; et al. Genetic Diversity Analysis of Different Geographical Populations of Cipangopaludina cathayensis in Guang xi Region. Guangxi Sci. 2024, 31, 269–278. [Google Scholar]
- Yuan, C.; Li, Z.; Zhou, K.; Pan, X.; Li, Y.; Zhang, C.; Lin, Y.; Peng, J.; Chen, Z.; Qin, J.; et al. Genetic diversity and population structure of Bellamya purificata in Guangxi. PLoS ONE 2024, 19, e0305197. [Google Scholar] [CrossRef] [PubMed]
- Gu, Q.-H.; Zhou, C.-J.; Cheng, Q.-Q.; Li, X.-J.; Zhu, G.-R.; Zhang, M.; Gao, Y.-N.; Dong, J. The perplexing population genetic structure of Bellamya purificata (Gastropoda: Viviparidae): Low genetic differentiation despite low dispersal ability. J. Molluscan Stud. 2015, 81, 466–475. [Google Scholar] [CrossRef]
- Yurco, P.; Keeney, D.B. Characterization of tri and tetra-nucleotide microsatellite loci for the freshwater snails Promenetus exacuous (Planorbidae) and Valvata tricarinata (Valvatidae) and their utility in population genetic studies. BMC Res. Notes 2018, 11, 204. [Google Scholar] [CrossRef] [PubMed]
- Skov, J.; Kania, P.W.; Dalsgaard, A.; Jorgensen, T.R.; Buchmann, K. Life cycle stages of heterophyid trematodes in Vietnamese freshwater fishes traced by molecular and morphometric methods. Vet. Parasitol. 2009, 160, 66–75. [Google Scholar] [CrossRef]
- Chen, Q.; Ho, W.; Liu, Y.; Xu, J.; Huang, J. Characteristics of macrozoobenthic community structure in typical wetlands of Macao. S. China Fish. Sci. 2015, 11, 1–10. [Google Scholar]
- Zhang, S.; Zhou, K.; Pan, X.; Lin, Y.; Peng, J.; Qin, J.; Ke, Z.; Han, Y.; Chen, Z.; Du, X.; et al. Characterization of the Complete Mitochondrial Genome of Angulyagra polyzonata and Its Phylogenetic Status in Viviparidae. Animals 2025, 15, 1284. [Google Scholar] [CrossRef]
- Zhu, Y.; Chen, Y.; Tang, J.; Ji, Q.; Wang, J.; Tang, B.; Wang, G. Genome investigation and SSR characteristics analysis of 4 representative shellfish of Viviparidae. Jiangsu Agric. Sci. 2023, 51, 40–47. [Google Scholar]
- Chen, S.; Zhou, Y.; Chen, Y.; Gu, J. fastp: An ultra-fast all-in-one FASTQ preprocessor. Bioinformatics 2018, 34, 884–890. [Google Scholar] [CrossRef]
- Magoc, T.; Salzberg, S.L. FLASH: Fast length adjustment of short reads to improve genome assemblies. Bioinformatics 2011, 27, 2957–2963. [Google Scholar] [CrossRef]
- Beier, S.; Thiel, T.; Muench, T.; Scholz, U.; Mascher, M. MISA-web: A web server for microsatellite prediction. Bioinformatics 2017, 33, 2583–2585. [Google Scholar] [CrossRef]
- Fu, L.; Niu, B.; Zhu, Z.; Wu, S.; Li, W. CD-HIT: Accelerated for clustering the next-generation sequencing data. Bioinformatics 2012, 28, 3150–3152. [Google Scholar] [CrossRef]
- Untergasser, A.; Cutcutache, I.; Koressaar, T.; Ye, J.; Faircloth, B.C.; Remm, M.; Rozen, S.G. Primer3-new capabilities and interfaces. Nucleic Acids Res. 2012, 40, e115. [Google Scholar] [CrossRef]
- Ochoa-Aristizabal, A.M.; Marquez, E.J. Genetic insights into Cyphocharax magdalenae (Characiformes: Curimatidae): Microsatellite loci development and population analysis in the Cauca River, Colombia. PLoS ONE 2024, 19, e302273. [Google Scholar] [CrossRef] [PubMed]
- Peakall, R.; Smouse, P.E. GENALEX 6: Genetic analysis in Excel. Population genetic software for teaching and research. Mol. Ecol. Notes 2006, 6, 288–295. [Google Scholar] [CrossRef]
- Khaing, A.A.; Moe, K.T.; Hong, W.J.; Park, C.S.; Yeon, K.H.; Park, H.S.; Kim, D.C.; Choi, B.J.; Jung, J.Y.; Chae, S.C.; et al. Phylogenetic relationships of chrysanthemums in Korea based on novel SSR markers. Genet. Mol. Res. 2013, 12, 5335–5347. [Google Scholar] [CrossRef] [PubMed]
- Wu, H.; Li, S.; Jiang, J.; Wang, H.; Wu, G.; Li, L.; Chen, Q.; Du, L.; Wang, F.; Chen, S. Genetic diversity of Hainan cattle population based on whole genome resequencing and screening of candidate genes related to heat adaptation. J. South. Argiculture 2024, 55, 3707–3717. [Google Scholar]
- Wei, X.; Zhou, K.; Zou, X.; Lin, Y.; Ye, H.; Luo, H.; Qin, J.; Chen, Z.; Huang, Y.; Du, X.; et al. Feature Analysis and Marker Development of Microsatellites for Cipangopaludina Chinensis Based on Full-length Transcriptome Data. J. Hydroecology 2025, 46, 235–242. [Google Scholar]
- Xiong, G.; Wang, X.; Wang, P.; Chen, Z.; Zhou, X.; Kang, L.; Zeng, Z. Development and Genetic Diversity Analysis of Babylonia lutosa with EST-SSR Markers. Prog. Fish. Sci. 2020, 41, 117–124. [Google Scholar]
- Li, W.; Zhao, S.; Jiao, H.; Lin, Z.; Bao, Y. Characterization and analysis of microsatellite markers in Thais luteostoma using next generation sequencing. Mar. Sci. 2015, 39, 61–67. [Google Scholar]
- Pérez, F.; Ortiz, J.; Zhinaula, M.; Gonzabay, C.; Calderón, J.; Volckaert, F. Development of EST-SSR markers by data mining in three species of shrimp: Litopenaeus vannamei, Litopenaeus stylirostris, and Trachypenaeus birdy. Mar. Biotechnol. 2005, 7, 554–569. [Google Scholar] [CrossRef]
- Zhang, X.; Zhang, X.; Zhao, C.; Chang, Y.; Huan, P.; Li, F.; Xiang, J. The development of BAC-end sequence-based microsatellite markers and analysis on population genetic diversity in Zhikong scallop (Chlamys farreri). J. Fish. China 2012, 36, 815–824. [Google Scholar] [CrossRef]
- Kong, L.; Bai, J.; Li, Q. Comparative assessment of genomic SSR, EST-SSR and EST-SNP markers for evaluation of the genetic diversity of wild and cultured Pacific oyster, Crassostrea gigas Thunberg. Aquaculture 2014, 420, S85–S91. [Google Scholar] [CrossRef]
- Chen, L.; Li, L.; Shi, X.; Qin, Y.; Liu, L.; Guo, Y. Development and Evaluation of SSR Markers Based on Transcriptome Sequencing in Scapharca kagoshimensis. Prog. Fish. Sci. 2022, 43, 129–137. [Google Scholar]
- Wu, M.; Jiang, B.; He, J.; He, L.; Lin, Z. SSR screening and characterization analysis based on full-length transcriptome sequencing of Potamocorbula ustulate. Mar. Fish. 2024, 46, 316–324. [Google Scholar]
- Tian, Z.; Chen, A.; Wu, Y.; Chen, S.; Zhang, Y.; Cao, Y.; Zhang, Z.; Li, Q. Bioinformatics analysis of microsatellite sites in the RNA-sequencing of Meretrix meretrix. Mar. Fish. 2021, 43, 160–167. [Google Scholar] [CrossRef]
- Yu, A.; Shi, Y.; Xu, J.; Lu, G.; Zhang, H.; Xie, Y.; Liu, Y. Characteristic Analysis of Microsatellites in Selected Coilia ectenes Using a Transcriptome Dataset. Prog. Fish. Sci. 2019, 40, 101–109. [Google Scholar]
- Li, Q.; Chen, X.; Li, Z.; Cao, Y.; Chen, L.; Dai, G. Construction and Characterization of DNA Libraries en-riched for Microsatellites repeat sequences in Hemifusus ternatanus. Mar. Sci. 2013, 37, 1–5. [Google Scholar]
- Lei, Y.; Zhou, Y.; Price, M.; Song, Z. Genome-wide characterization of microsatellite DNA in fishes: Survey and analysis of their abundance and frequency in genome-specific regions. BMC Genom. 2021, 22, 421. [Google Scholar] [CrossRef]
- Li, W.S.; Liu, C.; Lu, C.; Li, C.; Sun, X. Isolation and characterization of tri-and tetranucleotide repeat microsatellites in grass carp (Ctenopharyngodon idellus). J. Fish. Sci. China 2011, 18, 742–750. [Google Scholar] [CrossRef]
- Lu, C.; Mao, R.; Li, O.; Geng, L.; Sun, X.; Liang, L. Isolation and Characterization of Polymorphic Tri-and Tetranucleotide Repeat Microsatellite Loci in Common Carp (Cyprinus carpio). J. Agric. Biotechnol. 2009, 17, 979–987. [Google Scholar]
- Li, R.; Li, Q.; Cornette, F.; Degremont, L.; Lapegue, S. Development of four EST-SSR multiplex PCRs in the Pacific oyster (Crassostrea gigas) and their validation in parentage assignment. Aquaculture 2010, 310, 234–239. [Google Scholar] [CrossRef][Green Version]
- Botstein, D.; White, R.L.; Skolnick, M.; Davis, R.W. Construction of a genetic linkage map in man using restriction fragment length polymorphisms. Am. J. Hum. Genet. 1980, 32, 314–331. [Google Scholar]
- Yang, M.; Zheng, H.; Liang, X.; Tian, C.; Dou, Y.; Zhu, K.; Yuan, Y. Development and characterization of novel SSR markers in Siniperca kneri Garman. Genet. Mol. Res. 2014, 13, 7593–7606. [Google Scholar] [CrossRef]
- Yu, C.; Zhang, W.; Xu, X.; Wang, R.; Li, J.; Shen, Y. Genetic variations among different generations of a breeding population of grass carp (Ctenopharyngodon idella) using microsatellite markers. J. Fish. Sci. China 2022, 29, 1109–1118. [Google Scholar]
- Liu, F.; Wang, Z.; Wang, T.; Deng, J.; Wang, X.; Jin, Y.; Song, Z. Isolation and Characterization of Microsatellite Loci for Gymnodiptychus pachycheilus by Illumina HiSeq Sequencing. Chin. J. Zool. 2023, 58, 817–826. [Google Scholar]
- Jin, W.; Cao, J.; Ma, C.; Ma, X.; Lv, G.; Wen, H.; Gu, R. Genetic diversity and genetic differentiation analysis of Bellamya purificata in eleven populations based on the microsatellite makers. Freshw. Fish. 2022, 52, 16–21. [Google Scholar]
- Sadler, D.E.; Watts, P.C.; Uusi-Heikkila, S. The Riddle of How Fisheries Influence Genetic Diversity. Fishes 2023, 8, 510. [Google Scholar] [CrossRef]
- Wang, Y.; Sha, H.; Li, X.; Zhou, T.; Luo, X.; Zou, G.; Chai, Y.; Liang, H. Microsatellite Characteristics of Silver Carp (Hypophthalmichthys molitrix) Genome and Genetic Diversity Analysis in Four Cultured Populations. Genes 2022, 13, 1267. [Google Scholar]
- Launey, S.; Barre, M.; Gerard, A.; Naciri-Graven, Y. Population bottleneck and effective size in Bonamia ostreae-resistant populations of Ostrea edulis as inferred by microsatellite markers. Genet. Res. 2001, 78, 259–270. [Google Scholar] [CrossRef]
- Aziz, D.; Siraj, S.S.; Arshad, A. Genetic diversity of banana prawns Fenneropenaeus merguiensis in Malaysian waters using microsatellite markers. J. Environ. Biol. 2020, 41, 1349–1357. [Google Scholar] [CrossRef]
- Liang, Y.; Fu, J.; Shen, M.; Luo, X.; You, W.; Ke, C. Microsatellite analysis on genetic diversity and genetic structure of three successive selected generations of Babylonia areolata. Mar. Sci. 2022, 46, 85–93. [Google Scholar]
- Wu, J.; Zhou, K.; Zhang, C.; Wei, X.; Ye, H.; Peng, J.; Lin, Y.; Qin, J.; Chen, Z.; Luo, H.; et al. Analysis of effect of morphological traits on body weight of male and female pear-shaped ringed edge snail Bellamya purificata. J. Dalian Ocean Univ. 2024, 39, 622–633. [Google Scholar]
- Zhang, C.; Guo, J.; Saveanu, L.; Martin, P.R.; Shi, Z.; Zhang, J. Invasiveness of Pomacea canaliculata: The Differences in Life History Traits of Snail Populations from Invaded and Native Areas. Agronomy 2023, 13, 1259. [Google Scholar] [CrossRef]
- Vanhaecke, D.; de Leaniz, C.G.; Gajardo, G.; Thomas, C.J.; Consuegra, S. Metapopulation dynamics of a diadromous galaxiid fish and potential effects of salmonid aquaculture. Freshw. Biol. 2012, 57, 1241–1252. [Google Scholar] [CrossRef]
- Zhou, L.; Gao, J.; Yang, Y.; Nie, Z.; Liu, K.; Xu, G. Genetic Diversity and Population Structure Analysis of Chinese Mitten Crab (Eriocheir sinensis) in the Yangtze and Liaohe Rivers. Fishes 2023, 8, 253. [Google Scholar] [CrossRef]
- Ma, H.; Cui, H.; Ma, C.; Ma, L. High genetic diversity and low differentiation in mud crab (Scylla paramamosain) along the southeastern coast of China revealed by microsatellite markers. J. Exp. Biol. 2012, 215, 3120–3125. [Google Scholar] [CrossRef]
- Chen, B.; Bai, Y.; Wang, J.; Ke, Q.; Zhou, Z.; Zhou, T.; Pan, Y.; Wu, R.; Wu, X.; Zheng, W.; et al. Population structure and genome-wide evolutionary signatures reveal putative climate-driven habitat change and local adaptation in the large yellow croaker. Mar. Life Sci. Technol. 2023, 5, 141–154. [Google Scholar] [CrossRef]
- Crispo, E.; Moore, J.S.; Lee-Yaw, J.A.; Gray, S.M.; Haller, B.C. Broken barriers: Human-induced changes to gene flow and introgression in animals: An examination of the ways in which humans increase genetic exchange among populations and species and the consequences for biodiversity. BioEssays 2011, 33, 508–518. [Google Scholar] [CrossRef]
- Wang, I.J.; Bradburd, G.S. Isolation by environment. Mol. Ecol. 2014, 23, 5649–5662. [Google Scholar] [CrossRef]
- Liu, T.; Wang, Y.; Wu, Y.; Zou, Y.; Lyu, F.; Wu, H.; Li, J.; Song, A. Genetic Diversity Analysis of 3 Populations and Their Hybrid Progenies in Blood Clam Scapharca broughtonii. Fish. Sci. 2024, 43, 561–570. [Google Scholar]
- Yue, G.H.; Zhu, Z.Y.; Lo, L.C.; Wang, C.M.; Lin, G.; Fenf, F.; Pang, H.Y.; Li, J.; Gong, P.; Liu, H.M.; et al. Genetic variation and population structure of Asian seabass (Lates calcarifer) in the Asia-Pacific region. Aquaculture 2009, 293, 22–28. [Google Scholar] [CrossRef]
- Anderson, J.D.; Karel, W.J.; Mace, C.E.; Bartram, B.L.; Hare, M.P. Spatial genetic features of eastern oysters (Crassostrea virginica Gmelin) in the Gulf of Mexico: Northward movement of a secondary contact zone. Ecol. Evol. 2014, 4, 1671–1685. [Google Scholar] [CrossRef] [PubMed]
- Gonzalez-Ferreras, A.M.; Leal, S.; Barquin, J.; Almodovar, A. Patterns of genetic diversity of brown trout in a northern Spanish catchment linked to structural connectivity. Aquat. Sci. 2022, 84, 48. [Google Scholar] [CrossRef]
- Hughes, J.M.; Schmidt, D.J.; Finn, D.S. Genes in Streams: Using DNA to Understand the Movement of Freshwater Fauna and Their Riverine Habitat. Bioscience 2009, 59, 573–583. [Google Scholar] [CrossRef]
- Schlaepfer, D.R.; Braschler, B.; Rusterholz, H.-P.; Baur, B. Genetic effects of anthropogenic habitat fragmentation on remnant animal and plant populations: A meta-analysis. Ecosphere 2018, 9, e02488. [Google Scholar] [CrossRef]
- Youngquist, M.B.; Inoue, K.; Berg, D.J.; Boone, M.D. Effects of land use on population presence and genetic structure of an amphibian in an agricultural landscape. Landsc. Ecol. 2017, 32, 147–162. [Google Scholar] [CrossRef]








| Group | Sampling Points | Longitude and Latitude | Number/n |
|---|---|---|---|
| Yongning (YN) | Yongning District, Nanning City | 108°31′32″ E, 22°39′19″ N | 30 |
| Tiandeng (TD) | Tiandeng County, Chongzuo City | 107°17′45″ E, 23°14′32″ N | 30 |
| Long’an (LA) | Long’an County, Nanning City | 107°47′18″ E, 23°8′56″ N | 30 |
| Longzhou (LZ) | Longzhou County, Chongzuo City | 106°45′58″ E, 22°19′3″ N | 30 |
| Luchuan (LC) | Luchuan County, Yulin City | 110°12′11″ E, 22°1′0″ N | 30 |
| Fangcheng (FC) | Fangcheng District, Fangchenggang City | 108°31′26″ E, 21°55′44″ N | 30 |
| Qinnan (QN) | Qinnan District, Qinzhou City | 108°44′35″ E, 21°44′16″ N | 30 |
| Yinhai (YH) | Yinhai District, Beihai City | 109°16′20″ E, 21°27′47″ N | 30 |
| Xingdao (XD) | Xingdao Lake Town, Hepu County, Beihai City | 109°7′40″ E, 21°45′29″ N | 30 |
| Shatian (ST) | Shatian Town, Hepu County, Beihai City | 109°39′53″ E, 21°30′58″ N | 30 |
| Hezhou (HZ) | Babu District, Hezhou City | 111°32′54″ E, 24°24′37″ N | 30 |
| Liannan (LN) | Liannan District, Liuzhou City | 109°20′26″ E, 24°18′28″ N | 30 |
| Category | Number |
|---|---|
| Total Number of Sequences Examined (n) | 7,042,688 |
| Total Size of Examined Sequences (bp) | 1,657,747,000 |
| Total Number of Identified SSRs (n) | 798,244 |
| Number of SSRs Present In Compound Formation (n) | 126,494 |
| The Number of Sequences Containing SSR Loci (n) | 664,946 |
| Number of Sequences Containing More Than One SSR (n) | 108,342 |
| Frequency of SSR Occurrence 1 (%) | 11.33 |
| Frequency of SSR Occurrence 2 (%) | 9.44 |
| Type of Repeating Unit | Number of Loci (n) | Percentage (%) | Average Length (bp) | SSR Motif Type Number |
|---|---|---|---|---|
| Mono-nucleotide | 266,097 | 33.34 | 11.26 | 4 |
| Di-nucleotide | 380,290 | 47.64 | 17.67 | 6 |
| Tri-nucleotide | 74,729 | 9.36 | 19.62 | 20 |
| Tetra-nucleotide | 75,213 | 9.42 | 58.45 | 56 |
| Penta-nucleotide | 1604 | 0.20 | 56.37 | 82 |
| Hexa-nucleotide | 311 | 0.04 | 43.98 | 36 |
| Repeat Number | Mono- Nucleotide | Di- Nucleotide | Tri- Nucleotide | Tetra- Nucleotide | Penta- Nucleotide | Hexa- Nucleotide |
|---|---|---|---|---|---|---|
| 5 | 0 | 0 | 36,322 | 17,416 | 572 | 127 |
| 6 | 0 | 129,787 | 16,641 | 7368 | 122 | 72 |
| 7 | 0 | 81,165 | 7615 | 5003 | 83 | 59 |
| 8 | 0 | 51,198 | 4448 | 2929 | 74 | 7 |
| 9 | 0 | 30,314 | 3083 | 2212 | 31 | 0 |
| 10 | 129,027 | 19,702 | 1638 | 2019 | 46 | 1 |
| 11 | 60,970 | 13,713 | 1156 | 1541 | 38 | 0 |
| 12 | 31,304 | 9583 | 775 | 1623 | 36 | 0 |
| 13 | 17,927 | 8164 | 683 | 1855 | 42 | 2 |
| 14 | 10,486 | 6344 | 380 | 1438 | 86 | 1 |
| 15 | 6121 | 4773 | 375 | 1448 | 83 | 0 |
| 16 | 3331 | 3202 | 281 | 1356 | 3 | 20 |
| 17 | 2070 | 2646 | 183 | 1386 | 21 | 22 |
| 18 | 1260 | 1972 | 142 | 1829 | 41 | 0 |
| 19 | 906 | 1856 | 184 | 1753 | 48 | 0 |
| 20 | 689 | 1451 | 304 | 1682 | 5 | 0 |
| >20 | 2006 | 14,420 | 519 | 22,355 | 273 | 0 |
| Loci | Repeat Motif | Primer Sequence (5′-3′) | Size Range/bp | Fluorescence Labeling (5′) |
|---|---|---|---|---|
| DLJL042 | (CAT)5 | F: CCGAGAGTTCATAAGCAGCA | 173–197 | FAM |
| R: TGTATTATGCAAGGCCCACA | ||||
| DLJL017 | (ACTA)8 | F:CCTAACCAACCAACTGACCG | 124–158 | FAM |
| R: GTTTGCTTCTGCAATCTGGC | ||||
| DLJL025 | (TAA)6 | F: GCGCAACATTACATTGAACG | 260–280 | TAMRA |
| R: ACGAGGAATGTCCATGAAGG | ||||
| DLJL126 | (TGTC)8 | F: AATTCTCGCGTACACTTGCC | 226–262 | FAM |
| R: TGATATGACGCGTGGATGTT | ||||
| DLJL021 | (TGTT)9 | F:ACGGTCAGCAAAGCCTCTAA | 154–208 | HEX |
| R: TCTTCACTTGTTGCCGTGAC | ||||
| DLJL112 | (TACA)5 | F: CGTGGGCCAGAGACATAGTT | 212–252 | TAMRA |
| R: GAGTTCCAGTGATGCGTGTG | ||||
| DLJL033 | (ATT)7 | F: CGAAATTTGAGGCAGGAAAA | 183–211 | ROX |
| R: GGAAGCTGTTACCTTCTGCG | ||||
| DLJL095 | (GAT)7 | F:AACCACCGCACTAGGTCAAG | 277–319 | HEX |
| R: CCGCTAACGACGCCATACTA | ||||
| DLJL125 | (ATCC)9 | F:CGGCATAGTTTCAAACAGCA | 224–272 | ROX |
| R: GATTTGTGTTCCAAAGCGGT |
| Locus | Na | Ne | I | Ho | He | F | Hs | PIC | Prob | Signif |
|---|---|---|---|---|---|---|---|---|---|---|
| DLJL017 | 10 | 3.848 | 1.649 | 0.484 | 0.74 | 0.346 | 0.87 | 0.702 | 0.000 | *** |
| DLJL021 | 12 | 4.739 | 1.76 | 0.417 | 0.789 | 0.472 | 0.894 | 0.759 | 0.000 | *** |
| DLJL025 | 9 | 3.658 | 1.591 | 0.474 | 0.727 | 0.348 | 0.863 | 0.697 | 0.000 | *** |
| DLJL033 | 11 | 6.285 | 2.043 | 0.537 | 0.841 | 0.362 | 0.92 | 0.823 | 0.000 | *** |
| DLJL042 | 5 | 3.388 | 1.391 | 0.356 | 0.705 | 0.496 | 0.852 | 0.662 | 0.000 | *** |
| DLJL095 | 24 | 7.856 | 2.371 | 0.42 | 0.873 | 0.519 | 0.936 | 0.861 | 0.000 | *** |
| DLJL112 | 15 | 3.788 | 1.732 | 0.494 | 0.736 | 0.328 | 0.868 | 0.71 | 0.000 | *** |
| DLJL125 | 18 | 7.495 | 2.277 | 0.598 | 0.867 | 0.310 | 0.933 | 0.853 | 0.000 | *** |
| DLJL126 | 15 | 5.121 | 1.987 | 0.537 | 0.805 | 0.332 | 0.902 | 0.783 | 0.000 | *** |
| Mean | 13.222 | 5.131 | 1.867 | 0.480 | 0.787 | 0.390 | 0.893 | 0.761 | ||
| Stdev | 5.563 | 1.701 | 0.325 | 0.074 | 0.063 | 0.081 | 0.032 | 0.073 |
| Populations | Na | Ne | I | Ho | He | F |
|---|---|---|---|---|---|---|
| YN | 6.333 | 3.437 | 1.417 | 0.530 | 0.684 | 0.227 |
| TD | 6.111 | 3.921 | 1.464 | 0.599 | 0.723 | 0.173 |
| LA | 6.667 | 4.405 | 1.564 | 0.520 | 0.749 | 0.311 |
| LZ | 6.333 | 2.761 | 1.178 | 0.522 | 0.560 | 0.073 |
| LC | 5.444 | 2.498 | 1.093 | 0.414 | 0.536 | 0.273 |
| FC | 3.000 | 1.888 | 0.736 | 0.407 | 0.441 | 0.078 |
| QN | 4.778 | 1.869 | 0.795 | 0.373 | 0.390 | 0.028 |
| YH | 3.222 | 1.663 | 0.552 | 0.285 | 0.299 | 0.054 |
| XD | 5.556 | 3.041 | 1.230 | 0.518 | 0.627 | 0.177 |
| ST | 5.111 | 3.472 | 1.328 | 0.635 | 0.672 | 0.068 |
| HZ | 3.556 | 2.309 | 0.945 | 0.424 | 0.530 | 0.190 |
| LN | 4.333 | 2.757 | 1.093 | 0.530 | 0.598 | 0.126 |
| Population | YN | TD | LA | LZ | LC | FC | QN | YH | XD | ST | HZ | LN |
|---|---|---|---|---|---|---|---|---|---|---|---|---|
| YN | - | 4.750 | 4.214 | 1.154 | 1.187 | 1.170 | 0.851 | 0.730 | 2.955 | 3.128 | 2.023 | 2.955 |
| TD | 0.050 | - | 14.456 | 1.395 | 1.428 | 1.139 | 0.886 | 0.846 | 3.271 | 2.875 | 1.734 | 2.591 |
| LA | 0.056 | 0.017 | - | 2.382 | 2.559 | 1.274 | 1.080 | 0.946 | 4.295 | 3.039 | 1.575 | 2.023 |
| LZ | 0.178 | 0.152 | 0.095 | - | 11.655 | 0.897 | 0.897 | 1.032 | 1.486 | 1.212 | 0.708 | 0.818 |
| LC | 0.174 | 0.149 | 0.089 | 0.021 | - | 0.861 | 0.902 | 0.982 | 1.658 | 1.332 | 0.742 | 0.823 |
| FC | 0.176 | 0.180 | 0.164 | 0.218 | 0.225 | - | 0.861 | 0.549 | 1.045 | 0.975 | 0.719 | 0.814 |
| QN | 0.227 | 0.220 | 0.188 | 0.218 | 0.217 | 0.225 | - | 0.361 | 0.775 | 1.059 | 0.597 | 0.666 |
| YH | 0.255 | 0.228 | 0.209 | 0.195 | 0.203 | 0.313 | 0.409 | - | 0.935 | 0.754 | 0.485 | 0.494 |
| XD | 0.078 | 0.071 | 0.055 | 0.144 | 0.131 | 0.193 | 0.244 | 0.211 | - | 2.915 | 1.428 | 1.474 |
| ST | 0.074 | 0.080 | 0.076 | 0.171 | 0.158 | 0.204 | 0.191 | 0.249 | 0.079 | - | 1.943 | 1.549 |
| HZ | 0.110 | 0.126 | 0.137 | 0.261 | 0.252 | 0.258 | 0.295 | 0.340 | 0.149 | 0.114 | - | 1.256 |
| LN | 0.078 | 0.088 | 0.110 | 0.234 | 0.233 | 0.235 | 0.273 | 0.336 | 0.145 | 0.139 | 0.166 | - |
| Source of Variation | Degree of Freedom | Total Variance | Variance of Mean | Estimated Difference Value | Mutation Percentage |
|---|---|---|---|---|---|
| Among Pops | 11 | 685.560 | 62.324 | 0.984 | 27% |
| Within Pops | 708 | 1902.700 | 5.395 | 2.697 | 73% |
| Total | 719 | 2588.260 | 67.719 | 3.681 | 100% |
| Population | YN | TD | LA | LZ | LC | FC | QN | YH | XD | ST | HZ | LN |
|---|---|---|---|---|---|---|---|---|---|---|---|---|
| YN | 0.657 | 0.719 | 0.381 | 0.363 | 0.593 | 0.486 | 0.494 | 0.364 | 0.413 | 0.673 | 0.709 | |
| TD | 0.328 | 0.570 | 0.648 | 0.523 | 0.614 | 0.691 | 0.440 | 0.394 | 0.303 | 0.258 | ||
| LA | 0.637 | 0.672 | 0.612 | 0.639 | 0.673 | 0.455 | 0.431 | 0.418 | 0.398 | |||
| LZ | 0.145 | 0.526 | 0.533 | 0.424 | 0.344 | 0.516 | 0.645 | 0.641 | ||||
| LC | 0.523 | 0.488 | 0.381 | 0.372 | 0.516 | 0.630 | 0.629 | |||||
| FC | 0.439 | 0.569 | 0.515 | 0.535 | 0.627 | 0.597 | ||||||
| QN | 0.652 | 0.558 | 0.467 | 0.684 | 0.664 | |||||||
| YH | 0.430 | 0.630 | 0.722 | 0.733 | ||||||||
| XD | 0.349 | 0.511 | 0.526 | |||||||||
| ST | 0.343 | 0.456 | ||||||||||
| HZ | 0.384 | |||||||||||
| LN |
Disclaimer/Publisher’s Note: The statements, opinions and data contained in all publications are solely those of the individual author(s) and contributor(s) and not of MDPI and/or the editor(s). MDPI and/or the editor(s) disclaim responsibility for any injury to people or property resulting from any ideas, methods, instructions or products referred to in the content. |
© 2025 by the authors. Licensee MDPI, Basel, Switzerland. This article is an open access article distributed under the terms and conditions of the Creative Commons Attribution (CC BY) license (https://creativecommons.org/licenses/by/4.0/).
Share and Cite
Zhang, S.; Wang, D.; Zhou, K.; Lin, Y.; Chen, Z.; Qin, J.; Du, X.; Long, L.; Zhang, C.; Pan, X.; et al. Microsatellite Markers Developed Based on Transcriptomic Data Reveal the Genetic Diversity and Population Genetic Structure of Angulyagra polyzonata in Guangxi, China. Biology 2025, 14, 1424. https://doi.org/10.3390/biology14101424
Zhang S, Wang D, Zhou K, Lin Y, Chen Z, Qin J, Du X, Long L, Zhang C, Pan X, et al. Microsatellite Markers Developed Based on Transcriptomic Data Reveal the Genetic Diversity and Population Genetic Structure of Angulyagra polyzonata in Guangxi, China. Biology. 2025; 14(10):1424. https://doi.org/10.3390/biology14101424
Chicago/Turabian StyleZhang, Shengjie, Dapeng Wang, Kangqi Zhou, Yong Lin, Zhong Chen, Junqi Qin, Xuesong Du, Liuping Long, Caiqun Zhang, Xianhui Pan, and et al. 2025. "Microsatellite Markers Developed Based on Transcriptomic Data Reveal the Genetic Diversity and Population Genetic Structure of Angulyagra polyzonata in Guangxi, China" Biology 14, no. 10: 1424. https://doi.org/10.3390/biology14101424
APA StyleZhang, S., Wang, D., Zhou, K., Lin, Y., Chen, Z., Qin, J., Du, X., Long, L., Zhang, C., Pan, X., & Li, W. (2025). Microsatellite Markers Developed Based on Transcriptomic Data Reveal the Genetic Diversity and Population Genetic Structure of Angulyagra polyzonata in Guangxi, China. Biology, 14(10), 1424. https://doi.org/10.3390/biology14101424
