Do Endangered Glacial Relicts Have a Chance for Effective Conservation in the Age of Global Warming? A Case Study: Salix lapponum in Eastern Poland
Simple Summary
Abstract
1. Introduction
2. Materials and Methods
2.1. Plant Material and Experimental Design
2.2. Determination of the Photosynthetic Pigment Content
2.3. Determination of the Anthocyanin Content
2.4. Oxidative Stress Indicators
2.4.1. Antioxidant Enzyme Activity
2.4.2. Histochemical Detection of Reactive Oxygen Species (ROS)
2.5. Determination of Relative Water Content
2.6. Statistical Analysis
3. Results
3.1. Photosynthetic Pigment Content
3.2. Content of Anthocyanins
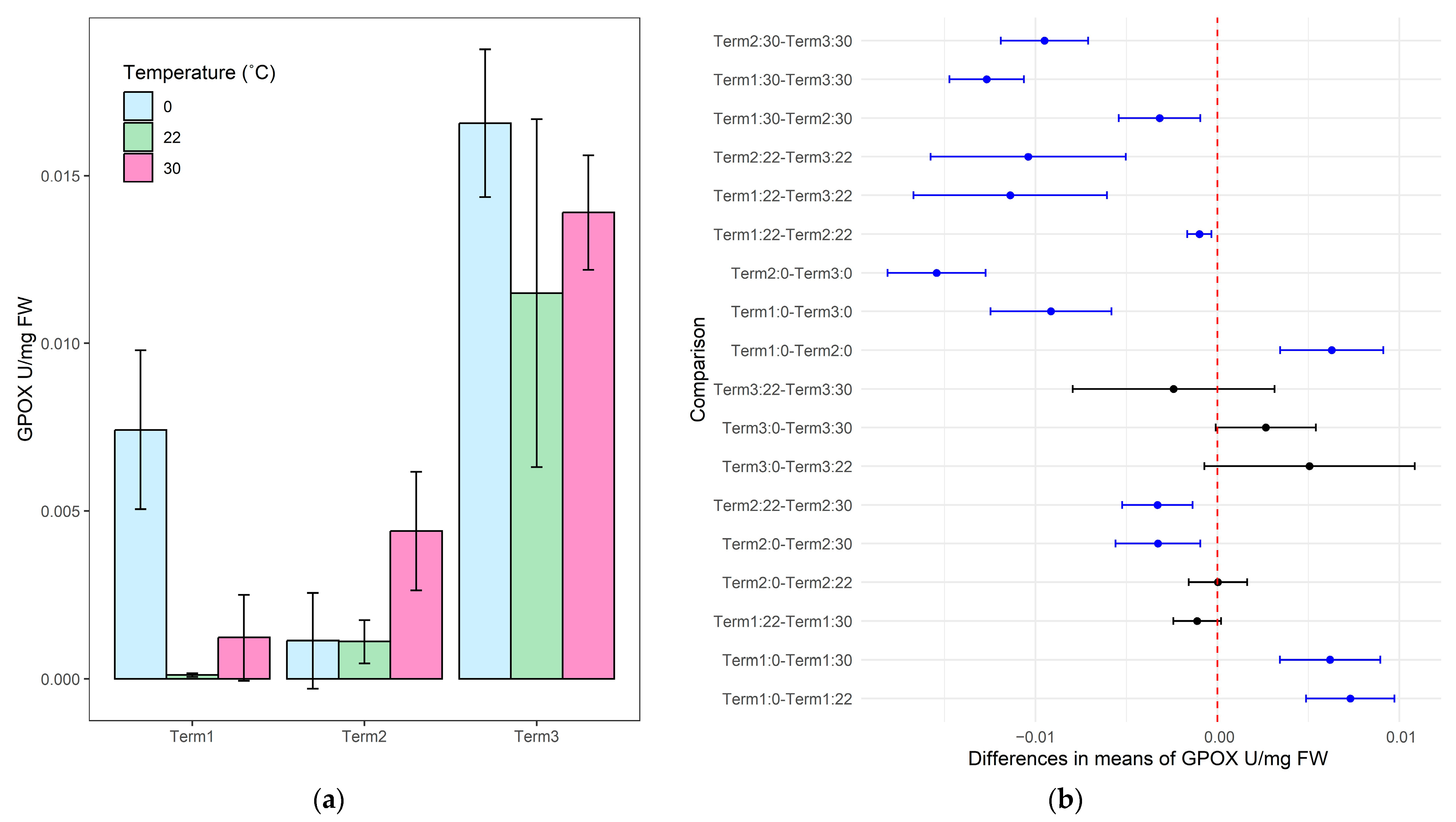
3.3. Antioxidant Enzyme Activity
3.4. Histochemical Detection of Reactive Oxygen Species
3.5. Relative Water Content (RWC)
3.6. Principal Component Analysis (PCA)
4. Discussion
5. Conclusions
Supplementary Materials
Author Contributions
Funding
Institutional Review Board Statement
Informed Consent Statement
Data Availability Statement
Conflicts of Interest
References
- Meehl, G.A.; Tebaldi, C. More intense, more frequent, and longer lasting heat waves in the 21st century. Science 2004, 305, 994–997. [Google Scholar] [CrossRef] [PubMed]
- Fischer, E.; Schär, C. Consistent geographical patterns of changes in high-impact European heatwaves. Nat. Geosci. 2010, 3, 398–403. [Google Scholar] [CrossRef]
- Dreesen, F.E.; De Boeck, H.J.; Janssens, I.A.; Nijs, I. Do successive climate extremes weaken the resistance of plant communities? An experimental study using plant assemblages. Biogeosciences 2014, 11, 109–121. [Google Scholar] [CrossRef]
- Zhai, L.; Lee, J.E. Investigating Vulnerability, Adaptation, and Resilience: A Comprehensive Review within the Context of Climate Change. Atmosphere 2024, 15, 474. [Google Scholar] [CrossRef]
- Rupngam, T.; Messiga, A.J. Unraveling the Interactions between Flooding Dynamics and Agricultural Productivity in a Changing Climate. Sustainability 2024, 16, 6141. [Google Scholar] [CrossRef]
- Ahmad, P.; Jaleel, C.A.; Salem, M.A.; Nabi, G.; Sharma, S. Roles of enzymatic and nonenzymatic antioxidants in plants during abiotic stress. Crit. Rev. Biotechnol. 2010, 30, 161–175. [Google Scholar] [CrossRef] [PubMed]
- Centomani, I.; Sgobba, A.; D’Addabbo, P.; Dipierro, N.; Paradiso, A.; De Gara, L.; Dipierro, S.; Viggiano, L.; de Pinto, M.C. Involvement of DNA Methylation in the Control of Cell Growth during Heat Stress in Tobacco BY-2 Cells. Protoplasma 2015, 252, 1451–1459. [Google Scholar] [CrossRef]
- Tokić, M.; Leljak Levanić, D.; Ludwig-Müller, J.; Bauer, N. Growth and Molecular Responses of Tomato to Prolonged and Short-Term Heat Exposure. Int. J. Mol. Sci. 2023, 24, 4456. [Google Scholar] [CrossRef]
- Allakhverdiev, S.I.; Kreslavski, V.D.; Klimov, V.V.; Los, D.A.; Carpentier, R.; Mohanty, P. Heat stress: An overview of molecular responses in photosynthesis. Photosynth. Res. 2008, 98, 541–550. [Google Scholar] [CrossRef]
- Abdelhakim, L.O.A.; Zhou, R.; Ottosen, C.O. Physiological Responses of Plants to Combined Drought and Heat under Elevated CO2. Agronomy 2022, 12, 2526. [Google Scholar] [CrossRef]
- Huchzermeyer, B.; Menghani, E.; Khardia, P.; Shilu, A. Metabolic Pathway of Natural Antioxidants, Antioxidant Enzymes and ROS Providence. Antioxidants 2022, 11, 761. [Google Scholar] [CrossRef]
- Hickey, K.; Wood, M.; Sexton, T.; Sahin, Y.; Nazarov, T.; Fisher, J.; Sanguinet, K.A.; Cousins, A.; Kirchhoff, H.; Smertenko, A. Drought Tolerance Strategies and Autophagy in Resilient Wheat Genotypes. Cells 2022, 11, 1765. [Google Scholar] [CrossRef]
- Bialic-Murphy, L.; Knight, T.M.; Kawelo, K.; Gaoue, O.G. The disconnect between short-and long-term population projections for plant reintroductions. Front. Conserv. Sci. 2022, 2, 814863. [Google Scholar] [CrossRef]
- Lesage, J.C.; Press, D.; Holl, K.D. Lessons from the reintroduction of listed plant species in California. Biodivers. Conserv. 2020, 29, 3703–3716. [Google Scholar] [CrossRef]
- Godefroid, S.; Le Pajolec, S.; Van Rossum, F. Pre-translocation considerations in rare plant reintroductions: Implications for designing protocols. Plant Ecol. 2016, 217, 169–182. [Google Scholar] [CrossRef]
- Dunwiddie, P.W.; Martin, R.A. Microsites matter: Improving the success of rare species reintroductions. PLoS ONE 2016, 11, e0150417. [Google Scholar] [CrossRef]
- Kaye, T.N. Toward successful reintroductions: The combined importance of species traits, site quality, and restoration technique. Proc. CNPS Conserv. Conf. 2009, 17, 99–106. [Google Scholar]
- Menges, E.S. Restoration demography and genetics of plants: When is a translocation successful? Aust. J. Bot. 2008, 56, 187–196. [Google Scholar] [CrossRef]
- Smith, Z.F.; James, E.A.; Mclean, C.B. Experimental reintroduction of the threatened terrestrial orchid Diuris fragrantissima. Lankesteriana Int. J. Orchid. 2007, 7, 377–380. [Google Scholar] [CrossRef][Green Version]
- Corlett, R.T. Restoration, reintroduction, and rewilding in a changing world. TREE 2016, 31, 453–462. [Google Scholar] [CrossRef]
- Kundzewicz, Z.W.; Matczak, P. Climate change regional review: Poland. Wiley Interdiscip. Rev. Clim. 2012, 3, 297–311. [Google Scholar] [CrossRef]
- Graczyk, D.; Pińskwar, I.; Kundzewicz, Z.W.; Hov, Ø.; Førland, E.J.; Szwed, M.; Choryński, A. The heat goes on changes in indices of hot extremes in Poland. Theor. Appl. Climatol. 2017, 129, 459–471. [Google Scholar] [CrossRef][Green Version]
- Kundzewicz, Z.W.; Piniewski, M.; Mezghani, A.; Okruszko, T.; Pińskwar, I.; Kardel, I.; Hov, Ø.; Szwed, M.; Benestad, R.E.; Marcinkowski, P.; et al. Assessment of climate change and associated impact on selected sectors in Poland. Acta Geophys. 2018, 66, 1509–1523. [Google Scholar] [CrossRef]
- Kruszelnicki, J. Salix lapponum L. Wierzba lapońska. In Polska Czerwona Księga Roślin. Paprotniki i Rośliny Kwiatowe, 3rd ed.; Kaźmierczakowa, R., Zarzycki, K., Mirek, Z., Eds.; Instytut Ochrony Przyrody PAN: Kraków, Poland, 2014; pp. 86–88. [Google Scholar]
- Pogorzelec, M.; Banach-Albińska, B.; Serafin, A.; Szczurowska, A. Population resources of an endangered species Salix lapponum L. in Polesie Lubelskie Region (Eastern Poland). Acta Agrobot. 2014, 67, 81–86. [Google Scholar] [CrossRef]
- Hroneš, M.; Hrachová Macurová, S.; Hradílek, Z.; Hekera, P.; Duchoslav, M. Habitat conditions, stage structure and vegetation associations of geographically isolated subalpine populations of Salix lapponum L. (Salicaceae) in the Krkonoše Mts (Czech Republic). Biologia 2018, 73, 319–332. [Google Scholar] [CrossRef]
- Serafin, A.; Pogorzelec, M.; Banach, B.; Szczurowska, A.; Mielniczuk, J. Physico-chemical groundwater conditions at Salix lapponum stands in Eastern Poland. Dendrobiology 2015, 73, 65–74. [Google Scholar] [CrossRef]
- Kłosowski, S.; Kłosowski, G. Flora Polski Rośliny Wodne i Bagienne; Multico: Warszawa, Poland, 2006; pp. 1–333. [Google Scholar]
- Stamati, K.; Hollingsworth, P.M.; Russell, J.J.P.S. Patterns of clonal diversity in three species of sub-arctic willow (Salix lanata, Salix lapponum and Salix herbacea). Plant Syst. Evol. 2007, 269, 75–88. [Google Scholar] [CrossRef]
- Parzymies, M.; Pogorzelec, M.; Głębocka, K.; Śliwińska, E. Genetic Stability of the Endangered Species Salix lapponum L. Regenerated In Vitro during the Reintroduction Process. Biology 2020, 9, 378. [Google Scholar] [CrossRef]
- Finger, A.; Rao, S.; Cowie, N.; MacDonell, T.; Beck, A.; Denny, B. Conservation genetics of montane willow populations in Scotland-limited natural recovery despite long-distance gene flow and high genetic diversity. Environ. Res. Ecol. 2022, 2, 015001. [Google Scholar] [CrossRef]
- Urban, D.; Wawer, M. Salix lapponum L. i S. myrtilloides L. w okolicach Sobiboru na Pojezierzu Łęczyńsko-Włodawskim. Ann. Univ. Mariae Curie-Skłodowska 2001, 56, 83–93. [Google Scholar]
- Pogorzelec, M. Influence of chosen environmental abiotic factors on Salix lapponum L. populations in Polesie Lubelskie Region. Pol. J. Environ. Stud. 2008, 17, 581–586. [Google Scholar]
- Hroneš, M.; Hrachová, S.; Dančák, M.; Vašut, R.J. Vrba laponská (Salix lapponum L.) v Krkonoších. Opera Corcon. 2011, 48, 69–78. [Google Scholar]
- Hroneš, M.; Hrachová Macurová, S.; Hradílek, Z.; Hekera, P.; Duchoslav, M. Female-biased sex ratio despite the absence of spatial and niche segregation between sexes in alpine populations of dioecious Salix lapponum (Salicaceae). Alp. Bot. 2019, 129, 1–9. [Google Scholar] [CrossRef]
- Pogorzelec, M. Salix lapponum L. (downy willow) in stands under anthropopressure in the Łęczna-Włodawa Lakeland. Acta Agrobot. 2010, 63, 47–53. [Google Scholar] [CrossRef][Green Version]
- Pogorzelec, M.; Parzymies, M.; Banach-Albińska, B.; Serafin, A.; Szczurowska, A. Experimental reintroduction of the boreal species Salix lapponum L. to refuges at the southern limit of its range—Short-term results. Boreal Environ. Res. 2020, 25, 161–169. [Google Scholar]
- Pogorzelec, M.; Hawrylak-Nowak, B.; Banach-Albińska, B.; Szczurowska, A.; Parzymies, M.; Spólna, K. From ex situ cultivation to stands in natural habitats: Critical periods for plants during the reintroduction of Salix lapponum L. in Eastern Poland. J. Nat. Conserv. 2022, 67, 126172. [Google Scholar] [CrossRef]
- Arciszewski, M.; Pogorzelec, M.; Bronowicka-Mielniczuk, U.; Niedźwiecki, M.; Parzymies, M.; Serafin, A. The Search for Suitable Habitats for Endangered Species at Their Historical Sites—Conditions for the Success of Salix lapponum and Salix myrtilloides Reintroduction. Int. J. Environ. Res. Public Health 2023, 20, 1133. [Google Scholar] [CrossRef]
- Marwein, D.; Vijayan, D.; Mao, A.A. Optimized In vitro Propagation, Acclimatization and Reintroduction of Endemic Rhododendron inaequale Hutch. from Northeast India. Asian J. Biotechnol. 2024, 10, 51–59. [Google Scholar] [CrossRef]
- Salama, A.; Shukla, M.R.; Popova, E.; Fisk, N.S.; Jones, M.P.; Saxena, P.K. In vitro propagation and reintroduction of golden paintbrush (Castilleja levisecta), a critically imperilled plant species. Can. J. Plant Sci. 2018, 98, 762–770. [Google Scholar] [CrossRef]
- Lichtenthaler, H.K.; Wellburn, A.R. Determinations of total carotenoids and chlorophylls a and b of leaf extracts in different solvents. Biochem. Soc. Trans. 1983, 11, 591–592. [Google Scholar] [CrossRef]
- Martinez, A.E.; Favret, E.A. Anthocyanin synthesis and lengthening in the first leaf of barley isogenic lines. Plant. Sci. 1990, 71, 35–43. [Google Scholar] [CrossRef]
- Aebi, H. Catalase in vitro. Methods Enzymol. 1984, 105, 121–126. [Google Scholar] [CrossRef] [PubMed]
- Malolepsza, U.; Urbanek, H. Changes in peroxidase activity in bean suspension cultures after B. cinerea and elicitor treatment. J. Phytopathol. 1994, 141, 314–322. [Google Scholar] [CrossRef]
- Kumar, D.; Yusuf, M.A.; Singh, P.; Sardar, M.; Sarin, N.B. Histochemical detection of superoxide and H2O2 accumulation in Brassica juncea seedlings. Bio-Protocol 2014, 4, e1108. [Google Scholar] [CrossRef]
- González, L.; González-Vilar, M. Determination of relative water content. In Handbook of Plant Ecophysiology Techniques, 1st ed.; Reigosa Roger, M.J., Ed.; Springer: Dordrecht, The Netherlands, 2001; pp. 207–212. [Google Scholar] [CrossRef]
- R Core Team. R: A Language and Environment for Statistical Computing; R Foundation for Statistical Computing: Vienna, Austria, 2024; Available online: https://www.R-project.org/ (accessed on 15 October 2024).
- Hasanuzzaman, M.; Nahar, K.; Alam, M.M.; Roychowdhury, R.; Fujita, M. Physiological, biochemical, and molecular mechanisms of heat stress tolerance in plants. Int. J. Mol. Sci. 2013, 14, 9643–9684. [Google Scholar] [CrossRef]
- Awasthi, R.; Kaushal, N.; Vadez, V.; Turner, N.C.; Berger, J.; Siddique, K.H.; Nayyar, H. Individual and combined effects of transient drought and heat stress on carbon assimilation and seed filling in chickpea. Funct. Plant Biol. 2014, 41, 1148–1167. [Google Scholar] [CrossRef]
- Rodríguez, M.; Canales, E.; Borrás-Hidalgo, O. Molecular aspects of abiotic stress in plants. Biotecnol. Apl. 2005, 22, 1–10. [Google Scholar]
- Wassie, M.; Zhang, W.; Zhang, Q.; Ji, K.; Chen, L. Effect of heat stress on growth and physiological traits of alfalfa (Medicago sativa L.) and a comprehensive evaluation for heat tolerance. Agronomy 2019, 9, 597. [Google Scholar] [CrossRef]
- Li, Z.; Ahammed, G.J. Plant stress response and adaptation via anthocyanins: A review. Plant Stress 2023, 10, 100230. [Google Scholar] [CrossRef]
- Li, S.J.; Bai, Y.C.; Li, C.L.; Yao, H.P.; Chen, H.; Zhao, H.X.; Wu, Q. Anthocyanins accumulate in tartary buckwheat (Fagopyrum tataricum) sprout in response to cold stress. Acta Physiol. Plant. 2015, 37, 1–8. [Google Scholar] [CrossRef]
- Nakabayashi, R.; Yonekura-Sakakibara, K.; Urano, K.; Suzuki, M.; Yamada, Y.; Nishizawa, T.; Matsuda, F.; Kojima, M.; Sakakibara, H.; Shinozaki, K.; et al. Enhancement of oxidative and drought tolerance in Arabidopsis by overaccumulation of antioxidant flavonoids. Plant J. 2014, 77, 367–379. [Google Scholar] [CrossRef] [PubMed]
- Schulz, E.; Tohge, T.; Zuther, E.; Fernie, A.R.; Hincha, D.K. Flavonoids are determinants of freezing tolerance and cold acclimation in Arabidopsis thaliana. Sci. Rep. 2016, 6, 34027. [Google Scholar] [CrossRef]
- Shao, L.; Shu, Z.; Sun, S.L.; Peng, C.L.; Wang, X.J.; Lin, Z.F. Antioxidation of anthocyanins in photosynthesis under high temperature stress. J. Integr. Plant Biol. 2007, 49, 1341–1351. [Google Scholar] [CrossRef]
- Chalker-Scott, L. Environmental significance of anthocyanins in plant stress responses. J. Photochem. Photobiol. 1999, 70, 1–9. [Google Scholar] [CrossRef]
- Suzuki, N.; Mittler, R. Reactive oxygen species and temperature stresses: A delicate balance between signaling and destruction. Physiol. Plant. 2006, 126, 45–51. [Google Scholar] [CrossRef]
- Lascano, H.R.; Antonicelli, G.E.; Luna, C.M.; Melchiorre, M.N.; Gomez, L.D.; Racca, R.; Trippi, V.S.; Casano, L.M. Antioxidant system response of different wheat cultivars under drought: Field and in vitro studies. Funct. Plant Biol. 2001, 28, 1095–1102. [Google Scholar] [CrossRef]
- Murthy, S.M.; Devaraj, V.R.; Anitha, P.; Tejavathi, D.H. Studies on the activities of antioxidant enzymes under induced drought stress in in vivo and in vitro plants of Macrotyloma uniflorum (Lam.) Verdc. Recent Res. Sci. Technol. 2012, 4, 34–37. [Google Scholar]
- Harinasut, P.; Poonsopa, D.; Roengmongkol, K.; Charoensataporn, R. Salinity effects on antioxidant enzymes in mulberry cultivar. Sci. Asia 2003, 29, 109–113. [Google Scholar] [CrossRef]
- Platonova, N.; Belous, O. Relationship between the activity of guaiacol peroxidase and the content of photosynthetic pigments in tea leaves. Slovak J. Food Sci. 2020, 14, 1020. [Google Scholar] [CrossRef]
- Kuźniak, E.; Świercz, U.; Chojak, J.; Sekulska-Nalewajko, J.; Gocławski, J. Automated image analysis for quantification of histochemical detection of reactive oxygen species and necrotic infection symptoms in plant leaves. J. Plant Interact. 2013, 9, 167–174. [Google Scholar] [CrossRef]
- Ievinsh, G. Water Content of Plant Tissues: So Simple That Almost Forgotten? Plants 2023, 12, 1238. [Google Scholar] [CrossRef] [PubMed]
- Yadav, S.K. Cold stress tolerance mechanisms in plants. A review. Agron. Sustain. Dev. 2010, 30, 515–527. [Google Scholar] [CrossRef]
- Adhikari, L.; Baral, R.; Paudel, D.; Min, D.; Makaju, S.O.; Poudel, H.P.; Acharya, J.P.; Missaoui, A.M. Cold stress in plants: Strategies to improve cold tolerance in forage species. Plant Stress 2022, 4, 100081. [Google Scholar] [CrossRef]








Disclaimer/Publisher’s Note: The statements, opinions and data contained in all publications are solely those of the individual author(s) and contributor(s) and not of MDPI and/or the editor(s). MDPI and/or the editor(s) disclaim responsibility for any injury to people or property resulting from any ideas, methods, instructions or products referred to in the content. |
© 2024 by the authors. Licensee MDPI, Basel, Switzerland. This article is an open access article distributed under the terms and conditions of the Creative Commons Attribution (CC BY) license (https://creativecommons.org/licenses/by/4.0/).
Share and Cite
Arciszewski, M.; Pogorzelec, M.; Parzymies, M.; Bronowicka-Mielniczuk, U.; Mieczan, T. Do Endangered Glacial Relicts Have a Chance for Effective Conservation in the Age of Global Warming? A Case Study: Salix lapponum in Eastern Poland. Biology 2025, 14, 19. https://doi.org/10.3390/biology14010019
Arciszewski M, Pogorzelec M, Parzymies M, Bronowicka-Mielniczuk U, Mieczan T. Do Endangered Glacial Relicts Have a Chance for Effective Conservation in the Age of Global Warming? A Case Study: Salix lapponum in Eastern Poland. Biology. 2025; 14(1):19. https://doi.org/10.3390/biology14010019
Chicago/Turabian StyleArciszewski, Michał, Magdalena Pogorzelec, Marzena Parzymies, Urszula Bronowicka-Mielniczuk, and Tomasz Mieczan. 2025. "Do Endangered Glacial Relicts Have a Chance for Effective Conservation in the Age of Global Warming? A Case Study: Salix lapponum in Eastern Poland" Biology 14, no. 1: 19. https://doi.org/10.3390/biology14010019
APA StyleArciszewski, M., Pogorzelec, M., Parzymies, M., Bronowicka-Mielniczuk, U., & Mieczan, T. (2025). Do Endangered Glacial Relicts Have a Chance for Effective Conservation in the Age of Global Warming? A Case Study: Salix lapponum in Eastern Poland. Biology, 14(1), 19. https://doi.org/10.3390/biology14010019

