Predictive Modeling of Ungulate–Vehicle Collision in the Republic of Korea
Abstract
Simple Summary
Abstract
1. Introduction
2. Materials and Methods
2.1. Study Area
2.2. Data Collection
2.3. Habitat Suitability Modeling
2.4. UVC Mapping
3. Results
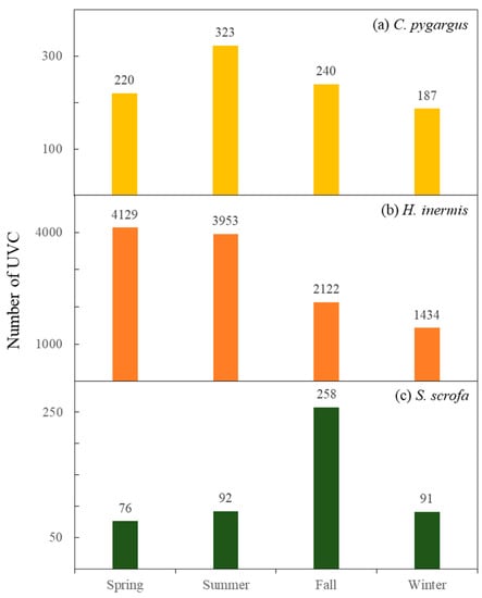
3.1. UVC Data
3.2. Habitat Suitability Models
3.3. UVC Probabilities
4. Discussion
5. Conclusions
Author Contributions
Funding
Institutional Review Board Statement
Informed Consent Statement
Data Availability Statement
Acknowledgments
Conflicts of Interest
References
- Neumann, W.; Ericsson, G.; Dettki, H.; Bunnefeld, N.; Keuler, N.S.; Helmers, D.P.; Radeloff, V.C. Difference in spatiotemporal patterns of wildlife road-crossings and wildlife-vehicle collisions. Biol. Conserv. 2012, 145, 70–78. [Google Scholar] [CrossRef]
- Gren, I.-M.; Häggmark-Svensson, T.; Elofsson, K.; Engelmann, M. Economics of wildlife management—An overview. Eur. J. Wildl. Res. 2018, 64, 22. [Google Scholar] [CrossRef]
- Zuberogoitia, I.; Del Real, J.; Torres, J.J.; Rodríguez, L.; Alonso, M.; Zabala, J. Ungulate vehicle collisions in a peri-urban environment: Consequences of transportation infrastructures planned assuming the absence of ungulates. PLoS ONE 2014, 9, e107713. [Google Scholar] [CrossRef] [PubMed]
- Conover, M.R. Resolving Human-Wildlife Conflicts: The Science of Wildlife Damage Management; CRC Press: Boca Raton, FL, USA, 2001. [Google Scholar]
- Malo, J.E.; Suárez, F.; Díez, A. Can we mitigate animal–vehicle accidents using predictive models? J. Appl. Ecol. 2004, 41, 701–710. [Google Scholar] [CrossRef]
- Huijser, M.P.; Duffield, J.W.; Clevenger, A.P.; Ament, R.J.; McGowen, P.T. Cost–benefit analyses of mitigation measures aimed at reducing collisions with large ungulates in the United States and Canada: A decision support tool. Ecol. Soc. 2009, 14, 15. [Google Scholar] [CrossRef]
- Abra, F.D.; Granziera, B.M.; Huijser, M.P.; Ferraz, K.M.P.M.d.B.; Haddad, C.M.; Paolino, R.M. Pay or prevent? Human safety, costs to society and legal perspectives on animal-vehicle collisions in São Paulo state, Brazil. PLoS ONE 2019, 14, e0215152. [Google Scholar] [CrossRef]
- Bruinderink, G.G.; Hazebroek, E. Ungulate traffic collisions in Europe. Conserv. Biol. 1996, 10, 1059–1067. [Google Scholar] [CrossRef]
- Kim, K.; Serret, H.; Clauzel, C.; Andersen, D.; Jang, Y. Spatio-temporal characteristics and predictions of the endangered leopard cat Prionailirus bengalensis euptilura road-kills in the Republic of Korea. Glob. Ecol. Conserv. 2019, 19, e00673. [Google Scholar] [CrossRef]
- Bond, B.T.; Burger, L.W., Jr.; Leopold, B.D.; Jones, J.C.; Godwin, K.D. Habitat use by cottontail rabbits across multiple spatial scales in Mississippi. J. Wildl. Manag. 2002, 66, 1171–1178. [Google Scholar] [CrossRef]
- Thomas, D.L.; Taylor, E.J. Study designs and tests for comparing resource use and availability II. J. Wildl. Manag. 2006, 70, 324–336. [Google Scholar] [CrossRef]
- Forman, R.T.; Alexander, L.E. Roads and their major ecological effects. Annu. Rev. Ecol. Syst. 1998, 29, 207–231. [Google Scholar] [CrossRef]
- Clevenger, A.P.; Chruszcz, B.; Gunson, K.E. Spatial patterns and factors influencing small vertebrate fauna road-kill aggregations. Biol. Conserv. 2003, 109, 15–26. [Google Scholar] [CrossRef]
- Girardet, X.; Conruyt-Rogeon, G.; Foltête, J.-C. Does regional landscape connectivity influence the location of roe deer roadkill hotspots? Eur. J. Wildl. Res. 2015, 61, 731–742. [Google Scholar] [CrossRef]
- Ng, J.W.; Nielsen, C.; St. Clair, C.C. Landscape and traffic factors influencing deer–vehicle collisions in an urban enviroment. Hum.-Wildl. Confl. 2008, 2, 34–47. [Google Scholar]
- Pokorny, B.; Cerri, J.; Bužan, E. Wildlife roadkill and COVID-19: A biologically significant, but heterogeneous, reduction. J. Appl. Ecol. 2022, 59, 1291–1301. [Google Scholar] [CrossRef]
- Kreling, S.E.; Gaynor, K.M.; Coon, C.A. Roadkill distribution at the wildland-urban interface. J. Wildl. Manag. 2019, 83, 1427–1436. [Google Scholar] [CrossRef]
- Kim, K.; Seo, H.; Woo, D.; Park, T.; Song, E. The water deer on a road: Road-kill characteristics of a nationally abundant but internationally threatened species. J. For. Environ. Sci. 2021, 37, 62–68. [Google Scholar]
- Mayer, M.; Nielsen, J.C.; Elmeros, M.; Sunde, P. Understanding spatio-temporal patterns of deer-vehicle collisions to improve roadkill mitigation. J. Environ. Manag. 2021, 295, 113148. [Google Scholar] [CrossRef]
- Steiner, W.; Schöll, E.M.; Leisch, F.; Hackländer, K. Temporal patterns of roe deer traffic accidents: Effects of season, daytime and lunar phase. PLoS ONE 2021, 16, e0249082. [Google Scholar] [CrossRef]
- Cooper, L.D.; Randall, J.A. Seasonal changes in home ranges of the giant kangaroo rat (Dipodomys ingens): A study of flexible social structure. J. Mammal. 2007, 88, 1000–1008. [Google Scholar] [CrossRef][Green Version]
- He, X.; Chen, M.; Zhang, E. Home range of reintroduced Chinese water deer in Nanhui East Shoal wildlife sanctuary of Shanghai, China. Anim. Prod. Sci. 2016, 56, 988–996. [Google Scholar] [CrossRef]
- Johansson, Ö.; Koehler, G.; Rauset, G.R.; Samelius, G.; Andrén, H.; Mishra, C.; Lhagvasuren, P.; McCarthy, T.; Low, M. Sex-specific seasonal variation in puma and snow leopard home range utilization. Ecosphere 2018, 9, e02371. [Google Scholar] [CrossRef]
- Raymond, S.; Schwartz, A.L.; Thomas, R.J.; Chadwick, E.; Perkins, S.E. Temporal patterns of wildlife roadkill in the UK. PLoS ONE 2021, 16, e0258083. [Google Scholar] [CrossRef] [PubMed]
- Sarno, R.J.; Bank, M.S.; Stern, H.S.; Franklin, W.L. Forced dispersal of juvenile guanacos (Lama guanicoe): Causes, variation, and fates of individuals dispersing at different times. Behav. Ecol. Sociobiol. 2003, 54, 22–29. [Google Scholar] [CrossRef]
- Jo, Y.-S.; Baccus, J.T.; Koprowski, J.L. Mammals of Korea; National Institute of Biological Resources: Incheon, Republic of Korea, 2018. [Google Scholar]
- Park, Y.; Lee, W.; Kim, J.; Oh, H. Morphological examination of the Siberian roe deer Capreolus pygargus in South Korea. J. Anim. Vet. Adv. 2011, 10, 2874–2878. [Google Scholar]
- Park, Y.-S.; Lee, W.-S. Characteristics of Habitat-using of Siberian Roe Deer in Seoraksan (Mt.) National Park. J. Korean Soc. Environ. Restor. Technol. 2014, 17, 91–109. [Google Scholar] [CrossRef][Green Version]
- Kim, D.-H.; Hong, Y.-K. A systemic approach for Roe Deer in Jesudo. Korean Syst. Dyn. Rev. 2006, 7, 191–213. [Google Scholar]
- Kim, B.-J.; Oh, D.-H.; Chun, S.-H.; Lee, S.-D. Distribution, density, and habitat use of the Korean water deer (Hydropotes inermis argyropus) in Korea. Landsc. Ecol. Eng. 2011, 7, 291–297. [Google Scholar] [CrossRef]
- Seo, M.; Seo, J.; Jeong, S.; Hong, Y.; Choi, S.; Hyun, J.; Kim, Y.; Hwang, I.; Lee, S. Wildlife Survey; National Institute of Biological Resources: Incheon, Republic of Korea, 2021. [Google Scholar]
- Kim, K.; Woo, D.; Seo, H.; Park, T.; Song, E.; Choi, T. Korea Road-kill Observation System: The first case to integrate road-kill data in national scale by government. J. For. Environ. Sci. 2019, 35, 281–284. [Google Scholar]
- Cooke, A.S.; Farrell, L. Chinese Water Deer; Mammal Society: London, UK; The British Deer Society: Salisbury, UK, 1998. [Google Scholar]
- Oh, H.-S.; Chang, M.-H.; Kim, B.-S. Current Stains of Mammals in Hallasan National Park. Korean J. Environ. Ecol. 2007, 21, 235–242. [Google Scholar]
- Lee, S.-M.; Lee, E.-J. Diet of the wild boar (Sus scrofa): Implications for management in forest-agricultural and urban environments in South Korea. PeerJ 2019, 7, e7835. [Google Scholar] [CrossRef] [PubMed]
- Phillips, S.J.; Dudík, M.; Schapire, R.E. A maximum entropy approach to species distribution modeling. In Proceedings of the Twenty-First International Conference on Machine Learning, Banff, AB, Canada, 4–8 July 2004; p. 83. [Google Scholar]
- Banavar, J.R.; Maritan, A.; Volkov, I. Applications of the principle of maximum entropy: From physics to ecology. J. Phys. Condens. Matter 2010, 22, 063101. [Google Scholar] [CrossRef]
- Wu, X. Calculation of maximum entropy densities with application to income distribution. J. Econom. 2003, 115, 347–354. [Google Scholar] [CrossRef]
- Rahmati, O.; Pourghasemi, H.R.; Melesse, A.M. Application of GIS-based data driven random forest and maximum entropy models for groundwater potential mapping: A case study at Mehran Region, Iran. Catena 2016, 137, 360–372. [Google Scholar] [CrossRef]
- Chyn, K.; Lin, T.-E.; Wilkinson, D.P.; Tracy, J.L.; Lawing, A.M.; Fitzgerald, L.A. Fine-scale roadkill risk models: Understanding the intersection of wildlife and roads. Biodivers. Conserv. 2021, 30, 139–164. [Google Scholar] [CrossRef]
- Garrote, G.; Fernández–López, J.; López, G.; Ruiz, G.; Simón, M.A. Prediction of Iberian lynx road–mortality in southern Spain: A new approach using the MaxEnt algorithm. Anim. Biodivers. Conserv. 2018, 41, 217–225. [Google Scholar] [CrossRef]
- Ha, H.; Shilling, F. Modelling potential wildlife-vehicle collisions (WVC) locations using environmental factors and human population density: A case-study from 3 state highways in Central California. Ecol. Inform. 2018, 43, 212–221. [Google Scholar] [CrossRef]
- Kantola, T.; Tracy, J.L.; Baum, K.A.; Quinn, M.A.; Coulson, R.N. Spatial risk assessment of eastern monarch butterfly road mortality during autumn migration within the southern corridor. Biol. Conserv. 2019, 231, 150–160. [Google Scholar] [CrossRef]
- Mayadunnage, S.; Stannard, H.; West, P.; Old, J. Identification of roadkill hotspots and the factors affecting wombat vehicle collisions using the citizen science tool, WomSAT. Aust. Mammal. 2022, 45, 53–61. [Google Scholar] [CrossRef]
- Sillero, N.; Poboljšaj, K.; Lešnik, A.; Šalamun, A. Influence of landscape factors on amphibian roadkills at the national level. Diversity 2019, 11, 13. [Google Scholar] [CrossRef]
- Yue, S.; Bonebrake, T.C.; Gibson, L. Informing snake roadkill mitigation strategies in Taiwan using citizen science. J. Wildl. Manag. 2019, 83, 80–88. [Google Scholar] [CrossRef]
- GBIF. GBIF Occurrence Download. The Global Biodiversity Information Facility. Available online: https://www.gbif.org/occurrence/download/0199205-210914110416597 (accessed on 31 March 2022). [CrossRef]
- Hijmans, R.J.; Cameron, S.E.; Parra, J.L.; Jones, P.G.; Jarvis, A. Very high resolution interpolated climate surfaces for global land areas. Int. J. Climatol. J. R. Meteorol. Soc. 2005, 25, 1965–1978. [Google Scholar] [CrossRef]
- Allouche, O.; Tsoar, A.; Kadmon, R. Assessing the accuracy of species distribution models: Prevalence, kappa and the true skill statistic (TSS). J. Appl. Ecol. 2006, 43, 1223–1232. [Google Scholar] [CrossRef]
- Seo, C.; Thorne, J.H.; Choi, T.; Kwon, H.; Park, C.-H. Disentangling roadkill: The influence of landscape and season on cumulative vertebrate mortality in South Korea. Landsc. Ecol. Eng. 2015, 11, 87–99. [Google Scholar] [CrossRef]
- Sadleir, R.M.; Linklater, W.L. Annual and seasonal patterns in wildlife road-kill and their relationship with traffic density. N. Z. J. Zool. 2016, 43, 275–291. [Google Scholar] [CrossRef]
- Elith, J.; Graham, C.H.; Anderson, R.P.; Dudík, M.; Ferrier, S.; Guisan, A.J.; Hijmans, R.; Huettmann, F.; Leathwick, J.; Lehmann, A. Novel methods improve prediction of species’ distributions from occurrence data. Ecography 2006, 29, 129–151. [Google Scholar] [CrossRef]
- Lobo, J.M.; Jiménez-Valverde, A.; Real, R. AUC: A misleading measure of the performance of predictive distribution models. Glob. Ecol. Biogeogr. 2008, 17, 145–151. [Google Scholar] [CrossRef]
- Peers, M.J.; Thornton, D.H.; Murray, D.L. Reconsidering the specialist-generalist paradigm in niche breadth dynamics: Resource gradient selection by Canada lynx and bobcat. PLoS ONE 2012, 7, e51488. [Google Scholar] [CrossRef]
- Hernandez, P.A.; Graham, C.H.; Master, L.L.; Albert, D.L. The effect of sample size and species characteristics on performance of different species distribution modeling methods. Ecography 2006, 29, 773–785. [Google Scholar] [CrossRef]
- Seiler, A. Predicting locations of moose–vehicle collisions in Sweden. J. Appl. Ecol. 2005, 42, 371–382. [Google Scholar] [CrossRef]
- Danks, Z.D.; Porter, W.F. Temporal, spatial, and landscape habitat characteristics of moose—Vehicle collisions in Western Maine. J. Wildl. Manag. 2010, 74, 1229–1241. [Google Scholar]
- Meisingset, E.L.; Loe, L.E.; Brekkum, Ø.; Mysterud, A. Targeting mitigation efforts: The role of speed limit and road edge clearance for deer–vehicle collisions. J. Wildl. Manag. 2014, 78, 679–688. [Google Scholar] [CrossRef]
- Kim, A.; Lee, J.-M.; Jang, G.-S. Modeling the spatial distribution of Roe Deer (Capreolus pygargus) in Jeju Island. J. Korean Assoc. Geogr. Inf. Stud. 2017, 20, 139–151. [Google Scholar]
- Schwartz, A.L.; Shilling, F.M.; Perkins, S.E. The value of monitoring wildlife roadkill. Eur. J. Wildl. Res. 2020, 66, 18. [Google Scholar] [CrossRef]
- Song, E.; Woo, D.; Kim, K.; Park, T. Intensive Survey on Roadkill Hotspots in South Korea; Division of Ecosystem Assessment, National Institute of Ecology: Seocheon, Republic of Korea, 2020. [Google Scholar]
- Korean Statistical Information Service. Available online: https://kosis.kr/ (accessed on 27 November 2022).
- Lee, E.-J.; Rhim, S.-J. Influence of vegetation area and edge length on mammals in urban woods. Anim. Cells Syst. 2017, 21, 294–299. [Google Scholar] [CrossRef][Green Version]
- Boitani, L.; Mattei, L.; Nonis, D.; Corsi, F. Spatial and activity patterns of wild boars in Tuscany, Italy. J. Mammal. 1994, 75, 600–612. [Google Scholar] [CrossRef]
- Focardi, S.; Gaillard, J.-M.; Ronchi, F.; Rossi, S. Survival of wild boars in a variable environment: Unexpected life-history variation in an unusual ungulate. J. Mammal. 2008, 89, 1113–1123. [Google Scholar] [CrossRef]
- Ohashi, H.; Saito, M.; Horie, R.; Tsunoda, H.; Noba, H.; Ishii, H.; Kuwabara, T.; Hiroshige, Y.; Koike, S.; Hoshino, Y. Differences in the activity pattern of the wild boar Sus scrofa related to human disturbance. Eur. J. Wildl. Res. 2013, 59, 167–177. [Google Scholar] [CrossRef]
- Keuling, O.; Stier, N.; Roth, M. Annual and seasonal space use of different age classes of female wild boar Sus scrofa L. Eur. J. Wildl. Res. 2008, 54, 403–412. [Google Scholar] [CrossRef]
- Peris, S. Influence of new irrigated croplands on wild boar (Sus scrofa) road kills in NW Spain. In Animal Biodiversity and Conservation; Colino–Rabanal, V.J., Bosch, J., Muñoz, M.J., Peris, S.J., Eds.; CSUC: Barcelona, Spain, 2012. [Google Scholar]
- Kim, M.; Park, H.; Lee, S. Analysis of Roadkill on the Korean Expressways from 2004 to 2019. Int. J. Environ. Res. Public Health 2021, 18, 10252. [Google Scholar] [CrossRef] [PubMed]








| Category | Variable | Model Used | Explanation |
|---|---|---|---|
| Bioclimate | Annual mean temperature | HSM, UVC | - |
| Bioclimate | Mean diurnal range | HSM | Mean of monthly (max temp −min temp) |
| Bioclimate | Isothermality | HSM | Mean diurnal range/Temperature annual range ×100 |
| Bioclimate | Temperature seasonality | HSM | Standard deviation × 100 |
| Bioclimate | Maximum temperature of warmest month | HSM | - |
| Bioclimate | Minimum temperature of coldest month | HSM | - |
| Bioclimate | Temperature annual range | HSM | Maximum temperature of warmest month- Minimum temperature of coldest month |
| Bioclimate | Mean temperature of wettest quarter | HSM | - |
| Bioclimate | Mean temperature of driest quarter | HSM | - |
| Bioclimate | Mean temperature of warmest quarter | HSM | - |
| Bioclimate | Mean temperature of coldest quarter | HSM | - |
| Bioclimate | Annual precipitation | HSM, UVC | - |
| Bioclimate | Precipitation of wettest month | HSM | - |
| Bioclimate | Precipitation of driest month | HSM | - |
| Bioclimate | Precipitation seasonality | HSM | Coefficient of variation |
| Bioclimate | Precipitation of wettest quarter | HSM | - |
| Bioclimate | Precipitation of driest quarter | HSM | - |
| Bioclimate | Precipitation of warmest quarter | HSM | - |
| Bioclimate | Precipitation of coldest quarter | HSM | - |
| Habitat | Elevation | HSM, UVC | Digital Elevation Model (DEM; GMTED provided by USGS) smoothed using focal statistics |
| Habitat | Slope | HSM, UVC | Derived from DEM using Slope tool in ArcMap |
| Habitat | Ruggedness | HSM, UVC | Derived from DEM—standard deviation of slope using focal statistics |
| Habitat | Habitat landcover | HSM, UVC | Extracted from World Land Cover 30 m BaseVue 2013, Source: MDAUS |
| Habitat | Forest distance | HSM, UVC | Euclidean distance to forest land cover class (BaseVue 2013) |
| Habitat | Urban distance | HSM, UVC | Euclidean distance to urban land cover class (BaseVue 2013) |
| Habitat | Water distance | HSM, UVC | Euclidean distance to water cover class (BaseVue 2013) |
| Habitat | River distance | HSM, UVC | Euclidean distance to streams/rivers |
| Habitat | River-coast distance | HSM, UVC | Euclidean distance to streams/rivers or coast |
| Habitat | Greenness | HSM, UVC | Vegetation index, derived using Tasselled Cap transformation of corrected Landsat reflectance imagery |
| Habitat | Wetness | HSM, UVC | Surface and canopy moisture, derived using Tasselled Cap transformation of corrected Landsat reflectance imagery |
| Habitat | Corridor distance | UVC | Euclidean distance to wildlife crossings |
| Traffic | Lanes | UVC | Number of lanes per road (two-way) |
| Traffic | Max speed | UVC | Maximum road speed |
| Category | Description |
|---|---|
| 1 | Deciduous forest |
| 2 | Evergreen forest |
| 3 | Shrub/Scrub |
| 4 | Grassland |
| 5 | Barren or minimal vegetation |
| 7 | Agriculture, general (cultivated crop lands) |
| 8 | Agriculture, paddy (crop lands characterized by inundation) |
| 9 | Wetland |
| 11 | Water |
| 20 | High density urban (over 70% constructed materials) |
| 21 | Medium-low density urban (30–70% constructed materials) |
| Spring | Summer | Fall | Winter | |
|---|---|---|---|---|
| C. pygargus | ||||
| AUC | 0.877 ± 0.032 | 0.910 ± 0.026 | 0.923 ± 0.032 | 0.962 ± 0.020 |
| TSS | 0.597 ± 0.091 | 0.625 ± 0.038 | 0.804 ± 0.102 | 0.845 ± 0.072 |
| H. inermis | ||||
| AUC | 0.750 ± 0.007 | 0.752 ± 0.007 | 0.785 ± 0.010 | 0.791 ± 0.010 |
| TSS | 0.518 ± 0.020 | 0.515 ± 0.018 | 0.516 ± 0.013 | 0.506 ± 0.012 |
| S. scrofa | ||||
| AUC | 0.785 ± 0.065 | 0.817 ± 0.055 | 0.794 ± 0.035 | 0.754 ± 0.067 |
| TSS | 0.434 ± 0.180 | 0.444 ± 0.241 | 0.436 ± 0.114 | 0.320 ± 0.090 |
| Parameter | Spring | Summer | Fall | Winter |
|---|---|---|---|---|
| Annual mean temperature | 3.4 | 4.3 | 0.9 | 1.5 |
| Annual precipitation | 1.2 | 0.4 | 0.3 | 1.1 |
| Corridor distance | 0.9 | 0.8 | 2.1 | 0.5 |
| Elevation | 2.2 | 1.5 | 0.9 | 0.9 |
| Forest distance | 6.3 | 2.5 | 0.4 | 0.4 |
| Greenness | 5.7 | 3.3 | 1.5 | 0.4 |
| Landcover | 2.1 | 2.8 | 1.6 | 0.1 |
| River distance | 18.3 | 17.9 | 29.4 | 82.9 |
| River-coast distance | 1.8 | 0.2 | 1.5 | 0.2 |
| Habitat suitability | 42.1 | 58.4 | 39.0 | 8.2 |
| Ruggedness | 5.2 | 1.0 | 10.5 | 0.8 |
| Slope | 2.1 | 1.2 | 3.2 | 0.3 |
| Urban distance | 1.3 | 1.6 | 1.2 | 0.6 |
| Water distance | 1.2 | 0.3 | 1.7 | 0.1 |
| Wetness | 0.8 | 1.1 | 0.9 | 0.4 |
| Maximum speed | 2.5 | 2.1 | 2.8 | 0.6 |
| Lanes | 3.0 | 0.6 | 2.1 | 1.2 |
| Parameter | Spring | Summer | Fall | Winter |
|---|---|---|---|---|
| Annual mean temperature | 8.8 | 7.1 | 5.5 | 8.2 |
| Annual precipitation | 1.2 | 1.3 | 1.1 | 3.7 |
| Elevation | 2.2 | 1.7 | 1.8 | 3.7 |
| Forest distance | 0.9 | 0.9 | 0.6 | 0.6 |
| Greenness | 2.8 | 2.3 | 5.7 | 3.1 |
| Landcover | 5.7 | 5.2 | 8.9 | 8.7 |
| River distance | 0.3 | 0.6 | 1.5 | 0.9 |
| River-coast distance | 0.7 | 1.4 | 0.5 | 1.1 |
| Habitat suitability | 30.5 | 32.9 | 25.0 | 23.2 |
| Ruggedness | 0.4 | 0.6 | 0.7 | 0.1 |
| Slope | 0.4 | 0.4 | 0.2 | 1.1 |
| Urban distance | 0.8 | 1.1 | 0.9 | 2.3 |
| Water distance | 0.9 | 0.4 | 0.4 | 0.4 |
| Wetness | 1.3 | 1.3 | 2.1 | 2.6 |
| Corridor distance | 0.4 | 0.6 | 0.8 | 1.3 |
| Maximum speed | 24.3 | 26.7 | 27.4 | 22.8 |
| Lanes | 18.3 | 15.5 | 16.8 | 16.3 |
| Parameter | Spring | Summer | Fall | Winter |
|---|---|---|---|---|
| Annual mean temperature | 1.2 | 0.7 | 0.4 | 0.3 |
| Annual precipitation | 1.0 | 1.3 | 1.5 | 2.9 |
| Corridor distance | 0.2 | 0.2 | 3.9 | 1.3 |
| Elevation | 28.7 | 4.0 | 5.7 | 4.8 |
| Forest distance | 8.7 | 13.1 | 12.7 | 7.4 |
| Greenness | 0.7 | 0.3 | 4.2 | 0.3 |
| Landcover | 1.6 | 5.7 | 7.7 | 11.2 |
| River distance | 9.7 | 7.6 | 4.8 | 17.4 |
| River-coast distance | 3.3 | 0.1 | 4.6 | 2.0 |
| Ruggedness | 3.5 | 2.1 | 5.2 | 13.6 |
| Slope | 3.8 | 1.8 | 1.2 | 1.1 |
| Urban distance | 14.2 | 12.8 | 3.8 | 6.0 |
| Water distance | 1.1 | 8.9 | 3.1 | 1.5 |
| Wetness | 4.8 | 22.7 | 8.4 | 9.4 |
| Maximum speed | 14.8 | 16.9 | 18.1 | 14.8 |
| Lanes | 2.8 | 1.6 | 14.7 | 5.9 |
Disclaimer/Publisher’s Note: The statements, opinions and data contained in all publications are solely those of the individual author(s) and contributor(s) and not of MDPI and/or the editor(s). MDPI and/or the editor(s) disclaim responsibility for any injury to people or property resulting from any ideas, methods, instructions or products referred to in the content. |
© 2023 by the authors. Licensee MDPI, Basel, Switzerland. This article is an open access article distributed under the terms and conditions of the Creative Commons Attribution (CC BY) license (https://creativecommons.org/licenses/by/4.0/).
Share and Cite
Kim, K.; Andersen, D.; Jang, Y. Predictive Modeling of Ungulate–Vehicle Collision in the Republic of Korea. Biology 2023, 12, 1068. https://doi.org/10.3390/biology12081068
Kim K, Andersen D, Jang Y. Predictive Modeling of Ungulate–Vehicle Collision in the Republic of Korea. Biology. 2023; 12(8):1068. https://doi.org/10.3390/biology12081068
Chicago/Turabian StyleKim, Kyungmin, Desiree Andersen, and Yikweon Jang. 2023. "Predictive Modeling of Ungulate–Vehicle Collision in the Republic of Korea" Biology 12, no. 8: 1068. https://doi.org/10.3390/biology12081068
APA StyleKim, K., Andersen, D., & Jang, Y. (2023). Predictive Modeling of Ungulate–Vehicle Collision in the Republic of Korea. Biology, 12(8), 1068. https://doi.org/10.3390/biology12081068
