Fluid Osmolarity Modulates the Rate of Spontaneous Contraction of Lymphatic Vessels and Lymph Flow by Means of a Cooperation between TRPV and VRAC Channels
Abstract
Simple Summary
Abstract
1. Introduction
2. Materials and Methods
2.1. Surgical Procedures and In Vivo Lymphatics Staining
2.2. Ex Vivo Experimental Setup
2.3. Solutions Used
2.4. Stability Test
2.5. Impact of Fluid Osmolarity on Intrinsic Contraction Frequency at 35 °C
2.6. Functional Analysis
2.7. Real-Time PCR Assay for VRACs
2.8. Data Analysis
2.9. Statistical Analysis
3. Results
3.1. Stability Test, Effect of Changes in Fluid Osmolarity on Intrinsic fc at 35 °C, and Preliminary Test of Channels Blockers
3.2. Effect of RuR, HC, and Capsazepine on Lymphatic Intrinsic Contractility in Hypertonic Solution
3.3. Effect of RuR, HC, and Capsazepine on Lymphatic Intrinsic Contractility in Hypotonic Solution
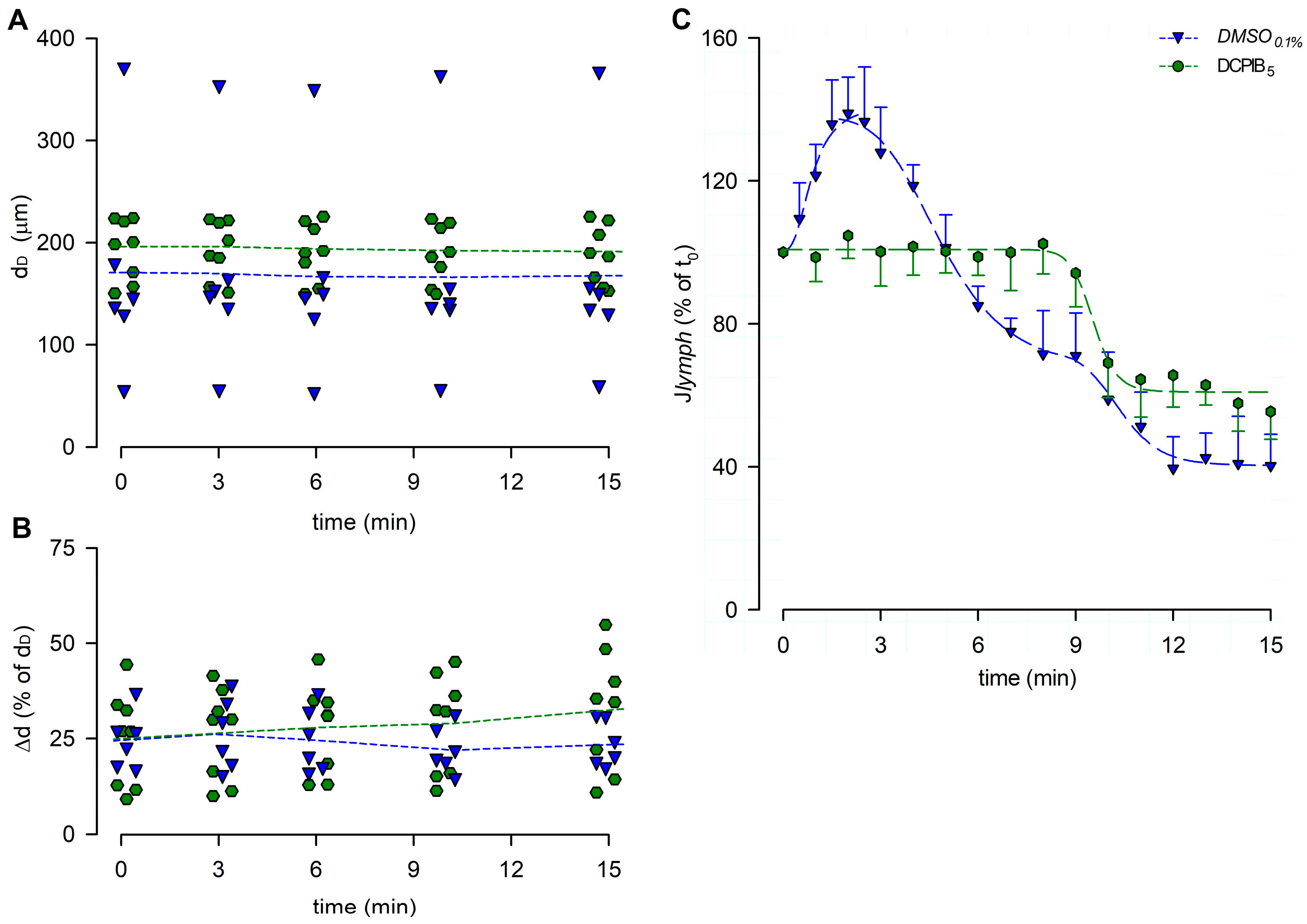
3.4. Effect of DCPIB in the Hypotonic Environment on Lymphatic Intrinsic Contractility
4. Discussion
4.1. Preliminary Findings on the Stability and Plasticity of Intrinsic Contractions
4.2. Response to a Hyperosmolar Environment and Putative Involved Receptors
4.3. Response to a Hyposmolar Environment and Putative Involved Receptors
5. Conclusions
Supplementary Materials
Author Contributions
Funding
Institutional Review Board Statement
Informed Consent Statement
Data Availability Statement
Conflicts of Interest
References
- Wiig, H.; Swartz, M.A. Interstitial fluid and lymph formation and transport: Physiological regulation and roles in inflammation and cancer. Physiol. Rev. 2012, 92, 1005–1060. [Google Scholar] [CrossRef] [PubMed]
- Aukland, K.; Reed, R.K. Interstitial-lymphatic mechanisms in the control of extracellular fluid volume. Physiol. Rev. 1993, 73, 1–78. [Google Scholar] [CrossRef]
- Schmid-Schönbein, G.W. Microlymphatics and lymph flow. Physiol. Rev. 1990, 70, 987–1028. [Google Scholar] [CrossRef] [PubMed]
- Mislin, H. Active contractility of the lymphangion and coordination of lymphangion chains. Experientia 1976, 32, 820–822. [Google Scholar] [CrossRef]
- Solari, E.; Marcozzi, C.; Ottaviani, C.; Negrini, D.; Moriondo, A. Draining the Pleural Space: Lymphatic Vessels Facing the Most Challenging Task. Biology 2022, 11, 419. [Google Scholar] [CrossRef] [PubMed]
- Schmid-Schönbein, G.W. Mechanisms causing initial lymphatics to expand and compress to promote lymph flow. Arch. Histol. Cytol. 1990, 53 Suppl., 107–114. [Google Scholar] [CrossRef]
- Moriondo, A.; Solari, E.; Marcozzi, C.; Negrini, D. Diaphragmatic lymphatic vessel behavior during local skeletal muscle contraction. Am. J. Physiol. Heart Circ. Physiol. 2015, 308, H193–H1205. [Google Scholar] [CrossRef]
- Harris, N.R.; Bálint, L.; Dy, D.M.; Nielsen, N.R.; Méndez, H.G.; Aghajanian, A.; Caron, K.M. The ebb and flow of cardiac lymphatics: A tidal wave of new discoveries. Physiol. Rev. 2023, 103, 391–432. [Google Scholar] [CrossRef]
- Negrini, D.; Moriondo, A.; Mukenge, S. Transmural pressure during cardiogenic oscillations in rodent diaphragmatic lymphatic vessels. Lymphat. Res. Biol. 2004, 2, 69–81. [Google Scholar] [CrossRef]
- Moriondo, A.; Mukenge, S.; Negrini, D. Transmural pressure in rat initial subpleural lymphatics during spontaneous or mechanical ventilation. Am. J. Physiol. Hear. Circ. Physiol. 2005, 289, H263–H269. [Google Scholar] [CrossRef]
- Skalak, T.C.; Schmid-Schönbein, G.W.; Zweifach, B.W. New morphological evidence for a mechanism of lymph formation in skeletal muscle. Microvasc. Res. 1984, 28, 95–112. [Google Scholar] [CrossRef]
- Muthuchamy, M.; Gashev, A.; Boswell, N.; Dawson, N.; Zawieja, D. Molecular and functional analyses of the contractile apparatus in lymphatic muscle. FASEB J. Off. Publ. Fed. Am. Soc. Exp. Biol. 2003, 17, 920–922. [Google Scholar] [CrossRef] [PubMed]
- Bridenbaugh, E.A.; Gashev, A.A.; Zawieja, D.C. Lymphatic muscle: A review of contractile function. Lymphat. Res. Biol. 2003, 1, 147–158. [Google Scholar] [CrossRef]
- von der Weid, P.-Y.; Zawieja, D.C. Lymphatic smooth muscle: The motor unit of lymph drainage. Int. J. Biochem. Cell Biol. 2004, 36, 1147–1153. [Google Scholar] [CrossRef] [PubMed]
- Zawieja, D.C. Contractile physiology of lymphatics. Lymphat. Res. Biol. 2009, 7, 87–96. [Google Scholar] [CrossRef]
- Scallan, J.P.; Zawieja, S.D.; Castorena-Gonzalez, J.A.; Davis, M.J. Lymphatic pumping: Mechanics, mechanisms and malfunction. J. Physiol. 2016, 594, 5749–5768. [Google Scholar] [CrossRef]
- Van Helden, D.F. Pacemaker potentials in lymphatic smooth muscle of the guinea-pig mesentery. J. Physiol. 1993, 471, 465–479. [Google Scholar] [CrossRef]
- Toland, H.M.; McCloskey, K.D.; Thornbury, K.D.; McHale, N.G.; Hollywood, M.A. Ca2+-activated Cl− current in sheep lymphatic smooth muscle. Am. J. Physiol. Cell Physiol. 2000, 279, C1327–C1335. [Google Scholar] [CrossRef] [PubMed]
- von der Weid, P.-Y.; Rahman, M.; Imtiaz, M.S.; van Helden, D.F. Spontaneous transient depolarizations in lymphatic vessels of the guinea pig mesentery: Pharmacology and implication for spontaneous contractility. Am. J. Physiol. Heart Circ. Physiol. 2008, 295, H1989–H2000. [Google Scholar] [CrossRef]
- Allen, J.M.; McHale, N.G. The effect of known K+-channel blockers on the electrical activity of bovine lymphatic smooth muscle. Pflugers Arch. 1988, 411, 167–172. [Google Scholar] [CrossRef]
- McCloskey, K.D.; Toland, H.M.; Hollywood, M.A.; Thornbury, K.D.; McHale, N.G. Hyperpolarisation-activated inward current in isolated sheep mesenteric lymphatic smooth muscle. J. Physiol. 1999, 521 Pt 1, 201–211. [Google Scholar] [CrossRef]
- Negrini, D.; Marcozzi, C.; Solari, E.; Bossi, E.; Cinquetti, R.; Reguzzoni, M.; Moriondo, A. Hyperpolarization-activated cyclic nucleotide-gated channels in peripheral diaphragmatic lymphatics. Am. J. Physiol. Heart Circ. Physiol. 2016, 311, H892–H903. [Google Scholar] [CrossRef] [PubMed]
- Russell, P.S.; Hong, J.; Trevaskis, N.L.; Windsor, J.A.; Martin, N.D.; Phillips, A.R.J. Lymphatic contractile function: A comprehensive review of drug effects and potential clinical application. Cardiovasc. Res. 2022, 118, 2437–2457. [Google Scholar] [CrossRef] [PubMed]
- Negrini, D.; Ballard, S.T.; Benoit, J.N. Contribution of lymphatic myogenic activity and respiratory movements to pleural lymph flow. J. Appl. Physiol. 1994, 76, 2267–2274. [Google Scholar] [CrossRef] [PubMed]
- Moriondo, A.; Solari, E.; Marcozzi, C.; Negrini, D. Lymph flow pattern in pleural diaphragmatic lymphatics during intrinsic and extrinsic isotonic contraction. Am. J. Physiol. Hear. Circ. Physiol. 2016, 310, H60–H70. [Google Scholar] [CrossRef] [PubMed]
- Negrini, D. Morphological, Mechanical and Hydrodynamic Aspects of Diaphragmatic Lymphatics. Biology 2022, 11, 1803. [Google Scholar] [CrossRef] [PubMed]
- Boriek, A.M.; Rodarte, J.R.; Reid, M.B. Shape and tension distribution of the passive rat diaphragm. Am. J. Physiol. Regul. Integr. Comp. Physiol. 2001, 280, R33–R41. [Google Scholar] [CrossRef]
- Moriondo, A.; Solari, E.; Marcozzi, C.; Negrini, D. Spontaneous activity in peripheral diaphragmatic lymphatic loops. Am. J. Physiol. Hear. Circ. Physiol. 2013, 305, H987–H995. [Google Scholar] [CrossRef] [PubMed]
- Solari, E.; Marcozzi, C.; Negrini, D.; Moriondo, A. Temperature-dependent modulation of regional lymphatic contraction frequency and flow. Am. J. Physiol. Hear. Circ. Physiol. 2017, 313, H879–H889. [Google Scholar] [CrossRef]
- Solari, E.; Marcozzi, C.; Bistoletti, M.; Baj, A.; Giaroni, C.; Negrini, D.; Moriondo, A. TRPV4 channels’ dominant role in the temperature modulation of intrinsic contractility and lymph flow of rat diaphragmatic lymphatics. Am. J. Physiol. Heart Circ. Physiol. 2020, 319, H507–H518. [Google Scholar] [CrossRef] [PubMed]
- Solari, E.; Marcozzi, C.; Negrini, D.; Moriondo, A. Fluid Osmolarity Acutely and Differentially Modulates Lymphatic Vessels Intrinsic Contractions and Lymph Flow. Front. Physiol. 2018, 9, 871. [Google Scholar] [CrossRef] [PubMed]
- Yao, X.; Garland, C.J. Recent developments in vascular endothelial cell transient receptor potential channels. Circ. Res. 2005, 97, 853–863. [Google Scholar] [CrossRef] [PubMed]
- Baylie, R.L.; Brayden, J.E. TRPV channels and vascular function. Acta Physiol. 2011, 203, 99–116. [Google Scholar] [CrossRef] [PubMed]
- Venkatachalam, K.; Montell, C. TRP channels. Annu. Rev. Biochem. 2007, 76, 387–417. [Google Scholar] [CrossRef]
- Ciura, S.; Bourque, C.W. Transient receptor potential vanilloid 1 is required for intrinsic osmoreception in organum vasculosum lamina terminalis neurons and for normal thirst responses to systemic hyperosmolality. J. Neurosci. Off. J. Soc. Neurosci. 2006, 26, 9069–9075. [Google Scholar] [CrossRef] [PubMed]
- Nilius, B.; Owsianik, G.; Voets, T.; Peters, J.A. Transient receptor potential cation channels in disease. Physiol. Rev. 2007, 87, 165–217. [Google Scholar] [CrossRef]
- Nishihara, E.; Hiyama, T.Y.; Noda, M. Osmosensitivity of transient receptor potential vanilloid 1 is synergistically enhanced by distinct activating stimuli such as temperature and protons. PLoS ONE 2011, 6, e22246. [Google Scholar] [CrossRef] [PubMed]
- Strotmann, R.; Harteneck, C.; Nunnenmacher, K.; Schultz, G.; Plant, T.D. OTRPC4, a nonselective cation channel that confers sensitivity to extracellular osmolarity. Nat. Cell Biol. 2000, 2, 695–702. [Google Scholar] [CrossRef]
- Liedtke, W.; Choe, Y.; Martí-Renom, M.A.; Bell, A.M.; Denis, C.S.; Sali, A.; Hudspeth, A.J.; Friedman, J.M.; Heller, S. Vanilloid receptor-related osmotically activated channel (VR-OAC), a candidate vertebrate osmoreceptor. Cell 2000, 103, 525–535. [Google Scholar] [CrossRef]
- Wu, L.; Gao, X.; Brown, R.C.; Heller, S.; O’Neil, R.G. Dual role of the TRPV4 channel as a sensor of flow and osmolality in renal epithelial cells. Am. J. Physiol. Renal Physiol. 2007, 293, F1699–F1713. [Google Scholar] [CrossRef]
- Eggermont, J.; Trouet, D.; Carton, I.; Nilius, B. Cellular function and control of volume-regulated anion channels. Cell Biochem. Biophys. 2001, 35, 263–274. [Google Scholar] [CrossRef]
- Moorwood, C.; Liu, M.; Tian, Z.; Barton, E.R. Isometric and eccentric force generation assessment of skeletal muscles isolated from murine models of muscular dystrophies. J. Vis. Exp. 2013, 71, e50036. [Google Scholar] [CrossRef]
- Zingg, W.; Morgan, C.D.; Anderson, D.E. Blood viscosity, erythrocyte sedimentation rate, packed cell volume, osmolality, and plasma viscosity of the Wistar rat. Lab. Anim. Sci. 1971, 21, 740–742. [Google Scholar]
- Schneider, C.A.; Rasband, W.S.; Eliceiri, K.W. NIH Image to ImageJ: 25 years of image analysis. Nat. Methods 2012, 9, 671–675. [Google Scholar] [CrossRef] [PubMed]
- Solari, E.; Marcozzi, C.; Bartolini, B.; Viola, M.; Negrini, D.; Moriondo, A. Acute Exposure of Collecting Lymphatic Vessels to Low-Density Lipoproteins Increases Both Contraction Frequency and Lymph Flow: An In Vivo Mechanical Insight. Lymphat. Res. Biol. 2020, 18, 146–155. [Google Scholar] [CrossRef] [PubMed]
- Fischer, M.J.M.; Uchida, S.; Messlinger, K. Measurement of meningeal blood vessel diameter in vivo with a plug-in for ImageJ. Microvasc. Res. 2010, 80, 258–266. [Google Scholar] [CrossRef] [PubMed]
- Moriondo, A.; Bianchin, F.; Marcozzi, C.; Negrini, D. Kinetics of fluid flux in the rat diaphragmatic submesothelial lymphatic lacunae. Am. J. Physiol. Hear. Circ. Physiol. 2008, 295, H1182–H1190. [Google Scholar] [CrossRef]
- Zawieja, S.D.; Wang, W.; Wu, X.; Nepiyushchikh, Z.V.; Zawieja, D.C.; Muthuchamy, M. Impairments in the intrinsic contractility of mesenteric collecting lymphatics in a rat model of metabolic syndrome. Am. J. Physiol. Heart Circ. Physiol. 2012, 302, H643–H653. [Google Scholar] [CrossRef]
- Gashev, A.A. Basic mechanisms controlling lymph transport in the mesenteric lymphatic net. Ann. N.Y. Acad. Sci. 2010, 1207, E16–E20. [Google Scholar] [CrossRef]
- Gashev, A.A. Physiologic aspects of lymphatic contractile function: Current perspectives. Ann. N.Y. Acad. Sci. 2002, 979, 178–196. [Google Scholar] [CrossRef]
- Fu, S.; Meng, H.; Inamdar, S.; Das, B.; Gupta, H.; Wang, W.; Thompson, C.L.; Knight, M.M. Activation of TRPV4 by mechanical, osmotic or pharmaceutical stimulation is anti-inflammatory blocking IL-1β mediated articular cartilage matrix destruction. Osteoarthr. Cartil. 2021, 29, 89–99. [Google Scholar] [CrossRef]
- Plant, T.D.; Strotmann, R. TRPV4. Handb. Exp. Pharmacol. 2007, 179, 189–205. [Google Scholar] [CrossRef]
- Diener, M. Sensing osmolarity: A new player on the field. J. Physiol. 2020, 598, 5297–5298. [Google Scholar] [CrossRef] [PubMed]
- O’Neil, R.G.; Heller, S. The mechanosensitive nature of TRPV channels. Pflugers Arch. 2005, 451, 193–203. [Google Scholar] [CrossRef]
- Pedersen, S.F.; Okada, Y.; Nilius, B. Biophysics and Physiology of the Volume-Regulated Anion Channel (VRAC)/Volume-Sensitive Outwardly Rectifying Anion Channel (VSOR). Pflugers Arch. 2016, 468, 371–383. [Google Scholar] [CrossRef] [PubMed]













| Solution Name | D-glucose (mM) | D-mannitol (mM) | Drugs | Measured Osmolarity (mOsm) |
|---|---|---|---|---|
| A. preliminary experiments | ||||
| storage | 33 | none | none | 308 |
| control308 | 16.5 | 16.5 | none | 308 |
| B. HYPERosmolar solutions | ||||
| control308 | 16.5 | 16.5 | none | 308 |
| hyper324 | 16.5 | 33 | none | 324 |
| RuR | Ruthenium Red | |||
| RuR10 | 16.5 | 33 | 10 µM | 324 |
| RuR20 | 16.5 | 33 | 20 µM | 324 |
| HC | HC-067047 | |||
| HC2.5 | 16.5 | 33 | 2.5 µM | 324 |
| HC5 | 16.5 | 33 | 5 µM | 324 |
| DMSO0.1% | 16.5 | 33 | Dimethyl sulfoxide 0.1% | 324 |
| caps | capsazepine | |||
| caps5 | 16.5 | 33 | 5 µM | 324 |
| caps10 | 16.5 | 33 | 10 µM | 324 |
| C. HYPO-osmolar solutions | ||||
| control308 | 16.5 | 16.5 | none | 308 |
| hypo290 | 16.5 | 1 | none | 290 |
| RuR | Ruthenium Red | |||
| RuR10 | 16.5 | 1 | 10 µM | 290 |
| RuR20 | 16.5 | 1 | 20 µM | 290 |
| HC | HC-067047 | |||
| HC2.5 | 16.5 | 1 | 2.5 µM | 290 |
| HC5 | 16.5 | 1 | 5 µM | 290 |
| HC10 | 16.5 | 1 | 10 µM | 290 |
| DMSO0.1% | 16.5 | 1 | Dimethyl sulfoxide 0.1% | 290 |
| caps | capsazepine | |||
| caps5 | 16.5 | 1 | 5 µM | 290 |
| caps10 | 16.5 | 1 | 10 µM | 290 |
| DCPIB5 | 16.5 | 1 | DCPIB 5 µM | 290 |
| Oligo Name | Sequence (5′–3′) |
|---|---|
| β-actin | |
| forward | GACAGGATGCAGAAGGAGATTACTG |
| reverse | CTCAGGAGGAGCAATGATCTTGAT |
| VRACs | |
| forward | GGCCACCCTCTTCAAGATCC |
| reverse | ATGTCGCTGTAGCTGCTCTC |
Disclaimer/Publisher’s Note: The statements, opinions and data contained in all publications are solely those of the individual author(s) and contributor(s) and not of MDPI and/or the editor(s). MDPI and/or the editor(s) disclaim responsibility for any injury to people or property resulting from any ideas, methods, instructions or products referred to in the content. |
© 2023 by the authors. Licensee MDPI, Basel, Switzerland. This article is an open access article distributed under the terms and conditions of the Creative Commons Attribution (CC BY) license (https://creativecommons.org/licenses/by/4.0/).
Share and Cite
Solari, E.; Marcozzi, C.; Negrini, D.; Moriondo, A. Fluid Osmolarity Modulates the Rate of Spontaneous Contraction of Lymphatic Vessels and Lymph Flow by Means of a Cooperation between TRPV and VRAC Channels. Biology 2023, 12, 1039. https://doi.org/10.3390/biology12071039
Solari E, Marcozzi C, Negrini D, Moriondo A. Fluid Osmolarity Modulates the Rate of Spontaneous Contraction of Lymphatic Vessels and Lymph Flow by Means of a Cooperation between TRPV and VRAC Channels. Biology. 2023; 12(7):1039. https://doi.org/10.3390/biology12071039
Chicago/Turabian StyleSolari, Eleonora, Cristiana Marcozzi, Daniela Negrini, and Andrea Moriondo. 2023. "Fluid Osmolarity Modulates the Rate of Spontaneous Contraction of Lymphatic Vessels and Lymph Flow by Means of a Cooperation between TRPV and VRAC Channels" Biology 12, no. 7: 1039. https://doi.org/10.3390/biology12071039
APA StyleSolari, E., Marcozzi, C., Negrini, D., & Moriondo, A. (2023). Fluid Osmolarity Modulates the Rate of Spontaneous Contraction of Lymphatic Vessels and Lymph Flow by Means of a Cooperation between TRPV and VRAC Channels. Biology, 12(7), 1039. https://doi.org/10.3390/biology12071039

