Range Dynamics of Striped Field Mouse (Apodemus agrarius) in Northern Eurasia under Global Climate Change Based on Ensemble Species Distribution Models
Abstract
Simple Summary
Abstract
1. Introduction
2. Materials and Methods
2.1. Species Occurrence Records
2.2. Environmental Data (Current Climate)
2.3. Thinning Records and of Environmental Variables
2.4. Environmental Data (Future Climate)
2.5. Species Distribution Modelling
2.5.1. Determination of the iSDM Optimal Parameters
2.5.2. Building iSDMs and Evaluating Model Performance
2.5.3. Building Ensemble Models (eSDMs) under Current and Future Climate Conditions
2.6. Assessment of Range Dynamics under Future Climate (Various Groups of GCMs and Scenarios)
3. Results
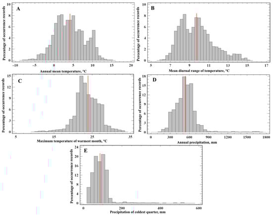
3.1. Characteristics of Records, Selected Predictor Variables, and Training Area
3.2. Predictor Variables for Creating SDMs
3.3. Optimal Parameters of iSDMs
3.4. Variable’s Importance in Created SDMs, Bioclimatic Niche Analysis, and Variable Response Curves
3.5. Predictive Performance of SDMs
3.6. Potential Habitat Suitability of the SFM under Current Climatic Conditions
3.7. Assessment of Species Range Shifts under Global Climate Change
4. Discussion
4.1. Model Considerations
4.2. Why Are Selected Variables Important for the Creation of iSDMs and eSDMs?
4.3. Specific Features of the Potential Range of the SFM at the End of the 20th Century
4.4. Expected Changes in Global Climate in the 21st Century
4.5. What Conclusions Can Be Drawn from the eSDMs under Climate Change?
4.6. Differences in the Impact of GCMs and Scenarios on the Dynamics of Range Change
5. Conclusions
Supplementary Materials
Author Contributions
Funding
Institutional Review Board Statement
Informed Consent Statement
Data Availability Statement
Acknowledgments
Conflicts of Interest
References
- Parmesan, C. Ecological and evolutionary responses to recent climate change. Annu. Rev. Ecol. Evol. Syst. 2006, 37, 637–669. [Google Scholar] [CrossRef]
- Hellmann, J.J.; Byers, J.E.; Bierwagen, B.G.; Dukes, J.S. Five Potential Consequences of Climate Change for Invasive Species. Conserv. Biol. 2008, 22, 534–543. [Google Scholar] [CrossRef]
- Mainka, S.A.; Howard, G.W. Climate change and invasive species: Double jeopardy. Integr. Zool. 2010, 5, 102–111. [Google Scholar] [CrossRef]
- Smith, A.L.; Hewitt, N.; Nicole, K.; Bazely, D.R.; Yan, N.; Wood, S.; Henriques, I.; MacLellan, J.I.; Lipsig-Mummé, C. Effects of climate change on the distribution of invasive alien species in Canada: A knowledge synthesis of range change. Environ. Rev. 2012, 20, 1–16. [Google Scholar] [CrossRef]
- Semenza, J.C.; Menne, B. Climate change and infectious diseases in Europe. Lancet Infect. Dis. 2009, 9, 365–375. [Google Scholar] [CrossRef] [PubMed]
- Bezirtzoglou, C.; Dekas, K.; Charvalos, E. Climate changes, environment and infection: Facts, scenarios and growing awareness from the public health community within Europe. Anaerobe 2011, 17, 337–340. [Google Scholar] [CrossRef] [PubMed]
- Ltizer, S.; Ostfeld, R.S.; Johnson, P.T.J.; Kutz, S.; Harvell, C.D. Climate Change and Infectious Diseases: From Evidence to a Predictive Framework. Science 2013, 341, 514–519. [Google Scholar] [CrossRef]
- Dennis, S.; Fisher, D. Climate Change and Infectious Diseases: The Next 50 Years. Ann. Acad. Med. Singap. 2018, 47, 401–404. [Google Scholar] [CrossRef] [PubMed]
- Githeko, A.K.; Lindsay, S.W.; Confalonieri, U.E.; Patz, J.A. Climate change and vector-borne diseases: A regional analysis. Bull. World Health Organ. 2000, 78, 1136–1147. [Google Scholar] [PubMed]
- Ma, J.; Guo, Y.; Gao, J.; Tang, H.; Xu, K.; Liu, Q.; Xu, L. Climate Change Drives the Transmission and Spread of Vector-Borne Diseases: An Ecological Perspective. Biology 2022, 11, 1628. [Google Scholar] [CrossRef] [PubMed]
- Heyman, P.; Thoma, B.R.; Marié, J.L.; Cochez, C.; Essbauer, S.S. In Search for Factors that Drive Hantavirus Epidemics. Front. Physiol. 2012, 10, 3–237. [Google Scholar] [CrossRef] [PubMed]
- Desvars, A.; Michault, A.; Bourhy, P. Leptospirosis in the western Indian Ocean islands: What is known so far? Vet. Res. 2013, 44, 80. [Google Scholar] [CrossRef]
- Benavidez, K.M.; Guerra, T.; Torres, M.; Rodriguez, D.; Veech, J.A.; Hahn, D.; Miller, R.J.; Soltero, F.V.; Ramírez, A.E.P.; Perez de León, A.; et al. The prevalence of Leptospira among invasive small mammals on Puerto Rican cattle farms. PLoS Negl. Trop. Dis. 2019, 13, e0007236. [Google Scholar] [CrossRef] [PubMed]
- Kosoy, M.; Khlyap, L.; Cosson, J.-F.; Morand, S. Aboriginal and Invasive Rats of Genus Rattus as Hosts of Infectious Agents. Vector Borne Zoonotic Dis. 2015, 15, 3–12. [Google Scholar] [CrossRef] [PubMed]
- Parmesan, C.; Yohe, G. A globally coherent fingerprint of climate change impacts across natural systems. Nature 2003, 421, 37–42. [Google Scholar] [CrossRef]
- Fløjgaard, C.; Morueta-Holme, N.; Skov, F.; Bo Madsen, A.; Svenning, J.C. Potential 21st century changes to the mammal fauna of Denmark–implications of climate change, land-use, and invasive species. Earth Environ. Sci. 2009, 8, 012016. [Google Scholar] [CrossRef]
- Stern, N. Review on the Economics of Climate Change. 2006. Available online: http://mudancasclimaticas.cptec.inpe.br/~rmclima/pdfs/destaques/sternreview_report_complete.pdf (accessed on 19 February 2023).
- Pimentel, D.; McNair, S.; Janecka, J.; Wightman, J.; Simmonds, C.; O’connell, C.; Wong, E.; Russel, L.; Zern, J.; Aquino, T. Economic and environmental threats of alien plant, animal, and microbe invasions. Agric. Ecosyst. Environ. 2001, 84, 1–20. [Google Scholar] [CrossRef]
- Walther, G.R.; Roques, A.; Hulme, P.E.; Sykes, M.T.; Pysek, P.; Kühn, I.; Zobel, M.; Bacher, S.; Botta-Dukát, Z.; Bugmann, H.; et al. Alien species in a warmer world: Risks and opportunities. Trends Ecol. Evol. 2009, 24, 686–693. [Google Scholar] [CrossRef] [PubMed]
- Diez, J.M.; D’Antonio, C.M.; Dukes, J.S.; Grosholz, E.D.; Olden, J.D.; Sorte, C.J.B.; Blumenthal, D.; Bradley, B.; Early, R.; Ibáñez, I.; et al. Will extreme climatic events facilitate biological invasions? Front. Ecol. Environ. 2012, 10, 249–257. [Google Scholar] [CrossRef]
- Foley, J.A.; Defries, R.; Asner, G.P.; Barford, C.; Bonan, G.; Carpenter, S.; Chapin, F.; Coe, M.; Daily, G.; Gibbs, H.; et al. Global Consequences of Land Use. Science 2005, 309, 570–574. [Google Scholar] [CrossRef]
- Butchart, S.H.; Walpole, M.; Collen, B.I.; Van Strien, A.; Scharlemann, J.P.W.; Almond, R.E.A.; Baillie, J.E.M.; Bertzky, B.; Brown, C.; Bruno, J.; et al. Global biodiversity: Indicators of recent declines. Science 2010, 328, 1164–1168. [Google Scholar] [CrossRef]
- Karaseva, E.V. Apodemus agrarius Pallas, 1771-striped field mouse. In Medical Theriology; Kucheruk, V.V., Ed.; Nauka: Moscow, Russia, 1979; pp. 194–203. (In Russian) [Google Scholar]
- Shekhanov, M.V. Natural carriage of pathogens of human diseases by representatives of the order rabbit (Lagomorpha) and rodents (Rodentia) of the fauna of the USSR. In Medical Theriology; Kucheruk, V.V., Ed.; Nauka: Moscow, Russia, 1979; pp. 280–293. (In Russian) [Google Scholar]
- Gajda, E.; Hildebrand, J.; Sprong, H.; Buńkowska-Gawlik, K.; Perec-Matysiak, A.; Coipan, E.C. Spotted fever rickettsiae in wild-living rodents from south-western Poland. Parasites Vectors 2017, 10, 413. [Google Scholar] [CrossRef] [PubMed]
- Kraljik, J.; Paziewska-Harris, A.; Miklisova, D.; Blaňarová, L.; Mošanský, L.; Bona, M.; Stanko, M. Genetic diversity of Bartonella genotypes found in the striped field mouse (Apodemus agrarius) in Central Europe. Parasitology 2016, 143, 1437–1442. [Google Scholar] [CrossRef]
- Trankvilevskiy, D.V.; Tsarenko, V.A.; Zhukov, V.I. Current state of epizootological monitoring of natural foci of infections in the Russian Federation. Med. Parasitol. Parasit. Dis. 2016, 2, 19–24. (In Russian) [Google Scholar]
- Slonova, R.A.; Kushnareva, T.V.; Maksema, I.G.; Kompanets, G.G.; Iunikhina, O.V. Contingency of the epidemic process of hantavirus infection with activity of the epizootic process in populations of mice of the genus Apodemus. Epidemiol. Infect. Dis. 2012, 3, 18–22. (In Russian) [Google Scholar]
- Yashina, L.N.; Smetannikova, N.A.; Kompanets, G.G.; Zdanovskaya, N.I.; Ivanov, L.I. Molecular epidemiology of pathogenic hantaviruses in the Russian Far East, 2015–2018. Probl. Espec. Danger. Infect. 2019, 4, 102–108. (In Russian) [Google Scholar]
- Tkachenko, E.A.; Bernstein, A.D.; Dzagurova, T.K.; Korotina, N.A.; Mutnykh, E.S. Comparative analysis of epidemic outbreaks of HFRS caused by Puumala and Dobrava/Belgrade viruses. Epidemiol. Vaccinal Prev. 2005, 4, 28–34. [Google Scholar]
- Tkachenko, E.A.; Dzagurova, T.K.; Bernstein, A.D.; Korotina, N.A.; Okulova, N.M.; Mutnykh, E.S.; Ivanov, A.P.; Ishmukhametov, A.A.; Yunicheva, Y.V.; Pilikova, O.M.; et al. Hemorrhagic fever with renal syndrome (history, problems and perspectives of the study). Epidemiol. Vaccine Prev. 2016, 3, 23–34. [Google Scholar] [CrossRef]
- Klempa, B.; Avsic-Zupanc, T.; Clement, J.; Dzagurova, T.K.; Henttonen, H.; Heyman, P.; Jakab, F.; Kruger, D.H.; Maes, P.; Papa, A.; et al. Complex evolution and epidemiology of Dobrava-Belgrade hantavirus: Definition of genotypes and their characteristics. Arch. Virol. 2013, 158, 521–529. [Google Scholar] [CrossRef] [PubMed]
- Karaseva, E.V.; Kokovin, I.L. Winter observations of the circulation of Pomona leptospira among field mice of North Ossetia. Zh Microbiol. Epidemiol. Immunol. 1965, 7, 89–93. (In Russian) [Google Scholar]
- Fischer, S.; Mayer-Scholl, A.; Imholt, C.; Spierling, N.G.; Heuser, E.; Schmidt, S.; Reil, D.; Rosenfeld, U.M.; Jacob, J.; Nöckler, K.; et al. Leptospira genomospecies and sequence type prevalence in small mammal populations in Germany. Vector-Borne Zoonotic Dis. 2018, 18, 188–199. [Google Scholar] [CrossRef]
- Pests of agricultural crops and forest plantations. In Pest Arthropods, Vertebrates, 2nd ed.; Vasiliev, V.P., Ed.; Urozhay: Kyiv, Ukraine, 1988; Volume 2–3. [Google Scholar]
- Dgebuadze, Y.Y.; Petrosyan, V.G.; Khlyap, L.A. (Eds.) The Most Dangerous Invasive Species of Russia (TOP-100); KMK Scientific Press: Moscow, Russia, 2018. (In Russian) [Google Scholar]
- Karaseva, E.V.; Tihonova, G.N.; Bogomolov, P.L. Distribution of the striped field mouse (Apodemus agrarius) and peculiarities of its ecology in different parts of its range. Zool. Zhurnal 1992, 71, 106–115. (In Russian) [Google Scholar]
- Khlyap, L.A.; Dinets, V.; Warshavsky, A.A.; Osipov, F.A.; Dergunova, N.N.; Petrosyan, V.G. Aggregated occurrence records of the invasive alien striped field mouse (Apodemus agrarius Pall.) in the former USSR. Biodivers. Data J. 2021, 9, e69159. [Google Scholar] [CrossRef]
- Suzuki, H.; Filippucci, M.; Chelomina, G.; Sato, J.; Serizawa, K.; Nevo, E.A. Biogeographic view of Apodemus in Asia and Europe inferred from nuclear and mitochondrial gene sequence. Biochem. Genet. 2008, 46, 329. [Google Scholar] [CrossRef] [PubMed]
- Latinne, A.; Navascués, M.; Pavlenko, M.; Kartavtseva, I.; Ulrich, R.; Tiouchichine, M.-L.; Catteau, G.; Sakka, H.; Quéré, J.; Chelomina, G.; et al. Phylogeography of the striped field mouse, Apodemus agrarius (Rodentia: Muridae), throughout its distribution range in the Palearctic region. Mamm. Biol. 2020, 100, 19–31. [Google Scholar] [CrossRef]
- Yalkovskaya, L.; Sibiryakov, P.; Borodin, A. Phylogeography of the striped field mouse (Apodemus agrarius Pallas, 1771) in light of new data from central part of Northern Eurasia. PLoS ONE 2022, 17, e0276466. [Google Scholar] [CrossRef]
- Shkilev, V.V. Features of changes in the number of striped field mouse in the Primorsky Krai. Proc. Irkutsk. Insitute Plague Control. Sib. Far East 1960, 23, 171–195. (In Russian) [Google Scholar]
- Kulik, I.L. Ecological structure of the striped field mouse population. In Fauna and Ecology of Rodents, 10; Kucheruk, V.V., Ed.; Moscow State University Press: Moscow, Russia, 1971; pp. 187–198. (In Russian) [Google Scholar]
- Tikhonova, G.N.; Karaseva, E.V.; Bogomolov, P.L. The main changes in the area of the striped field mouse in the Soviet Union over the past 30–40 years. In Synanthropy of Rodents and Limiting Their Numbers; Karaseva, E.V., Ed.; Nauka: Moscow, Russia, 1992; pp. 301–322. (In Russian) [Google Scholar]
- Okulova, N.M.; Duvanova, I.A.; Kalinkina, E.V.; Mironova, T.A.; Nedosekin, V.Y.; Drozdova, V.F. On the ecology of the striped field mouse (Apodemus agrarius Pall.) in the forest-steppe. Chernozemye, I. Number. Povolzhskiy J. Ecol. 2011, 2, 174–184. (In Russian) [Google Scholar]
- Okulova, N.M.; Kalinkina, E.V.; Mironova, T.A.; Sapelnikov, S.F.; Egorov, S.V.; Vlasov, A.A.; Mayorova, A.D. On the ecology of the striped field mouse (Apodemus agrarius Pall.) in the forest-steppe. Chernozemye, II. Biotopes and food. Povolzhskiy J. Ecol. 2011, 3, 370–378. (In Russian) [Google Scholar]
- Neronov, V.M.; Khlyap, L.A.; Tupikova, N.V.; Warshavsky, A.A. Formation of rodent communities in arable lands of Northen Eurasia. Russ. J. Ecol. 2001, 32, 326–333. [Google Scholar] [CrossRef]
- Nikitina, N.A. Features of the territory using by striped field mice (Apodemus agrarius Pall.). Zool. Zhurnal 1958, 37, 1387–1408. (In Russian) [Google Scholar]
- Ehrlich, P.R. Attributes of Invaders and Invading Processes: Vertebrates. In Biological Invasions: A Global Perspective; Drake, J.A., Ed.; Wiley J. & Sons: Chichester, UK; New York, NY, USA; Brisbane, Australia; Toronto, ON, Canada; Singapore, 1989; pp. 315–328. [Google Scholar]
- Tupikova, N.V.; Khlyap, L.A.; Warshavsky, A.A. Field rodents in the Northeastern Palearctic. Zool. Zhurnal 2000, 79, 480–494. (In Russian) [Google Scholar]
- Khlyap, L.A.; Warshavsky, A.A. Synanthropic and agrophilic rodents as invasive alien mammals. Russ. J. Biol. Invasions 2010, 1, 301–312. [Google Scholar] [CrossRef]
- Karaseva, E.V.; Telitsina, A.Y.; Samoilov, B.L. Mammals of Moscow in the Past and Present; Nauka: Moscow, Russia, 1999. (In Russian) [Google Scholar]
- Tikhonova, G.N.; Tikhonov, I.A.; Surov, A.V.; Bogomolov, P.L.; Kotenkova, E.V. Ecological Aspects of the Formation of the Small Mammal Fauna in the Urban Areas of Central Russia; KMK Scientific Press: Moscow, Russia, 2012. (In Russian) [Google Scholar]
- Kearney, M.R.; Brendan, A.; Wintle, B.A.; Porter, W.P. Correlative and mechanistic models of species distribution provide congruent forecasts under climate change. Conserv. Lett. 2010, 3, 203–213. [Google Scholar] [CrossRef]
- Guisan, A.; Thuiller, W.; Zimmermann, N.E. Habitat Suitability and Distribution Models; Cambridge University Press: Cambridge, UK, 2017. [Google Scholar]
- Petrosyan, V.; Osipov, F.; Feniova, I.; Dergunova, N.; Warshavsky, A.; Khlyap, L.; Dzialowski, A. The TOP-100 most dangerous invasive alien species in Northern Eurasia: Invasion trends and species distribution modelling. NeoBiota 2023, 82, 23–56. [Google Scholar] [CrossRef]
- ESRI (Environmental Systems Research Institute) (2017): ArcGis Desktop 10.4.1–ESRI, Redlands, California. Available online: https://desktop.arcgis.com (accessed on 9 July 2020).
- Fick, S.E.; Hijmans, R.J. WorldClim 2: New 1km spatial resolution climate surfaces for global land areas. Int. J. Climatol. 2017, 37, 4302–4315. [Google Scholar] [CrossRef]
- De Marco, P.; Diniz, J.A.F.; Bini, L.M. Spatial analysis improves species distribution modelling during range expansion. Biol. Lett. 2008, 4, 577–580. [Google Scholar] [CrossRef]
- Marcer, A.; Pino, J.; Pons, X.; Brotons, L. Modelling invasive alien species distributions from digital biodiversity atlases. Model upscaling as a means of reconciling data at different scales. Divers. Distrib. 2012, 18, 1177–1189. [Google Scholar] [CrossRef]
- Bellard, C.; Thuiller, W.; Leroy, B.; Genovesi, P.; Bakkenes, M.; Courchamp, F. Will climate change promote future invasions? Glob. Chang. Biology 2013, 19, 3740–3748. [Google Scholar] [CrossRef]
- Halvorsen, R.; Mazzoni, S.; Dirksen, J.; Nasset, E.; Gobakken, T.; Ohlson, M. How important are choice of model selection method and spatial autocorrelation of presence data for distribution modelling by MaxEnt? Ecol. Modell. 2016, 328, 108–118. [Google Scholar] [CrossRef]
- Pili, A.N.; Tingley, R.; Sy, E.Y.; Diesmos, M.L.; Diesmos, A.C. Niche shifts and environmental non-equilibrium undermine the usefulness of ecological niche models for invasion risk assessments. Sci. Rep. 2020, 10, e7972. [Google Scholar] [CrossRef]
- Aiello-Lammens, M.E.; Boria, R.A.; Radosavljevic, A.; Vilela, B.; Anderson, R.P.; Silva, D.P. spThin: An R package for spatial thinning of species occurrence records for use in ecological niche models. Ecography 2015, 38, 541–545. [Google Scholar] [CrossRef]
- Rodda, G.H.; Jarnevich, C.S.; Reed, R.N. Challenges in identifying sites climatically matched to the native ranges of animal invaders. PLoS ONE 2011, 6, e14670. [Google Scholar] [CrossRef]
- Lobo, J.M.; Jimenez-Valverde, A.; Real, R. AUC: A misleading measure of the performance of predictive distribution models. Glob. Ecol. Biogeogr. 2008, 17, 145–151. [Google Scholar] [CrossRef]
- Lobo, J.M.; Jimenez-Valverde, A.; Hortal, J. The uncertain nature of absences and their importance in species distribution modelling. Ecography 2010, 33, 103–114. [Google Scholar] [CrossRef]
- Warren, D.L.; Glor, R.E.; Turelli, M. ENMTools: A toolbox for comparative studies of environmental niche models. Ecography 2010, 33, 607–611. [Google Scholar] [CrossRef]
- Naimi, B.; Hamm, N.A.S.; Groen, T.A.; Skidmore, A.K.; Toxopeus, A.G. Where is positional uncertainty a problem for species distribution modelling. Ecography 2014, 37, 191–203. [Google Scholar] [CrossRef]
- IPCC (2021) Sixth Assessment Report of the IPCCWorking Group, I. Available online: https://www.ipcc.ch/assessment-report/ar6/ (accessed on 9 July 2020).
- Riahi, K.; van Vuuren, D.P.; Kriegler, E.; Edmonds, J.; O’Neill, B.C.; Fujimori, S.; Bauer, N.; Calvin, K.; Dellink, R.; Fricko, O.; et al. The Shared Socioeconomic Pathways and Their Energy, Land Use, and Greenhouse Gas Emissions Implications: An Overview. Glob. Environ. Change 2017, 42, 153–168. [Google Scholar] [CrossRef]
- Bauer, N.; Calvin, K.; Emmerling, J.; Fricko, O.; Fujimori, S.; Hilaire, J.; van Vuuren, D.P. Shared SocioEconomic Pathways of the Energy Sector–Quantifying the Narratives. Glob. Environ. Change 2017, 42, 316–330. [Google Scholar] [CrossRef]
- O’Neill, B.C.; Carter, T.R.; Ebi, K.; Harrison, P.A.; KempBenedict, E.; Kok, K.; Kriegler, E.; Preston, B.; Riahi, K.; Sillmann, J.; et al. Achievements and needs for the climate change scenarios framework. Nat. Clim. Chang. 2020, 10, 1074–1084. [Google Scholar] [CrossRef]
- Meehl, G.A.; Senior, C.A.; Eyring, V.; Flato, G.; Lamarque, J.F.; Stouffer, R.J.; Taylor, K.E.; Schlund, M. Context for interpreting equilibrium climate sensitivity and transient climate response from the CMIP6 Earth system models. Sci. Adv. 2020, 6, eaba1981. [Google Scholar] [CrossRef]
- Pridannikov, M.V.; Zinovjeva, S.V.; Khudyakova, E.A.; Limantseva, L.A.; Osipov, F.A.; Dergunova, N.N.; Petrosyan, V.G. Range dynamics of potato cyst nematode Globodera rostochiensis (Wollenweber, 1923) Skarbilovich, 1959 under conditions of global climate change in Russia. Russ. J. Biol. Invasions 2022, 13, 510–529. [Google Scholar] [CrossRef]
- Scafetta, N. CMIP6 GCM ensemble members versus global surface temperatures. Clim. Dyn. 2023, 60, 3091–3120. [Google Scholar] [CrossRef]
- Swart, N.C.; Cole, J.N.S.; Kharin, V.V.; Lazare, M.; Scinocca, J.F.; Gillett, N.P.; Anstey, J.; Arora, V.; Christian, J.R.; Hanna, S.; et al. The Canadian Earth System Model version 5 (CanESM5.0.3). Geosci. Model. Dev. 2019, 12, 4823–4873. [Google Scholar] [CrossRef]
- Voldoire, A.; Saint-Martin, D.; Sénési, S.; Decharme, B.; Alias, A.; Chevallier, M.; Colin, J.; Guérémy, J.; Michou, M.; Moine, M.; et al. Evaluation of CMIP6 DECK experiments with CNRM-CM6-1. JAMES 2019, 11, 2177–2213. [Google Scholar] [CrossRef]
- Séférian, R.; Nabat, P.; Michou, M.; Saint-Martin, D.; Voldoire, A.; Colin, J.; Decharme, B.; Delire, C.; Berthet, S.; Chevallier, M.; et al. Evaluation of CNRM Earth-System model, CNRM-ESM2-1: Role of Earth system processes in present-day and future climate. JAMES 2019, 11, 4182–4227. [Google Scholar] [CrossRef]
- Boucher, O.; Servonnat, J.; Albright, A.L.; Aumont, O.; Balkanski, Y.; Bastrikov, V.; Bekki, S.; Bonnet, R.; Bony, S.; Bopp, L.; et al. Presentation and evaluation of the IPSL-CM6A-LR climate model. JAMES 2020, 12, e2019MS002010. [Google Scholar] [CrossRef]
- Saint-Martin, D.; Geoffroy, O.; Voldoire, A.; Cattiaux, J.; Brient, F.; Chauvin, F.; Chevallier, M.; Colin, J.; Decharme, B.; Delire, C.; et al. Tracking changes in climate sensitivity in CNRM climate models. JAMES 2021, 13, e2020MS002190. [Google Scholar] [CrossRef]
- Döscher, R.; Acosta, M.; Alessandri, A.; Anthoni, P.; Arneth, A.; Arsouze, T.; Bergman, T.; Bernardello, R.; Arneth, A.; Arsouze, T.; et al. The EC-Earth3 Earth System Model for the Climate Model Intercomparison Project 6. Geosci. Model. Dev. 2022, 15, 2973–3020. [Google Scholar] [CrossRef]
- Kawai, H.; Yukimoto, S.; Koshiro, T.; Oshima, N.; Tanaka, T.; Yoshimura, H.; Nagasawa, R. Significant improvement of cloud representation in the global climate model MRI-ESM2. Geosci. Model. Dev. 2019, 12, 2875–2897. [Google Scholar] [CrossRef]
- Sun, C.; Zuo, J.; Shi, X.; Liu, X.; Liu, H. Diverse Inter-Annual Variations of Winter Siberian High and Link With Eurasian Snow in Observation and BCC-CSM2-MR Coupled Model Simulation. Front. Earth Sci. 2021, 9, 761311. [Google Scholar] [CrossRef]
- Hajima, T.; Watanabe, M.; Yamamoto, A.; Tatebe, H.; Noguchi, M.A.; Abe, M.; Ohgaito, R.; Ito, A.; Yamazaki, D.; Okajima, H.; et al. Development of the MIROC-ES2L Earth system model and the evaluation of biogeochemical processes and feedbacks. Geosci. Model. Dev. 2020, 13, 2197–2244. [Google Scholar] [CrossRef]
- Michibata, T.; Suzuki, K.; Sekiguchi, M.; Takemura, T. Prognostic precipitation in the MIROC6-SPRINTARS GCM: Description and evaluation against satellite observations. JAMES 2019, 11, 839–860. [Google Scholar] [CrossRef]
- Kelley, M.; Schmidt, G.A.; Nazarenko, L.S.; Bauer, S.E.; Ruedy, R.; Russell, G.L.; Ackerman, A.S.; Aleinov, I.; Bauer, M.; Bleck, R.; et al. GISS-E2.1: Configurations and climatology. JAMES 2020, 12, e2019MS002025. [Google Scholar] [CrossRef] [PubMed]
- Volodin, E.M.; Mortikov, E.V.; Kostrykin, S.V.; Galin, V.Y.; Lykossov, V.N.; Gritsun, A.S.; Diansky, N.A.; Gusev, A.V.; Iakovlev, N.G.; Shestakova, A.A.; et al. Simulation of the modern climate using the INM-CM48 climate model. Russ. J. Numer. Anal. M. 2018, 33, 367–374. [Google Scholar] [CrossRef]
- Thuiller, W.; Lafourcade, B.; Engler, R.; Araujo, M.B. BIOMOD—A platform for ensemble forecasting of species distributions. Ecography 2009, 32, 369–373. [Google Scholar] [CrossRef]
- Petitpierre, B.; Kueer, C.; Broennimann, O.; Randin, C.; Daehler, C.; Guisan, A. Climatic niche shifts are rare among terrestrial plant invaders. Science 2012, 335, 1344–1348. [Google Scholar] [CrossRef] [PubMed]
- Hao, T.; Elith, J.; Lahoz-Monfort, J.J.; Guillera-Arroita, G. Testing whether ensemble modelling is advantageous for maximising predictive performance of species distribution models. Ecography 2020, 43, 549–558. [Google Scholar] [CrossRef]
- Alabia, I.D.; Saitoh, S.I.; Igarashi, H.; Ishikawa, Y.; Usui, N.; Kamachi, M.; Awaji, T.; Seito, M. Ensemble squid habitat model using three-dimensional ocean data. ICES J. Mar. Sci. 2016, 73, 1863–1874. [Google Scholar] [CrossRef]
- Tabor, J.A.; Koch, J.B. Ensemble models predict invasive bee habitat suitability will expand under future climate scenarios in Hawai’i. Insects 2021, 12, 443. [Google Scholar] [CrossRef]
- Phillips, S.J.; Anderson, R.P.; Schapire, R.E. Maximum entropy modeling of species geographic distributions. Ecol. Modell. 2006, 190, 231–259. [Google Scholar] [CrossRef]
- Thuiller, W.; Georges, D.; Gueguen, D.; Engler, R.; Breiner, F. Ensemble Platform for Species Distribution Modeling (2021). Available online: https://cran.r-project.org/web/packages/biomod2/biomod2.pdf (accessed on 6 July 2021).
- Radosavljevic, A.; Anderson, R.P. Making better MaxEnt models of species distributions: Complexity, overfitting and evaluation. J. Biogeogr. 2014, 41, 629–643. [Google Scholar] [CrossRef]
- Ooi, H.; Weston, S.; Tenenbaum, D. Foreach Parallel Adaptor for the ‘Parallel’ Package. Available online: https://github.com/RevolutionAnalytics/doparallel (accessed on 13 October 2022).
- Allouche, O.; Tsoar, A.; Kadmon, R. Assessing the accuracy of species distribution models: Prevalence, kappa and the true skill statistic (TSS). J. Appl. Ecol. 2006, 46, 1223–1232. [Google Scholar] [CrossRef]
- Barbet-Massin, M.; Jiguet, F.; Albert, C.H.; Thuiller, W. Selecting pseudo-absences for species distribution models: How, where and how many? Methods Ecol. Evol. 2012, 3, 327–338. [Google Scholar] [CrossRef]
- Boyce, M.S.; Vernier, P.R.; Nielsen, S.E.; Schmiegelow, F.K.A. Evaluating resource selection functions. Ecol. Modell. 2002, 157, 281–300. [Google Scholar] [CrossRef]
- Hirzel, A.H.; Lay, G.L.; Helfer, V.; Randin, C.; Guisan, A. Evaluating the ability of habitat suitability models to predict species presences. Ecol. Modell. 2006, 199, 142–152. [Google Scholar] [CrossRef]
- Petrosyan, V.G.; Osipov, F.A.; Bobrov, V.V.; Dergunova, N.N.; Danielyan, F.D.; Arakelyan, M.S. Analysis of geographical distribution of the parthenogenetic rock lizard Darevskia armeniaca and its parental species (D. mixta, D. valentini) based on ecological modelling. Salamandra 2019, 55, 173–190. [Google Scholar]
- Petrosyan, V.; Osipov, F.; Bobrov, V.; Dergunova, N.; Omelchenko, A.; Varshavskiy, A.; Danielyan, F.; Arakelyan, M. Species Distribution models and niche partitioning among unisexual Darevskia dahli and its parental bisexual (D. portschinskii, D. mixta) rock lizards in the Caucasus. Mathematics 2020, 8, 1329. [Google Scholar] [CrossRef]
- R-version 3.6.2. The R Project for Statistical Computing. 2019. Available online: https://www.r-project.org (accessed on 12 December 2019).
- Paradis, E.; Schliep, K. ape 5.0: An environment for modern phylogenetics and evolutionary analyses in R. Bioinformatics 2019, 35, 526–528. [Google Scholar] [CrossRef]
- Hijmans, R.J.; Etten, J.V.; Sumner, M.; Cheng, J.; Baston, D.; Bevan, A.; Bivand, R.; Busetto, L.; Canty, M.; Fasoli, B.; et al. Raster: Geographic Data Analysis and Modeling. 2020. Available online: https://rspatial.org/raster (accessed on 9 July 2020).
- Cola, V.D.; Broennimann, O.; Petitpierre, B.; Breiner, F.; D’Amen, M.; Randin, C.; Engler, R.; Pottier, J.; Pio, D.; Dubuis, A.; et al. Ecospat: An R package to support spatial analyses and modeling of species niches and distributions. Ecography 2017, 40, 774–787. [Google Scholar] [CrossRef]
- Muscarella, R.; Galante, P.J.; Soley-Guardia, M.; Boria, R.A.; Kass, J.M.; Uriarte, M.; Anderson, R.P. ENMeval: An R package for conducting spatially independent evaluations and estimating optimal model complexity for Maxent ecological niche models. Methods Ecol. Evol. 2014, 5, 1198–1205. [Google Scholar] [CrossRef]
- Rstudio is an Integrated Development Environment (IDE) for R Language. Available online: https://www.rstudio.com (accessed on 9 July 2020).
- Elith, J.; Leathwick, J.R. Species distribution models: Ecological explanation and prediction across space and time. Annu. Rev. Ecol. Evol. Syst. 2009, 40, 677–697. [Google Scholar] [CrossRef]
- Elith, J.; Kearney, M.; Phillips, S. The art of modelling range-shifting species: The art of modelling range-shifting species. Methods Ecol. Evol. 2010, 1, 330–342. [Google Scholar] [CrossRef]
- Leroy, B.; Delsol, R.; Hugueny, B.; Meynard, C.N.; Barhoumi, C.; Barbet-Massin, M.; Bellard, C. Without quality presence-absence data, discrimination metrics such as TSS can be misleading measures of model performance. J. Biogeogr. 2018, 45, 1994–2002. [Google Scholar] [CrossRef]
- Dew, R.M.; Silva, D.P.; Rehan, S.M. Range expansion of an already widespread bee under climate change. Glob. Ecol. Conserv. 2019, 17, e00584. [Google Scholar] [CrossRef]
- Eckert, S.; Hamad, A.; Kilawe, C.J.; Linders, T.E.W.; Ng, W.; Mbaabu, P.R.; Shiferaw, H.; Witt, A.; Schaffner, U. Niche change analysis as a tool to inform management of two invasive species in Eastern Africa. Ecosphere 2020, 11, ecs2.2987. [Google Scholar] [CrossRef]
- Araújo, M.B.; New, M. Ensemble forecasting of species distributions. Trends Ecol. Evol. 2007, 22, 42–47. [Google Scholar] [CrossRef]
- Guisan, A.; Thuiller, W. Predicting species distribution: Offering more than simple habitat models. Ecol. Lett. 2005, 8, 993–1009. [Google Scholar] [CrossRef]
- Araujo, M.B.; Pearson, R.G.; Thuiller, W.; Erhard, M. Validation of species-climate impact models under climate change. Glob. Chang. Biol. 2005, 11, 1504–1513. [Google Scholar] [CrossRef]
- Yoon, M.H.; Jung, S.J.; Oh, H.S. Population structure and reproductive pattern of the Korean striped field mouse, Apodemus agrarius. Kor. J. Biol. Sci. 1997, 1, 53–61. [Google Scholar] [CrossRef]
- Chassovnikarova, T.; Dimitrov, H.; Markov, G.; Mitev, D. Distribution and habitat association of field mouse (Apodemus agrarius Pallas, 1771) in national park Strandja. In Proceedings of the Balkan Scientific Conference of Biology in Plovdiv (Bulgaria), Plovdiv, Bulgaria, 19–21 May 2005. [Google Scholar]
- Wang, D.; Anderson, D.P.; Li, K.; Guo, Y.; Yang, Z.; Pech, R. Predicted population dynamics of an indigenous rodent, Apodemus agrarius, in an agricultural system. Crop Prot. 2021, 147, 105683. [Google Scholar] [CrossRef]
- Shkilev, V.V. Indicators for forecasting the number of rodents in Primorsky Krai. Proc. Irkutsk. Insitute Plague Control. Sib. Far East. 1962, 4, 127–131. (In Russian) [Google Scholar]
- Scheffers, B.R.; Meester, L.D.; Bridge, T.C.L.; Hoffmann, A.A.; Pandolfi, J.M.; Corlett, R.T.; Butchart, S.H.M.; Pearce-Kelly, P.; Kovacs, K.M.; Dudgeon, D.; et al. The broad footprint of climate change from genes to biomes to people. Science 2016, 354, 7671–7679. [Google Scholar] [CrossRef]
- Matyushkin, E.A. The European-Eastern Asian gap in the ranges of terrestrial vertebrates. Zool. Zhurnal 1976, 55, 1277–1291. (In Russian) [Google Scholar]
- Borkin, L.Y. European-Far East Range Breaks in Amphibians: A New Analysis of the Problem. In Ecology and Faunistics of Amphibians and Reptiles of the USSR and Neighboring Countries; Borkin, L.Y., Ed.; Proceedings of the Zoological Institute of the Academy of Sciences (ZIN AS); ZIN AS Press: Leningrad, Russia, 1984; Volume 124, pp. 55–88. (In Russian) [Google Scholar]
- Fuchs, T. Ueber die lebenden Analoga der jungtertiaren Paludinenschichten und der Melanopsismergel Siidosteuropas. Verhandlungen K. K. Geol. Reichsanst. 1879, 13, 297–300. [Google Scholar]
- Wallace, A.R. Island life: Or, the Phenomena and Cases of Insular Faunas and Fiores, Including a Revision and Attempted Solution of the Problem of Geological Climates; Macmilian: London, UK, 1880. [Google Scholar]
- Simpson, C.F. The classification and geographical distribution of the pearly fresh-water mussels. Proc. U. S. Natl. Mus. 1896, 18, 295–343. [Google Scholar] [CrossRef]
- Hersbach, H.; Bell, B.; Berrisford, P.; Berrisford, P.; Hirahara, S.; Horányi, A.; Muñoz-Sabater, J.; Nicolas, J.; Peubey, C.; Radu, R.; et al. The ERA5 global reanalysis. Q. J. R. Meteorol. Soc. 2020, 146, 1999–2049. [Google Scholar] [CrossRef]
- Simmons, A.; Hersbach, H.; Muñoz-Sabater, J.; Nicolas, J.; Vamborg, F.; Berrisford, P.; de Rosnay, P.; Willett, K.; Woollen, J. Low frequency variability and trends in surface air temperature and humidity from ERA5 and other datasets. ECMWF. Available online: http://www.ecmwf.int/en/research/publications (accessed on 10 May 2023).
- Scafetta, N. Advanced testing of low, medium, and high ECS CMIP6 GCM simulations versus ERA5-T2m. Geophys. Res. Lett. 2022, 49, e2022GL097716. [Google Scholar] [CrossRef]
- Jiménez-de-la Cuesta, D.; Mauritsen, T. Emergent constraints on Earth’s transient and equilibrium response to doubled CO2 from post-1970s global warming. Nat. Geosci. 2019, 12, 902–905. [Google Scholar] [CrossRef]
- Nijsse, F.J.M.M.; Cox, P.M.; Williamson, M.S. Emergent constraints on transient climate response (TCR) and equilibrium climate sensitivity (ECS) from historical warming in CMIP5 and CMIP6 models. Earth Syst. Dyn. 2020, 11, 37–750. [Google Scholar] [CrossRef]
- Zelinka, M.D.; Myers, T.A.; McCoy, D.T.; Po-Chedley, S.; Caldwell, P.M.; Ceppi, P.; Klein, S.A.; Taylor, K.E. Causes of higher climate sensitivity in CMIP6 models. Geophys. Res. Lett. 2020, 47, e2019GL085782. [Google Scholar] [CrossRef]
- Zhu, J.; Poulsen, C.J.; Otto-Bliesner, B.L. High climate sensitivity in CMIP6 model not supported by paleoclimate. Nat. Clim. Chang. 2020, 10, 378–379. [Google Scholar] [CrossRef]
- Lewis, N.; Curry, J. The Impact of Recent Forcing and Ocean Heat Uptake Data on Estimates of Climate Sensitivity. J. Clim. 2018, 31, 6051–6071. [Google Scholar] [CrossRef]
- Stefani, F. Solar and Anthropogenic Influences on Climate: Regression Analysis and Tentative Predictions. Climate 2021, 9, 163. [Google Scholar] [CrossRef]
- van Wijngaarden, W.A.; Happer, W. Dependence of Earth’s Thermal Radiation on Five Most Abundant Greenhouse Gases. Cornell Univ. 2020, pp. 1–38. Available online: https://arxiv.org/abs/2006.03098 (accessed on 10 May 2023).
- Pavlenko, M.V.; Korablev, V.P.; Kartavtseva, I.V.; Kardash, A.I. Changing the boundaries of the range of the striped striped field mouse Apodemus agrarius Pallas, 1771 (Rodentia, Muridae) in Transbaikalia: New finds from the disjunction zone and their genetic characteristics. In Environmental Cooperation of the Chita Region (Russian Federation) and the Inner Mongolia Autonomous Region (PRC) in Transboundary Ecological Regions; Konstantinov, M., Ed.; Transbaikal Humanities Pedagogical University Press: Chita, Russia, 2007; pp. 260–265. (In Russian) [Google Scholar]
- Bazhenov, Y.A.; Pavlenko, M.V.; Korablev, V.P.; Kardash, A. Current distribution of the striped field mouse (Apodemus agrarius Pallas, 1771) in Eastern Transbaikalia: New findings in the disjunction area. Russ. J. Biol. Invasions 2015, 6, 1–5. [Google Scholar] [CrossRef]
- Khlyap, L.A.; Warshavsky, A.A.; Dergunova, N.N.; Osipov, F.A.; Petrosyan, V.G. The most dangerous invasive near-water mammals in Russia: Ensemble models of spatial distribution. Russ. J. Biol. Invasions 2023, in press. [CrossRef]
- de Martonne, E. Traité de Géographie Physique, Geologiska Föreningen i Stockholm Förhandlingar; Taylor & Francis: Milton Park, UK, 1926; Volume 48, p. 101. [Google Scholar]
- Demin, A.P. Transformation of the state of irrigated lands in the steppe regions of Russia. Steppes North. Eurasia Proc. IX Int. Symp. 2012, T9, 260–262. [Google Scholar]











| iSDM Methods | Default Parameters | Optimal Parameters |
|---|---|---|
| GLM | type = ‘quadratic’; interaction.level = 0; myFormula = NULL | type = ‘quadratic’; interaction.level = 0; myFormula = A. agrarius~Bio_01 + I(Bio_012) + Bio_02 + I(Bio_022) + Bio_05 + I(Bio_052) + Bio_12 + I(Bio_122) + Bio_19 + I(Bio_192) |
| GAM | k = −1, interaction.level = 0; select = FALSE | k = 2, interaction.level = 1; select = FALSE |
| GBM | n.trees = 2500; interaction.depth = 7; shrinkage = 0.001 | n.trees = 10,000, interaction.depth = 9, shrinkage = 0.0005 |
| FDA | add_args = NULL (degree = 1; nprune = NULL) | degree = 2; nprune = 16 |
| RF | ntree = 500; mtry = 4, nodesize = 5, maxnodes = NULL | ntree = 500; mtry = 2, nodesize = 5, maxnodes = NULL |
| ANN | size = NULL (=5); decay = NULL | size = 6; weight decay = 0.001 |
| MaxEnt | Linear = TRUE; Quadratic = TRUE; Product = TRUE; Threshold = TRUE; Hinge = TRUE, RM = 1 | Linear = TRUE; Quadratic = TRUE; Product = FALSE; Threshold = FALSE; Hinge = TRUE, RM = 4 |
Disclaimer/Publisher’s Note: The statements, opinions and data contained in all publications are solely those of the individual author(s) and contributor(s) and not of MDPI and/or the editor(s). MDPI and/or the editor(s) disclaim responsibility for any injury to people or property resulting from any ideas, methods, instructions or products referred to in the content. |
© 2023 by the authors. Licensee MDPI, Basel, Switzerland. This article is an open access article distributed under the terms and conditions of the Creative Commons Attribution (CC BY) license (https://creativecommons.org/licenses/by/4.0/).
Share and Cite
Petrosyan, V.; Dinets, V.; Osipov, F.; Dergunova, N.; Khlyap, L. Range Dynamics of Striped Field Mouse (Apodemus agrarius) in Northern Eurasia under Global Climate Change Based on Ensemble Species Distribution Models. Biology 2023, 12, 1034. https://doi.org/10.3390/biology12071034
Petrosyan V, Dinets V, Osipov F, Dergunova N, Khlyap L. Range Dynamics of Striped Field Mouse (Apodemus agrarius) in Northern Eurasia under Global Climate Change Based on Ensemble Species Distribution Models. Biology. 2023; 12(7):1034. https://doi.org/10.3390/biology12071034
Chicago/Turabian StylePetrosyan, Varos, Vladimir Dinets, Fedor Osipov, Natalia Dergunova, and Lyudmila Khlyap. 2023. "Range Dynamics of Striped Field Mouse (Apodemus agrarius) in Northern Eurasia under Global Climate Change Based on Ensemble Species Distribution Models" Biology 12, no. 7: 1034. https://doi.org/10.3390/biology12071034
APA StylePetrosyan, V., Dinets, V., Osipov, F., Dergunova, N., & Khlyap, L. (2023). Range Dynamics of Striped Field Mouse (Apodemus agrarius) in Northern Eurasia under Global Climate Change Based on Ensemble Species Distribution Models. Biology, 12(7), 1034. https://doi.org/10.3390/biology12071034

