Temperature–Humidity-Dependent Wind Effects on Physiological Heat Strain of Moderately Exercising Individuals Reproduced by the Universal Thermal Climate Index (UTCI)
Abstract
Simple Summary
Abstract
1. Introduction
1.1. Sustainable Heat Stress Mitigation by Wind
1.2. Study Objectives
2. Materials and Methods
2.1. Experimental Data
2.2. Data Analysis and Statistics
2.3. UTCI Calculations
2.3.1. UTCI Sensitivity to Wind
2.3.2. Wind Effect on UTCI
2.3.3. UTCI Prediction of Physiological Wind Effects
3. Results
3.1. Wind Effects Assessed by UTCI
3.2. Wind Effects on Physiological Heat Strain
3.3. UTCI Assessment Related to Physiological Wind Effects
3.4. UTCI Assessment with Higher Wind Speeds and Thermal Radiation
4. Discussion
4.1. Temperature-Humdity-Dependent Wind Effect Thresholds
4.2. Limitations and Outlook
5. Conclusions
Author Contributions
Funding
Institutional Review Board Statement
Informed Consent Statement
Data Availability Statement
Acknowledgments
Conflicts of Interest
Appendix A
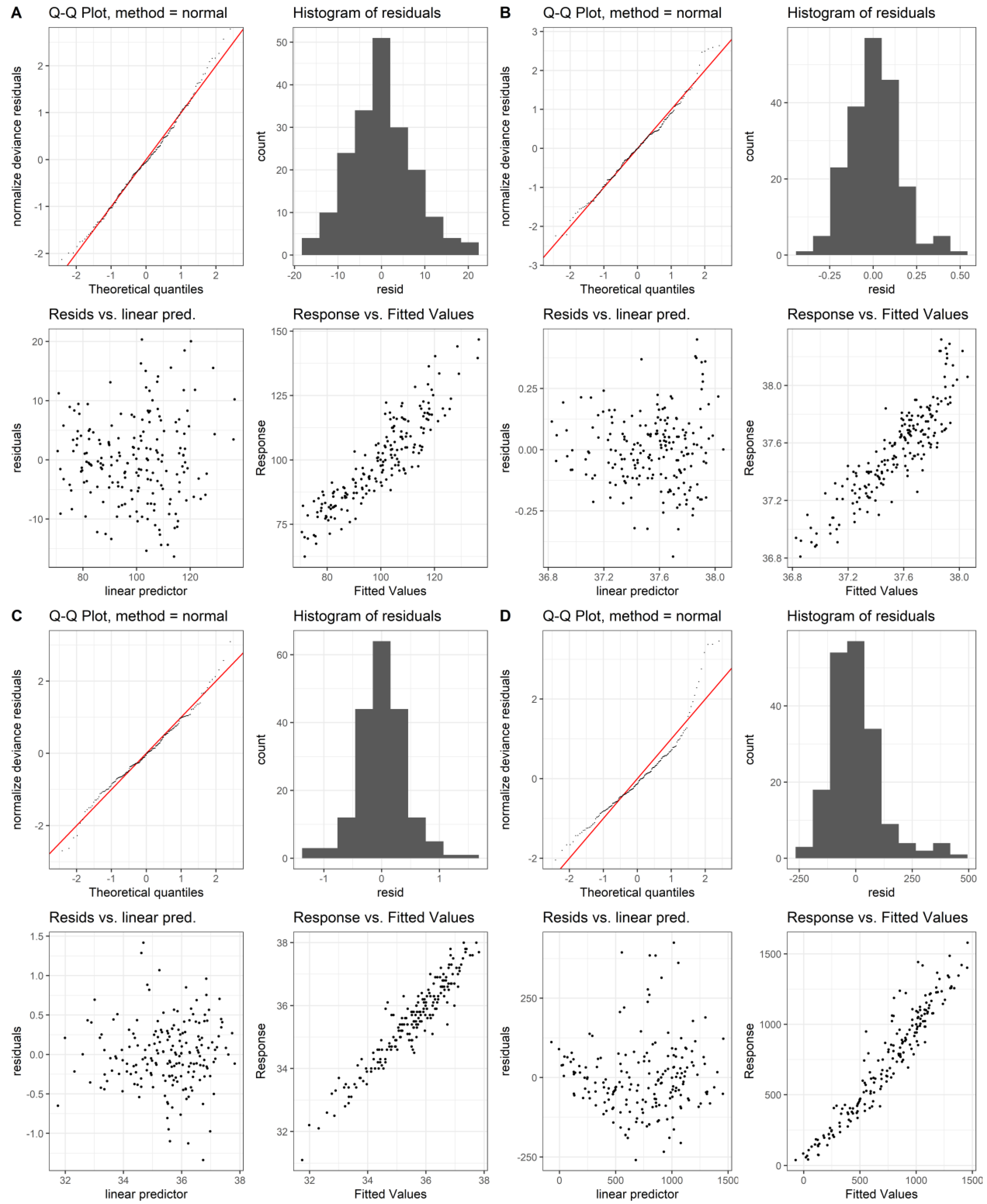
- An additional example of recordings of physiological heat strain variables depending on temperature, humidity, and air velocity;
- Goodness-of-fit plots for the GAMs fitted to the physiological heat strain variables;
- Influence of radiant heat and wind speed on wind effects assessed by UTCI (ΔvUTCI);
- Correlations between the wind effects of the physiological heat strain variables and UTCI calculated for va,10m = 4 m/s.




References
- Ebi, K.L.; Capon, A.; Berry, P.; Broderick, C.; de Dear, R.; Havenith, G.; Honda, Y.; Kovats, R.S.; Ma, W.; Malik, A.; et al. Hot weather and heat extremes: Health risks. Lancet 2021, 398, 698–708. [Google Scholar] [CrossRef] [PubMed]
- Romanello, M.; Di Napoli, C.; Drummond, P.; Green, C.; Kennard, H.; Lampard, P.; Scamman, D.; Arnell, N.; Ayeb-Karlsson, S.; Ford, L.B.; et al. The 2022 report of the Lancet Countdown on health and climate change: Health at the mercy of fossil fuels. Lancet 2022, 400, 1619–1654. [Google Scholar] [CrossRef] [PubMed]
- Foster, J.; Smallcombe, J.W.; Hodder, S.; Jay, O.; Flouris, A.D.; Nybo, L.; Havenith, G. An advanced empirical model for quantifying the impact of heat and climate change on human physical work capacity. Int. J. Biometeorol. 2021, 65, 1215–1229. [Google Scholar] [CrossRef] [PubMed]
- Bröde, P.; Fiala, D.; Lemke, B.; Kjellstrom, T. Estimated work ability in warm outdoor environments depends on the chosen heat stress assessment metric. Int. J. Biometeorol. 2018, 62, 331–345. [Google Scholar] [CrossRef] [PubMed]
- Jay, O.; Capon, A.; Berry, P.; Broderick, C.; de Dear, R.; Havenith, G.; Honda, Y.; Kovats, R.S.; Ma, W.; Malik, A.; et al. Reducing the health effects of hot weather and heat extremes: From personal cooling strategies to green cities. Lancet 2021, 398, 709–724. [Google Scholar] [CrossRef]
- Malik, A.; Bongers, C.; McBain, B.; Rey-Lescure, O.; Dear, R.d.; Capon, A.; Lenzen, M.; Jay, O. The potential for indoor fans to change air conditioning use while maintaining human thermal comfort during hot weather: An analysis of energy demand and associated greenhouse gas emissions. Lancet Planet. Health 2022, 6, e301–e309. [Google Scholar] [CrossRef]
- Jay, O.; Hoelzl, R.; Weets, J.; Morris, N.; English, T.; Nybo, L.; Niu, J.; de Dear, R.; Capon, A. Fanning as an alternative to air conditioning—A sustainable solution for reducing indoor occupational heat stress. Energy Build. 2019, 193, 92–98. [Google Scholar] [CrossRef]
- CDC. Frequently Asked Questions (FAQ) About Extreme Heat; Centers for Disease Control and Prevention: Atlanta, GA, USA, 2012. Available online: https://www.cdc.gov/disasters/extremeheat/faq.html (accessed on 15 January 2020).
- EPA. Excessive Heat Events Guidebook; EPA 430-B-16-001; United States Environmental Protection Agency: Washington, DC, USA, 2016. Available online: https://www.epa.gov/sites/production/files/2016-03/documents/eheguide_final.pdf (accessed on 15 January 2020).
- McGregor, G.R.; Bessemoulin, P.; Ebi, K.; Menne, B. Heatwaves and Health: Guidance on Warning-System Development; WMO-No. 1142; World Meteorological Organization and World Health Organization: Geneva, Switzerland, 2015; Available online: https://library.wmo.int/doc_num.php?explnum_id=3371 (accessed on 15 January 2020).
- Candas, V.; Libert, J.P.; Vogt, J.J. Influence of air velocity and heat acclimation on human skin wettedness and sweating efficiency. J. Appl. Physiol. 1979, 47, 1194–1200. [Google Scholar] [CrossRef]
- Adams, W.C.; Mack, G.W.; Langhans, G.W.; Nadel, E.R. Effects of varied air velocity on sweating and evaporative rates during exercise. J. Appl. Physiol. 1992, 73, 2668–2674. [Google Scholar] [CrossRef]
- Nadel, E.R.; Stolwijk, J.A. Effect of skin wettedness on sweat gland response. J. Appl. Physiol. 1973, 35, 689–694. [Google Scholar] [CrossRef]
- Jay, O.; Capon, A. Use of physiological evidence for heatwave public policy. Lancet Planet. Health 2018, 2, e10. [Google Scholar] [CrossRef]
- Morris, N.B.; English, T.; Hospers, L.; Capon, A.; Jay, O. The Effects of Electric Fan Use Under Differing Resting Heat Index Conditions: A Clinical Trial. Ann. Intern. Med. 2019, 171, 675–677. [Google Scholar] [CrossRef]
- Ravanelli, N.M.; Hodder, S.G.; Havenith, G.; Jay, O. Heart Rate and Body Temperature Responses to Extreme Heat and Humidity with and Without Electric Fans. JAMA 2015, 313, 724–725. [Google Scholar] [CrossRef]
- Morris, N.B.; Chaseling, G.K.; English, T.; Gruss, F.; Maideen, M.F.B.; Capon, A.; Jay, O. Electric fan use for cooling during hot weather: A biophysical modelling study. Lancet Planet. Health 2021, 5, e368–e377. [Google Scholar] [CrossRef]
- Tartarini, F.; Schiavon, S.; Jay, O.; Arens, E.; Huizenga, C. Application of Gagge’s energy balance model to determine humidity-dependent temperature thresholds for healthy adults using electric fans during heatwaves. Build. Environ. 2021, 207, 108437. [Google Scholar] [CrossRef]
- Hospers, L.; Smallcombe, J.W.; Morris, N.B.; Capon, A.; Jay, O. Electric fans: A potential stay-at-home cooling strategy during the COVID-19 pandemic this summer? Sci. Total Environ. 2020, 747, 141180. [Google Scholar] [CrossRef]
- Jay, O.; Cramer, M.N.; Ravanelli, N.M.; Hodder, S.G. Should electric fans be used during a heat wave? Appl. Ergon. 2015, 46, 137–143. [Google Scholar] [CrossRef]
- Normand, C.W.B. The effect of high temperature, humidity, and wind on the human body. Q. J. R. Meteorol. Soc. 1920, 46, 1–14. [Google Scholar] [CrossRef]
- Ainsworth, B.E.; Haskell, W.L.; Herrmann, S.D.; Meckes, N.; Bassett, D.R.J.; Tudor-Locke, C.; Greer, J.L.; Vezina, J.; Whitt-Glover, M.C.; Leon, A.S. 2011 Compendium of Physical Activities: A Second Update of Codes and MET Values. Med. Sci. Sport. Exerc. 2011, 43, 1575–1581. [Google Scholar] [CrossRef]
- ISO 8996; Ergonomics of the Thermal Environment—Determination of Metabolic Rate. International Organisation for Standardisation: Geneva, Switzerland, 2021.
- Kampmann, B. Zur Physiologie der Arbeit in warmem Klima. Ergebnisse aus Laboruntersuchungen und aus Feldstudien im Steinkohlenbergbau. Habilitation Thesis, Bergische Universität Wuppertal, Wuppertal, Germany, 2000. [Google Scholar]
- Kampmann, B.; Bröde, P. Do one-hour exposures provide a valid assessment of physiological heat strain? Z. Für Arb. 2022, 76, 105–117. [Google Scholar] [CrossRef]
- Brown, W.K.; Sargent, F. Hidromeiosis. Arch. Environ. Health Int. J. 1965, 11, 442–453. [Google Scholar] [CrossRef]
- Candas, V.; Libert, J.; Vogt, J. Effect of hidromeiosis on sweat drippage during acclimation to humid heat. Eur. J. Appl. Physiol. Occup. Physiol. 1980, 44, 123–133. [Google Scholar] [CrossRef]
- Foster, J.; Smallcombe, J.W.; Hodder, S.; Jay, O.; Flouris, A.D.; Havenith, G. Quantifying the impact of heat on human physical work capacity; part II: The observed interaction of air velocity with temperature, humidity, sweat rate, and clothing is not captured by most heat stress indices. Int. J. Biometeorol. 2021, 66, 507–520. [Google Scholar] [CrossRef]
- Kamon, E.; Avellini, B. Wind speed limits to work under hot environments for clothed men. J. Appl. Physiol. 1979, 46, 340–345. [Google Scholar] [CrossRef]
- Graham, C.; Lynch, G.P.; English, T.; Hospers, L.; Jay, O. Optimal break structures and cooling strategies to mitigate heat stress during a Rugby League match simulation. J. Sci. Med. Sport 2021, 24, 793–799. [Google Scholar] [CrossRef]
- Wang, F.; Deng, Q.; Lei, T.-H.; Wang, X.; Wang, A.R. Biophysical modelling predicts unreliable core temperature responses on healthy older adults using electric fans at residential homes during heatwaves. Build. Environ. 2023, 228, 109888. [Google Scholar] [CrossRef]
- Jendritzky, G.; de Dear, R.; Havenith, G. UTCI—Why another thermal index? Int. J. Biometeorol. 2012, 56, 421–428. [Google Scholar] [CrossRef]
- Fiala, D.; Havenith, G.; Bröde, P.; Kampmann, B.; Jendritzky, G. UTCI-Fiala multi-node model of human heat transfer and temperature regulation. Int. J. Biometeorol. 2012, 56, 429–441. [Google Scholar] [CrossRef]
- Havenith, G.; Fiala, D.; Blazejczyk, K.; Richards, M.; Bröde, P.; Holmér, I.; Rintamaki, H.; Ben Shabat, Y.; Jendritzky, G. The UTCI-clothing model. Int. J. Biometeorol. 2012, 56, 461–470. [Google Scholar] [CrossRef]
- Psikuta, A.; Fiala, D.; Laschewski, G.; Jendritzky, G.; Richards, M.; Blazejczyk, K.; Mekjavic, I.B.; Rintamäki, H.; de Dear, R.; Havenith, G. Validation of the Fiala multi-node thermophysiological model for UTCI application. Int. J. Biometeorol. 2012, 56, 443–460. [Google Scholar] [CrossRef]
- Bröde, P.; Blazejczyk, K.; Fiala, D.; Havenith, G.; Holmér, I.; Jendritzky, G.; Kuklane, K.; Kampmann, B. The Universal Thermal Climate Index UTCI Compared to Ergonomics Standards for Assessing the Thermal Environment. Ind. Health 2013, 51, 16–24. [Google Scholar] [CrossRef]
- Kampmann, B.; Bröde, P.; Fiala, D. Physiological responses to temperature and humidity compared to the assessment by UTCI, WGBT and PHS. Int. J. Biometeorol. 2012, 56, 505–513. [Google Scholar] [CrossRef]
- Ioannou, L.G.; Tsoutsoubi, L.; Mantzios, K.; Vliora, M.; Nintou, E.; Piil, J.F.; Notley, S.R.; Dinas, P.C.; Gourzoulidis, G.A.; Havenith, G.; et al. Indicators to assess physiological heat strain—Part 3: Multi-country field evaluation and consensus recommendations. Temperature 2022, 9, 274–291. [Google Scholar] [CrossRef]
- Bröde, P.; Fiala, D.; Blazejczyk, K.; Holmér, I.; Jendritzky, G.; Kampmann, B.; Tinz, B.; Havenith, G. Deriving the operational procedure for the Universal Thermal Climate Index (UTCI). Int. J. Biometeorol. 2012, 56, 481–494. [Google Scholar] [CrossRef]
- Sadeghi, M.; de Dear, R.; Wood, G.; Samali, B. Development of a bioclimatic wind rose tool for assessment of comfort wind resources in Sydney, Australia for 2013 and 2030. Int. J. Biometeorol. 2018, 62, 1963–1972. [Google Scholar] [CrossRef]
- Foster, J.; Smallcombe, J.W.; Hodder, S.; Jay, O.; Flouris, A.D.; Nybo, L.; Havenith, G. Quantifying the impact of heat on human physical work capacity; part III: The impact of solar radiation varies with air temperature, humidity, and clothing coverage. Int. J. Biometeorol. 2022, 66, 175–188. [Google Scholar] [CrossRef]
- Wenzel, H.G.; Mehnert, C.; Schwarzenau, P. Evaluation of tolerance limits for humans under heat stress and the problems involved. Scand. J. Work. Environ. Health 1989, 15, 7–14. [Google Scholar]
- Kampmann, B.; Bröde, P. Heat Acclimation Does Not Modify Q10 and Thermal Cardiac Reactivity. Front. Physiol. 2019, 10, 1524. [Google Scholar] [CrossRef]
- Wood, S.N. Generalized Additive Models: An Introduction with R, 2nd ed.; Chapman & Hall/CRC: Boca Raton, FL, USA, 2017. [Google Scholar]
- Zuur, A.F.; Ieno, E.N.; Walker, N.J.; Saveliev, A.A.; Smith, G.M. Things are not Always Linear; Additive Modelling. In Mixed Effects Models and Extensions in Ecology with R; Zuur, A.F., Ieno, E.N., Walker, N.J., Saveliev, A.A., Smith, G.M., Eds.; Springer: New York, NY, USA, 2009; pp. 35–69. [Google Scholar] [CrossRef]
- Wood, S.N. A simple test for random effects in regression models. Biometrika 2013, 100, 1005–1010. [Google Scholar] [CrossRef]
- Wood, S.N. On p-values for smooth components of an extended generalized additive model. Biometrika 2013, 100, 221–228. [Google Scholar] [CrossRef]
- Fasiolo, M.; Nedellec, R.; Goude, Y.; Wood, S.N. Scalable visualisation methods for modern Generalized Additive Models. J. Comput. Graph. Stat. 2020, 29, 78–86. [Google Scholar] [CrossRef]
- R Core Team. R: A Language and Environment for Statistical Computing; R Foundation for Statistical Computing: Vienna, Austria, 2022. [Google Scholar]
- Coretta, S. Tidymv: Tidy Model Visualisation for Generalised Additive Models. R Package Version 3.3.1. 2022. Available online: https://CRAN.R-project.org/package=tidymv (accessed on 9 February 2023).
- ISO 11079; Ergonomics of the Thermal Environment—Determination and Interpretation of Cold Stress When Using Required Clothing Insulation (IREQ) and Local Cooling Effects. International Organisation for Standardisation: Geneva, Switzerland, 2007.
- ISO 9920; Ergonomics of the Thermal Environment—Estimation of Thermal insulation and Water Vapour Resistance of a Clothing Ensemble. International Organisation for Standardisation: Geneva, Switzerland, 2007.
- Bröde, P. Issues in UTCI Calculation from a Decade’s Experience. In Applications of the Universal Thermal Climate Index UTCI in Biometeorology: Latest Developments and Case Studies; Krüger, E.L., Ed.; Springer International Publishing: Cham, Switzerland, 2021; pp. 13–21. [Google Scholar] [CrossRef]
- Cheuvront, S.; Montain, S.; Goodman, D.; Blanchard, L.; Sawka, M. Evaluation of the limits to accurate sweat loss prediction during prolonged exercise. Eur. J. Appl. Physiol. 2007, 101, 215–224. [Google Scholar] [CrossRef]
- Wood, S.N. Ref.df in Mgcv Gam. Available online: https://stat.ethz.ch/pipermail/r-help/2019-March/462135.html (accessed on 9 February 2023).
- Richmond, V.L.; Davey, S.; Griggs, K.; Havenith, G. Prediction of Core Body Temperature from Multiple Variables. Ann. Occup. Hyg. 2015, 59, 1168–1178. [Google Scholar] [CrossRef]
- Smallcombe, J.W.; Foster, J.; Hodder, S.G.; Jay, O.; Flouris, A.D.; Havenith, G. Quantifying the impact of heat on human physical work capacity; part IV: Interactions between work duration and heat stress severity. Int. J. Biometeorol. 2022, 66, 2463–2476. [Google Scholar] [CrossRef]
- Nadel, E.R.; Bullard, R.W.; Stolwijk, J.A. Importance of skin temperature in the regulation of sweating. J. Appl. Physiol. 1971, 31, 80–87. [Google Scholar] [CrossRef]
- Bröde, P.; Kuklane, K.; Candas, V.; den Hartog, E.A.; Griefahn, B.; Holmér, I.; Meinander, H.; Nocker, W.; Richards, M.; Havenith, G. Heat Gain from Thermal Radiation Through Protective Clothing with Different Insulation, Reflectivity and Vapour Permeability. Int. J. Occup. Saf. Ergon. 2010, 16, 231–244. [Google Scholar] [CrossRef]
- Den Hartog, E.A.; Havenith, G. Analytical study of the heat loss attenuation by clothing on thermal manikins under radiative heat loads. Int. J. Occup. Saf. Ergon. 2010, 16, 245–261. [Google Scholar] [CrossRef]
- Wolf, S.T.; Havenith, G.; Kenney, W.L. Relatively minor influence of individual characteristics on critical wet-bulb globe temperature (WBGT) limits during light activity in young adults (PSU HEAT Project). J. Appl. Physiol. 2023, 134, 1216–1223. [Google Scholar] [CrossRef]







| HR (bpm) | Tre (°C) | Tsk (°C) | SR (g/h) | |
|---|---|---|---|---|
| Observations (#missing values) | 189 (9) | 198 (0) | 189 (9) | 186 (13) |
| Goodness-of-fit | ||||
| Adjusted R2 (%) | 78.8 | 76.2 | 88.6 | 89.9 |
| Residual standard error | 7.6 | 0.2 | 0.4 | 120.1 |
| Intercept µ | ||||
| Mean estimate | 102.5 | 37.6 | 35.5 | 744.4 |
| SE | 0.8 | 0.1 | 0.2 | 27.1 |
| p-value | <0.0001 | <0.0001 | <0.0001 | <0.0001 |
| s(ID) | ||||
| edf | 0.5 | 3.8 | 3.8 | 3.4 |
| Ref.df | 4.0 | 4.0 | 4.0 | 4.0 |
| F-value | 0.2 | 27.1 | 24.3 | 6.1 |
| p-value | 0.2018 | <0.0001 | <0.0001 | <0.0001 |
| te(Ta, pa) | ||||
| edf | 14.6 | 6.5 | 10.3 | 10.0 |
| Ref.df | 19.0 | 8.2 | 14.0 | 13.4 |
| F-value | 18.9 | 34.7 | 31.5 | 51.3 |
| p-value | <0.0001 | <0.0001 | <0.0001 | <0.0001 |
| teΔv(Ta, pa) | ||||
| edf | 4.0 | 4.0 | 5.5 | 4.5 |
| Ref.df | 4.1 | 4.0 | 6.2 | 4.8 |
| F-value | 10.8 | 7.0 | 4.8 | 8.3 |
| p-value | <0.0001 | <0.0001 | 0.0001 | <0.0001 |
Disclaimer/Publisher’s Note: The statements, opinions and data contained in all publications are solely those of the individual author(s) and contributor(s) and not of MDPI and/or the editor(s). MDPI and/or the editor(s) disclaim responsibility for any injury to people or property resulting from any ideas, methods, instructions or products referred to in the content. |
© 2023 by the authors. Licensee MDPI, Basel, Switzerland. This article is an open access article distributed under the terms and conditions of the Creative Commons Attribution (CC BY) license (https://creativecommons.org/licenses/by/4.0/).
Share and Cite
Bröde, P.; Kampmann, B. Temperature–Humidity-Dependent Wind Effects on Physiological Heat Strain of Moderately Exercising Individuals Reproduced by the Universal Thermal Climate Index (UTCI). Biology 2023, 12, 802. https://doi.org/10.3390/biology12060802
Bröde P, Kampmann B. Temperature–Humidity-Dependent Wind Effects on Physiological Heat Strain of Moderately Exercising Individuals Reproduced by the Universal Thermal Climate Index (UTCI). Biology. 2023; 12(6):802. https://doi.org/10.3390/biology12060802
Chicago/Turabian StyleBröde, Peter, and Bernhard Kampmann. 2023. "Temperature–Humidity-Dependent Wind Effects on Physiological Heat Strain of Moderately Exercising Individuals Reproduced by the Universal Thermal Climate Index (UTCI)" Biology 12, no. 6: 802. https://doi.org/10.3390/biology12060802
APA StyleBröde, P., & Kampmann, B. (2023). Temperature–Humidity-Dependent Wind Effects on Physiological Heat Strain of Moderately Exercising Individuals Reproduced by the Universal Thermal Climate Index (UTCI). Biology, 12(6), 802. https://doi.org/10.3390/biology12060802

