The Predatory Stink Bug Arma custos (Hemiptera: Pentatomidae) Produces a Complex Proteinaceous Venom to Overcome Caterpillar Prey
Abstract
Simple Summary
Abstract
1. Introduction
2. Materials and Methods
2.1. Insect Collection and Rearing
2.2. Venom Collection and Concentration
2.3. Venom Gland Transcriptome Analysis
2.3.1. RNA Extraction, cDNA Library Preparation and Illumina Sequencing
2.3.2. Transcriptome Assembly, Annotation, and Peptide Prediction
2.4. Venom Proteome Analysis
2.5. Injection of Proteinaceous Venom in M. separata Larvae
2.6. Data Analysis
3. Results
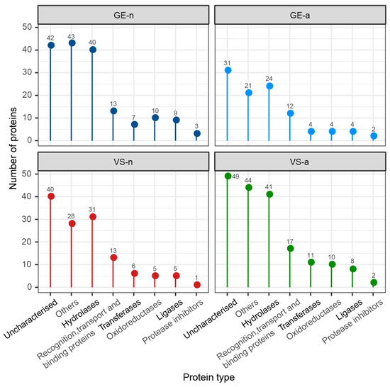
3.1. Protein Components of A. custos Salivary Venom
3.2. Proteinaceous Venom Activity against M. separata Larvae
4. Discussion
5. Conclusions
Supplementary Materials
Author Contributions
Funding
Institutional Review Board Statement
Informed Consent Statement
Data Availability Statement
Acknowledgments
Conflicts of Interest
References
- Coll, M.; Ruberson, J.R. Predatory Heteroptera: An important yet neglected group of natural enemies. In Predatory Heteroptera: Their Ecology and Use in Biological Control; Coll, M., Ruberson, J.R., Eds.; Thomas Say Publications in Entomology; Entomological Society of America: Lanham, MA, USA, 1998; pp. 1–6. [Google Scholar]
- Schmidt, J.O. Biochemistry of insect venoms. Annu. Rev. Entomol. 1982, 27, 339–368. [Google Scholar] [CrossRef]
- Cohen, A.C. Extra-oral digestion in predaceous terrestrial arthropoda. Annu. Rev. Entomol. 1995, 40, 85–103. [Google Scholar] [CrossRef]
- Walker, A.A.; Robinson, S.D.; Undheim, E.A.B.; Jin, J.; Han, X.; Fry, B.G.; Vetter, I.; King, G.F. Missiles of mass disruption: Composition and glandular origin of venom used as a projectile defensive weapon by the assassin bug Platymeris rhadamanthus. Toxins 2019, 11, 673. [Google Scholar] [CrossRef]
- Campos, J.M.; Martínez, L.C.; Plata-Rueda, A.; Weigand, W.; Zanuncio, J.C.; Serrão, J.E. Insecticide potential of two saliva components of the predatory bug Podisus nigrispinus (Heteroptera: Pentatomidae) against Spodoptera frugiperda (Lepidoptera: Noctuidae) caterpillars. Toxin Rev. 2021, 41, 268–279. [Google Scholar] [CrossRef]
- Sahayaraj, K.; Muthukumar, S. Zootoxic effects of reduviid Rhynocoris marginatus (Fab.) (Hemiptera: Reduviidae) venomous saliva on Spodoptera litura (Fab.). Toxicon 2011, 58, 415–425. [Google Scholar] [CrossRef]
- Walker, A.; Weirauch, C.; Fry, B.; King, G. Venoms of heteropteran insects: A treasure trove of diverse pharmacological toolkits. Toxins 2016, 8, 43. [Google Scholar] [CrossRef]
- Rügen, N.; Jenkins, T.P.; Wielsch, N.; Vogel, H.; Hempel, B.; Süssmuth, R.D.; Ainsworth, S.; Cabezas-Cruz, A.; Vilcinskas, A.; Tonk, M. Hexapod assassins’ potion: Venom composition and bioactivity from the eurasian assassin bug Rhynocoris iracundus. Biomedicines 2021, 9, 819. [Google Scholar] [CrossRef] [PubMed]
- Wait, L.C.; Walker, A.A.; King, G.F. Crouching tiger, hidden protein: Searching for insecticidal toxins in venom of the red tiger assassin bug (Havinthus rufovarius). Toxins 2021, 13, 3. [Google Scholar] [CrossRef]
- Baek, J.H.; Lee, S.H. Differential gene expression profiles in the salivary gland of Orius laevigatus. J. Asia-Pac. Entomol. 2014, 17, 729–735. [Google Scholar] [CrossRef]
- Walker, A.A.; Jose Hernandez-Vargas, M.; Corzo, G.; Fry, B.G.; King, G.F. Giant fish-killing water bug reveals ancient and dynamic venom evolution in Heteroptera. Cell. Mol. Life Sci. 2018, 75, 3215–3229. [Google Scholar] [CrossRef] [PubMed]
- Fischer, M.L.; Yepes Vivas, S.A.; Wielsch, N.; Kirsch, R.; Vilcinskas, A.; Vogel, H. You are what you eat—Ecological niche and microhabitat influence venom activity and composition in aquatic bugs. Proc. R. Soc. B 2023, 290, 20222064. [Google Scholar] [CrossRef]
- Fry, B.G.; Roelants, K.; Champagne, D.E.; Scheib, H.; Tyndall, J.D.A.; King, G.F.; Nevalainen, T.J.; Norman, J.A.; Lewis, R.J.; Norton, R.S.; et al. The toxicogenomic multiverse: Convergent recruitment of proteins into animal venoms. Annu. Rev. Genom. Hum. Genet. 2009, 10, 483–511. [Google Scholar] [CrossRef]
- Laxme, R.R.S.; Suranse, V.; Sunagar, K. Arthropod venoms: Biochemistry, ecology and evolution. Toxincon 2019, 158, 84–103. [Google Scholar] [CrossRef]
- Rádis-Baptista, G.; Konno, K. Arthropod venom components and their potential usage. Toxins 2020, 12, 82. [Google Scholar] [CrossRef] [PubMed]
- Bell, H.A.; Down, R.E.; Edwards, J.P.; Gatehouse, J.A.; Gatehouse, A.M.R. Digestive proteolytic activity in the gut and salivary glands of the predatory bug Podisus maculiventris (Heteroptera: Pentatomidae); effect of proteinase inhibitors. Eur. J. Entomol. 2005, 102, 139–145. [Google Scholar] [CrossRef]
- Swart, C.; Deaton, L.; Felgenhauer, B. The salivary gland and salivary enzymes of the giant waterbugs (Heteroptera; Belostomatidae). Comp. Biochem. Physiol. Part A Mol. Integr. Physiol. 2006, 145, 114–122. [Google Scholar] [CrossRef] [PubMed]
- Bernard, C.; Corzo, G.; Mosbah, A.; Nakajima, T.; Darbon, H. Solution structure of ptu1, a toxin from the assassin bug Peirates turpis that blocks the voltage-sensitive calcium channel n-type†. Biochemistry 2001, 40, 12795–12800. [Google Scholar] [CrossRef] [PubMed]
- Oliveira, J.A.; Oliveira, M.G.A.; Guedes, R.N.C.; Soares, M.J. Morphology and preliminary enzyme characterization of the salivary glands from the predatory bug Podisus nigrispinus (Heteroptera: Pentatomidae). Bull. Entomol. Res. 2006, 96, 251–258. [Google Scholar] [CrossRef]
- Fialho, M.C.Q.; Moreira, N.R.; Zanuncio, J.C.; Ribeiro, A.F.; Terra, W.R.; Serrão, J.E. Prey digestion in the midgut of the predatory bug Podisus nigrispinus (Hemiptera: Pentatomidae). J. Insect Physiol. 2012, 58, 850–856. [Google Scholar] [CrossRef]
- Zibaee, A.; Hoda, H.; Fazeli-Dinan, M. Role of proteases in extra-oral digestion of a predatory bug, Andrallus spinidens. J. Insect Sci. 2012, 12, 51. [Google Scholar] [CrossRef]
- De Oliveira Azevedo, D.; Zanuncio, J.C.; Zanuncio, J.S., Jr.; Martins, G.F.; Marques-Silva, S.; Sossai, M.F.; Serrao, J.E. Biochemical and morphological aspects of salivary glands of the predator Brontocoris tabidus (Heteroptera: Pentatomidae). Braz. Arch. Biol. Technol. 2007, 50, 469–477. [Google Scholar] [CrossRef]
- Martínez, L.C.; Fialho, M.D.C.Q.; Barbosa, L.C.A.; Oliveira, L.L.; Zanuncio, J.C.; Serrão, J.E. Stink bug predator kills prey with salivary non-proteinaceous compounds. Insect Biochem. Mol. Biol. 2016, 68, 71–78. [Google Scholar] [CrossRef] [PubMed]
- Weirauch, C.; Schuh, R.T.; Cassis, G.; Wheeler, W.C. Revisiting habitat and lifestyle transitions in Heteroptera (Insecta: Hemiptera): Insights from a combined morphological and molecular phylogeny. Cladistics 2019, 35, 67–105. [Google Scholar] [CrossRef]
- Zhao, Q.; Wei, J.; Bu, W.; Liu, G.; Zhang, H. Synonymize Arma chinensis as Arma custos based on morphological, molecular and geographical data. Zootaxa 2018, 4455, 161–176. [Google Scholar] [CrossRef] [PubMed]
- Bi, F.C.; Wang, W.L. Susceptibility to insecticides of the armyworm Mythimna separata Walker reared on the artificial diet. Acta Entomol. Sin. 1989, 32, 39–43. [Google Scholar]
- Huang, H.J.; Liu, C.W.; Huang, X.H.; Zhou, X.; Zhuo, J.C.; Zhang, C.X.; Bao, Y.Y. Screening and functional analyses of Nilaparvata lugens salivary proteome. J. Proteome Res. 2016, 15, 1883–1896. [Google Scholar] [CrossRef]
- Wu, Z.; Qu, M.; Chen, M.; Lin, J. Proteomic and transcriptomic analyses of saliva and salivary glands from the Asian citrus psyllid, Diaphorina citri. J. Proteom. 2021, 238, 104136. [Google Scholar] [CrossRef]
- Fu, W.; Liu, X.; Rao, C.; Ji, R.; Bing, X.; Li, J.; Wang, Y.; Xu, H. Screening candidate effectors of the bean bug Riptortus pedestris by proteomic and transcriptomic analyses. Front. Ecol. Evol. 2021, 9, 760368. [Google Scholar] [CrossRef]
- Walker, A.A.; Rosenthal, M.; Undheim, E.E.A.; King, G.F. Harvesting venom toxins from assassin bugs and other heteropteran insects. J. Vis. Exp. 2018, 134, e57729. [Google Scholar] [CrossRef]
- Therneau, T.M.; Lumley, T. A Package for Survival Analysis in R. Available online: https://CRAN.R-project.org/package=survival (accessed on 26 February 2023).
- Kassambara, A.; Kosinski, M.; Biecek, P.; Fabian, S. Survminer: Drawing Survival Curves Using ‘ggplot2’. Available online: https://CRAN.R-project.org/package=survminer (accessed on 26 February 2023).
- RStudio Team. RStudio: Integrated Development for R. RStudio. Inc.: Boston, MA, USA. Available online: https://www.posit.co/ (accessed on 26 February 2023).
- Walker, A.A.; Mayhew, M.L.; Jin, J.; Herzig, V.; Undheim, E.A.B.; Sombke, A.; Fry, B.G.; Meritt, D.J.; King, G.F. The assassin bug Pristhesancus plagipennis produces two distinct venoms in separate gland lumens. Nat. Commun. 2018, 9, 755. [Google Scholar] [CrossRef]
- Fischer, M.L.; Wielsch, N.; Heckel, D.G.; Vilcinskas, A.; Vogel, H. Context-Dependent venom deployment and protein composition in two assassin bugs. Ecol. Evol. 2020, 10, 9932–9947. [Google Scholar] [CrossRef]
- Gao, F.; Tian, L.; Li, X.; Zhang, Y.; Wang, T.; Ma, L.; Song, F.; Cai, W.; Li, H. Proteotranscriptomic analysis and toxicity assay suggest the functional distinction between venom gland chambers in twin-spotted assassin bug, Platymeris biguttatus. Biology 2022, 11, 464. [Google Scholar] [CrossRef]
- Walker, A.A.; Robinson, S.D.; Yeates, D.K.; Jin, J.; Baurnann, K.; Dobson, J.; Fry, B.G.; King, G.F. Entomo-venomics: The evolution, biology and biochemistry of insect venoms. Toxicon 2018, 154, 15–27. [Google Scholar] [CrossRef] [PubMed]
- Yoon, K.A.; Kim, W.J.; Lee, S.; Yang, H.S.; Lee, B.H.; Lee, S.H. Comparative analyses of the venom components in the salivary gland transcriptomes and saliva proteomes of some heteropteran insects. Insect Sci. 2021, 29, 411–429. [Google Scholar] [CrossRef]
- Walker, A.A.; Madio, B.; Jin, J.; Undheim, E.A.B.; Fry, B.G.; King, G.F. Melt with this kiss: Paralyzing and liquefying venom of the assassin bug Pristhesancus plagipennis (Hemiptera: Reduviidae). Mol. Cell. Proteom. 2017, 16, 552–566. [Google Scholar] [CrossRef] [PubMed]
- Ghamari, M.; Hosseininaveh, V.; Darvishzadeh, A.; Talebi, K. Biochemical characterisation of the tissue degrading enzyme, collagenase, in the spined soldier bug, Podisus maculiventris (Hemiptera: Pentatomidae). J. Plant Prot. Res. 2014, 54, 164–170. [Google Scholar] [CrossRef]
- Silva-Cardoso, L.; Caccin, P.; Magnabosco, A.; Patron, M.; Targino, M.; Fuly, A.; Oliveira, G.A.; Pereira, M.H.; Do Carmo, M.D.G.T.; Souza, A.S.; et al. Paralytic activity of lysophosphatidylcholine from saliva of the waterbug Belostoma anurum. J. Exp. Biol. 2010, 213, 3305–3310. [Google Scholar] [CrossRef] [PubMed]
- Martínez, L.C.; Do Carmo Queiroz Fialho, M.; Zanuncio, J.C.; Serrão, J.E. Ultrastructure and cytochemistry of salivary glands of the predator Podisus nigrispinus (Hemiptera: Pentatomidae). Protoplasma 2013, 251, 535–543. [Google Scholar] [CrossRef]
- Zeng, F.; Cohen, A.C. Comparison of α-amylase and protease activities of a zoophytophagous and two phytozoophagous Heteroptera. Comp. Biochem. Physiol. Part A Mol. Integr. Physiol. 2000, 126, 101–106. [Google Scholar] [CrossRef]
- Gooday, G.W. Aggressive and defensive roles for chitinases. EXS 1999, 87, 157–169. [Google Scholar]
- Mackenzie, E.L.; Iwasaki, K.; Tsuji, Y. Intracellular iron transport and storage: From molecular mechanisms to health implications. Antioxid. Redox Signal. 2008, 10, 997–1030. [Google Scholar] [CrossRef] [PubMed]
- Peiffer, M.; Felton, G.W. Insights into the saliva of the brown marmorated stink bug Halyomorpha halys (Hemiptera: Pentatomidae). PLoS ONE 2014, 9, e88483. [Google Scholar] [CrossRef] [PubMed]
- Walker, A.A.; Holland, C.; Sutherland, T.D. More than one way to spin a crystallite: Multiple trajectories through liquid crystallinity to solid silk. Proc. R. Soc. B 2015, 282, 20150259. [Google Scholar] [CrossRef]
- Corzo, G.; Adachi-Akahane, S.; Nagao, T.; Kusui, Y.; Nakajima, T. Novel peptides from assassin bugs (Hemiptera: Reduviidae): Isolation, chemical and biological characterization. FEBS Lett. 2001, 499, 256–261. [Google Scholar] [CrossRef]
- Fischer, M.L.; Fabian, B.; Pauchet, Y.; Wielsch, N.; Sachse, S.; Vilcinskas, A.; Vogel, H. An assassin’s secret: Multifunctional cytotoxic compounds in the predation venom of the assassin bug Psytalla horrida (Reduviidae, Hemiptera). Toxins 2023, 15, 302. [Google Scholar] [CrossRef]
- Ribeiro, J.M.C.; Assumpção, T.C.; Francischetti, I.M.B. An insight into the sialomes of bloodsucking Heteroptera. Psyche 2012, 2012, 470436. [Google Scholar] [CrossRef]
- Francischetti, I.M.B.; Calvo, E.; Andersen, J.F.; Pham, V.M.; Favreau, A.J.; Barbian, K.D.; Romero, A.; Valenzuela, J.G.; Ribeiro, J.M.C. Insight into the sialome of the bed bug, Cimex lectularius. J. Proteome Res. 2010, 9, 3820–3831. [Google Scholar] [CrossRef]
- Johnson, K.P.; Dietrich, C.H.; Friedrich, F.; Beutel, R.G.; Wipfler, B.; Peters, R.S.; Allen, J.M.; Petersen, M.; Donath, A.; Walden, K.K.O.; et al. Phylogenomics and the evolution of hemipteroid insects. Proc. Natl. Acad. Sci. USA 2018, 115, 12775–12780. [Google Scholar] [CrossRef]
- Wang, Y.; Wu, H.; Rédei, D.; Xie, Q.; Chen, Y.; Chen, P.; Dong, Z.; Dang, K.; Damgaard, J.; Štys, P.; et al. When did the ancestor of true bugs become stinky? Disentangling the phylogenomics of Hemiptera-Heteroptera. Cladistics 2017, 35, 42–66. [Google Scholar] [CrossRef]
- Li, H.; Leavengood, J.M.; Chapman, E.G.; Burkhardt, D.; Song, F.; Jiang, P.; Liu, J.; Zhou, X.; Cai, W. Mitochondrial phylogenomics of Hemiptera reveals adaptive innovations driving the diversification of true bugs. Proc. R. Soc. B 2017, 284, 20171223. [Google Scholar] [CrossRef]







| Comparison | Injection Solution | N | Observed | Expected | (O-E)2/E | (O-E)2/V | χ2 | df | p |
|---|---|---|---|---|---|---|---|---|---|
| VS-n vs. GE-n | VS-n | 20 | 7 | 11.80 | 1.98 | 6.60 | 6.60 | 1 | 0.01 |
| GE-n | 20 | 15 | 10.20 | 2.31 | 6.60 | ||||
| VS-a vs. GE-a | VS-a | 20 | 12 | 14.90 | 0.57 | 1.99 | 1.99 | 1 | 0.16 |
| GE-a | 20 | 13 | 10.10 | 0.84 | 1.99 | ||||
| GE-n vs. GE-a | GE-n | 20 | 15 | 14.00 | 0.08 | 0.32 | 0.32 | 1 | 0.57 |
| GE-a | 20 | 13 | 14.00 | 0.08 | 0.32 |
| Trophic Strategy | Polypeptide Family | Detected in Families | Detected in Lineage with Trophic Strategy | Activity | Citation |
|---|---|---|---|---|---|
| All trophic strategies | Proteases | Pentatomidae, Reduviidae, Belostomatidae, Nepidae, Naucoridae, Notonectidae, Corixidae, Coreidae | Predatory and herbivorous heteropterans | Protein catabolism | [4,11,12,38,39,46], this study |
| Amylase/glycogenase | Pentatomidae, Reduviidae, Belostomatidae, Nepidae | Predatory and herbivorous heteropterans | Starch catabolism | [11,12,46,47], this study | |
| Lipase | Pentatomidae, Reduviidae, Belostomatidae, Nepidae, Naucoridae, Notonectidae, Corixidae, Coreidae | Predatory and herbivorous heteropterans | Lipid catabolism | [11,12,38,39], this study | |
| Cystatin | Pentatomidae, Reduviidae, Belostomatidae, Nepidae, Cimicidae, Coreidae | Predatory, herbivorous, and blood-feeding heteropterans | Protease inhibition | [11,38,39] | |
| Apolipophorin | Pentatomidae, Reduviidae, Belostomatidae, Nepidae, Cimicidae, Coreidae | Predatory, herbivorous, and blood-feeding heteropterans | Lipid binding | [11,12,38,39,46], this study | |
| Predation- associated | CUB domain only | Reduviidae, Belostomatidae, Nepidae, Anthocoridae | Predatory heteropterans outside Pentatomomorpha | Paralytic? | [9,10,11,12,39] |
| ICK-like peptides | Reduviidae, Naucoridae | Predatory heteropterans outside Pentatomomorpha | Paralytic? | [12,48] | |
| Haemolysin-like | Reduviidae, Belostomatidae, Nepidae | Predatory heteropterans outside Pentatomomorpha | Unknown | [12,34] | |
| Redulysin | Reduviidae | Predatory and blood-feeding heteropterans outside Pentatomomorpha | Anti- bacterial? | [4,38,39,49] | |
| Venom Family 1, 3, 5, 10 | Reduviidae, Belostomatidae, Naucoridae, Notonectidae, Nepidae | Predatory heteropterans outside Pentatomomorpha | Unknown | [11,12,38,39] | |
| Venom Family 2 | Reduviidae, Belostomatidae, Nepidae, Naucoridae, Notonectidae | Predatory heteropterans outside Pentatomomorpha | Paralytic? | [4,12,38,39,49] | |
| Family 12 | Pentatomidae: Asopinae, Reduviidae, Belostomatidae, Nepidae | Predatory heteropterans | Unknown | [11,12,39], this study | |
| Other proteins in Suppl. Table S1 | Pentatomidae: Asopinae | Predatory Pentatomomorpha: Arma custos | Unknown | this study | |
| Haematophagy-associated | Triabin | Reduviidae, especially Triatominae | Blood-feeding heteropterans | Numerous | [39,50] |
| Apyrase | Triatominae, Cimicidae | Blood-feeding heteropterans | Inhibition of platelet aggregation | [50,51] |
Disclaimer/Publisher’s Note: The statements, opinions and data contained in all publications are solely those of the individual author(s) and contributor(s) and not of MDPI and/or the editor(s). MDPI and/or the editor(s) disclaim responsibility for any injury to people or property resulting from any ideas, methods, instructions or products referred to in the content. |
© 2023 by the authors. Licensee MDPI, Basel, Switzerland. This article is an open access article distributed under the terms and conditions of the Creative Commons Attribution (CC BY) license (https://creativecommons.org/licenses/by/4.0/).
Share and Cite
Qu, Y.; Walker, A.A.; Meng, L.; Herzig, V.; Li, B. The Predatory Stink Bug Arma custos (Hemiptera: Pentatomidae) Produces a Complex Proteinaceous Venom to Overcome Caterpillar Prey. Biology 2023, 12, 691. https://doi.org/10.3390/biology12050691
Qu Y, Walker AA, Meng L, Herzig V, Li B. The Predatory Stink Bug Arma custos (Hemiptera: Pentatomidae) Produces a Complex Proteinaceous Venom to Overcome Caterpillar Prey. Biology. 2023; 12(5):691. https://doi.org/10.3390/biology12050691
Chicago/Turabian StyleQu, Yuli, Andrew A. Walker, Ling Meng, Volker Herzig, and Baoping Li. 2023. "The Predatory Stink Bug Arma custos (Hemiptera: Pentatomidae) Produces a Complex Proteinaceous Venom to Overcome Caterpillar Prey" Biology 12, no. 5: 691. https://doi.org/10.3390/biology12050691
APA StyleQu, Y., Walker, A. A., Meng, L., Herzig, V., & Li, B. (2023). The Predatory Stink Bug Arma custos (Hemiptera: Pentatomidae) Produces a Complex Proteinaceous Venom to Overcome Caterpillar Prey. Biology, 12(5), 691. https://doi.org/10.3390/biology12050691

