Changes in Body Temperature Patterns Are Predictive of Mortality in Septic Shock: An Observational Study
Abstract
Simple Summary
Abstract
1. Introduction
2. Materials and Methods
2.1. Study Design, Patient Selection
2.2. Temperature Measurement
2.3. Body Temperature Rhythm Analysis
2.4. Statistical Analysis
3. Results
3.1. Population Characteristics
3.2. Heterogeneity of the Temperature Rhythm
3.3. Factors Associated with the Body Temperature Parameters
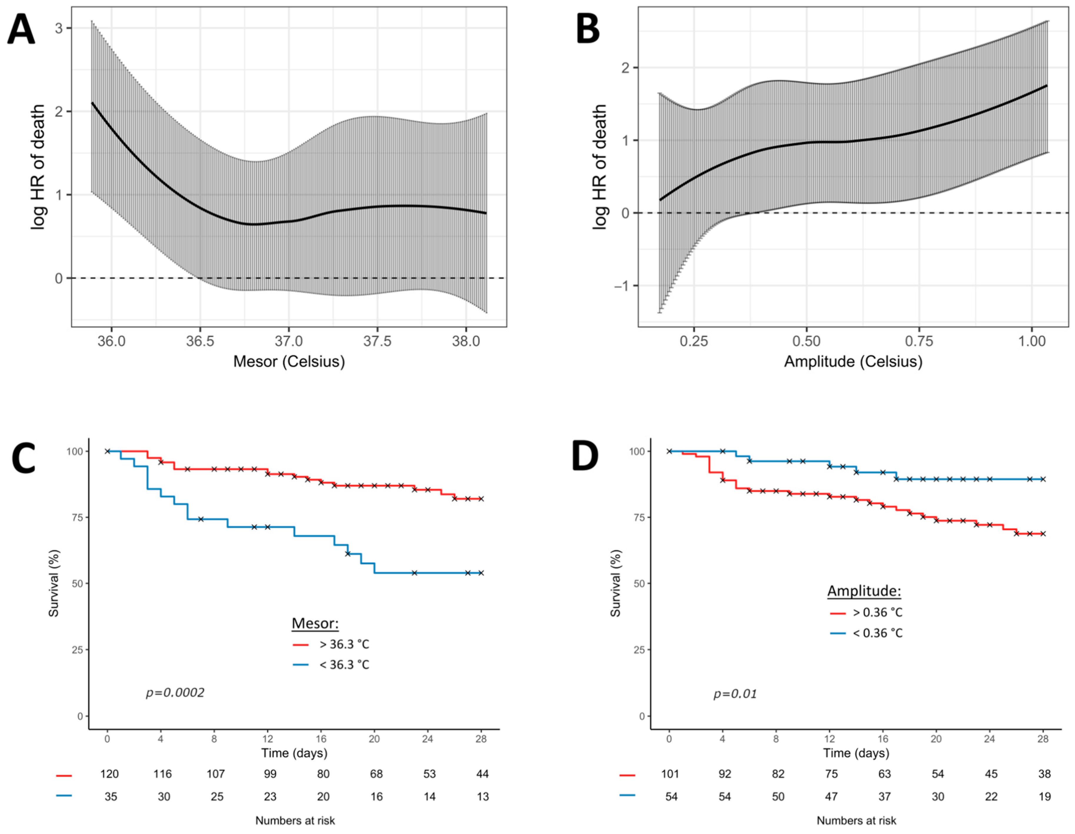
3.4. Low Mesor and High Amplitude Were Associated with 28-Day Mortality
4. Discussion
5. Conclusions
Supplementary Materials
Author Contributions
Funding
Institutional Review Board Statement
Informed Consent Statement
Data Availability Statement
Conflicts of Interest
References
- Huang, R.C. The discoveries of molecular mechanisms for the circadian rhythm: The 2017 Nobel Prize in Physiology or Medicine. Biomed. J. 2018, 41, 5–8. [Google Scholar] [CrossRef]
- Honma, S. The mammalian circadian system: A hierarchical multi-oscillator structure for generating circadian rhythm. J. Physiol. Sci. 2018, 68, 207–219. [Google Scholar] [CrossRef] [PubMed]
- Mohawk, J.A.; Green, C.B.; Takahashi, J.S. Central and Peripheral Circadian Clocks in Mammals. Annu. Rev. Neurosci. 2012, 35, 445–462. [Google Scholar] [CrossRef] [PubMed]
- Labrecque, N.; Cermakian, N. Circadian Clocks in the Immune System. J. Biol. Rhythm. 2015, 30, 277–290. [Google Scholar] [CrossRef] [PubMed]
- Scheiermann, C.; Kunisaki, Y.; Frenette, P.S. Circadian control of the immune system. Nat. Rev. Immunol. 2013, 13, 190–198. [Google Scholar] [CrossRef] [PubMed]
- Papaioannou, V.; Mebazaa, A.; Plaud, B.; Legrand, M. “Chronomics” in ICU: Circadian aspects of immune response and therapeutic perspectives in the critically ill. Intensive Care Med. Exp. 2014, 2, 18. [Google Scholar] [CrossRef]
- Hanneman, S.K. Measuring circadian temperature rhythm. Biol. Res. Nurs. 2001, 2, 236–248. [Google Scholar] [CrossRef]
- Paul, T.; Lemmer, B. Disturbance of circadian rhythms in analgosedated intensive care unit patients with and without craniocerebral injury. Chronobiol. Int. 2007, 24, 45–61. [Google Scholar] [CrossRef]
- Tweedie, I.E.; Bell, C.F.; Clegg, A.; Campbell, I.T.; Minors, D.S.; Waterhouse, J.M. Retrospective study of temperature rhythms of intensive care patients. Crit. Care Med. 1989, 17, 1159–1165. [Google Scholar] [CrossRef] [PubMed]
- Gazendam, J.A.C.; Van Dongen, H.P.A.; Grant, D.A.; Freedman, N.S.; Zwaveling, J.H.; Schwab, R.J. Altered Circadian Rhythmicity in Patients in the ICU. Chest 2013, 144, 483–489. [Google Scholar] [CrossRef] [PubMed]
- Mackowiak, P.A. Concepts of fever. Arch. Intern. Med. 1998, 158, 1870–1881. [Google Scholar] [CrossRef] [PubMed]
- Oster, H.; Challet, E.; Ott, V.; Arvat, E.; de Kloet, E.R.; Dijk, D.J.; Lightman, S.; Vgontzas, A.; Van Cauter, E. The functional and clinical significance of the 24-h rhythm of circulating glucocorticoids. Endocr. Rev. 2017, 38, 3–45. [Google Scholar] [CrossRef] [PubMed]
- Claustrat, B.; Brun, J.; Chazot, G. The basic physiology and pathophysiology of melatonin. Sleep Med. Rev. 2005, 9, 11–24. [Google Scholar] [CrossRef] [PubMed]
- Clapham, J.C. Central control of thermogenesis. Neuropharmacology 2012, 63, 111–123. [Google Scholar] [CrossRef] [PubMed]
- Brown, S.A.; Zumbrunn, G.; Fleury-Olela, F.; Preitner, N.; Schibler, U. Rhythms of mammalian body temperature can sustain peripheral circadian clocks. Curr. Biol. 2002, 12, 1574–1583. [Google Scholar] [CrossRef]
- Saini, C.; Morf, J.; Stratmann, M.; Gos, P.; Schibler, U. Simulated body temperature rhythms reveal the phase-shifting behavior and plasticity of mammalian circadian oscillators. Genes Dev. 2012, 26, 567–580. [Google Scholar] [CrossRef]
- Walter, E.J.; Hanna-Jumma, S.; Carraretto, M.; Forni, L. The pathophysiological basis and consequences of fever. Crit. Care 2016, 20, 200. [Google Scholar] [CrossRef]
- Bravi, A.; Green, G.; Longtin, A.; Seely, A.J.E. Monitoring and identification of sepsis development through a composite measure of heart rate variability. PLoS ONE 2012, 7, e45666. [Google Scholar] [CrossRef]
- Drewry, A.M.; Fuller, B.M.; Bailey, T.C.; Hotchkiss, R.S. Body temperature patterns as a predictor of hospital-acquired sepsis in afebrile adult intensive care unit patients: A case-control study. Crit. Care 2013, 17, R200. [Google Scholar] [CrossRef]
- Calandra, T.; Cohen, J. International Sepsis Forum Definition of Infection in the ICU Consensus Conference. The international sepsis forum consensus conference on definitions of infection in the intensive care unit. Crit. Care Med. 2005, 33, 1538–1548. [Google Scholar] [CrossRef]
- Darbyshire, J.L.; Young, J.D. An investigation of sound levels on intensive care units with reference to the WHO guidelines. Crit. Care 2013, 17, R187. [Google Scholar] [CrossRef] [PubMed]
- Singer, P.; Berger, M.M.; Van den Berghe, G.; Biolo, G.; Calder, P.; Forbes, A.; Griffiths, R.; Kreyman, G.; Leverve, X.; Pichard, C.; et al. ESPEN Guidelines on Parenteral Nutrition: Intensive care. Clin. Nutr. 2009, 28, 387–400. [Google Scholar] [CrossRef] [PubMed]
- Pesonen, E.; Silvasti-Lundell, M.; Niemi, T.T.; Kivisaari, R.; Hernesniemi, J.; Mäkinen, M.-T. The focus of temperature monitoring with zero-heat-flux technology (3M Bair-Hugger): A clinical study with patients undergoing craniotomy. J. Clin. Monit. Comput. 2019, 33, 917–923. [Google Scholar] [CrossRef]
- Hill, B.; Mitchell, A. Tympanic thermometers support fast and accurate temperature monitoring in acute and alternative care. Br. J. Nurs. 2021, 30, 288–295. [Google Scholar] [CrossRef] [PubMed]
- Hammer, Ø.; Harper, D.A.; Ryan, P.D. PAST: Paleontological Statistics Software Package for Education and Data Analysis. Palaeontol. Electron. 2001, 4, 9. [Google Scholar]
- Cornelissen, G. Cosinor-based rhythmometry. Theor. Biol. Med. Model 2014, 11, 16. [Google Scholar] [CrossRef] [PubMed]
- Kushimoto, S.; Gando, S.; Saitoh, D.; Mayumi, T.; Ogura, H.; Fujishima, S.; Araki, T.; Ikeda, H.; Kotani, J.; Miki, Y.; et al. The impact of body temperature abnormalities on the disease severity and outcome in patients with severe sepsis: An analysis from a multicenter, prospective survey of severe sepsis. Crit. Care 2013, 17, R271. [Google Scholar] [CrossRef]
- Coiffard, B.; Diallo, A.B.; Mezouar, S.; Leone, M.; Mege, J.L. A Tangled Threesome: Circadian Rhythm, Body Temperature Variations, and the Immune System. Biology 2021, 10, 65. [Google Scholar] [CrossRef]
- Hotchkiss, R.S.; Monneret, G.; Payen, D. Immunosuppression in sepsis: A novel understanding of the disorder and a new therapeutic approach. Lancet Infect. Dis. 2013, 13, 260–268. [Google Scholar] [CrossRef]
- Schell-Chaple, H.M.; Liu, K.D.; Matthay, M.A.; Sessler, D.I.; Puntillo, K.A. Effects of IV Acetaminophen on Core Body Temperature and Hemodynamic Responses in Febrile Critically Ill Adults: A Randomized Controlled Trial. Crit. Care Med. 2017, 45, 1199–1207. [Google Scholar] [CrossRef]
- Giefing-Kröll, C.; Berger, P.; Lepperdinger, G.; Grubeck-Loebenstein, B. How sex and age affect immune responses, susceptibility to infections, and response to vaccination. Aging Cell 2015, 14, 309–321. [Google Scholar] [CrossRef]
- Textoris, J.; Ban, L.H.; Capo, C.; Raoult, D.; Leone, M.; Mege, J.L. Sex-related differences in gene expression following Coxiella burnetii infection in mice: Potential role of circadian rhythm. PLoS ONE 2010, 5, e12190. [Google Scholar] [CrossRef] [PubMed]
- Dauch, W.A.; Bauer, S. Circadian rhythms in the body temperatures of intensive care patients with brain lesions. J. Neurol. Neurosurg. Psychiatry 1990, 53, 345–347. [Google Scholar] [CrossRef] [PubMed]
- Papaioannou, V.E.; Chouvarda, I.G.; Maglaveras, N.K.; Pneumatikos, I.A. Temperature variability analysis using wavelets and multiscale entropy in patients with systemic inflammatory response syndrome, sepsis, and septic shock. Crit. Care 2012, 16, R51. [Google Scholar] [CrossRef]
- Coiffard, B.; Diallo, A.B.; Culver, A.; Mezouar, S.; Hammad, E.; Vigne, C.; Nicolino-Brunet, C.; Dignat-George, F.; Baumstarck, K.; Boucekine, M.; et al. Circadian Rhythm Disruption and Sepsis in Severe Trauma Patients. Shock 2019, 52, 29–36. [Google Scholar] [CrossRef]
- Yamamura, Y.; Yano, I.; Kudo, T.; Shibata, S. Time-dependent inhibitory effect of lipopolysaccharide injection on Per1 and Per2 gene expression in the mouse heart and liver. Chronobiol. Int. 2010, 27, 213–232. [Google Scholar] [CrossRef] [PubMed]
- Nguyen, K.D.; Fentress, S.J.; Qiu, Y.; Yun, K.; Cox, J.S.; Chawla, A. Circadian Gene Bmal1 Regulates Diurnal Oscillations of Ly6Chi Inflammatory Monocytes. Science 2013, 341, 1483–1488. [Google Scholar] [CrossRef]
- Hrushesky, W.J.; Langevin, T.; Kim, Y.J.; Wood, P.A. Circadian dynamics of tumor necrosis factor alpha (cachectin) lethality. J. Exp. Med. 1994, 180, 1059–1065. [Google Scholar] [CrossRef]
- Freedman, N.S.; Gazendam, J.; Levan, L.; Pack, A.I.; Schwab, R.J. Abnormal sleep/wake cycles and the effect of environmental noise on sleep disruption in the intensive care unit. Am. J. Respir. Crit. Care Med. 2001, 163, 451–457. [Google Scholar] [CrossRef]
- Meyer, T.J.; Eveloff, S.E.; Bauer, M.S.; Schwartz, W.A.; Hill, N.S.; Millman, R.P. Adverse environmental conditions in the respiratory and medical ICU settings. Chest 1994, 105, 1211–1216. [Google Scholar] [CrossRef]
- Knauert, M.P.; Haspel, J.A.; Pisani, M.A. Sleep Loss and Circadian Rhythm Disruption in the Intensive Care Unit. Clin. Chest Med. 2015, 36, 419–429. [Google Scholar] [CrossRef] [PubMed]
- Hibi, M.; Kubota, C.; Mizuno, T.; Aritake, S.; Mitsui, Y.; Katashima, M.; Uchida, S. Effect of shortened sleep on energy expenditure, core body temperature, and appetite: A human randomised crossover trial. Sci. Rep. 2017, 7, 39640. [Google Scholar] [CrossRef] [PubMed]
- Kräuchi, K.; Cajochen, C.; Werth, E.; Wirz-Justice, A. Alteration of internal circadian phase relationships after morning versus evening carbohydrate-rich meals in humans. J. Biol. Rhythm. 2002, 17, 364–376. [Google Scholar] [CrossRef] [PubMed]



| Characteristics | Cohort (n = 162) |
|---|---|
| Age (years) | 65 [56–74] |
| Gender (Women) | 93 (57.4) |
| Weight (kg) | 75 [66–86] |
| BMI (kg/m2) | 27 [23–30] |
| Smoke history, n(%) | 65 (40.1) |
| Betablocker use, n(%) | 56 (35.4) |
| Comorbidities, n (%) | |
| Diabetes | 51 (31.5) |
| Chronic pulmonary disease | 36 (22.2) |
| Addiction | 24 (14.8) |
| Renal failure | 23 (14.2) |
| Non-resolutive cancer | 23 (14.2) |
| Ischemic heart disease | 17 (10.5) |
| Immunosuppressed | 17 (10.5) |
| Severe neurological disorder | 5 (3.1) |
| Cirrhosis | 4 (2.5) |
| Congestive heart failure | 2 (1.2) |
| SOFA at 24 h (score) | 11 [9–13] |
| IGS II at admission (score) | 67 [48–83] |
| Procalcitonine at admission (ng/mL) | 19 [3–45] |
| Tympanic measure, n (%) | 69 (42.6) |
| Fever at day 2, n (%) | 56 (34.6) |
| Therapeutics at day 2, n (%) | |
| Extra-renal remplacement | 37 (22.8) |
| Sedation | 110 (67.9) |
| Vasopressor support | 125 (77.2) |
| Curare | 17 (10.5) |
| HSHC | 92 (56.8) |
| Steroide | 12 (7.4) |
| Acetaminophen | 27 (16.7) |
| Mechanical ventilation, n (%) | 141 (87.0) |
| Duration of mechanical ventilation (days) | 6 [3–13] |
| ICU stay length (days) | 9 [5–18] |
| ICU death, n (%) | 38 (23.5) |
| Hospital death, n (%) | 49 (30.2) |
| Site of infection, n (%) | |
| Lung | 75 (46.3) |
| Urinary tract | 29 (17.9) |
| Intra-abdominal | 24 (14.8) |
| Skin | 14 (8.6) |
| Bone/Joint | 4 (2.5) |
| Blood | 3 (1.9) |
| Teeth | 2 (1.2) |
| Systemic infection (malaria) | 1 (0.6) |
| Meningitidis | 1 (0.6) |
| Unknown | 9 (5.6) |
| Bacteremia, n (%) | 72 (44.4) |
| Multivariate | Coefficient | SE | OR [95% CI] | p-Value |
|---|---|---|---|---|
| Period | ||||
| Gender (Women) | −2.164 | 0.995 | 0.11 [0.02–0.81] | 0.03 |
| Acetaminophen | −4.334 | 1.354 | 0.013 [0.001–0.19] | 0.002 |
| Mesor | ||||
| Smoke history | −0.194 | 0.143 | 0.82 [0.62–1.09] | 0.18 |
| SOFA at 24 h | −0.051 | 0.025 | 0.95 [0.91–0.99] | 0.046 |
| Procalcitonin (ng/mL) | 0.004 | 0.001 | 1.004 [1.001–1.006] | 0.005 |
| Intra-abdominal | −0.345 | 0.229 | 0.71 [0.45–1.11] | 0.13 |
| Dialysis | 0.010 | 0.186 | 1.01 [0.70–1.45] | 0.96 |
| Hydrocortisone | −0.500 | 0.160 | 0.61 [0.44–0.83] | 0.002 |
| Amplitude | ||||
| Dialysis | −0.495 | 0.156 | 0.61 [0.45–0.83] | 0.002 |
| Low Period (Categorial) | Period (Continuous) | Mesor (Continuous) | Amplitude (Continuous) | |||||
|---|---|---|---|---|---|---|---|---|
| HR [95% CI] | p | HR [95% CI] | p | HR [95% CI] | p | HR [95% CI] | p | |
| Univariate | 1.04 [0.52–2.08] | 0.91 | 1.00 [0.94–1.06] | 0.99 | 0.49 [0.29–0.80] | 0.004 | 4.00 [1.43–11.18] | 0.008 |
| Model 1 | 1.16 [0.58–2.34] | 0.67 | 0.99 [0.93–1.05] | 0.64 | 0.54 [0.32–0.92] | 0.02 | 4.83 [1.66–14.01] | 0.004 |
| Model 2 | 0.95 [0.47–1.92] | 0.91 | 0.98 [0.92–1.05] | 0.58 | 0.55 [0.30–1.00] | 0.05 | 2.51 [0.84–7.53] | 0.10 |
| Model 3 | 0.30 [0.06–1.51] | 0.14 | 0.95 [0.89–1.02] | 0.17 | 0.51 [0.28–0.93] | 0.03 | 4.03 [1.17–13.93] | 0.03 |
| Model 4 | 0.34 [0.07–1.65] | 0.18 | 0.95 [0.88–1.02] | 0.13 | 0.50 [0.28–0.90] | 0.02 | 5.48 [1.66–18.12] | 0.005 |
Disclaimer/Publisher’s Note: The statements, opinions and data contained in all publications are solely those of the individual author(s) and contributor(s) and not of MDPI and/or the editor(s). MDPI and/or the editor(s) disclaim responsibility for any injury to people or property resulting from any ideas, methods, instructions or products referred to in the content. |
© 2023 by the authors. Licensee MDPI, Basel, Switzerland. This article is an open access article distributed under the terms and conditions of the Creative Commons Attribution (CC BY) license (https://creativecommons.org/licenses/by/4.0/).
Share and Cite
Coiffard, B.; Merdji, H.; Boucekine, M.; Helms, J.; Clere-Jehl, R.; Mege, J.-L.; Meziani, F. Changes in Body Temperature Patterns Are Predictive of Mortality in Septic Shock: An Observational Study. Biology 2023, 12, 638. https://doi.org/10.3390/biology12050638
Coiffard B, Merdji H, Boucekine M, Helms J, Clere-Jehl R, Mege J-L, Meziani F. Changes in Body Temperature Patterns Are Predictive of Mortality in Septic Shock: An Observational Study. Biology. 2023; 12(5):638. https://doi.org/10.3390/biology12050638
Chicago/Turabian StyleCoiffard, Benjamin, Hamid Merdji, Mohamed Boucekine, Julie Helms, Raphaël Clere-Jehl, Jean-Louis Mege, and Ferhat Meziani. 2023. "Changes in Body Temperature Patterns Are Predictive of Mortality in Septic Shock: An Observational Study" Biology 12, no. 5: 638. https://doi.org/10.3390/biology12050638
APA StyleCoiffard, B., Merdji, H., Boucekine, M., Helms, J., Clere-Jehl, R., Mege, J.-L., & Meziani, F. (2023). Changes in Body Temperature Patterns Are Predictive of Mortality in Septic Shock: An Observational Study. Biology, 12(5), 638. https://doi.org/10.3390/biology12050638

