Effects of Zinc Status on Expression of Zinc Transporters, Redox-Related Enzymes and Insulin-like Growth Factor in Asian Sea Bass Cells
Abstract
Simple Summary
Abstract
1. Introduction
2. Materials and Methods
2.1. Cell Culture
2.2. Measurement of Free Intracellular Zinc
2.3. Flame Atomic Absorption Spectrophotometry (AAS)
2.4. Real-Time PCR
2.5. MTT (3-(4,5-Dimethylthiazol-2-yl)-2,5-Diphenyltetrazolium Bromide) Test
2.6. Statistics
3. Results
3.1. Zinc Homeostasis in Zinc Deficient and Zinc Supplemented SF Cells
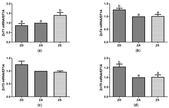
3.2. Zinc Transporter Expression in SF Cells
3.3. Effect of Zinc Status on the Expression of Redox-Related Mediators
3.4. Expression of Growth-Related Factors Is Affected by Zinc Deficiency
3.5. Metabolism Is Affected by the Zinc Status
4. Discussion
5. Conclusions
Author Contributions
Funding
Institutional Review Board Statement
Informed Consent Statement
Data Availability Statement
Acknowledgments
Conflicts of Interest
References
- Béné, C.; Barange, M.; Subasinghe, R.; Pinstrup-Andersen, P.; Merino, G.; Hemre, G.-I.; Williams, M. Feeding 9 billion by 2050—Putting fish back on the menu. Food Sec. 2015, 7, 261–274. [Google Scholar] [CrossRef]
- Paria, A.; Dong, J.; Babu, P.P.S.; Makesh, M.; Chaudhari, A.; Thirunavukkarasu, A.R.; Purushothaman, C.S.; Rajendran, K.V. Evaluation of candidate reference genes for quantitative expression studies in Asian seabass (Lates calcarifer) during ontogenesis and in tissues of healthy and infected fishes. Indian J. Exp. Biol. 2016, 54, 597–605. [Google Scholar]
- Sansuwan, K.; Jintasataporn, E.-O.; Chumkam, S. Effects of Dietary Zinc Amino Acid Complex and Zinc Sulfate on Growth Performance, Digestive Enzyme Activity and Immune Response in Asian Seabass (Lates calcarifer). J. Aquac. Res. Dev. 2019, 10. [Google Scholar] [CrossRef]
- Samat, N.A.; Yusoff, F.M.; Rasdi, N.W.; Karim, M. Enhancement of Live Food Nutritional Status with Essential Nutrients for Improving Aquatic Animal Health: A Review. Animals 2020, 10, 2457. [Google Scholar] [CrossRef]
- Ellis, S.C.; Reigh, R.C. Effects of dietary lipid and carbohydrate levels on growth and body composition of juvenile red drum, Sciaenops ocellatus. Aquaculture 1991, 97, 383–394. [Google Scholar] [CrossRef]
- Lin, S.; Lin, X.; Yang, Y.; Li, F.; Luo, L. Comparison of chelated zinc and zinc sulfate as zinc sources for growth and immune response of shrimp (Litopenaeus vannamei). Aquaculture 2013, 406–407, 79–84. [Google Scholar] [CrossRef]
- Ekinci, D.; Ceyhun, S.B.; Aksakal, E.; Erdoğan, O. IGF and GH mRNA levels are suppressed upon exposure to micromolar concentrations of cobalt and zinc in rainbow trout white muscle. Comp. Biochem. Physiol. Part C Toxicol. Pharmacol. 2011, 153, 336–341. [Google Scholar] [CrossRef]
- Huang, F.; Jiang, M.; Wen, H.; Wu, F.; Liu, W.; Tian, J.; Yang, C. Dietary zinc requirement of adult Nile tilapia (Oreochromis niloticus) fed semi-purified diets, and effects on tissue mineral composition and antioxidant responses. Aquaculture 2015, 439, 53–59. [Google Scholar] [CrossRef]
- Wessels, I.; Fischer, H.J.; Rink, L. Dietary and Physiological Effects of Zinc on the Immune System. Annu. Rev. Nutr. 2021, 41, 133–175. [Google Scholar] [CrossRef]
- Min, B.-H.; Saravanan, M.; Nam, S.-E.; Eom, H.-J.; Rhee, J.-S. Waterborne zinc pyrithione modulates immunity, biochemical, and antioxidant parameters in the blood of olive flounder. Fish Shellfish Immunol. 2019, 92, 469–479. [Google Scholar] [CrossRef]
- National Research Council. Nutrient Requirements of Fish and Shrimp; National Academies Press: Washington, DC, USA, 2011; ISBN 978-0-309-16338-5. [Google Scholar]
- Tan, B.; Mai, K. Zinc methionine and zinc sulfate as sources of dietary zinc for juvenile abalone, Haliotis discus hannai Ino. Aquaculture 2001, 192, 67–84. [Google Scholar] [CrossRef]
- Paripatananont, T.; Lovell, R.T. Responses of Channel Catfish Fed Organic and Inorganic Sources of Zinc to Edwardsiella ictaluri Challenge. J. Aquat. Anim. Health 1995, 7, 147–154. [Google Scholar] [CrossRef]
- Apines-Amar, M.J.S.; Satoh, S.; Caipang, C.M.A.; Kiron, V.; Watanabe, T.; Aoki, T. Amino acid-chelate: A better source of Zn, Mn and Cu for rainbow trout, Oncorhynchus mykiss. Aquaculture 2004, 240, 345–358. [Google Scholar] [CrossRef]
- Buentello, J.A.; Goff, J.B.; Gatlin, D.M. Dietary zinc requirement of hybrid striped bass, Morone chrysops × Morone saxatilis, and bioavailability of two chemically different zinc Compounds. J. World Aquac. Soc. 2009, 40, 687–694. [Google Scholar] [CrossRef]
- do Carmo e Sá, M.V.; Pezzato, L.E.; Ferreira Lima, M.M.B.; de Magalhães Padilha, P. Optimum zinc supplementation level in Nile tilapia Oreochromis niloticus juveniles diets. Aquaculture 2004, 238, 385–401. [Google Scholar] [CrossRef]
- Ma, R.; Hou, H.; Mai, K.; Bharadwaj, A.S.; Ji, F.; Zhang, W. Comparative study on the bioavailability of chelated or inorganic zinc in diets containing tricalcium phosphate and phytate to turbot (Scophthalmus maximus). Aquaculture 2014, 420–421, 187–192. [Google Scholar] [CrossRef]
- Zheng, D.; Feeney, G.P.; Handy, R.D.; Hogstrand, C.; Kille, P. Uptake epithelia behave in a cell-centric and not systems homeostatic manner in response to zinc depletion and supplementation. Metallomics 2014, 6, 154–165. [Google Scholar] [CrossRef]
- Maret, W.; Jacob, C.; Vallee, B.L.; Fischer, E.H. Inhibitory sites in enzymes: Zinc removal and reactivation by thionein. Proc. Natl. Acad. Sci. USA 1999, 96, 1936–1940. [Google Scholar] [CrossRef]
- Chen, S.-W.; Wu, K.; Lv, W.-H.; Song, C.-C.; Luo, Z. Molecular characterization of ten zinc (Zn) transporter genes and their regulation to Zn metabolism in freshwater teleost yellow catfish Pelteobagrus fulvidraco. J. Trace Elem. Med. Biol. 2020, 59, 126433. [Google Scholar] [CrossRef]
- Ho, E.; Dukovcic, S.; Hobson, B.; Wong, C.P.; Miller, G.; Hardin, K.; Traber, M.G.; Tanguay, R.L. Zinc transporter expression in zebrafish (Danio rerio) during development. Comp. Biochem. Physiol. Part C Toxicol. Pharmacol. 2012, 155, 26–32. [Google Scholar] [CrossRef]
- Chang, S.; Ngoh, G.; Kueh, L.; Qin, Q.; Chen, C.; Lam, T.; Sin, Y. Development of a tropical marine fish cell line from Asian seabass (Lates calcarifer) for virus isolation. Aquaculture 2001, 192, 133–145. [Google Scholar] [CrossRef]
- Mayer, L.S.; Uciechowski, P.; Meyer, S.; Schwerdtle, T.; Rink, L.; Haase, H. Differential impact of zinc deficiency on phagocytosis, oxidative burst, and production of pro-inflammatory cytokines by human monocytes. Metallomics 2014, 6, 1288–1295. [Google Scholar] [CrossRef] [PubMed]
- Rolles, B.; Maywald, M.; Rink, L. Intracellular zinc during cell activation and zinc deficiency. J. Trace Elem. Med. Biol. 2021, 68, 126864. [Google Scholar] [CrossRef] [PubMed]
- Betancor, M.B.; Caballero, M.J.; Terova, G.; Saleh, R.; Atalah, E.; Benítez-Santana, T.; Bell, J.G.; Izquierdo, M. Selenium inclusion decreases oxidative stress indicators and muscle injuries in sea bass larvae fed high-DHA microdiets. Br. J. Nutr. 2012, 108, 2115–2128. [Google Scholar] [CrossRef] [PubMed]
- Thanomsit, C.; Nantanawat, P.; Wassmur, B.; Gräns, J.; Celander, M.C.; Kanchanopas-Barnette, P. Characterization of Metallothionein from Asian Sea Bass (Lates calcarifer, Bloch) and Application as a Biomarker for Heavy Metal Exposure in Thailand. Asian J. Water Environ. Pollut. 2013, 10, 53–64. [Google Scholar]
- Prabhu, P.A.J.; Stewart, T.; Silva, M.; Amlund, H.; Ørnsrud, R.; Lock, E.-J.; Waagbo, R.; Hogstrand, C. Zinc uptake in fish intestinal epithelial model RTgutGC: Impact of media ion composition and methionine chelation. J. Trace Elem. Med. Biol. 2018, 50, 377–383. [Google Scholar] [CrossRef]
- Han, Y.; Goldberg, J.M.; Lippard, S.J.; Palmer, A.E. Superiority of SpiroZin2 Versus FluoZin-3 for monitoring vesicular Zn2+ allows tracking of lysosomal Zn2+ pools. Sci. Rep. 2018, 8, 15034. [Google Scholar] [CrossRef]
- Kaltenberg, J.; Plum, L.M.; Ober-Blöbaum, J.L.; Hönscheid, A.; Rink, L.; Haase, H. Zinc signals promote IL-2-dependent proliferation of T cells. Eur. J. Immunol. 2010, 40, 1496–1503. [Google Scholar] [CrossRef] [PubMed]
- Muylle, F.; Robbens, J.; de Coen, W.; Timmermans, J.-P.; Blust, R. Cadmium and zinc induction of ZnT-1 mRNA in an established carp cell line. Comp. Biochem. Physiol. Part C Toxicol. Pharmacol. 2006, 143, 242–251. [Google Scholar] [CrossRef]
- Liuzzi, J.P.; Blanchard, R.K.; Cousins, R.J. Differential regulation of zinc transporter 1, 2, and 4 mRNA expression by dietary zinc in rats. J. Nutr. 2001, 131, 46–52. [Google Scholar] [CrossRef]
- Balesaria, S.; Hogstrand, C. Identification, cloning and characterization of a plasma membrane zinc efflux transporter, TrZnT-1, from fugu pufferfish (Takifugu rubripes). Biochem. J. 2006, 394, 485–493. [Google Scholar] [CrossRef]
- Chen, G.-H.; Luo, Z.; Wei, C.-C.; Li, D.-D.; Pan, Y.-X. Six indicator genes for zinc (Zn) homeostasis in freshwater teleost yellow catfish Pelteobagrus fulvidraco: Molecular characterization, mRNA tissue expression and transcriptional changes to Zn exposure. Biometals 2018, 31, 527–537. [Google Scholar] [CrossRef]
- Pfaffl, M.W.; Windisch, W. Influence of zinc deficiency on the mRNA expression of zinc transporters in adult rats. J. Trace Elem. Med. Biol. 2003, 17, 97–106. [Google Scholar] [CrossRef]
- Alluri, K.; Nair, K.P.M.; Kotturu, S.K.; Ghosh, S. Transcriptional Regulation of Zinc Transporters in Human Osteogenic Sarcoma (Saos-2) Cells to Zinc Supplementation and Zinc Depletion. Biol. Trace Elem. Res. 2020, 194, 360–367. [Google Scholar] [CrossRef]
- Song, C.-C.; Wu, L.-X.; Chen, G.-H.; Lv, W.-H.; Chen, S.-W.; Luo, Z. Six members of SLC30A/ZnTs family related with the control of zinc homeostasis: Characterization, mRNA expression and their responses to dietary ZnO nanoparticles in yellow catfish. Aquaculture 2020, 528, 735570. [Google Scholar] [CrossRef]
- Zheng, D.; Feeney, G.P.; Kille, P.; Hogstrand, C. Regulation of ZIP and ZnT zinc transporters in zebrafish gill: Zinc repression of ZIP10 transcription by an intronic MRE cluster. Physiol. Genom. 2008, 34, 205–214. [Google Scholar] [CrossRef]
- Puar, P.; Niyogi, S.; Kwong, R.W.M. Regulation of metal homeostasis and zinc transporters in early-life stage zebrafish following sublethal waterborne zinc exposure. Aquat. Toxicol. 2020, 225, 105524. [Google Scholar] [CrossRef]
- Gao, W.; Huang, L.; Zhang, X.; Ma, X.; Wang, W.; Zheng, Y.; Geng, W.; Liu, C.; Wei, S.; Yang, L.; et al. Effect of Maternal Marginal Zinc Deficiency on Development, Redox Status, and Gene Expression Related to Oxidation and Apoptosis in an Avian Embryo Model. Oxid. Med. Cell. Longev. 2021, 2021, 9013280. [Google Scholar] [CrossRef]
- Yu, H.-R.; Li, L.-Y.; Shan, L.-L.; Gao, J.; Ma, C.-Y.; Li, X. Effect of supplemental dietary zinc on the growth, body composition and anti-oxidant enzymes of coho salmon (Oncorhynchus kisutch) alevins. Aquac. Rep. 2021, 20, 100744. [Google Scholar] [CrossRef]
- Feng, L.; Tan, L.-N.; Jiang, J.; Jiang, W.-D.; Hu, K.; Li, S.-H.; Zhou, X.-Q. Influence of dietary zinc on lipid peroxidation, protein oxidation and antioxidant defence of juvenile Jian carp (Cyprinus carpio var. Jian). Aquac. Nutr. 2011, 17, e875–e882. [Google Scholar] [CrossRef]
- Kim, K.-Y.; Lee, S.Y.; Cho, Y.S.; Bang, I.C.; Kim, K.H.; Kim, D.S.; Nam, Y.K. Molecular characterization and mRNA expression during metal exposure and thermal stress of copper/zinc- and manganese-superoxide dismutases in disk abalone, Haliotis discus discus. Fish Shellfish Immunol. 2007, 23, 1043–1059. [Google Scholar] [CrossRef]
- St. Dimitrova, M.; Tishinova, V.; Velcheva, V. Combined effect of zinc and lead on the hepatic superoxide dismutase-catalase system in carp (Cyprinus carpio). Comp. Biochem. Physiol. Part C Pharmacol. Toxicol. Endocrinol. 1994, 108, 43–46. [Google Scholar] [CrossRef]
- Horie, Y.; Yonekura, K.; Suzuki, A.; Takahashi, C. Zinc chloride influences embryonic development, growth, and Gh/Igf-1 gene expression during the early life stage in zebrafish (Danio rerio). Comp. Biochem. Physiol. Part C Toxicol. Pharmacol. 2020, 230, 108684. [Google Scholar] [CrossRef]
- Fasil, D.M.; Hamdi, H.; Al-Barty, A.; Zaid, A.A.; Parashar, S.K.S.; Das, B. Selenium and Zinc Oxide Multinutrient Supplementation Enhanced Growth Performance in Zebra Fish by Modulating Oxidative Stress and Growth-Related Gene Expression. Front. Bioeng. Biotechnol. 2021, 9, 721717. [Google Scholar] [CrossRef]
- Song, Z.-X.; Jiang, W.-D.; Liu, Y.; Wu, P.; Jiang, J.; Zhou, X.-Q.; Kuang, S.-Y.; Tang, L.; Tang, W.-N.; Zhang, Y.-A.; et al. Dietary zinc deficiency reduced growth performance, intestinal immune and physical barrier functions related to NF-κB, TOR, Nrf2, JNK and MLCK signaling pathway of young grass carp (Ctenopharyngodon idella). Fish Shellfish Immunol. 2017, 66, 497–523. [Google Scholar] [CrossRef]
- Betteger, W.J.; Bray, T.M. Effect of dietary zinc or copper deficiency on catalase, glutathione peroxidase and superoxide dismutase activities in rat heart. Nutr. Res. 1989, 9, 319–326. [Google Scholar] [CrossRef]
- Chang, C.-H.; Mayer, M.; Rivera-Ingraham, G.; Blondeau-Bidet, E.; Wu, W.-Y.; Lorin-Nebel, C.; Lee, T.-H. Effects of temperature and salinity on antioxidant responses in livers of temperate (Dicentrarchus labrax) and tropical (Chanos Chanos) marine euryhaline fish. J. Therm. Biol. 2021, 99, 103016. [Google Scholar] [CrossRef]
- Kim, S.-S.; Han, G.-S.; Yoo, H.-K.; Kim, K.-T.; Byun, S.-G.; Jung, M.-M.; Kim, W.-J.; Hwang, S.-D. Effect of Temperature Fluctuation and Nutritional Status on Starry Flounder, Platichthys stellatus, Survival and Adaptive Physiological Response. JMSE 2021, 9, 1361. [Google Scholar] [CrossRef]
- Ninh, N.X.; Maiter, D.; Lause, P.; Chrzanowska, B.; Underwood, L.E.; Ketelslegers, J.M.; Thissen, J.P. Continuous administration of growth hormone does not prevent the decrease of IGF-I gene expression in zinc-deprived rats despite normalization of liver GH binding. Growth Horm. IGF Res. 1998, 8, 465–472. [Google Scholar] [CrossRef]
- Hall, A.G.; Kelleher, S.L.; Lönnerdal, B.; Philipps, A.F. A graded model of dietary zinc deficiency: Effects on growth, insulin-like growth factor-I, and the glucose/insulin axis in weanling rats. J. Pediatr. Gastroenterol. Nutr. 2005, 41, 72–80. [Google Scholar] [CrossRef]
- Duan, C. Nutritional and developmental regulation of insulin-like growth factors in fish. J. Nutr. 1998, 128, 306S–314S. [Google Scholar] [CrossRef] [PubMed]






| Gene | Forward Primers | Reverse Primers | Source |
|---|---|---|---|
| EF1A | GTTGCCTTTGTCCCCATCTC | CTTCCAGCAGTGTGGTTCCA | [2] |
| IGF-I | AAGACTAAGGCAGCTCGCTC | CTTGTCCACTTTGTGCCCTG | 1XM_018697285.1 |
| IGF-II | TGCAGAGACGCTGTGTGG | GCCTACTGAAATAGAAGCCTCTGT | [25] |
| MT | CACCTGCACAACTGCTCCTG | ACGCAGCCTGAGGCACAC | [26] |
| Catalase | CCCACTTTGACAGGGAACGA | AACACCTTGGCCTTGCAGTA | 1XM_018675907.1 |
| SOD1 | GTGATCCATGAGAAGGCCGA | GCGATGCCAATGACTCCACA | 1XM_018691152.1 |
| Zip1 | CCACCACGTCCATGTTGACT | GGCCAATAGCAAGACCCTCA | 1XM_018678733.2 |
| Zip2 | TCCGCAGATCGTCCTCCTAA | GCTGTACTGTGAGCGGTGTT | 1XM_018681747.2 |
| Zip3 | CAGAGACAAGGTGGGCGATG | GGTGAGGAAGAAACCGAGCA | 1XM_051068639.1 1XM_018662136.2 1XM_018662135.2 1XM_018690367.2 1XM_018690365.2 |
| Zip4 | GACTGGCTGATATGCTCCCC | CATCCGGTTAGAAGGCCGAC | 1XM_018670744.2 |
| Zip6 | CGCATCACCAGAAACACGTC | CGGGTTCTCCGTCTTCTTCC | 1XM_018674935.2 1XM_018674937.2 1XM_018674936.2 1XM_018674938.2 |
| Zip7 | ACATGCTCTGGGTAGCCCC | CATGCGAGTGTCCGTGAGAG | 1XM_018682170.2 |
| Zip8 | GCTCGGCCTTTTGCTGATAC | CGTTGGAGAAGAGTGTCCCG | 1XM_018666273.2 |
| Zip9 | CAGGGACATTTGCTGGCCTT | AGAAGAGCATTCCCACACCTG | 1XM_018681638.2 |
| Zip10 | TGCCCATCCTCAACCAATCC | GGCAGCAGGTGTAGTAGAGC | 1XM_018689799.2 1XM_018683164.2 |
| Zip11 | GTTCACCTGGGGTCTAACCG | GGGTCCAGCTCTACCTATCCT | 1XM_018703772.2 1XM_051066206.1 |
| Zip12 | CCCGGTAGGAACATGCACTT | GGGAAGACCCAGTGCTTTGA | 1XM_018693642.1 |
| Zip13 | CACTCAGAAACGGGCACCAT | AAGGTGGTGAGGAACCCAAC | 1XM_018686288.2 |
| Zip14 | GTTGTTTGTTGAGCGGAGTCG | GCTTCTTCACTGGCTGGAGG | 1XM_018688493.2 1XM_018688494.2 1XM_018688494.2 |
| ZnT1 | CCACCATCCAGCCAGAGTTT | AGCCTGTACCCTGTTTGTCG | 1XM_018694997.2 |
| ZnT2 | CACGAGAGGAATGCCAAGATGT | CGGCCATGCCTCCGTTTTTA | 1XM_018687330.2 |
| ZnT4 | TGACCGACGCTTTGCACATA | AGACCAGTATGGCCGTCAGA | 1XM_018683556.2 1XM_018683555.2 |
| ZnT5 | GCCATCTGCAACGCAAAGAT | CGGGTGAGTCCAGAAGTTGG | 1XM_051072778.1 |
| ZnT6 | ATGCAGGCAGGGGTGC | TAGCGGGTTGCTAGTTCCAA | 1XM_018660807.2 1XM_018660809.2 |
| ZnT7 | CATCGGGACGTTAAAGCTGC | ACATAGAGCTGTCGAACCCC | 1XM_018662649.2 |
| ZnT8 | GACCGCGAACGAGAGAAGAA | CCACCGAGGATTTCACCGAT | 1XM_018702603.2 |
| ZnT9 | AGAGCGTCCCTATCACAACG | GAAGGCTGAACCACAGGCTA | 1XM_018694108.1 1XM_018694109.1 |
| Transporter | RefSeq | Zinc Effect |
|---|---|---|
| Zip1 | XM_018678733.2 | No mRNA expression detected |
| Zip5 | No homologous sequence found | |
| Zip7 | XM_018682170.2 | No mRNA expression detected |
| Zip9 | XM_018681638.2 | No mRNA expression detected |
| Zip11 | XM_018703772.2 XM_051066206.1 | No mRNA expression detected |
| Zip12 | XM_018693642.1 | No mRNA expression detected |
| Zip13 | XM_018686288.2 | No mRNA expression detected |
| ZnT2 | XM_018687330.2 | Not detected |
| ZnT3 | No homologous sequence found | |
| ZnT6 | XM_018660807.1 | Not detected |
| ZnT7 | XM_018662649.2 | Not detected |
| ZnT8 | XM_018702603.2 | Not detected |
| ZnT10 | No homologous sequence found | |
Disclaimer/Publisher’s Note: The statements, opinions and data contained in all publications are solely those of the individual author(s) and contributor(s) and not of MDPI and/or the editor(s). MDPI and/or the editor(s) disclaim responsibility for any injury to people or property resulting from any ideas, methods, instructions or products referred to in the content. |
© 2023 by the authors. Licensee MDPI, Basel, Switzerland. This article is an open access article distributed under the terms and conditions of the Creative Commons Attribution (CC BY) license (https://creativecommons.org/licenses/by/4.0/).
Share and Cite
Sansuwan, K.; Jintasataporn, O.; Rink, L.; Triwutanon, S.; Wessels, I. Effects of Zinc Status on Expression of Zinc Transporters, Redox-Related Enzymes and Insulin-like Growth Factor in Asian Sea Bass Cells. Biology 2023, 12, 338. https://doi.org/10.3390/biology12030338
Sansuwan K, Jintasataporn O, Rink L, Triwutanon S, Wessels I. Effects of Zinc Status on Expression of Zinc Transporters, Redox-Related Enzymes and Insulin-like Growth Factor in Asian Sea Bass Cells. Biology. 2023; 12(3):338. https://doi.org/10.3390/biology12030338
Chicago/Turabian StyleSansuwan, Kanokwan, Orapint Jintasataporn, Lothar Rink, Supawit Triwutanon, and Inga Wessels. 2023. "Effects of Zinc Status on Expression of Zinc Transporters, Redox-Related Enzymes and Insulin-like Growth Factor in Asian Sea Bass Cells" Biology 12, no. 3: 338. https://doi.org/10.3390/biology12030338
APA StyleSansuwan, K., Jintasataporn, O., Rink, L., Triwutanon, S., & Wessels, I. (2023). Effects of Zinc Status on Expression of Zinc Transporters, Redox-Related Enzymes and Insulin-like Growth Factor in Asian Sea Bass Cells. Biology, 12(3), 338. https://doi.org/10.3390/biology12030338

