Anthropometrics, Performance, and Psychological Outcomes in Mixed Martial Arts Athletes
Abstract
Simple Summary
Abstract
1. Introduction
2. Materials and Methods
2.1. Participants
2.2. Experimental Design
2.3. Digit Ratio (2D:4D) Assessment
2.4. Hand Grip Strength (HGS)
2.5. Questionnaires
2.5.1. Big Five Inventory (BFI)
2.5.2. Buss–Perry Aggression Questionnaire (BPAQ)
2.6. Statistical Analysis
3. Results
3.1. Descriptive Statistics and Comparison of Digit Ratios
3.2. Correlation between 2D:4D, LBM, and HGS
3.3. Personality Traits in Professional MMA Athletes and Students
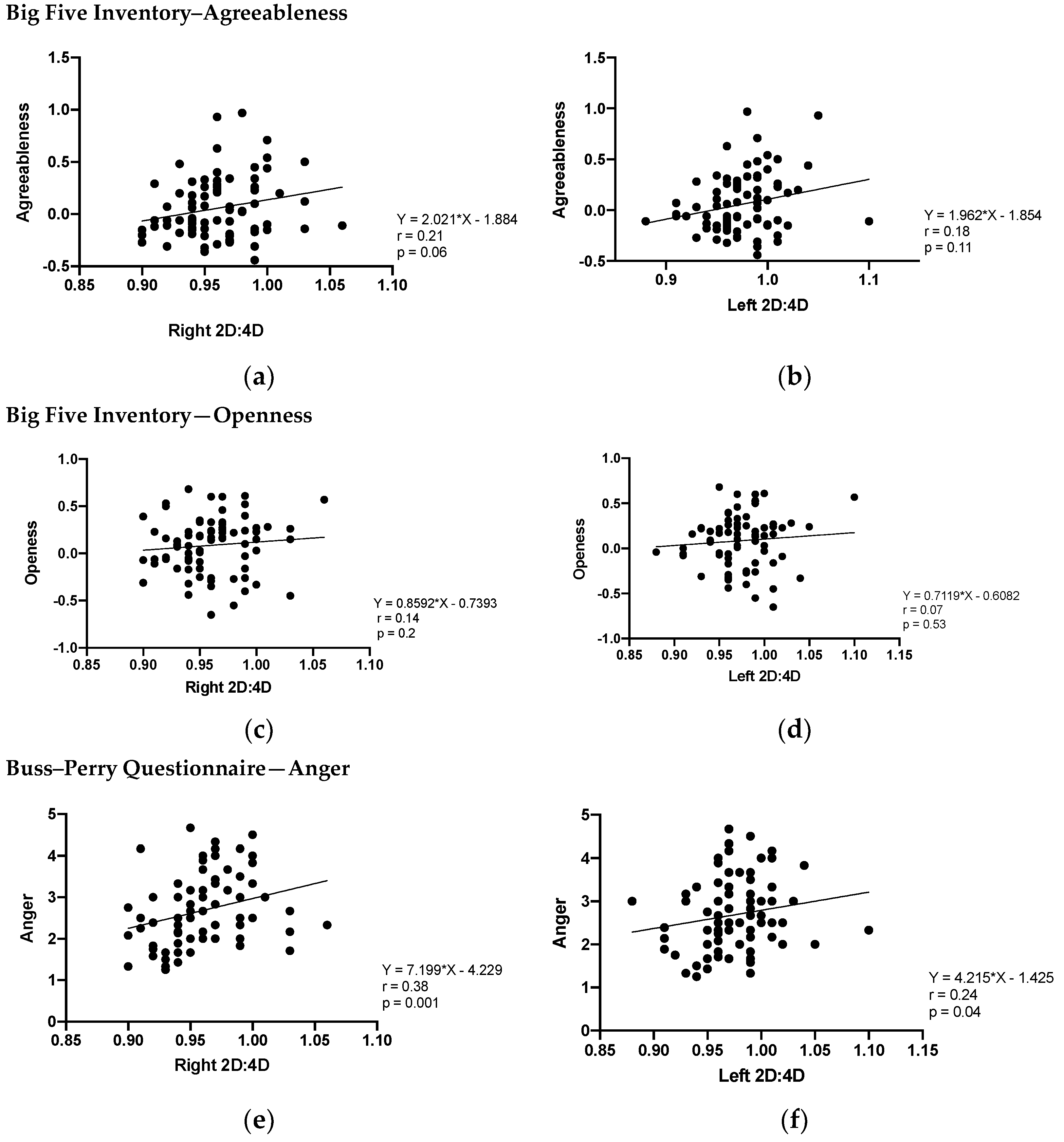
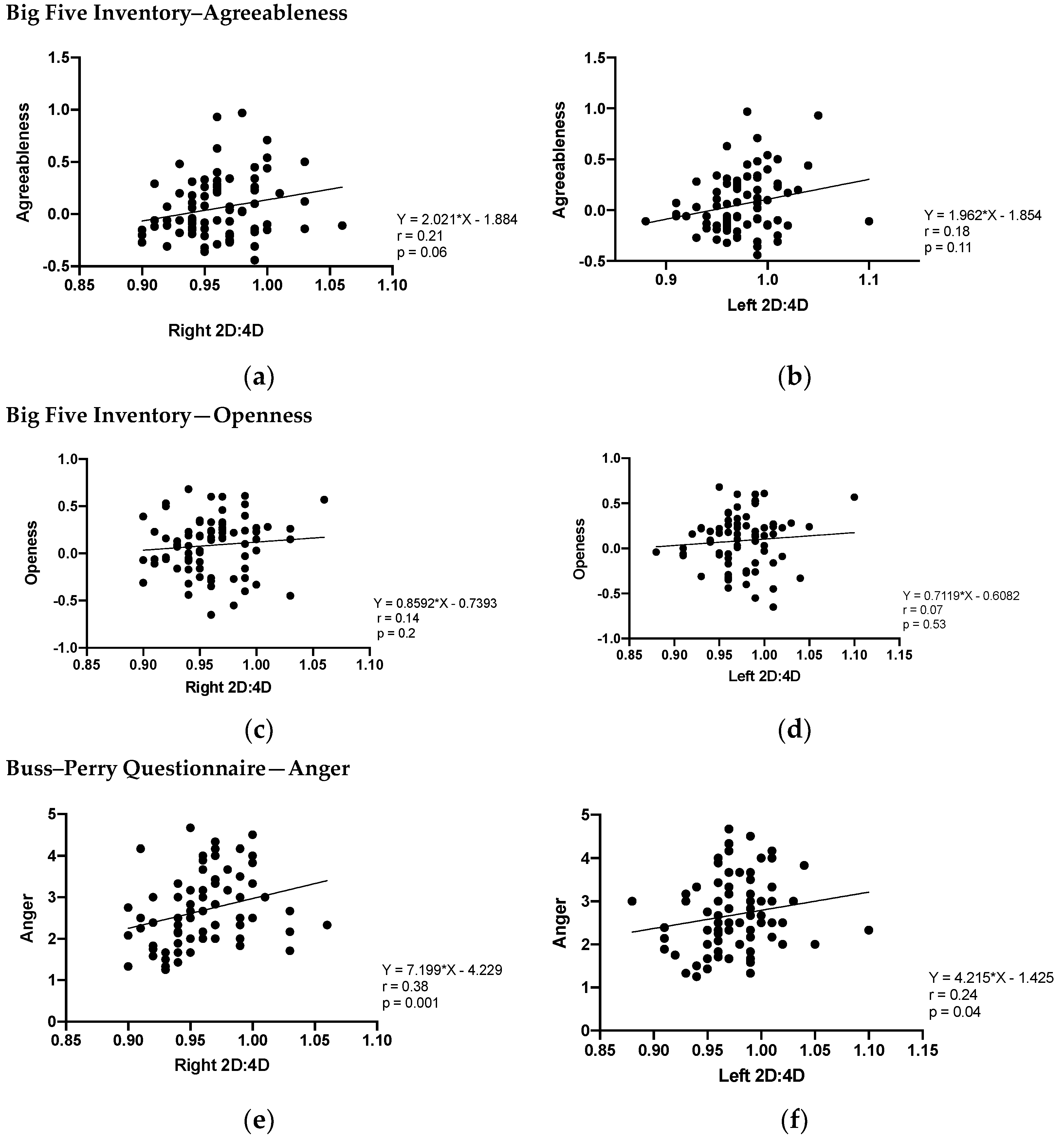
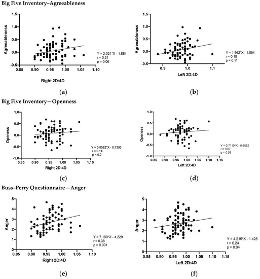
3.4. Correlation between 2D:4D and Agreeableness, Openness, and Anger
3.5. Association between Winning Outcome and 2D:4D
4. Discussion
5. Conclusions
Author Contributions
Funding
Institutional Review Board Statement
Informed Consent Statement
Data Availability Statement
Acknowledgments
Conflicts of Interest
References
- Davison, R.C.R.; van Someren, K.A.; Jones, A.M. Physiological Monitoring of the Olympic Athlete. J. Sports Sci. 2009, 27, 1433–1442. [Google Scholar] [CrossRef]
- Buxens, A.; Ruiz, J.R.; Arteta, D.; Artieda, M.; Santiago, C.; González-Freire, M.; Martínez, A.; Tejedor, D.; Lao, J.I.; Gómez-Gallego, F.; et al. Can We Predict Top-Level Sports Performance in Power vs Endurance Events? A Genetic Approach. Scand. J. Med. Sci. Sport 2011, 21, 570–579. [Google Scholar] [CrossRef] [PubMed]
- Manning, J.T.; Scutt, D.; Wilson, J.; Lewis-Jones, D.I. The Ratio of 2nd to 4th Digit Length: A Predictor of Sperm Numbers and Concentrations of Testosterone, Luteinizing Hormone and Oestrogen. Hum. Reprod. 1998, 13, 3000–3004. [Google Scholar] [CrossRef]
- Zheng, U.; Cohn, M.J. Developmental Basis of Sexually Dimorphic Digit Ratios. Proc. Natl. Acad. Sci. USA 2011, 108, 16289–16294. [Google Scholar] [CrossRef] [PubMed]
- Ribeiro, E.; Neave, N.; Morais, R.N.; Kilduff, L.; Taylor, S.R.; Butovskaya, M.; Fink, B.; Manning, J.T. Digit Ratio (2D:4D), Testosterone, Cortisol, Aggression, Personality and Hand-Grip Strength: Evidence for Prenatal Effects on Strength. Early Hum. Dev. 2016, 100, 21–25. [Google Scholar] [CrossRef] [PubMed]
- Kilduff, L.; Cook, C.J.; Bennett, M.; Crewther, B.; Bracken, R.M.; Manning, J. Right-Left Digit Ratio (2D:4D) Predicts Free Testosterone Levels Associated with a Physical Challenge. J. Sports Sci. 2013, 31, 677–683. [Google Scholar] [CrossRef] [PubMed]
- Manning, J.T.; Taylor, R.P. Second to Fourth Digit Ratio and Male Ability in Sport: Implications for Sexual Selection in Humans. Evol. Hum. Behav. 2001, 22, 61–69. [Google Scholar] [CrossRef]
- Manning, J.T.; Morris, L.; Caswell, N. Endurance Running and Digit Ratio (2D:4D): Implications for Fetal Testosterone Effects on Running Speed and Vascular Health. Am. J. Hum. Biol. 2007, 19, 416–421. [Google Scholar] [CrossRef]
- Hill, R.; Simpson, B.; Manning, J.; Kilduff, L. Right-Left Digit Ratio (2D: 4D) and Maximal Oxygen Uptake. J. Sports Sci. 2012, 30, 129–134. [Google Scholar] [CrossRef]
- Hönekopp, J.; Schuster, M. A Meta-Analysis on 2D:4D and Athletic Prowess: Substantial Relationships but Neither Hand out-Predicts the Other. Pers. Individ. Dif. 2010, 48, 4–10. [Google Scholar] [CrossRef]
- Adamczyk, J.G.; Safranow, K.; Gajewski, A.K.; Boguszewski, D.; Sozański, H.; Sołtyszewski, I.; Pepłońska, B.; Ciȩszczyk, P.; Siewierski, M.; Zekanowski, C. The Second-to-Fourth Digit (2D:4D) Ratio of Male Combat Athletes Is Associated with the Choice of Sport. J. Hum. Kinet. 2021, 78, 59–66. [Google Scholar] [CrossRef]
- Kociuba, M.; Kozieł, S.; Chakraborty, R.; Ignasiak, Z. Sports Preference and Digit Ratio (2D:4D) Among Female Students in Wrocław, Poland. J. Biosoc. Sci. 2017, 49, 623–633. [Google Scholar] [CrossRef]
- Tamiya, R.; Lee, S.Y.; Ohtake, F. Second to Fourth Digit Ratio and the Sporting Success of Sumo Wrestlers. Evol. Hum. Behav. 2012, 33, 130–136. [Google Scholar] [CrossRef]
- Keshavarz, M.; Bayati, M.; Farzad, B.; Dakhili, A.; Agha-Alinejad, H. The Second to Fourth Digit Ratio in Elite and Non-Elite Greco-Roman Wrestlers. J. Hum. Kinet. 2017, 60, 145–151. [Google Scholar] [CrossRef]
- James, L.P.; Haff, G.G.; Kelly, V.G.; Beckman, E.M. Towards a Determination of the Physiological Characteristics Distinguishing Successful Mixed Martial Arts Athletes: A Systematic Review of Combat Sport Literature. Sport Med. 2016, 46, 1525–1551. [Google Scholar] [CrossRef] [PubMed]
- Kostikiadis, I.N.; Methenitis, S.; Tsoukos, A.; Veligekas, P.; Terzis, G.; Bogdanis, G.C. The Effect of Short-Term Sport-Specific Strength and Conditioning Training on Physical Fitness of Well-Trained Mixed Martial Arts Athletes. J. Sport Sci. Med. 2018, 17, 348–358. [Google Scholar]
- Franchini, E.; Schwartz, J.; Takito, M.Y. Maximal Isometric Handgrip Strength: Comparison between Weight Categories and Classificatory Table for Adult Judo Athletes. J. Exerc. Rehabil. 2018, 14, 968–973. [Google Scholar] [CrossRef]
- Sharpe, R.M. Pathways of Endocrine Disruption during Male Sexual Differentiation and Masculinisation. Best Pract. Res. Clin. Endocrinol. Metab. 2006, 20, 91–110. [Google Scholar] [CrossRef]
- Nelson, J.K.; Thomas, J.R.; Nelson, K.R.; Abraham, P.C. Gender Differences in Children’s Throwing Performance: Biology and Environment. Res. Q. Exerc. Sport 1986, 57, 280–287. [Google Scholar] [CrossRef]
- Hönekopp, J.; Manning, J.T.; Müller, C. Digit Ratio (2D:4D) and Physical Fitness in Males and Females: Evidence for Effects of Prenatal Androgens on Sexually Selected Traits. Horm. Behav. 2006, 49, 545–549. [Google Scholar] [CrossRef]
- Bojanić, Ž.; Nedeljković, J.; Šakan, D.; Mitić, P.M.; Milovanović, I.; Drid, P. Personality Traits and Self-Esteem in Combat and Team Sports. Front. Psychol. 2019, 10, 2280. [Google Scholar] [CrossRef] [PubMed]
- Faul, F.; Erdfelder, E.; Lang, A.G.; Buchner, A. G*Power 3: A Flexible Statistical Power Analysis Program for the Social, Behavioral, and Biomedical Sciences. Behav. Res. Methods 2007, 39, 175–191. [Google Scholar] [CrossRef]
- Siri, W.E. Body Composition from Fluid Spaces and Density: Analysis of Methods. 1961. Nutrition 1993, 9, 480–491; discussion 480, 492. [Google Scholar] [PubMed]
- Jackson, A.S.; Pollock, M.L. Generalized Equations for Predicting Body Density of Men. Br. J. Nutr. 1978, 40, 497–504. [Google Scholar] [CrossRef]
- Quetelet, A. Anthropométrie Ou Mesure Des Différentes Facultés de L’homme; C. Muquardt: Bruxelles, Belgium, 1871. [Google Scholar]
- Johansson, C.A.; Kent, B.E.; Shepard, K.F. Relationship between Verbal Command Volume and Magnitude of Muscle Contraction. Phys. Ther. 1983, 63, 1260–1265. [Google Scholar] [CrossRef] [PubMed]
- Heyward, V.H. Advanced Fitness Assessment and Exercise Prescription, 7th ed.; Human Kinetics: Champaign, IL, USA, 2014; Volume 24. [Google Scholar]
- Del Coso, J.; Pérez-López, A.; Abian-Vicen, J.; Salinero, J.J.; Lara, B.; Valadés, D. Enhancing Physical Performance in Male Volleyball Players with a Caffeine-Containing Energy Drink. Int. J. Sports Physiol. Perform. 2014, 9, 1013–1018. [Google Scholar] [CrossRef] [PubMed]
- Bohannon, R.W. Grip Strength: A Summary of Studies Comparing Dominant and Nondominant Limb Measurements. Percept. Mot. Skills 2003, 96, 728–730. [Google Scholar] [CrossRef]
- Külkamp, W.; Dias, J.A.; Domenech, S.C.; Borges Junior, N.G.; Gevaerd, M.d.S. Comparação Do Desempenho de Praticantes de Exercícios Resistidos Por Diferentes Métodos de Ajuste Pela Massa Corporal. Rev. Bras. Cineantropometria e Desempenho Hum. 2012, 14, 313–323. [Google Scholar] [CrossRef][Green Version]
- de Andrade, J.M. Evidências de Validade Do Inventário Dos Cinco Grandes Fatores de Personalidade Para o Brasil. Ph.D. Thesis, Universidade de Brasília, Brasília, Brazil, December 2008. [Google Scholar]
- John, O.P.; Srivastava, S. The Big Five Trait Taxonomy: History, Measurement, and Theoretical Perspectives. Handb. Personal. Theory Res. 1999, 1, 102–138. [Google Scholar]
- Soto, C.J.; John, O.P.; Gosling, S.D.; Potter, J. The Developmental Psychometrics of Big Five Self-Reports: Acquiescence, Factor Structure, Coherence, and Differentiation From Ages 10 to 20. J. Pers. Soc. Psychol. 2008, 94, 718–737. [Google Scholar] [CrossRef]
- Buss, A.H.; Durkee, A. An Inventory for Assessing Different Kinds of Hostility. J. Consult. Psychol. 1957, 21, 343. [Google Scholar] [CrossRef]
- Gouveia, V.V.; Chaves, C.M.C.M.; Peregrino, R.R.; Castello Branco, A.O.; Gonçalves, M.P. Measuring Aggression: The Buss-Perry Questionnaire. Arq. Bras. Psicol. 2008, 60, 92–103. [Google Scholar]
- Ferreira, V.; Januário, N.; Martins, P.; Ayala, A.; Gonçalves, A.; Sousa, E.; Machado, A.R. Atitudes Face Ao Desporto e Comportamentos Agressivos: Comparação Entre Andebolistas e Basquetebolistas Attitudes to Sport and Aggressive Behaviors: Comparison of Handball against Basketball Players; Instituto Politécnico de Bragança: Bragança, Portugal, 2018; Volume 10, pp. 18–34. [Google Scholar]
- Callegari-Jacques, S.M. Bioestatística: Princípios e Aplicações; Artmed Editora: Porto Alegre, Brazil, 2009; ISBN 8536311444. [Google Scholar]
- Smoliga, J.M.; Fogaca, L.K.; Siplon, J.S.; Goldburt, A.A.; Jakobs, F. Giving Science the Finger—Is the Second-to-Fourth Digit Ratio (2D:4D) a Biomarker of Good Luck A Cross Sectional Study. BMJ 2021, 375, e067849. [Google Scholar] [CrossRef]
- Krakowiak, H.; Čabrić, M.; Sokołowska, E. Digit Ratio (2D:4D) and Body Composition in Athletes Wskaźnik Palcowy (2D:4D) a Skład Ciała U Sportowców. Med. Biol. Sci. 2013, 27, 33–37. [Google Scholar]
- Andrade, A.; Flores, M.A.J.; Andreato, L.V.; Coimbra, D.R. Physical and Training Characteristics of Mixed Martial Arts Athletes: Systematic Review. Strength Cond. J. 2019, 41, 51–63. [Google Scholar] [CrossRef]
- Hone, L.S.E.; McCullough, M.E. 2D:4D Ratios Predict Hand Grip Strength (but Not Hand Grip Endurance) in Men (but Not in Women). Evol. Hum. Behav. 2012, 33, 780–789. [Google Scholar] [CrossRef]
- Georgiev, A.V.; Ryan, C.P.; Gettler, L.T.; McDade, T.W.; Kuzawa, C.W. Second-to-Fourth Digit Ratio (2D:4D) Is Unrelated to Measures of Somatic Reproductive Effort among Young Men from Cebu, the Philippines. Am. J. Phys. Anthropol. 2017, 163, 437–445. [Google Scholar] [CrossRef]
- Millet, K.; Dewitte, S. Digit Ratio (2D:4D) Moderates the Impact of an Aggressive Music Video on Aggression. Pers. Individ. Dif. 2007, 43, 289–294. [Google Scholar] [CrossRef]
- Lafuente, J.C.; Zubiaur, M.; Gutiérrez-García, C. Effects of Martial Arts and Combat Sports Training on Anger and Aggression: A Systematic Review. Aggress. Violent Behav. 2021, 58, 101611. [Google Scholar] [CrossRef]
- Stanković, N.; Todorović, D.; Milošević, N.; Mitrović, M.; Stojiljković, N. Aggressiveness in Judokas and Team Athletes: Predictive Value of Personality Traits, Emotional Intelligence and Self-Efficacy. Front. Psychol. 2022, 12, 824123. [Google Scholar] [CrossRef] [PubMed]
- Tok, S. The Big Five Personality Traits and Risky Sport Participation. Soc. Behav. Pers. 2011, 39, 1105–1112. [Google Scholar] [CrossRef]






| Athletes | Non-Athletes | p Value | |
|---|---|---|---|
| Age (y) b | 25 (18–39) n = 69 | 22 (18–35) n = 53 | 0.002 * |
| Body Mass (Kg) a | 76.07 ± 13.85 n = 69 | 76.22 ± 11.12 n = 53 | 0.946 |
| Heigh (cm) a | 176 ± 0.73 n = 69 | 175 ± 0.61 n = 53 | 0.664 |
| BMI (kg/m2) a | 24.48 ± 3.63 n = 69 | 24.70 ± 2.69 n = 53 | 0.711 |
| Right High 2D:4D | Right Low 2D:4D | |
| High Wins | 18 (26.47%) | 15 (22.05%) |
| Low Wins | 23 (33.82%) | 12 (17.64%) |
| Left High 2D:4D | Left Low 2D:4D | |
| High Wins | 13 (39.39%) | 20 (60.61%) |
| Low Wins | 16 (45.71%) | 19 (54.29%) |
Publisher’s Note: MDPI stays neutral with regard to jurisdictional claims in published maps and institutional affiliations. |
© 2022 by the authors. Licensee MDPI, Basel, Switzerland. This article is an open access article distributed under the terms and conditions of the Creative Commons Attribution (CC BY) license (https://creativecommons.org/licenses/by/4.0/).
Share and Cite
Camarco, N.F.; Neto, I.V.d.S.; Ribeiro, E., Jr.; Andrade, A.J.M. Anthropometrics, Performance, and Psychological Outcomes in Mixed Martial Arts Athletes. Biology 2022, 11, 1147. https://doi.org/10.3390/biology11081147
Camarco NF, Neto IVdS, Ribeiro E Jr., Andrade AJM. Anthropometrics, Performance, and Psychological Outcomes in Mixed Martial Arts Athletes. Biology. 2022; 11(8):1147. https://doi.org/10.3390/biology11081147
Chicago/Turabian StyleCamarco, Nathalia Ferreira, Ivo Vieira de Sousa Neto, Evaldo Ribeiro, Jr., and Anderson J. Martino Andrade. 2022. "Anthropometrics, Performance, and Psychological Outcomes in Mixed Martial Arts Athletes" Biology 11, no. 8: 1147. https://doi.org/10.3390/biology11081147
APA StyleCamarco, N. F., Neto, I. V. d. S., Ribeiro, E., Jr., & Andrade, A. J. M. (2022). Anthropometrics, Performance, and Psychological Outcomes in Mixed Martial Arts Athletes. Biology, 11(8), 1147. https://doi.org/10.3390/biology11081147

