What Mathematical Models Are Accurate for Prescribing Aerobic Exercise in Women with Fibromyalgia?
Abstract
Simple Summary
Abstract
1. Introduction
2. Materials and Methods
2.1. Participants
2.2. Procedures
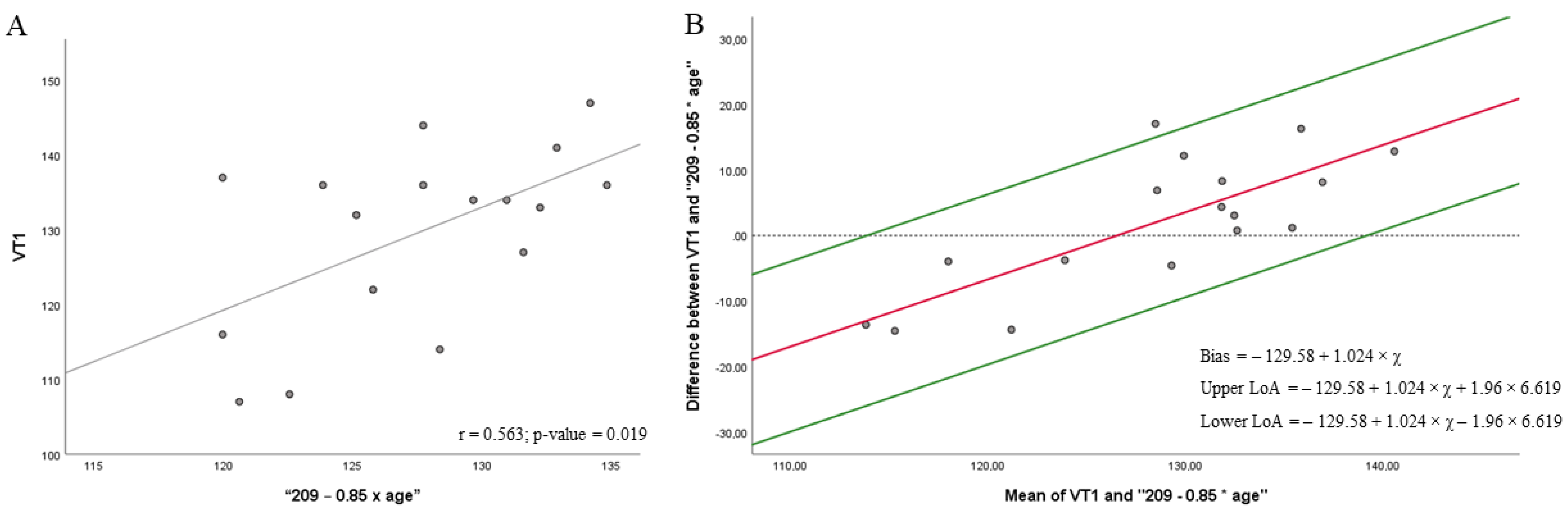
2.3. Statistical Analysis
3. Results
4. Discussion
5. Conclusions
Supplementary Materials
Author Contributions
Funding
Institutional Review Board Statement
Informed Consent Statement
Data Availability Statement
Acknowledgments
Conflicts of Interest
References
- Wolfe, F.; Smythe, H.A.; Yunus, M.B.; Bennett, R.M.; Bombardier, C.; Goldenberg, D.L.; Tugwell, P.; Campbell, S.M.; Abeles, M.; Clark, P. The American College of Rheumatology 1990 criteria for the classification of fibromyalgia. Arthritis Rheum. Off. J. Am. Coll. Rheumatol. 1990, 33, 160–172. [Google Scholar] [CrossRef] [PubMed]
- Segura-Jiménez, V.; Álvarez-Gallardo, I.C.; Carbonell-Baeza, A.; Aparicio, V.A.; Ortega, F.B.; Casimiro, A.J.; Delgado-Fernández, M. Fibromyalgia has a larger impact on physical health than on psychological health, yet both are markedly affected: The al-Ándalus project. Semin. Arthritis Rheum. 2015, 44, 563–570. [Google Scholar] [CrossRef] [PubMed]
- Carbonell-Baeza, A.; Aparicio, V.A.; Sjöström, M.; Ruiz, J.R.; Delgado-Fernández, M. Pain and functional capacity in female fibromyalgia patients. Pain Med. 2011, 12, 1667–1675. [Google Scholar] [CrossRef] [PubMed]
- Huijnen, I.P.J.; Verbunt, J.A.; Meeus, M.; Smeets, R.J.E.M. Energy expenditure during functional daily life performances in patients with fibromyalgia. Pain Pract. 2015, 15, 748–756. [Google Scholar] [CrossRef] [PubMed]
- American College of Cardiology; American Heart Association. Clinical competence statement on stress testing. J. Am. Coll. Cardiol. 2000, 36, 1441–1453. [Google Scholar] [CrossRef]
- Valim, V.; Oliveira, L.M.; Suda, A.L.; Silva, L.E.; Faro, M.; Neto, T.L.B.; Feldman, D.; Natour, J. Peak oxygen uptake and ventilatory anaerobic threshold in fibromyalgia. J. Rheumatol. 2002, 29, 353–357. [Google Scholar]
- Bidonde, J.; Busch, A.J.; Schachter, C.L.; Overend, T.J.; Kim, S.Y.; Góes, S.M.; Boden, C.; Foulds, H.J.A. Aerobic exercise training for adults with fibromyalgia. Cochrane Database Syst. Rev. 2017, 6, CD012700. [Google Scholar] [CrossRef]
- Busch, A.J.; Webber, S.C.; Brachaniec, M.; Bidonde, J.; Bello-Haas, V.D.; Danyliw, A.D.; Overend, T.J.; Richards, R.S.; Sawant, A.; Schachter, C.L. Exercise therapy for fibromyalgia. Curr. Pain Headache Rep. 2011, 15, 358–367. [Google Scholar] [CrossRef]
- Garber, C.E.; Blissmer, B.; Deschenes, M.R.; Franklin, B.A.; Lamonte, M.J.; Lee, I.M.; Nieman, D.C.; Swain, D.P. Quantity and quality of exercise for developing and maintaining cardiorespiratory, musculoskeletal, and neuromotor fitness in apparently healthy adults: Guidance for prescribing exercise. Med. Sci. Sports Exerc. 2011, 43, 1334–1359. [Google Scholar] [CrossRef]
- Gill, T.M.; DiPietro, L.; Krumholz, H.M. Role of exercise stress testing and safety monitoring for older persons starting an exercise program. JAMA 2000, 284, 342–349. [Google Scholar] [CrossRef]
- Gonzalez, R.R.; Cheuvront, S.N.; Montain, S.J.; Goodman, D.A.; Blanchard, L.A.; Berglund, L.G.; Sawka, M.N. Expanded prediction equations of human sweat loss and water needs. J. Appl. Physiol. 2009, 107, 379–388. [Google Scholar] [CrossRef] [PubMed]
- Valim, V.; Oliveira, L.; Suda, A.; Silva, L.; de Assis, M.; Neto, T.B.; Feldman, D.; Natour, J. Aerobic fitness effects in fibromyalgia. J. Rheumatol. 2003, 30, 1060–1069. [Google Scholar]
- Lemos, M.C.D.; Valim, V.; Zandonade, E.; Natour, J. Intensity level for exercise training in fibromyalgia by using mathematical models. BMC Musculoskelet. Disord. 2010, 11, 54. [Google Scholar] [CrossRef] [PubMed]
- Pescatello, L.S.; Riebe, D.; Thompson, P.D. ACSM’s Guidelines for Exercise Testing and Prescription; Lippincott Williams & Wilkins: Philadelphia, PA, USA, 2014. [Google Scholar]
- Fox, S.M., III; Naughton, J.P.; Gorman, P.A. Physical activity and cardiovascular health. II. The exercise prescription: Intensity and duration. Mod. Concepts Cardiovasc. Dis. 1972, 41, 21–24. [Google Scholar]
- Fox, S.M., III; Haskell, W.L. Physical activity and the prevention of coronary heart disease. Bull. N. Y. Acad. Med. 1968, 44, 950. [Google Scholar]
- Goldberg, L.; Elliot, D.L.; Kuehl, K.S. Assessment of exercise intensity formulas by use of ventilatory threshold. Chest 1988, 94, 95–98. [Google Scholar] [CrossRef] [PubMed]
- Mesquita, A.; Trabulo, M.; Mendes, M.; Viana, J.F.; Seabra-Gomes, R. The maximum heart rate in the exercise test: The 220-age formula or Sheffield’s table? Port. J. Cardiol. 1996, 15, 139–144. [Google Scholar]
- Robergs, R.A.; Landwehr, R. The surprising history of the” HRmax = 220-age” equation. J. Exerc. Physiol. Online 2002, 5, 1–10. [Google Scholar]
- Tanaka, H.; Monahan, K.D.; Seals, D.R. Age-predicted maximal heart rate revisited. J. Am. Coll. Cardiol. 2001, 37, 153–156. [Google Scholar] [CrossRef]
- García-Hermoso, A.; Saavedra, J.M.; Escalante, Y. Effects of exercise on functional aerobic capacity in adults with fibromyalgia syndrome: A systematic review of randomized controlled trials. J. Back Musculoskelet. Rehabil. 2015, 28, 609–619. [Google Scholar] [CrossRef]
- Clauw, D.J.; Radulovic, D.; Antonetti, D.; Bagati, R.; Baraniuk, J.; Barbey, J.T. Tilt table testing in fibromyalgia. Arthritis Rheum 1996, 39, S276. [Google Scholar]
- Martínez-Lavín, M.; Hermosillo, A.G. Autonomic nervous system dysfunction may explain the multisystem features of fibromyalgia. Semin. Arthritis Rheum. 2000, 29, 197–199. [Google Scholar] [CrossRef]
- Da Cunha Ribeiro, R.P.; Roschel, H.; Artioli, G.G.; Dassouki, T.; Perandini, L.A.; Calich, A.L.; de Sá Pinto, A.L.; Lima, F.R.; Bonfá, E.; Gualano, B. Cardiac autonomic impairment and chronotropic incompetence in fibromyalgia. Arthritis Res. Ther. 2011, 13, R190. [Google Scholar] [CrossRef] [PubMed]
- Karvonen, M.J. The effects of training on heart rate: A longitudinal study. Ann. Med. Exp. Biol. Fenn. 1957, 35, 307–315. [Google Scholar]
- Skinner, J.S.; McLellan, T.H. The transition from aerobic to anaerobic metabolism. Res. Q. Exerc. Sport 1980, 51, 234–248. [Google Scholar] [CrossRef]
- Bland, J.M.; Altman, D. Statistical methods for assessing agreement between two methods of clinical measurement. Lancet 1986, 327, 307–310. [Google Scholar] [CrossRef]
- Bland, J.M.; Altman, D.G. Measuring agreement in method comparison studies. Stat. Methods Med. Res. 1999, 8, 135–160. [Google Scholar] [CrossRef]
- Saltin, B.; Rowell, L.B. Functional adaptations to physical activity and inactivity. Fed. Proc. 1980, 39, 1506–1513. [Google Scholar]
- Hirakata, V.N.; Camey, S.A. Bland-Altman analysis of agreement between methods. Rev. HCPA 2009, 29, 261–268. [Google Scholar]
- Sporis, G.; Vucetic, V.; Jukic, I.; Omrcen, D.; Bok, D.; Custonja, Z. How reliable are the equations for predicting maximal heart rate values in military personnel? Mil. Med. 2011, 176, 347–351. [Google Scholar] [CrossRef]
- Denis, C.; Fouquet, R.; Poty, P.; Geyssant, A.; Lacour, J.R. Effect of 40 weeks of endurance training on the anaerobic threshold. Int. J. Sports Med. 1982, 3, 208–214. [Google Scholar] [CrossRef] [PubMed]
- Jacomini, L.C.L.; da Silva, N.A. Dysautonomia: An emerging concept in fibromyalgia syndrome. Rev. Bras. Reumatol. 2007, 47, 354–361. [Google Scholar] [CrossRef][Green Version]




| Cardiorespiratory Parameters Obtained in the CPET | |
|---|---|
| Basal Heart Rate (bpm) | 78.4 ± 11.6 |
| Heart Rate at VT1 (bpm) | 127.2 ± 15.4 |
| Maximum attained Heart Rate (bpm) | 145.3 ± 17.6 |
| Maximum predicted Heart Rate 220-idade (bpm) | 173 ± 6.6 |
| VO2VT1 (mL/min) | 1033.5 ± 175.0 |
| VO2Max (mL/min) | 1363.4 ± 170.0 |
| VO2Max predicted (mL/min) | 1486.7 ± 148.6 |
| VO2Max (mL/min/kg) | 21.6 ± 4.3 |
| VO2VT1% predicted | 69.5% |
| VO2Max% predicted | 97.7% |
| Mathematical Models and Predictive Measures of Heart Rate of Training | |
| HRB + 60% (HRMax–HRB) [bpm] | 134.8 ± 6.7 |
| Heart Rate (220 − age) × 76% [bpm] | 131 ± 5.7 |
| Heart Rate (208 − 0.7 × age) × 76% [bpm] | 146 ± 4.9 |
| Heart Rate (209 − 0.85 × age) × 76% [bpm] | 127.3 ± 4.9 |
Publisher’s Note: MDPI stays neutral with regard to jurisdictional claims in published maps and institutional affiliations. |
© 2022 by the authors. Licensee MDPI, Basel, Switzerland. This article is an open access article distributed under the terms and conditions of the Creative Commons Attribution (CC BY) license (https://creativecommons.org/licenses/by/4.0/).
Share and Cite
Villafaina, S.; Biehl-Printes, C.; Parraca, J.A.; de Oliveira Brauner, F.; Tomas-Carus, P. What Mathematical Models Are Accurate for Prescribing Aerobic Exercise in Women with Fibromyalgia? Biology 2022, 11, 704. https://doi.org/10.3390/biology11050704
Villafaina S, Biehl-Printes C, Parraca JA, de Oliveira Brauner F, Tomas-Carus P. What Mathematical Models Are Accurate for Prescribing Aerobic Exercise in Women with Fibromyalgia? Biology. 2022; 11(5):704. https://doi.org/10.3390/biology11050704
Chicago/Turabian StyleVillafaina, Santos, Clarissa Biehl-Printes, José A. Parraca, Fabiane de Oliveira Brauner, and Pablo Tomas-Carus. 2022. "What Mathematical Models Are Accurate for Prescribing Aerobic Exercise in Women with Fibromyalgia?" Biology 11, no. 5: 704. https://doi.org/10.3390/biology11050704
APA StyleVillafaina, S., Biehl-Printes, C., Parraca, J. A., de Oliveira Brauner, F., & Tomas-Carus, P. (2022). What Mathematical Models Are Accurate for Prescribing Aerobic Exercise in Women with Fibromyalgia? Biology, 11(5), 704. https://doi.org/10.3390/biology11050704

