Performance and Biomechanics in the Flight Period of Ski Jumping: Influence of Ski Attitude
Abstract
Simple Summary
Abstract
1. Introduction
2. Materials and Methods
2.1. Geometry and Kinematics
2.2. Numerical Setup
2.2.1. Meshing
2.2.2. Numerical Scheme and Boundary Conditions
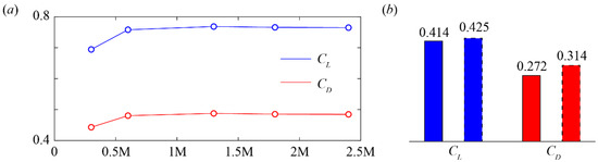
2.2.3. Data Analysis and Validation
3. Results
3.1. Aerodynamic Forces and Moments
3.2. Flow Structures and Pressure Analysis
3.2.1. Effects of α
3.2.2. Effects of β
3.2.3. Effects of γ
4. Discussion
5. Conclusions
Supplementary Materials
Author Contributions
Funding
Institutional Review Board Statement
Informed Consent Statement
Data Availability Statement
Conflicts of Interest
References
- Chowdhury, H.; Alam, F.; Subic, A. Aerodynamic performance evaluation of sports textile. Procedia Eng. 2010, 2, 2517–2522. [Google Scholar] [CrossRef]
- Chowdhury, H.; Moria, H.; Alam, F.; Subic, A. Aerodynamics of ski jumping suits. Sports Technol. 2011, 4, 164–170. [Google Scholar] [CrossRef]
- Virmavirta, M.; Kivekäs, J. Is it still important to be light in ski jumping? Sports Biomech. 2021, 20, 407–418. [Google Scholar] [CrossRef]
- Ketterer, J.; Gollhofer, A.; Lauber, B. Biomechanical agreement between different imitation jumps and hill jumps in ski jumping. Scand. J. Med. Sci. Sports 2021, 31, 115–123. [Google Scholar] [CrossRef]
- Kataoka, Y.; Hasegawa, H.; Murakami, M.; Seo, K.; Obayashi, S. Flow behavior caused by air permeability of ski jumping suit fabric. Proceedings 2020, 49, 109. [Google Scholar] [CrossRef]
- Kiers, K.; Ellenberger, L.; Javet, M.; Bruhin, B.; Frey, W.O.; Spörri, J. A cross-sectional observation on maximal eccentric hamstring strength in 7- to 15-year-old competitive alpine skiers. Biology 2021, 10, 1128. [Google Scholar] [CrossRef]
- Strutzenberger, G.; Ellenberger, L.; Bruhin, B.; Frey, W.O.; Scherr, J.; Spörri, J. Deadbug bridging performance in 6- to 15-year-old competitive alpine skiers—A cross-sectional study. Biology 2022, 11, 329. [Google Scholar] [CrossRef]
- Schwameder, H.; Müller, E. Biomechanische beschreibung und analyse der V-technik im skispringen. Spectr. Sportwiss. 1995, 7, 5–36. Available online: https://www.bisp-surf.de/Record/PU199511103736/Availability#tabnav (accessed on 23 April 2022).
- Arndt, A.; Brüggemann, G.P.; Virmavirta, M.; Komi, P. Techniques used by Olympic ski jumpers in the transition from takeoff to early flight. J. Appl. Biomech. 1995, 11, 224–237. [Google Scholar] [CrossRef]
- Virmavirta, M. Aerodynamics of Ski Jumping. In The Engineering Approach to Winter Sports; Springer: New York, NY, USA, 2016; pp. 153–181. [Google Scholar] [CrossRef]
- Virmavirta, M.; Kivekäs, J.; Komi, P.V. Take-off aerodynamics in ski jumping. J. Biomech. 2001, 34, 465–470. [Google Scholar] [CrossRef]
- Virmavirta, M.; Isolehto, J.; Komi, P.; Schwameder, H.; Pigozzi, F.; Massazza, G. Take-off analysis of the Olympic ski jumping competition (HS-106m). J. Biomech. 2009, 42, 1095–1101. [Google Scholar] [CrossRef]
- Virmavirta, M.; Kivekäs, J.; Komi, P. Ski jumping takeoff in a wind tunnel with skis. J. Appl. Biomech. 2011, 27, 375–379. [Google Scholar] [CrossRef][Green Version]
- Yamamoto, K.; Tsubokura, M.; Ikeda, J.; Onishi, K.; Baleriola, S. Effect of posture on the aerodynamic characteristics during take-off in ski jumping. J. Biomech. 2016, 49, 3688–3696. [Google Scholar] [CrossRef]
- Remizov, L.P. Biomechanics of optimal flight in ski-jumping. J. Biomech. 1984, 17, 167–174. [Google Scholar] [CrossRef]
- Müller, W. Determinants of ski-jump performance and implications for health, safety and fairness. Sports Med. 2009, 39, 85–106. [Google Scholar] [CrossRef]
- Mahnke, R.; Hochmuth, G. Neue Erkenntnisse Zur Luft-Kraftwirkung Beim Ski-Springen; Research Report Forschungsinstitut für Körperkultur und Sport: Leipzig, Germany, 1990; pp. 45–49. [Google Scholar]
- Watanabe, K.; Watanabe, I. Aerodynamics of ski-jumping: Effect of “V-style” to distance. J. Biomech. 1994, 27, 696. [Google Scholar] [CrossRef]
- Jin, H.; Shimizu, S.; Watanuki, T.; Kubota, H.; Kobayashi, K. Desirable gliding styles and techniques in ski jumping. J. Appl. Biomech. 1995, 11, 460–474. [Google Scholar] [CrossRef]
- Seo, K.; Watanabe, I.; Murakami, M. Aerodynamic force data for a V-style ski jumping flight. Sports Eng. 2004, 7, 31–39. [Google Scholar] [CrossRef]
- Seo, K.; Murakami, M.; Yoshida, K. Optimal flight technique for V-style ski jumping. Sports Eng. 2004, 7, 97–103. [Google Scholar] [CrossRef]
- Yoshida, K. Investigation of Optimal Ski Jump Flight on the Basis of Aerodynamic Data. Master’s Thesis, Institute of Engineering Mechanics, University of Tsukuba, Tsukuba, Japan, 1998. [Google Scholar]
- Nørstrud, H.; Øye, I.J. On CFD simulation of ski jumping. In Computational Fluid Dynamics for Sport Simulation; Springer: Heidelberg, Germany, 2009; pp. 63–82. [Google Scholar] [CrossRef]
- Hu, Q.; Chen, Q.; Zhang, W.Y. Effect of the ski opening angle on the aerodynamic characteristics during flight in Ski-jumping. China Sport Sci. 2018, 38, 42–49. [Google Scholar] [CrossRef]
- Cutter, D.A. Nordic Ski Jumping Aerodynamics; AIAA, Aeronautical Engineering, United States Air Force Academy: Colorado Springs, CO, USA, 1993. [Google Scholar]
- Virmavirta, M.; Kivekäs, J. Aerodynamics of an isolated ski jumping ski. Sports Eng. 2019, 22, 8. [Google Scholar] [CrossRef]
- Schwameder, H.; Müller, E. Biomechanics in ski jumping: A review. Eur. J. Sport Sci. 2001, 1, 1–16. [Google Scholar] [CrossRef]
- Meile, W.; Reisenberger, E.; Mayer, M.; Schmölzer, B.; Müller, W.; Brenn, G. Aerodynamics of ski jumping: Experiments and CFD simulations. Exp. Fluids 2006, 41, 949–964. [Google Scholar] [CrossRef]
- Marqués-Bruna, P.; Grimshaw, P. Mechanics of flight in ski jumping: Aerodynamic stability in pitch. Sports Technol. 2009, 2, 24–31. [Google Scholar] [CrossRef]
- Marqués-Bruna, P.; Grimshaw, P. Mechanics of flight in ski jumping: Aerodynamic stability in roll and yaw. Sports Technol. 2009, 2, 111–120. [Google Scholar] [CrossRef]
- Lee, K.D.; Park, M.J.; Kim, K.Y. Optimization of ski jumper’s posture considering lift-to-drag ratio and stability. J. Biomech. 2012, 45, 2125–2132. [Google Scholar] [CrossRef]
- Ryu, M.H.; Cho, L.S.; Cho, J.S. Aerodynamic analysis on postures of ski jumpers during flight using computational fluid dynamics. Trans. Jpn. Soc. Aeronaut. Space Sci. 2015, 58, 204–212. [Google Scholar] [CrossRef][Green Version]
- Gardan, N.; Schneider, A.; Polidori, G.; Trenchard, H.; Seigneur, J.M.; Beaumont, F.; Fourchet, F.; Taiar, R. Numerical investigation of the early flight phase in ski-jumping. J. Biomech. 2017, 59, 29–34. [Google Scholar] [CrossRef]
- Tang, E.; Wei, Z.L.; Fogel, M.A.; Veneziani, A.; Yoganathan, A.P. Fluid-structure interaction simulation of an intra-atrial fontan connection. Biology 2020, 9, 412. [Google Scholar] [CrossRef]
- Defraeye, T.; Blocken, B.; Koninckx, E.; Hespel, P.; Carmeliet, J. Computational fluid dynamics analysis of cyclist aerodynamics: Performance of different turbulence-modelling and boundary-layer modelling approaches. J. Biomech. 2010, 43, 2281–2287. [Google Scholar] [CrossRef]








Publisher’s Note: MDPI stays neutral with regard to jurisdictional claims in published maps and institutional affiliations. |
© 2022 by the authors. Licensee MDPI, Basel, Switzerland. This article is an open access article distributed under the terms and conditions of the Creative Commons Attribution (CC BY) license (https://creativecommons.org/licenses/by/4.0/).
Share and Cite
Zhang, L.; Li, X.; Wang, X.; Chen, L.; Zhao, T. Performance and Biomechanics in the Flight Period of Ski Jumping: Influence of Ski Attitude. Biology 2022, 11, 671. https://doi.org/10.3390/biology11050671
Zhang L, Li X, Wang X, Chen L, Zhao T. Performance and Biomechanics in the Flight Period of Ski Jumping: Influence of Ski Attitude. Biology. 2022; 11(5):671. https://doi.org/10.3390/biology11050671
Chicago/Turabian StyleZhang, Lin, Xiong Li, Xin Wang, Long Chen, and Tianyu Zhao. 2022. "Performance and Biomechanics in the Flight Period of Ski Jumping: Influence of Ski Attitude" Biology 11, no. 5: 671. https://doi.org/10.3390/biology11050671
APA StyleZhang, L., Li, X., Wang, X., Chen, L., & Zhao, T. (2022). Performance and Biomechanics in the Flight Period of Ski Jumping: Influence of Ski Attitude. Biology, 11(5), 671. https://doi.org/10.3390/biology11050671

