Interplay: The Essential Role between INSM1 and N-Myc in Aggressive Neuroblastoma
Abstract
Simple Summary
Abstract
1. Introduction
1.1. INSM1 Is a Unique Zinc-Finger Transcription Factor
1.2. The Role of INSM1 in Sympathoadrenal Cell Differentiation
1.3. Neuroblastoma—A Neural Crest Derived Embryonal Malignancy
1.4. N-Myc as an Oncogenic Driver in NB
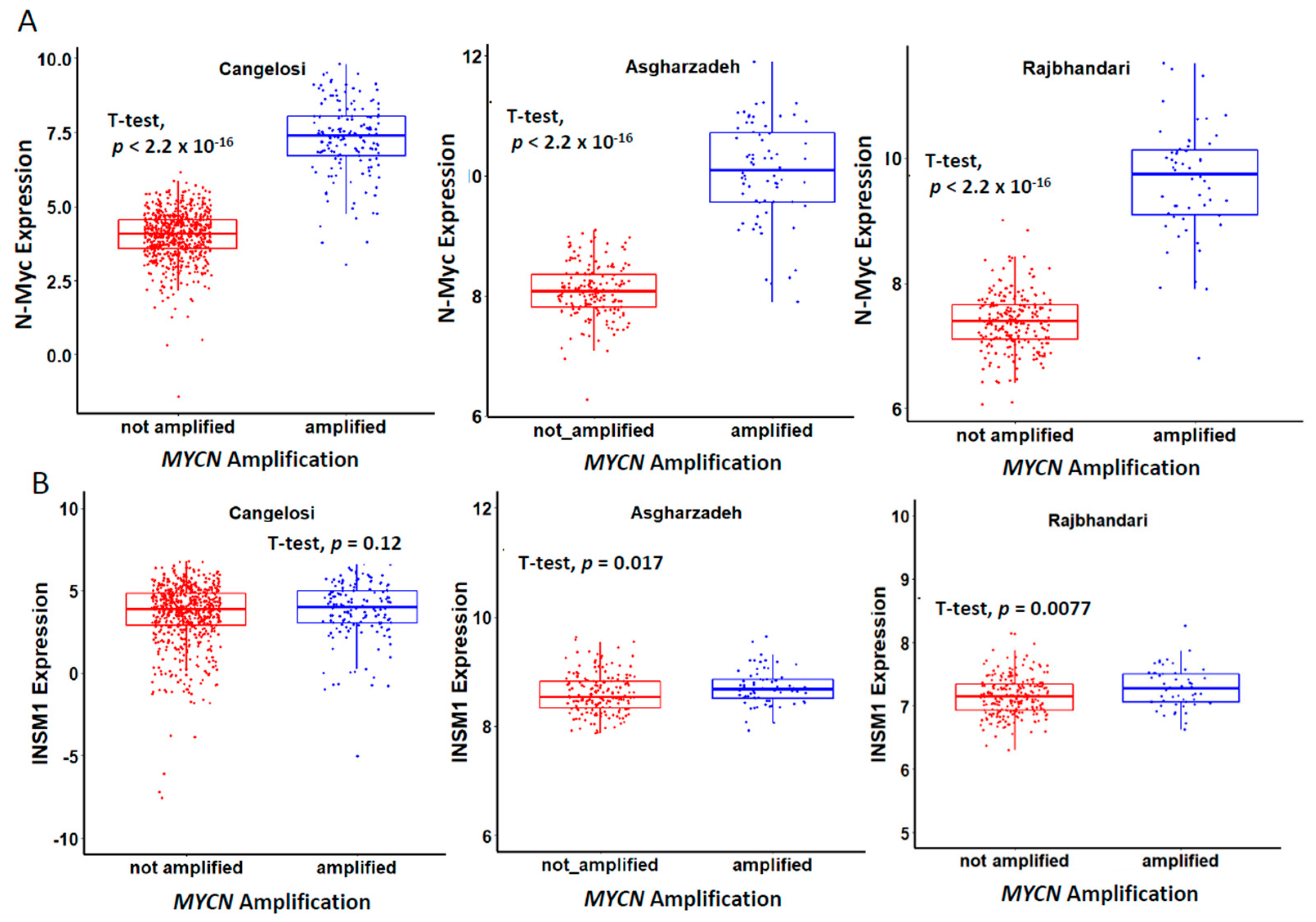
1.5. The Interaction between INSM1 and N-Myc
1.6. INSM1, a Novel Diagnostic and Prognostic Marker for NB
1.7. Application of INSM1 in Treatment of NB
2. Discussion
Author Contributions
Funding
Institutional Review Board Statement
Informed Consent Statement
Data Availability Statement
Acknowledgments
Conflicts of Interest
References
- Chen, C.; Notkins, A.L.; Lan, M.S. Insulinoma-Associated-1: From Neuroendocrine Tumor Marker to Cancer Therapeutics. Mol. Cancer Res. 2019, 17, 1597–1604. [Google Scholar] [CrossRef] [PubMed]
- Chen, C.; Lan, M.S. A Promoter-Driven Assay for INSM1-Associated Signaling Pathway in Neuroblastoma. Cell. Signal. 2020, 76, 109785. [Google Scholar] [CrossRef] [PubMed]
- Chen, C.; Breslin, M.B.; Lan, M.S. INSM1 Increases N-Myc Stability and Oncogenesis via a Positive-Feedback Loop in Neuroblastoma. Oncotarget 2015, 6, 36700–36712. [Google Scholar] [CrossRef] [PubMed][Green Version]
- Goto, Y.; DeSilva, M.G.; Toscani, A.; Prabhakar, B.S.; Notkins, A.L.; Lan, M.S. A Novel Human Insulinoma-Associated cDNA, IA-1, Encodes a Protein with Zinc-Finger DNA-Binding Motifs. J. Biol. Chem. 1992, 267, 15252–15257. [Google Scholar] [CrossRef]
- Breslin, M.B.; Zhu, M.; Notkins, A.L.; Lan, M.S. Neuroendocrine Differentiation Factor, IA-1, Is a Transcriptional Repressor and Contains a Specific DNA-Binding Domain: Identification of Consensus IA-1 Binding Sequence. Nucleic Acids Res. 2002, 30, 1038–1045. [Google Scholar] [CrossRef]
- Osipovich, A.B.; Long, Q.; Manduchi, E.; Gangula, R.; Hipkens, S.B.; Schneider, J.; Okubo, T.; Stoeckert, C.J., Jr.; Takada, S.; Magnuson, M.A. Insm1 Promotes Endocrine Cell Differentiation by Modulating the Expression of a Network of Genes That Includes Neurog3 and Ripply3. Development 2014, 141, 2939–2949. [Google Scholar] [CrossRef]
- Gierl, M.S.; Karoulias, N.; Wende, H.; Strehle, M.; Birchmeier, C. The Zinc-Finger Factor Insm1 (IA-1) Is Essential for the Development of Pancreatic Beta Cells and Intestinal Endocrine Cells. Genes Dev. 2006, 20, 2465–2478. [Google Scholar] [CrossRef]
- Saleque, S.; Kim, J.; Rooke, H.M.; Orkin, S.H. Epigenetic Regulation of Hematopoietic Differentiation by Gfi-1 and Gfi-1b Is Mediated by the Cofactors CoREST and LSD1. Mol. Cell 2007, 27, 562–572. [Google Scholar] [CrossRef]
- Welcker, J.E.; Hernandez-Miranda, L.R.; Paul, F.E.; Jia, S.; Ivanov, A.; Selbach, M.; Birchmeier, C. Insm1 Controls Development of Pituitary Endocrine Cells and Requires a SNAG Domain for Function and for Recruitment of Histone-Modifying Factors. Development 2013, 140, 4947–4958. [Google Scholar] [CrossRef]
- Grimes, H.L.; Chan, T.O.; Zweidler-Mckay, P.A.; Tong, B.; Tsichlis, P.N. The Gfi-1 Proto-Oncoprotein Contains a Novel Transcriptional Repressor Domain, SNAG, and Inhibits G1 Arrest Induced by In-Terleukin-2 Withdrawal. Mol. Cell. Biol. 1996, 16, 6263–6272. [Google Scholar] [CrossRef]
- Zhang, T.; Liu, W.D.; Saunee, N.A.; Breslin, M.B.; Lan, M.S. Zinc-Finger Transcription Factor INSM1 Interrupts Cyclin D1 and CDK4 Binding and Induces Cell Cycle Arrest. J. Biol. Chem. 2009, 284, 5574–5581. [Google Scholar] [CrossRef] [PubMed]
- Zhang, T.; Chen, C.; Breslin, M.B.; Song, K.; Lan, M.S. Extra-Nuclear Activity of INSM1 Transcription Factor Enhances Insulin Receptor Signaling Pathway and Nkx6.1 Expression Through RACK1 Interaction. Cell Signal. 2014, 26, 740–747. [Google Scholar] [CrossRef] [PubMed]
- Huber, K. The Sympathoadrenal Cell Lineage: Specification, Diversification, and New Perspectives. Dev. Biol. 2006, 298, 335–343. [Google Scholar] [CrossRef]
- Anderson, D.J.; Axel, R. A Bipotential Neuroendocrine Precursor Whose Choice of Cell Fate Is Determined by NGF and Glucocorticoids. Cell 1986, 47, 1079–1090. [Google Scholar] [CrossRef]
- Anderson, D.J.; Carnahan, J.F.; Michelsohn, A.; Patterson, P.H. Antibody Markers Identify a Common Progenitor to Sympathetic Neurons and Chromaffin Cells In Vivo and Reveal the Timing of Commitment to Neuronal Differentiation in the Sympathoadrenal Lineage. J. Neurosci. 1991, 11, 3507–3519. [Google Scholar] [CrossRef] [PubMed]
- Reissmann, E.; Ernsberger, U.; Francis-West, P.H.; Rueger, D.; Brickell, P.M.; Rohrer, H. Involvement of Bone Morphogenetic Protein-4 and Bone Morphogenetic Protein-7 in the Differentiation of the Adrenergic Phenotype in Developing Sympathetic Neurons. Development 1996, 122, 2079–2088. [Google Scholar] [CrossRef]
- Shah, N.M.; Groves, A.K.; Anderson, D.J. Alternative Neural Crest Cell Fates Are Instructively Promoted by TGFbeta Superfamily Members. Cell 1996, 85, 331–343. [Google Scholar] [CrossRef]
- McPherson, C.E.; Varley, J.E.; Maxwell, G.D. Expression and Regulation of Type I BMP Receptors During Early Avian Sympathetic Ganglion Development. Dev. Biol. 2000, 221, 220–232. [Google Scholar] [CrossRef]
- Bilodeau, M.L.; Boulineau, T.; Greulich, J.D.; Hullinger, R.L.; Andrisani, O.M. Differential Expression of Sympathoadrenal Lineage-Determining Genes and Phenotypic Markers in Cultured Primary Neural Crest Cells. Vitr. Cell Dev. Biol. Anim. 2001, 37, 185–192. [Google Scholar] [CrossRef]
- Varley, J.E.; Wehby, R.G.; Rueger, D.C.; Maxwell, G.D. Number of Adrenergic and Islet-1 Immunoreactive Cells Is Increased in Avian Trunk Neural Crest Cultures in the Presence of Human Recombinant Osteogenic Protein-1. Dev. Dyn. 1995, 203, 434–447. [Google Scholar] [CrossRef]
- Schneider, C.; Wicht, H.; Enderich, J.; Wegner, M.; Rohrer, H. Bone Morphogenetic Proteins Are Required In Vivo for the Generation of Sympathetic Neurons. Neuron 1999, 24, 861–870. [Google Scholar] [CrossRef]
- Wildner, H.; Gierl, M.S.; Strehle, M.; Pla, P.; Birchmeier, C. Insm1 (IA-1) Is a Crucial Component of the Transcriptional Network That Controls Differentiation of the Sympathoadrenal Lineage. Development 2008, 135, 473–481. [Google Scholar] [CrossRef] [PubMed]
- Fujino, K.; Motooka, Y.; Hassan, W.A.; Ali Abdalla, M.O.; Sato, Y.; Kudoh, S.; Hasegawa, K.; Niimori-Kita, K.; Kobayashi, H.; Kubota, I.; et al. Insulinoma-Associated Protein 1 Is a Crucial Regulator of Neuroendocrine Differentiation in Lung Cancer. Am. J. Pathol. 2015, 185, 3164–3177. [Google Scholar] [CrossRef]
- Takagi, S.; Ishikawa, Y.; Mizutani, A.; Iwasaki, S.; Matsumoto, S.; Kamada, Y.; Nomura, T.; Nakamura, K. LSD1 Inhibitor T-3775440 Inhibits SCLC Cell Proliferation by Disrupting LSD1 Interactions with SNAG Domain Proteins INSM1 and GFI1B. Cancer Res. 2017, 77, 4652–4662. [Google Scholar] [CrossRef]
- Zhang, T.; Saunee, N.A.; Breslin, M.B.; Song, K.; Lan, M.S. Functional Role of an Islet Transcription Factor, INSM1/IA-1, on Pancreatic Acinar Cell Trans-Differentiation. J. Cell. Physiol. 2012, 227, 2470–2479. [Google Scholar] [CrossRef] [PubMed]
- Zhang, T.; Wang, H.W.; Saunee, N.A.; Breslin, M.B.; Lan, M.S. Insulinoma-Associated Antigen-1 Zinc-Finger Transcription Factor Promoters Pancreatic Duct Cell Trans-Differentiation. Endocrinology 2010, 151, 2030–2039. [Google Scholar] [CrossRef]
- Duggan, A.; Madathany, T.; De Castro, S.C.P.; Gerrelli, D.; Guddati, K.; Garcia-anoveros, J. Transient Expression of the Conserved Zinc Finger Gene INSM1 in Progenitors and Nascent Neurons Throughout Embryonic and Adult Neurogenesis. J. Comp. Neurol. 2008, 507, 1497–1520. [Google Scholar] [CrossRef]
- Rosenbaum, J.N.; Duggan, A.; Garcia-Anoveros, J. Insm1 Promotes the Transition of Olfactory Progenitors from Apical and Proliferative to Basal, Terminally Dividing and Neu-Ronogenic. Neural Dev. 2011, 6, 6. [Google Scholar] [CrossRef]
- Johnsen, J.I.; Kogner, P.; Albihn, A.; Henriksson, M.A. Embryonal Neural Tumours and Cell Death. Apoptosis 2009, 14, 424–438. [Google Scholar] [CrossRef]
- Johnsen, J.I.; Dyberg, C.; Wickstrom, M. Neuroblastoma-A Neural Crest Derived Embryonal Malignancy. Front. Mol. Neurosci. 2019, 12, 9. [Google Scholar] [CrossRef]
- L’Abbate, A.; Macchia, G.; D’Addabbo, P.; Lonoce, A.; Tolomeo, D.; Trombetta, D.; Kok, K.; Bartenhagen, C.; Whelan, C.W.; Palumbo, O.; et al. Genomic Organization and Evolution of Double Minutes/Homogeneously Staining Regions with MYC Amplification in Human Cancer. Nucleic Acids Res. 2014, 42, 9131–9145. [Google Scholar] [CrossRef] [PubMed]
- Brodeur, G.M. Neuroblastoma: Biological Insights into a Clinical Enigma. Nat. Rev. Cancer 2003, 3, 203–216. [Google Scholar] [CrossRef] [PubMed]
- Maris, J.M.; Mosse, Y.P.; Bradfield, J.P.; Hou, C.; Monni, S.; Scott, R.H.; Asgharzadeh, S.; Attiyeh, E.F.; Diskin, S.J.; Laudenslager, M.; et al. Chromosome 6p22 Locus Associated with Clinically Aggressive Neuroblastoma. N. Engl. J. Med. 2008, 358, 2585–2593. [Google Scholar] [CrossRef] [PubMed]
- Park, J.R.; Eggert, A.; Caron, H. Neuroblastoma: Biology, Prognosis, and Treatment. Hematol. Oncol. Clin. N. Am. 2010, 24, 65–86. [Google Scholar] [CrossRef]
- Weiss, W.A.; Aldape, K.; Mohapatra, G.; Feuerstein, B.G.; Bishop, J.M. Targeted Expression of N-Myc Causes Neuroblastoma in Transgenic Mice. EMBO J. 1997, 16, 2985–2995. [Google Scholar] [CrossRef]
- Rasmuson, A.; Segerstrom, L.; Nethander, M.; Finnman, J.; Elfman, L.H.; Javanmardi, N.; Nilsson, S.; Johnsen, J.I.; Martinsson, T.; Kogner, P. Tumor Development, Growth Characteristics and Spectrum of Genetic Aberrations in the TH-MYCN Mouse Model of Neuro-Blastoma. PLoS ONE 2012, 7, e51297. [Google Scholar] [CrossRef] [PubMed]
- Althoff, K.; Beckers, A.; Bell, E.; Nortmeyer, M.; Thor, T.; Sprussel, A.; Lindner, S.; De Preter, K.; Florin, A.; Heukamp, L.C.; et al. A Cre-Conditional MYCN-Driven Neuroblastoma Mouse Model as an Improved Tool for Preclinical Studies. Oncogene 2015, 34, 3357–3368. [Google Scholar] [CrossRef]
- Olsen, R.R.; Otero, J.H.; Garcia-Lopez, J.; Wallace, K.; Finkelstein, D.; Rehg, J.E.; Yin, Z.; Wang, Y.D.; Freeman, K.W. MYCN Induces Neuroblastoma in Primary Neural Crest Cells. Oncogene 2017, 36, 5075–5082. [Google Scholar] [CrossRef]
- Yuan, J.; Yankner, B.A. Apoptosis in the Nervous System. Nature 2000, 407, 802–809. [Google Scholar] [CrossRef]
- Kapeli, K.; Hurlin, P.J. Differential Regulation of N-Myc and C-Myc Synthesis, Degradation, and Transcriptional Activity by the Ras/Mitogen-Activated Protein Kinase Pathway. J. Biol. Chem. 2011, 286, 38498–38508. [Google Scholar] [CrossRef]
- Maris, J.M.; Matthay, K.K. Molecular Biology of Neuroblastoma. J. Clin. Oncol. 1999, 17, 2264–2279. [Google Scholar] [CrossRef] [PubMed]
- Slack, A.D.; Chen, Z.; Ludwig, A.D.; Hicks, J.; Shohet, J.M. MYCN-Directed Centrosome Amplification Requires MDM2-Mediated Suppression of p53 Activity in Neuroblastoma Cells. Cancer Res. 2007, 67, 2448–2455. [Google Scholar] [CrossRef] [PubMed]
- Hansford, L.M.; Thomas, W.D.; Keating, J.M.; Burkhart, C.A.; Peaston, A.E.; Norris, M.D.; Haber, M.; Armati, P.J.; Weiss, W.A.; Marshall, G.M. Mechanisms of Embryonal Tumor Initiation: Distinct Roles for MycN Expression and MYCN Amplification. Proc. Natl. Acad. Sci. USA 2004, 101, 12664–12669. [Google Scholar] [CrossRef] [PubMed]
- Zimmerman, K.A.; Yancopoulos, G.D.; Collum, R.G.; Smith, R.K.; Kohl, N.E.; Denis, K.A.; Nau, M.M.; Witte, O.N.; Toran-Allerand, D.; Gee, C.E.; et al. Differential Expression of Myc Family Genes During Murine Development. Nature 1986, 319, 780–783. [Google Scholar] [CrossRef]
- Wartiovaara, K.; Barnabe-Heider, F.; Miller, F.D.; Kaplan, D.R. N-Myc Promotes Survival and Induces S-Phase Entry of Postmitotic Sympathetic Neurons. J. Neurosci. 2002, 22, 815–824. [Google Scholar] [CrossRef]
- Otte, J.; Dyberg, C.; Pepich, A.; Johnsen, J.I. MYCN Function in Neuroblastoma Development. Front. Oncol. 2020, 10, 624079. [Google Scholar] [CrossRef]
- Yang, Y.; Zhao, J.; Zhang, Y.; Feng, T.; Yv, B.; Wang, J.; Gao, Y.; Yin, M.; Tang, J.; Li, Y. MYCN Protein Stability Is a Better Prognostic Indicator in Neuroblastoma. BMC Pediatr. 2022, 22, 404. [Google Scholar] [CrossRef]
- Roeschert, I.; Poon, E.; Henssen, A.G.; Garcia, H.D.; Gatti, M.; Giansanti, C.; Jamin, Y.; Ade, C.P.; Gallant, P.; Schulein-Volk, C.; et al. Combined inhibition of Aurora-A and ATR kinase results in regression of MYCN-amplified neuroblastoma. Nat. Cancer 2021, 2, 312–326. [Google Scholar] [CrossRef]
- Zhu, S.; Lee, J.S.; Guo, F.; Shin, J.; Perez-Atayde, A.R.; Kutok, J.L.; Rodig, S.J.; Neuberg, D.S.; Helman, D.; Feng, H.; et al. Activated ALK Collaborates with MYCN in Neuroblastoma Pathogenesis. Cancer Cell 2012, 21, 362–373. [Google Scholar] [CrossRef]
- Rickman, D.S.; Schulte, J.H.; Eilers, M. The Expanding World of N-MYC-Driven Tumors. Cancer Discov. 2018, 8, 150–163. [Google Scholar] [CrossRef]
- Brodeur, G.M.; Seeger, R.C.; Schwab, M.; Varmus, H.E.; Bishop, J.M. Amplification of N-Myc in Untreated Human Neuroblastomas Correlates with Advanced Disease Stage. Science 1984, 224, 1121–1124. [Google Scholar] [CrossRef] [PubMed]
- Chen, Y.L.; Zhang, Z.M.; Li, X.L.; Tao, Y.F.; Wu, S.Y.; Fang, F.; Xie, Y.; Liao, X.M.; Li, G.; Wu, D.; et al. MI-773, a Breaker of the MDM2/p53 Axis, Exhibits Anticancer Effects in Neuroblastoma via Downregulation of INSM1. Oncol. Lett. 2021, 22, 838. [Google Scholar] [CrossRef] [PubMed]
- Chen, C.; Breslin, M.B.; Guidry, J.J.; Lan, M.S. 5’-Iodotubercidin Represses Insulinoma-Associated-1 Expression, Decreases cAMP Levels, and Suppresses Human Neuroblastoma Cell Growth. J. Biol. Chem. 2019, 294, 5456–5465. [Google Scholar] [CrossRef] [PubMed]
- Maleki, Z.; Nadella, A.; Nadella, M.; Patel, G.; Patel, S.; Kholova, I. INSM1, a Novel Biomarker for Detection of Neuroendocrine Neoplasms: Cytopathologists’ View. Diagnostics 2021, 11, 2172. [Google Scholar] [CrossRef]
- Rooper, L.M.; Sharma, R.; Li, Q.K.; Illei, P.; Westra, W.H. INSM1 Demonstrates Superior Performance to the individual and combined use of Synaptophysin, Chromogranin, and CD56 for Diagnosing Neuroendocrine Tumors of the Thoracic Cavity. Am. J. Surg. Pathol. 2017, 41, 1561–1569. [Google Scholar] [CrossRef] [PubMed]
- Rosenbaum, J.N.; Guo, Z.; Baus, R.M.; Werner, H.; Rehrauer, W.M.; Lloyd, R.V. INSM1: A Novel Immunohistochemical and Molecular Marker for Neuroendocrine and Neuroepithelial Neoplasms. Am. J. Clin. Pathol. 2015, 144, 579–591. [Google Scholar] [CrossRef]
- Rindi, G.; Mete, O.; Uccella, S.; Basturk, O.; La Rosa, S.; Brosens, L.A.A.; Ezzat, S.; de Herder, W.W.; Klimstra, D.S.; Papotti, M.; et al. Overview of the 2022 WHO Classification of Neuroendocrine Neoplasms. Endocr. Pathol. 2022, 33, 115–154. [Google Scholar] [CrossRef]
- Wang, H.; Krishnan, C.; Charville, G.W. INSM1 Expression in Peripheral Neuroblastic Tumors and Other Embryonal Neoplasms. Pediatr. Dev. Pathol. 2019, 22, 440–448. [Google Scholar] [CrossRef]
- DuBois, S.G.; Macy, M.E.; Henderson, T.O. High-Risk and Relapsed Neuroblastoma: Toward More Cures and Better Outcomes. Am. Soc. Clin. Oncol. Educ. Book 2022, 42, 768–780. [Google Scholar] [CrossRef]
- Barone, G.; Anderson, J.; Pearson, A.D.; Petrie, K.; Chesler, L. New Strategies in Neuroblastoma: Therapeutic Targeting of MYCN and ALK. Clin. Cancer Res. 2013, 19, 5814–5821. [Google Scholar] [CrossRef]
- Carter, D.R.; Murray, J.; Cheung, B.B.; Gamble, L.; Koach, J.; Tsang, J.; Sutton, S.; Kalla, H.; Syed, S.; Gifford, A.J.; et al. Therapeutic Targeting of the MYC Signal by Inhibition of Histone Chaperone FACT in Neuroblastoma. Sci. Transl. Med. 2015, 7, 312ra176. [Google Scholar] [CrossRef] [PubMed]
- Koach, J.; Holien, J.K.; Massudi, H.; Carter, D.R.; Ciampa, O.C.; Herath, M.; Lim, T.; Seneviratne, J.A.; Milazzo, G.; Murray, J.E.; et al. Drugging MYCN Oncogenic Signaling through the MYCN-PA2G4 Binding Interface. Cancer Res. 2019, 79, 5652–5667. [Google Scholar] [CrossRef] [PubMed]
- Tavana, O.; Li, D.; Dai, C.; Lopez, G.; Banerjee, D.; Kon, N.; Chen, C.; Califano, A.; Yamashiro, D.J.; Sun, H.; et al. HAUSP Deubiquitinates and Stabilizes N-Myc in Neuroblastoma. Nat. Med. 2016, 22, 1180–1186. [Google Scholar] [CrossRef] [PubMed]
- Guo, Y.F.; Duan, J.J.; Wang, J.; Li, L.; Wang, D.; Liu, X.Z.; Yang, J.; Zhang, H.R.; Lv, J.; Yang, Y.J.; et al. Inhibition of the ALDH18A1-MYCN Positive Feedback Loop Attenuates MYCN-Amplified Neuroblastoma Growth. Sci. Transl. Med. 2020, 12, eaax8694. [Google Scholar] [CrossRef] [PubMed]
- Witt, O.; Deubzer, H.E.; Lodrini, M.; Milde, T.; Oehme, I. Targeting Histone Deacetylases in Neuroblastoma. Curr. Pharm. Des. 2009, 15, 436–447. [Google Scholar] [CrossRef]
- Furchert, S.E.; Lanvers-Kaminsky, C.; Juurgens, H.; Jung, M.; Loidl, A.; Fruhwald, M.C. Inhibitors of Histone Deacetylases As Potential Therapeutic Tools for High-Risk Embryonal Tumors of the Nervous System of Childhood. Int. J. Cancer 2007, 120, 1787–1794. [Google Scholar] [CrossRef]
- Bolden, J.E.; Peart, M.J.; Johnstone, R.W. Anticancer Activities of Histone Deacetylase Inhibitors. Nat. Rev. Drug Discov. 2006, 5, 769–784. [Google Scholar] [CrossRef]





Publisher’s Note: MDPI stays neutral with regard to jurisdictional claims in published maps and institutional affiliations. |
© 2022 by the authors. Licensee MDPI, Basel, Switzerland. This article is an open access article distributed under the terms and conditions of the Creative Commons Attribution (CC BY) license (https://creativecommons.org/licenses/by/4.0/).
Share and Cite
Chen, C.; Lan, M.S. Interplay: The Essential Role between INSM1 and N-Myc in Aggressive Neuroblastoma. Biology 2022, 11, 1376. https://doi.org/10.3390/biology11101376
Chen C, Lan MS. Interplay: The Essential Role between INSM1 and N-Myc in Aggressive Neuroblastoma. Biology. 2022; 11(10):1376. https://doi.org/10.3390/biology11101376
Chicago/Turabian StyleChen, Chiachen, and Michael S. Lan. 2022. "Interplay: The Essential Role between INSM1 and N-Myc in Aggressive Neuroblastoma" Biology 11, no. 10: 1376. https://doi.org/10.3390/biology11101376
APA StyleChen, C., & Lan, M. S. (2022). Interplay: The Essential Role between INSM1 and N-Myc in Aggressive Neuroblastoma. Biology, 11(10), 1376. https://doi.org/10.3390/biology11101376
