Alteration of Blood Lactate Levels in Severe Falciparum Malaria: A Systematic Review and Meta-Analysis
Abstract
Simple Summary
Abstract
1. Introduction
2. Method
2.1. Protocol and Registration
2.2. Eligibility Criteria
2.3. Information Sources and Search Strategy
2.4. Study Selection
2.5. Data Collection Process
2.6. Outcomes
2.7. Quality of the Included Studies
2.8. Synthesis of Results
3. Results
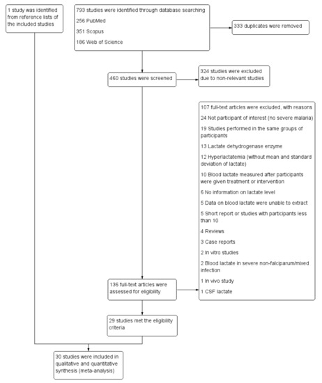
3.1. Search Results
3.2. Characteristics of the Included Studies
3.3. Quality of the Included Studies
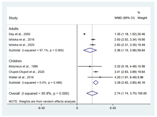
3.4. Mean Lactate Level in Severe Malaria
3.5. Mean Lactate Level in Patients with Severe Malaria Who Died
3.6. The Difference in Mean Lactate Level between Severe and Uncomplicated Malaria
3.7. Lactate in Patients with Severe Malaria Who Died and Survived
3.8. Publication Bias
4. Discussion
Supplementary Materials
Author Contributions
Funding
Institutional Review Board Statement
Informed Consent Statement
Data Availability Statement
Acknowledgments
Conflicts of Interest
References
- Mahittikorn, A.; Masangkay, F.R.; Kotepui, K.U.; Milanez, G.J.; Kotepui, M. Comparison of Plasmodium ovale curtisi and Plasmodium ovale wallikeri infections by a meta-analysis approach. Sci. Rep. 2021, 11, 6409. [Google Scholar] [CrossRef] [PubMed]
- Kotepui, M.; Kotepui, K.U.; Milanez, G.D.; Masangkay, F.R. Prevalence of severe Plasmodium knowlesi infection and risk factors related to severe complications compared with non-severe P. knowlesi and severe P. falciparum malaria: A systematic review and meta-analysis. Infect. Dis. Poverty 2020, 9, 106. [Google Scholar] [CrossRef]
- Kotepui, M.; Kotepui, K.U.; Milanez, G.D.; Masangkay, F.R. Severity and mortality of severe Plasmodium ovale infection: A systematic review and meta-analysis. PLoS ONE 2020, 15, e0235014. [Google Scholar] [CrossRef] [PubMed]
- Kotepui, M.; Kotepui, K.U.; Milanez, G.D.; Masangkay, F.R. Global prevalence and mortality of severe Plasmodium malariae infection: A systematic review and meta-analysis. Malar. J. 2020, 19, 274. [Google Scholar] [CrossRef] [PubMed]
- Kotepui, M.; Kotepui, K.U.; Milanez, G.J.; Masangkay, F.R. Prevalence and risk factors related to poor outcome of patients with severe Plasmodium vivax infection: A systematic review, meta-analysis, and analysis of case reports. BMC Infect. Dis. 2020, 20, 363. [Google Scholar] [CrossRef] [PubMed]
- Cohee, L.M.; Laufer, M.K. Malaria in Children. Pediatr. Clin. N. Am. 2017, 64, 851–866. [Google Scholar] [CrossRef]
- Wangdahl, A.; Wyss, K.; Saduddin, D.; Bottai, M.; Ydring, E.; Vikerfors, T.; Farnert, A. Severity of Plasmodium falciparum and non-falciparum malaria in travelers and migrants: A nationwide observational study over 2 decades in Sweden. J. Infect. Dis. 2019, 220, 1335–1345. [Google Scholar] [CrossRef]
- World Health Organization. WHO Guidelines for Malaria. 2021. Available online: https://www.who.int/publications/i/item/guidelines-for-malaria (accessed on 13 September 2021).
- Dondorp, A.M.; Chau, T.T.; Phu, N.H.; Mai, N.T.; Loc, P.P.; Chuong, L.V.; Sinh, D.X.; Taylor, A.; Hien, T.T.; White, N.J.; et al. Unidentified acids of strong prognostic significance in severe malaria. Crit. Care Med. 2004, 32, 1683–1688. [Google Scholar] [CrossRef]
- Day, N.P.; Phu, N.H.; Mai, N.T.; Chau, T.T.; Loc, P.P.; Chuong, L.V.; Sinh, D.X.; Holloway, P.; Hien, T.T.; White, N.J. The pathophysiologic and prognostic significance of acidosis in severe adult malaria. Crit. Care Med. 2000, 28, 1833–1840. [Google Scholar] [CrossRef]
- Jeeyapant, A.; Kingston, H.W.; Plewes, K.; Maude, R.J.; Hanson, J.; Herdman, M.T.; Leopold, S.J.; Ngernseng, T.; Charunwatthana, P.; Phu, N.H.; et al. Defining surrogate endpoints for clinical trials in severe falciparum malaria. PLoS ONE 2017, 12, e0169307. [Google Scholar] [CrossRef]
- Possemiers, H.; Vandermosten, L.; Van den Steen, P.E. Etiology of lactic acidosis in malaria. PLoS Pathog. 2021, 17, e1009122. [Google Scholar] [CrossRef] [PubMed]
- Fowler, C.; Cserti-Gazdewich, C.; Dhabangi, A.; Musoke, C.; Sharma, H.; Amr, S.S.; Dzik, W. Mitochondrial gene sequence variants in children with severe malaria anaemia with or without lactic acidosis: A case control study. Malar. J. 2018, 17, 467. [Google Scholar] [CrossRef] [PubMed]
- Gehlawat, V.K.; Arya, V.; Kaushik, J.S.; Gathwala, G. Clinical spectrum and treatment outcome of severe malaria caused by Plasmodium vivax in 18 children from northern India. Pathog. Glob. Health 2013, 107, 210–214. [Google Scholar] [CrossRef]
- Bhaskaran, K.; Ebonyi, A.O.; Walther, B.; Walther, M. Predictors of hyperlactataemia among children presenting with malaria in a low transmission area in the Gambia. Malar. J. 2013, 12, 11. [Google Scholar] [CrossRef]
- Auma, M.A.; Siedner, M.J.; Nyehangane, D.; Nalusaji, A.; Nakaye, M.; Mwanga-Amumpaire, J.; Muhindo, R.; Wilson, L.A.; Boum, Y.; Moore, C.C. Malaria is an uncommon cause of adult sepsis in south-western Uganda. Malar. J. 2013, 12, 146. [Google Scholar] [CrossRef]
- Agbenyega, T.; Angus, B.; Bedu-Addo, G.; Baffoe-Bonnie, B.; Griffin, G.; Vallance, P.; Krishna, S. Plasma nitrogen oxides and blood lactate concentrations in Ghanaian children with malaria. Trans. Roy. Soc. Trop. Med. Hyg. 1997, 91, 298–302. [Google Scholar] [CrossRef]
- Barber, B.E.; William, T.; Grigg, M.J.; Parameswaran, U.; Piera, K.A.; Price, R.N.; Yeo, T.W.; Anstey, N.M. Parasite biomass-related inflammation, endothelial activation, microvascular dysfunction and disease severity in vivax malaria. PLoS Pathog. 2015, 11, 13. [Google Scholar] [CrossRef] [PubMed]
- Cserti-Gazdewich, C.M.; Dhabangi, A.; Musoke, C.; Ssewanyana, I.; Ddungu, H.; Nakiboneka-Ssenabulya, D.; Nabukeera-Barungi, N.; Mpimbaza, A.; Dzik, W.H. Inter-relationships of cardinal features and outcomes of symptomatic pediatric Plasmodium falciparum malaria in 1933 children in Kampala, Uganda. Am. J. Trop. Med. Hyg. 2013, 88, 747–756. [Google Scholar] [CrossRef]
- Ishioka, H.; Ghose, A.; Charunwatthana, P.; Maude, R.; Plewes, K.; Kingston, H.; Intharabut, B.; Woodrow, C.; Chotivanich, K.; Sayeed, A.A.; et al. Sequestration and red cell deformability as determinants of hyperlactatemia in falciparum malaria. J. Infect. Dis. 2015, 212, 788–793. [Google Scholar] [CrossRef]
- Ishioka, H.; Plewes, K.; Pattnaik, R.; Kingston, H.W.F.; Leopold, S.J.; Herdman, M.T.; Mahanta, K.; Mohanty, A.; Dey, C.; Alam, S.; et al. Associations between restrictive fluid management and renal function and tissue perfusion in adults with severe falciparum Malaria: A prospective observational study. J. Infect. Dis. 2020, 221, 285–292. [Google Scholar] [CrossRef]
- Aramburo, A.; Todd, J.; George, E.C.; Kiguli, S.; Olupot-Olupot, P.; Opoka, R.O.; Engoru, C.; Akech, S.O.; Nyeko, R.; Mtove, G.; et al. Lactate clearance as a prognostic marker of mortality in severely ill febrile children in East Africa. BMC Med. 2018, 16, 37. [Google Scholar] [CrossRef]
- Moher, D.; Liberati, A.; Tetzlaff, J.; Altman, D.G.; Group, P. Preferred reporting items for systematic reviews and meta-analyses: The PRISMA statement. PLoS Med. 2009, 6, e1000097. [Google Scholar] [CrossRef] [PubMed]
- Jadad, A.R.; Moore, R.A.; Carroll, D.; Jenkinson, C.; Reynolds, D.J.; Gavaghan, D.J.; McQuay, H.J. Assessing the quality of reports of randomized clinical trials: Is blinding necessary? Control. Clin. Trials 1996, 17, 1–12. [Google Scholar] [CrossRef]
- STROBE. Strengthening the Reporting of Observational Studies in Epidemiology. 2021. Available online: https://www.strobe-statement.org/checklists/ (accessed on 15 September 2021).
- Abamecha, A.; Yilma, D.; Adissu, W.; Yewhalaw, D.; Abdissa, A. Efficacy and safety of artemether-lumefantrine for treatment of uncomplicated Plasmodium falciparum malaria in Ethiopia: A systematic review and meta-analysis. Malar. J. 2021, 20, 213. [Google Scholar] [CrossRef] [PubMed]
- Gebreyohannes, E.A.; Bhagavathula, A.S.; Seid, M.A.; Tegegn, H.G. Anti-malarial treatment outcomes in Ethiopia: A systematic review and meta-analysis. Malar. J. 2017, 16, 269. [Google Scholar] [CrossRef] [PubMed]
- Hozo, S.P.; Djulbegovic, B.; Hozo, I. Estimating the mean and variance from the median, range, and the size of a sample. BMC Med. Res. Methodol. 2005, 5, 13. [Google Scholar] [CrossRef] [PubMed]
- Higgins, J.P.T.; Thomas, J.; Chandler, J.; Cumpston, M.; Li, T.; Page, M.J.; Welch, V.A. (Eds.) Cochrane Handbook for Systematic Reviews of Interventions, 2nd ed.; John Wiley & Sons: Chichester, UK, 2019. [Google Scholar]
- Ackerman, H.; Ayestaran, A.; Olola, C.H.O.; Jallow, M.; Agbenyega, T.; Bojang, K.; Roberts, D.J.; Krishna, S.; Kremsner, P.G.; Newton, C.R.; et al. The effect of blood transfusion on outcomes among African children admitted to hospital with Plasmodium falciparum malaria: A prospective, multicentre observational study. Lancet Haematol. 2020, 7, E789–E797. [Google Scholar] [CrossRef]
- Agbenyega, T.; Planche, T.; Bedu-Addo, G.; Ansong, D.; Owusu-Ofori, A.; Bhattaram, V.A.; Nagaraja, N.V.; Shroads, A.L.; Henderson, G.N.; Hutson, A.D.; et al. Population kinetics, efficacy, and safety of dichloroacetate for lactic acidosis due to severe malaria in children. J. Clin. Pharmacol. 2003, 43, 386–396. [Google Scholar] [CrossRef]
- Akech, S.O.; Hassall, O.; Pamba, A.; Idro, R.; Williams, T.N.; Newton, C.; Maitland, K. Survival and haematological recovery of children with severe malaria transfused in accordance to WHO guidelines in Kilifi, Kenya. Malar. J. 2008, 7, 9. [Google Scholar] [CrossRef]
- Casals-Pascual, C.; Kai, O.; Lowe, B.; English, M.; Williams, T.N.; Maitland, K.; Newton, C.; Peshu, N.; Roberts, D.J. Lactate levels in severe malarial anaemia are associated with haemozoin-containing neutrophils and low levels of IL-12. Malar. J. 2006, 5, 8. [Google Scholar] [CrossRef][Green Version]
- Conroy, A.L.; Opoka, R.O.; Bangirana, P.; Idro, R.; Ssenkusu, J.M.; Datta, D.; Hodges, J.S.; Morgan, C.; John, C.C. Acute kidney injury is associated with impaired cognition and chronic kidney disease in a prospective cohort of children with severe malaria. BMC Med. 2019, 17, 12. [Google Scholar] [CrossRef]
- Cunnington, A.J.; Bretscher, M.T.; Nogaro, S.I.; Riley, E.M.; Walther, M. Comparison of parasite sequestration in uncomplicated and severe childhood Plasmodium falciparum malaria. J. Infect. 2013, 67, 220–230. [Google Scholar] [CrossRef] [PubMed]
- English, M.; Waruiru, C.; Marsh, K. Transfusion for respiratory distress in life-threatening childhood malaria. Am. J. Trop. Med. Hyg. 1996, 55, 525–530. [Google Scholar] [CrossRef]
- Inocent, G.; Joël Bertrand, P.M.; Honoré, F.K.; Odette, Z.; Salomé, N.; Valéry, C.; Georges, G.E.; Paul Henri, A.Z. Physiopathologic factors resulting in poor outcome in childhood severe malaria in Cameroon. Pediatr. Infect. Dis. J. 2009, 28, 1081–1084. [Google Scholar] [CrossRef] [PubMed]
- Jarvis, J.N.; Planche, T.; Bicanic, T.; Dzeing-Ella, A.; Kombila, M.; Issifou, S.; Borrmann, S.; Kremsner, P.G.; Krishna, S. Lactic acidosis in Gabonese children with severe malaria is unrelated to dehydration. Clin. Infect. Dis. 2006, 42, 1719–1725. [Google Scholar] [CrossRef]
- Joice, R.; Frantzreb, C.; Pradham, A.; Seydel, K.B.; Kamiza, S.; Wirth, D.F.; Duraisingh, M.T.; Molyneux, M.E.; Taylor, T.E.; Marti, M.; et al. Evidence for spleen dysfunction in malaria-HIV co-infection in a subset of pediatric patients. Mod. Pathol. 2016, 29, 381–390. [Google Scholar] [CrossRef][Green Version]
- Krishna, S.; Wailer, D.W.; Ter Kuile, F.; Kwiatkowski, D.; Crawley, J.; Craddock, C.F.C.; Nosten, F.; Chapman, D.; Brewster, D.; Holloway, P.A.; et al. Lactic acidosis and hypoglycaemia in children with severe malaria: Pathophysiological and prognostic significance. Trans. Roy Soc. Trop. Med. Hyg. 1994, 88, 67–73. [Google Scholar] [CrossRef]
- Molyneux, M.E.; Taylor, T.E.; Wirima, J.J.; Borgstein, A. Clinical features and prognostic indicators in paediatric cerebral malaria: A study of 131 comatose Malawian children. Q. J. Med. 1989, 71, 441–459. [Google Scholar] [PubMed]
- Newton, P.N.; Angus, B.J.; Chierakul, W.; Dondorp, A.; Ruangveerayuth, R.; Silamut, K.; Teerapong, P.; Suputtamongkol, Y.; Looareesuwan, S.; White, N.J. Randomized comparison of artesunate and quinine in the treatment of severe falciparum malaria. Clin. Infect. Dis. 2003, 37, 7–16. [Google Scholar] [CrossRef] [PubMed]
- O’Regan, N.; Moxon, C.; Gegenbauer, K.; O’Sullivan, J.M.; Chion, A.; Smith, O.P.; Preston, R.J.S.; Brophy, T.M.; Craig, A.G.; O’Donnell, J.S. Marked elevation in plasma osteoprotegerin constitutes an early and consistent feature of cerebral malaria. Thromb. Haemost. 2016, 115, 773–780. [Google Scholar]
- Olupot-Olupot, P.; Engoru, C.; Nteziyaremye, J.; Chebet, M.; Ssenyondo, T.; Muhindo, R.; Nyutu, G.; Macharia, A.W.; Uyoga, S.; Ndila, C.M.; et al. The clinical spectrum of severe childhood malaria in Eastern Uganda. Malar. J. 2020, 19, 9. [Google Scholar] [CrossRef] [PubMed]
- Ouma, B.J.; Ssenkusu, J.M.; Shabani, E.; Datta, D.; Opoka, R.O.; Idro, R.; Bangirana, P.; Park, G.; Joloba, M.L.; Kain, K.C.; et al. Endothelial activation, acute kidney injury, and cognitive impairment in pediatric severe malaria. Crit. Care Med. 2020, 48, E734–E743. [Google Scholar] [CrossRef] [PubMed]
- Planche, T.; Dzeing, A.; Emmerson, A.C.; Onanga, M.; Kremsner, P.G.; Engel, K.; Kombila, M.; Ngou-Milama, E.; Krishna, S. Plasma glutamine and glutamate concentrations in Gabonese children with Plasmodium falciparum infection. QJM-Int. J. Med. 2002, 95, 89–97. [Google Scholar] [CrossRef] [PubMed][Green Version]
- Sasi, P.; Burns, S.P.; Waruiru, C.; English, M.; Hobson, C.L.; King, C.G.; Mosobo, M.; Beech, J.S.; Iles, R.A.; Boucher, B.J.; et al. Metabolic acidosis and other determinants of hemoglobin-oxygen dissociation in severe childhood Plasmodium falciparum malaria. Am. J. Trop. Med. Hyg. 2007, 77, 256–260. [Google Scholar] [CrossRef] [PubMed]
- Taylor, T.E.; Molyneux, M.E.; Wirima, J.J.; Fletcher, K.A.; Morris, K. Blood glucose levels in Malawian children before and during the administration of intravenous quinine for severe falciparum malaria. N. Engl. J. Med. 1988, 319, 1040–1047. [Google Scholar] [CrossRef]
- Van Hensbroek, M.B.; Palmer, A.; Jaffar, S.; Schneider, G.; Kwiatkowski, D. Residual neurologic sequelae after childhood cerebral malaria. J. Pediatrics 1997, 131 Pt 1, 125–129. [Google Scholar] [CrossRef]
- Van Wolfswinkel, M.E.; Hesselink, D.A.; Hoorn, E.J.; De Rijke, Y.B.; Koelewijn, R.; Van Hellemond, J.J.; Van Genderen, P.J. Copeptin does not accurately predict disease severity in imported malaria. Malar. J. 2012, 11, 6. [Google Scholar] [CrossRef]
- Waller, D.; Krishna, S.; Crawley, J.; Miller, K.; Nosten, F.; Chapman, D.; Ter Kuile, F.O.; Craddock, C.; Berry, C.; Holloway, P.A.H.; et al. Clinical features and outcome of severe malaria in Gambian children. Clin. Infect. Dis. 1995, 21, 577–587. [Google Scholar] [CrossRef]
- Watt, G.; Jongsakul, K.; Ruangvirayuth, R. A pilot study of N-acetylcysteine as adjunctive therapy for severe malaria. QJM-Int. J. Med. 2002, 95, 285–290. [Google Scholar] [CrossRef][Green Version]
- Yeo, T.W.; Lampah, D.A.; Gitawat, R.; Tjitra, E.; Kenangalem, E.; Piera, K.; Price, R.N.; Duffull, S.B.; Celermajer, D.S.; Anstey, N.M. Angiopoietin-2 is associated with decreased endothelial nitric oxide and poor clinical outcome in severe falciparum malaria. Proc. Natl. Acad. Sci. USA 2008, 105, 17097–17102. [Google Scholar] [CrossRef] [PubMed]
- Mariga, S.T.; Kolko, M.; Gjedde, A.; Bergersen, L.H. Lactate transport and receptor actions in cerebral malaria. Front. Neurosci. 2014, 8, 125. [Google Scholar] [CrossRef] [PubMed][Green Version]
- Goodwin, M.L.; Harris, J.E.; Hernandez, A.; Gladden, L.B. Blood lactate measurements and analysis during exercise: A guide for clinicians. J. Diabetes Sci. Technol. 2007, 1, 558–569. [Google Scholar] [CrossRef] [PubMed]
- Medbo, J.I.; Mamen, A.; Holt Olsen, O.; Evertsen, F. Examination of four different instruments for measuring blood lactate concentration. Scand. J. Clin. Lab. Investig. 2000, 60, 367–380. [Google Scholar] [CrossRef]
- Brand, N.R.; Opoka, R.O.; Hamre, K.E.; John, C.C. Differing causes of lactic acidosis and deep breathing in cerebral malaria and severe malarial anemia may explain differences in acidosis-related mortality. PLoS ONE 2016, 11, e0163728. [Google Scholar] [CrossRef] [PubMed]














| No. | Author (Publication Year) | Study Site (Year) | Study Design | Participants | Criteria for Severe Malaria | Number of Participants | Mean Age (Mean ± SD) | Age Groups (Years) | % Male | Lactate (mM), Mean ± SD | Types of Samples | Analyzer | Parasitemia (per uL), Mean ± SD |
|---|---|---|---|---|---|---|---|---|---|---|---|---|---|
| 1. | Ackerman et al., 2021 | Gambia, Malawi, Gabon, Kenya (2000–2005) | Prospective observational study | Children with severe malaria | NS | 25,893 | 2.33 ± 0.78 | <15 | 53.5 | 3.42 ± 1.17 | Whole blood | Portable lactate analyzers (Arkay Lactate Pro LT-1710, YSI Corporation, USA in Kumasi) | 80,961 ± 59,519 |
| 2. | Agbenyega et al., 1997 | Ghana (1993–1995) | Case control study | Children with severe (54) and uncomplicated malaria (16) | WHO, 1990 | 70 | Uncomplicated malaria: 5.25 ± 4.42, severe malaria: 3.5 ± 2.17 | NS | NS | Uncomplicated malaria: 2.33 ± 0.86, severe malaria: 7.83 ± 4.66 | Plasma | Lactate analyzers (YSI Instruments, Yellow Springs, Ohio, USA) | Uncomplicated malaria: 66,171 ± 125,068, severe malaria: 100,300 ± 519,459 |
| 3. | Agbenyega et al., 2003 | Ghana (1997–1999) | Clinical trial | Children with severe malaria | NS | 124 | 3.5 ± 3.7 | 1–10 | 50 | 7.45 ± 3.23 mg/dL | Whole blood | YSI Glucose Lactate Analyzer (Yellow Springs Instruments) | Unable to extract |
| 4. | Akech et al., 2008 | Kenya (2002–2005) | Prospective observational study | Children with severe malaria (and metabolic acidosis) | WHO, 2005 | 158 | 2.39 ± 0.6 | NS | 51.9 | 5.19 ± 4.04 | NS | NS | At any density |
| 5. | Barber et al., 2015 | Malaysia (2010–2012) | Prospective observational study | Children with severe (21) and uncomplicated malaria (109) | Barber et al., 2015 | 130 | Uncomplicated malaria: 26.5 ± 6.36, severe malaria: 32.5 ± 7.5 | NS | NS | Uncomplicated malaria: 1.24 ± 0.3, severe malaria:1.92 ± 0.5 | Whole blood | Bedside blood analysis (iSTAT system) | Uncomplicated malaria: 14,320 ± 8156, severe malaria: 92,913 ± 76,450 |
| 6. | Casals-Pascual et al., 2006 | Kenya (NS) | Prospective observational study | Children with severe malaria (and severe anemia) | Molyneux et al., 1989 | 26 | 2.33 ± 1.05 | NS | 73 | 4.66 ± 2.57 | Plasma | Lactate oxidase activity (Analox Instruments) | 76,735 ± 84,098 |
| 7. | Conroy et al., 2019 | Uganda (2008–2015) | Prospective cohort study | Children with cerebral malaria (and severe anemia) | The Ugandan Ministry of Health treatment guidelines | 479 | SMA (219): 3.1 ± 0.72, CM (260): 3.6 ± 0.72, total (479): 3.37 ± 0.76 | 18 months to 12 years | 40.3 | SMA (219): 5.15 ± 1.46, CM (260): 4.12 ± 1.32, total (479): 4.59 ± 1.48 | NS | NS | SMA (219): 53,737.5 ± 36,038, CM (260): 97,517.5 ± 78,395.5, total (479): 77,501 ± 66,325 |
| 8. | Cserti-Gazdewich et al., 2013 | Uganda (2007–2009) | Prospective observational study | Children with uncomplicated and severe malaria | WHO, 2010 | 1933 | Uncomplicated malaria (1078): 3.12 ± 1.03, severe malaria (855): 1.95 ± 0.61, total (1933): 2.6 ± 1.04 | 53.1 | Uncomplicated malaria (1052):2.25 ± 0.45, severe malaria (851): 5.65 ± 1.51, total (1903): 3.77 ± 1.99 | Whole blood | Handheld lactate meter (LactatePro LT-1710; Arkray, Kyoto, Japan) | Uncomplicated malaria (1063): 96,250 ± 46,489, severe malaria (831): 116,750 ± 69,586, total (1894): 105,244 ± 58,644 | |
| 9. | Cunnington et al., 2013 | Gambia (2007–2011) | Case–control study nested within a larger prospective cohort study | Children with uncomplicated and severe malaria | WHO, 2000 | 423 | Uncomplicated malaria (169): 6.49 ± 0.41, severe malaria (127): 4.25 ± 0.3, total (296): 5.52 ± 1.17 | <16 | Uncomplicated malaria: 55, severe malaria:59.8 | Uncomplicated malaria (169): 2.1 ± 0.22, severe malaria (127): 4.71 ± 0.4, total (296): 3.21 ± 1.33 | Whole blood | NS | Uncomplicated malaria (169):129,750 ± 24,200, severe malaria (127): 281,500 ± 37,260, total (296): 194,859 ± 81,159 |
| 10. | Day et al., 2000 | Vietnam | Prospective cohort study | Adults with severe malaria | WHO, 1990 | 346 | Deaths (52): 39.5 ± 15.2, Survived (294): 32.4 ± 13.7, Total (346): 33.5 ± 14.2 | NS | 77 | Deaths (52): 4.35 ± 0.6, Survived (294): 3 ± 0.24, Total (154): 3.2 ± 0.56, Total (346): 3.2 ± 0.56 | Plasma | Dedicated on-line analyzers (Analox, London, UK) | NS |
| 11. | English et al., 1996 | Kenya (NS) | Prospective observational study | Children with severe malaria | Molyneux et al., 1989 | 25 | 1.63 ± 0.83 | 0.33–3.08 | 56 | 9.75 ± 4.98 mmol/L | NS | Analox Instruments, London, United Kingdom | 197,316 ± 214,305 |
| 12. | Inocent et al., 2009 | Cameroon (2007) | Prospective observational study | Children with uncomplicated and cerebral malaria | WHO, 2000 | 139 | Uncomplicated malaria (94): 3.46 ± 3.43, cerebral malaria (45): 2.29 ± 2.13, total (139): 3.08 ± 3.11 L | 0–15 | Uncomplicated malaria (94): 61.2, cerebral malaria (45): 48, total (139): 46 | Uncomplicated malaria (94): 0.43 ± 0.03, cerebral malaria (45): 6.3 ± 0.56 | NS | Spectrophotometry | Uncomplicated malaria (94): log10parasitemia 3.65 ± 0.03, cerebral malaria (45): 4.72 ± 0.79, total (139): 4 ± 0.67 |
| 13. | Ishioka et al., 2016 | Bangladesh (2005–2011) | Prospective observational study | Adults with uncomplicated and severe malaria | Tran et al., 1996 | 286 | Uncomplicated malaria (62): 31.1 ± 15.0, Severe and Deaths (70): 33.9 ± 13.7, Severe and Survived (154): 34.5 ± 15.4, Total severe (224): 34.3 ± 14.9 | Uncomplicated malaria (62): 64.50, Severe and Deaths (70): 67.1, Severe | Uncomplicated malaria (62): 1.68 ± 0.33,Severe and Deaths (70): 6.43 ± 1.66, Severe and Survived (154): 3.5 ± 0.78, Total severe (224): 4.41 ± 1.76 | Plasma | Olympus analyzer and a handheld automated analyzer (i-STAT, Abbott) | Uncomplicated malaria (62): 33,472 ± 20,014, Severe and Deaths (70): 112,883 ± 55,873, Severe and Survived (154): 118,472 ± 76,793, Total | |
| Survived (154): 77.9, Total severe (224): 74.5 | severe (224): 116,725 ± 70,842 | severe (224): 116,725 ± 70,842 | |||||||||||
| 14. | Ishioka et al., 2020 | Bangladesh (2011–2016) | Prospective observational study | Adults with severe malaria | Tran et al., 1996 | 154 | Deaths (41): 32 ± 4.62, Survived (111): 31 ± 4.63, Total (154): 31.3 ± 4.63 | 16–65 | Deaths (41): 48.8, Survived (111): 69.9, Total (154): 64.3 | Deaths (40): 5.78 ± 1.61, Survived (111): 2.95 ± 0.85, Total (154): 3.7 ± 1.67 | Plasma | Handheld automated analyzer (i-STAT, Abbott) | Deaths (41): 95,927 ± 64,502, Survived (113): 72,085 ± 57,732, Total (154): 78,432 ± 60,326 |
| 15. | Jarvis et al., 2006 | Gabon (1999–2000) | Prospective observational study | Children with severe malaria | Krishna et al., 2001 | 56 | Severe malaria (56): 28.8 ± 5.78 | 1–10 | Severe malaria (56): 52 | Severe malaria (56): 3.95 ± 1.06 | NS | YSI 2300 analyzer (Yellow Springs Instruments). | Severe malaria (56): 55,160 |
| 16. | Joice et al., 2016 | Malawi (1996–2011) | Case control study | Children with cerebral malaria | Tayler et al., 2004 | 75 | Cerebral malaria (75): 2.4 ± 0.55 | Cerebral malaria (75): 51 | Cerebral malaria (75): 11.2 ± 2.64 | NS | NS | Cerebral malaria (75): 145,000 ± 120,114 | |
| 17. | Krishna et al., 1994 | Gambia (1988–1989) | Prospective observational study | Children with severe malaria | Molyneux et al., 1989 | 106 | Severe malaria (106): 4.76 ± 2.17 | 1.5–18 | NS | Severe malaria (106): 4.91 ± 3.08 | NS | NS | Severe malaria (106): 383,400 ± 392,084 |
| 18. | Molyneux et al., 1989 | Malawi (1987–1988) | Prospective observational study | Children with cerebral malaria | Molyneux et al., 1989 | 131 | mean 3.6 | <10 | 43.5 | Deaths (20): 6.5 ± 4.8, Survived (99): 4.18 ± 2.5, Total (119): 4.57 ± 3.11 | Plasma | YSI model, Clandon Scientific, Clandon Scientific, UK | Deaths (20): log parasitemia 5.56 ± 0.9, Survived (99): 5.17 ± 0.8, Total (119): 5.2 ± 0.82 |
| 19. | Newton et al., 2003 | Thailand (1994–2001) | Prospective observational study | Adults with severe malaria | Hien et al., 1996 | 113 | 32.75 ± 14.7 | >15 | 69.9 | 9.05 ± 7.82 | Plasma | NS | 208,320 ± 37,964 |
| 20. | O’Regan et al., 2016 | Malawi (2008–2011) | Prospective observational study | Children with uncomplicated and cerebral malaria | NS | 187 | Uncomplicated malaria (52): 5.5 ± 0.3, cerebral malaria (135): 4.2 ± 0.1, total (187): 4.56 ± 0.61 | 6 months to 12 years | Uncomplicated malaria (52):51, cerebral malaria (135): 53, total (187): 54 | Uncomplicated malaria (52): 2.5 ± 0.1, cerebral malaria (135): 6.9 ± 0.3, total (187): 5.67 ± 1.99 | Plasma | NS | Uncomplicated malaria (52): 117,000 ± 30,000, cerebral malaria (135): 200,000 ± 25,000, total (187): 176,919.8 ± 45,688 |
| 21. | Olupot-Olupot et al., 2020 | Uganda (2011–2012) | Prospective observational study | Children with severe malaria | WHO, 2000 | 662 | Deaths (63): 1.54 ± 0.48, Survived (559): 1.65 ± 0.55, Total (119): 1.65 ± 0.55 | 2 months–12 years | Deaths (63): 61.9, Survived (559):51.2, Total (119): 57.7 | Deaths (63): 5.78 ± 1.94, Survived (559): 2.37 ± 0.6, Total (119): 2.52 ± 0.71 | NS | ARKRAY Factory, Shiga, Japan | Deaths (63): 41,390 ± 12,482, Survived (559): 61,110 ± 6322, Total (119): 58,800 ± 5744.8 |
| 22. | Ouma et al., 2020 | Uganda (2008–2013) | Prospective cohort study | Children with severe malaria | Ouma et al., 2020 | 464 | Cerebral malaria (253): 3.6 ± 0.72, severe anemia (211): 3.05 ± 0.74, total (464): 3.35 ± 0.72 | NS | Cerebral malaria (253): 58.5, severe anemia (211):60.7, total (464): 59.5 | Cerebral malaria (253): 4 ± 1.35, severe anemia (211): 4.97 ± 1.43, total (464): 4.45 ± 1.38 | NS | NS | NS |
| 23. | Planche et al., 2002 | Gabon (1999–2000) | Prospective observational study | Children with uncomplicated and severe malaria | Planche et al., 2002 | 109 | Uncomplicated malaria (23): 2.29 ± 0.48, severe malaria (86): 2.13 ± 0.43, total (109): 2.16 ± 0.45 | NS | Uncomplicated malaria (23): 56.5, severe malaria (86): 48.8, total (109): 50.5 | Uncomplicated malaria (23): 1.53 ± 0.29, severe malaria (86): 3.73 ± 01.04, total (109): 3.26 ± 1.3 | Whole blood | YSI 2300 analyzer (YSI Instrument Corporation) | Uncomplicated malaria (23): 30,514.5 ± 14,075, severe malaria (86): 43,959.5 ± 29,876, total (109): 41,122 ± 27,806 |
| 24. | Sasi et al., 2007 | Kenya (1996–1997, 2003–2004) | Case control study | Children with severe malaria | NS | 61 | 2.83 ± 1.67 | 0.5–9.33 | 47 | 4.83 | Whole blood | Analox lactate analyzer | NS |
| 25. | Taylor et al., 1988 | Malawi (1986–1987) | Prospective observational study | Children with altered consciousness | Teasdale et al., 1974 | 95 | 3.31 ± 2.15 | 0.75–8 | 54.7 | 4.7 ± 3.51 | Plasma | YSI model, Clandon Scientific, UK | 505,834 ± 442,801 |
| 26. | van Hensbroek et al., 1998 | Gambia (1992–1994) | Prospective observational study | Children with cerebral malaria | Molyneux et al., 1989 | 452 | 4 ± 1.8 | 1–9 | 52 | Cerebral malaria (452): 3.75 ± 1.31 | NS | NS | Neurologic sequelae (20): 48,084, without neurologic sequelae (432): 46,238 |
| 27. | van Wolfswinkel et al., 2012 | Netherlands (1999–2010) | Prospective observational study | Adults with uncomplicated and severe malaria | Anstey et al., 2007 | 141 | Uncomplicated malaria (116): 40.5 ± 16.7, severe malaria (25): 2.85 ± 1.39, total (141): 45.3 ± 13.6 | NS | Uncomplicated malaria (116): 79, severe malaria (25):60, total (97): 75.9 | Uncomplicated malaria (116): 2.2 ± 1.45, severe malaria (25): 2.85 ± 1.39, total (141): 2.31 ± 1.46 | Plasma | NS | Uncomplicated malaria (116): 50,479 ± 45,206, severe malaria (25): 497,052.5 ± 1,387,113, total (141): 129,658.6 ± 600,682 |
| 28. | Waller et al., 2016 | Gambia (1985–1989) | Prospective observational study | Children with severe malaria | Molyneux et al., 1989 | 180 | 4.4 ± 2.0 | NS | 52.8 | Deaths (27): 8.9 ± 5.9, Survived (153):4.7 ± 3.4, Total (180): 5.33 ± 4.14 | Plasma | NS | Deaths (27): 425,383 ± 362,724, Survived (153): 428,138 ± 407,741, Total (180): 427,724 ± 400,358 |
| 29. | Watt et al., 2002 | Thailand (NS) | Clinical trial | Adults with severe malaria | WHO, 2000 | 30 | 27.5 ± 9.36 | 18–50 | 100 | 4.32 ± 2.95 | Serum | YSI lactate analyzer | 267,515 ± 248,238 |
| 30. | Yeo et al., 2008 | Indonesia (NS) | Prospective observational study | Adults with severe malaria | Hien et al., 1996 | 51 | 29 ± 11 | >18 | 2.89 ± 0.5 | NS | NS | 35,067 |
Publisher’s Note: MDPI stays neutral with regard to jurisdictional claims in published maps and institutional affiliations. |
© 2021 by the authors. Licensee MDPI, Basel, Switzerland. This article is an open access article distributed under the terms and conditions of the Creative Commons Attribution (CC BY) license (https://creativecommons.org/licenses/by/4.0/).
Share and Cite
Wilairatana, P.; Mala, W.; Kotepui, M.; Kotepui, K.U. Alteration of Blood Lactate Levels in Severe Falciparum Malaria: A Systematic Review and Meta-Analysis. Biology 2021, 10, 1085. https://doi.org/10.3390/biology10111085
Wilairatana P, Mala W, Kotepui M, Kotepui KU. Alteration of Blood Lactate Levels in Severe Falciparum Malaria: A Systematic Review and Meta-Analysis. Biology. 2021; 10(11):1085. https://doi.org/10.3390/biology10111085
Chicago/Turabian StyleWilairatana, Polrat, Wanida Mala, Manas Kotepui, and Kwuntida Uthaisar Kotepui. 2021. "Alteration of Blood Lactate Levels in Severe Falciparum Malaria: A Systematic Review and Meta-Analysis" Biology 10, no. 11: 1085. https://doi.org/10.3390/biology10111085
APA StyleWilairatana, P., Mala, W., Kotepui, M., & Kotepui, K. U. (2021). Alteration of Blood Lactate Levels in Severe Falciparum Malaria: A Systematic Review and Meta-Analysis. Biology, 10(11), 1085. https://doi.org/10.3390/biology10111085

