Gait Characteristics and Fatigue Profiles When Standing on Surfaces with Different Hardness: Gait Analysis and Machine Learning Algorithms
Abstract
Simple Summary
Abstract
1. Introduction
2. Materials and Methods
2.1. Participants
2.2. Equipments
2.3. Experimental Design
2.4. Outcome Measures
2.5. Statistical Analysis and K-Nearest Neighbor (KNN) Classification Algorithm
3. Results
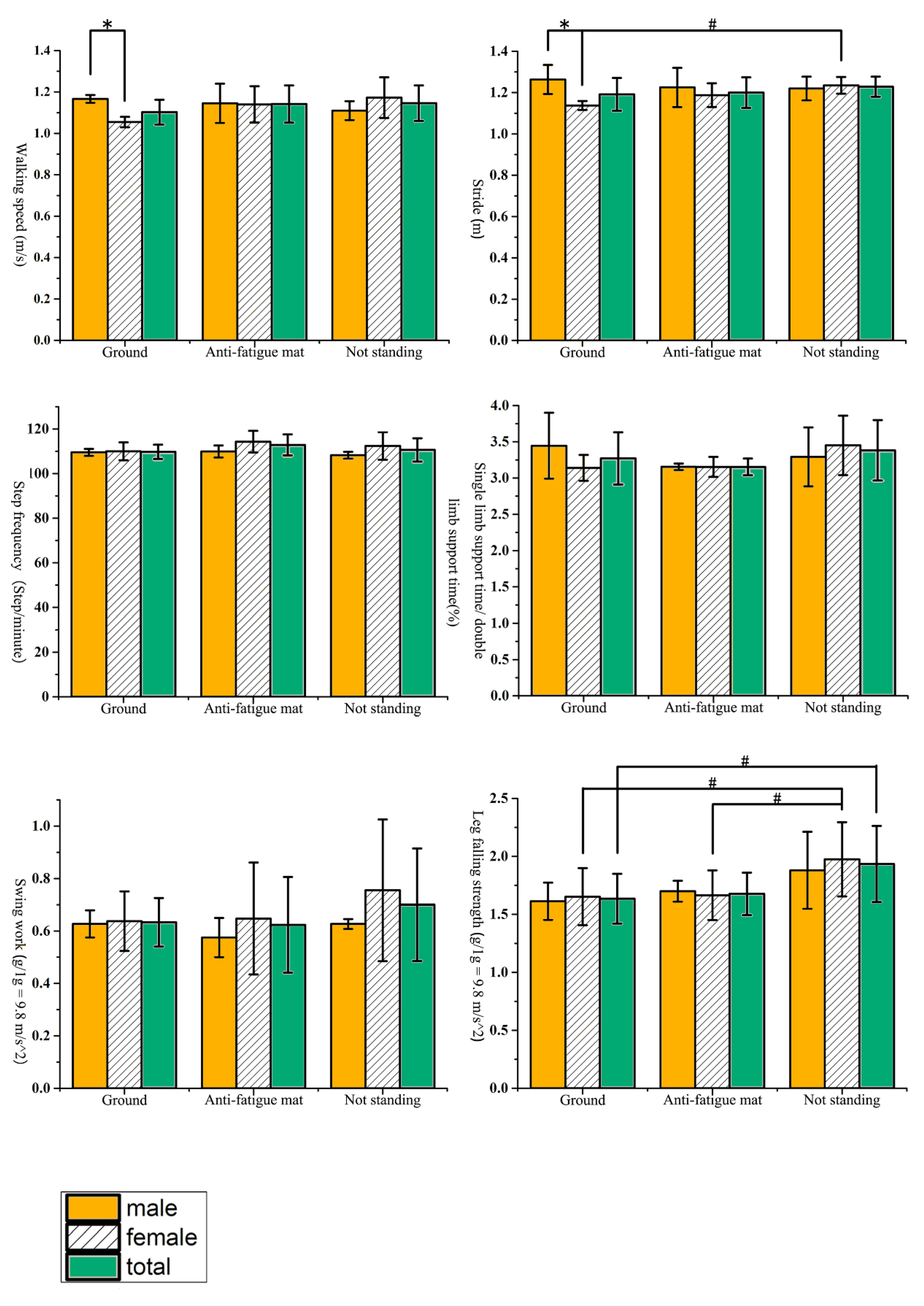
3.1. Walking Speed
3.2. Stride Length
3.3. Step Frequency
3.4. Single Support Time/Double Support Time
3.5. Swing Work
3.6. Leg Falling Strength
3.7. Subject Subjective Feelings
3.8. K-Nearest Neighbor (KNN) Classification Algorithm
4. Discussion
5. Conclusions
Author Contributions
Funding
Institutional Review Board Statement
Informed Consent Statement
Data Availability Statement
Conflicts of Interest
References
- Canadian. OSH Answers Fact Sheets. Available online: https://www.ccohs.ca/oshanswers/ergonomics/standing/standing_basic.html (accessed on 14 August 2021).
- Yazuli, Z.A.; Karuppiah, K.; Kumar, E.; Md Tamrin, S.B.; Sambasivam, S. Discomfort, fatigue and work-related musculoskeletal disorders associated with prolonged standing among Malaysian manufacturing workers: A mini review. Songklanakarin J. Sci. 2019, 41, 2. [Google Scholar]
- Kamarularifin, H.; Kamal, M.M.; Mat, C. Anti-Fatigue Rubber Mat for Industrial Workplace: Load Pressure Analysis at Different Type of Mats. J. Adv. Res. 2018, 50, 12–16. [Google Scholar]
- King, P.M. A comparison of the effects of floor mats and shoe in-soles on standing fatigue. Appl. Ergon. 2002, 33, 477–484. [Google Scholar] [CrossRef]
- Zander, J.E.; King, P.M.; Ezenwa, B.N. Influence of flooring conditions on lower leg volume following prolonged standing. Int. J. Ind. Ergon. 2004, 34, 279–288. [Google Scholar] [CrossRef]
- Bigland-Ritchie, B.; Woods, J. Changes in muscle contractile properties and neural control during human muscular fatigue. Muscle Nerve Off. J. Am. Assoc. Electrodiagn. Med. 1984, 7, 691–699. [Google Scholar] [CrossRef]
- Garcia, M.-G.; Läubli, T.; Martin, B.J. Long-term muscle fatigue after standing work. Hum. Factors 2015, 57, 1162–1173. [Google Scholar] [CrossRef]
- Speed, G.; Harris, K.; Keegel, T. The effect of cushioning materials on musculoskeletal discomfort and fatigue during prolonged standing at work: A systematic review. Appl. Ergon. 2018, 70, 300–314. [Google Scholar] [CrossRef]
- Kaka, B.; Idowu, O.A.; Fawole, H.O.; Adeniyi, A.F.; Ogwumike, O.O.; Toryila, M.T. An analysis of work-related musculoskeletal disorders among butchers in Kano Metropolis, Nigeria. Saf. Health Work 2016, 7, 218–224. [Google Scholar] [CrossRef] [PubMed]
- Sartika, S.J.; Dawal, S.Z. A comparison of the effect of using sit/stand stool on prolonged standing task. Age 2010, 24, 25. [Google Scholar]
- Gregory, D.E.; Callaghan, J.P. Prolonged standing as a precursor for the development of low back discomfort: An investigation of possible mechanisms. Gait Posture 2008, 28, 86–92. [Google Scholar] [CrossRef] [PubMed]
- Halim, I.; Omar, A.R.; Saman, A.M.; Othman, I. A review on health effects associated with prolonged standing in the industrial workplaces. Ijrras 2011, 8, 14–21. [Google Scholar]
- Waters, T.R.; Dick, R.B. Evidence of health risks associated with prolonged standing at work and intervention effectiveness. Rehabil. Nurs. 2015, 40, 148–165. [Google Scholar] [CrossRef]
- Quan, W.; Wang, M.; Liu, G.; Fekete, G.; Baker, J.S.; Ren, F.; Gu, Y. Comparative Analysis of Lower Limb Kinematics between the Initial and Terminal Phase of 5km Treadmill Running. J. Vis. Exp. 2020, 161, e61192. [Google Scholar]
- Lu, Z.; Xu, Y.; Song, Y.; Bíró, I.; Gu, Y. A Mixed Comparisons of Interventions for Patients with Diseases related to Oxidant Stress: A Systematic Review and Network Meta-Analysis. Front. Physiol. 2021, 12, 1047. [Google Scholar] [CrossRef]
- Aziz, R.A.; Adeyemi, A.J.; Kadir, A.Z.A.; Rohani, J.M.; Rani, M.R.A. Effect of working posture on back pain occurrence among electronic workers in Malaysia. Procedia Manuf. 2015, 2, 296–300. [Google Scholar] [CrossRef][Green Version]
- Lin, Y.-H.; Chen, C.-Y.; Cho, M.-H. Influence of shoe/floor conditions on lower leg circumference and subjective discomfort during prolonged standing. Appl. Ergon. 2012, 43, 965–970. [Google Scholar] [CrossRef] [PubMed]
- Chester, M.R.; Rys, M.J.; Konz, S.A. Leg swelling, comfort and fatigue when sitting, standing, and sit/standing. Int. J. Ind. Ergon. 2002, 29, 289–296. [Google Scholar] [CrossRef]
- Messing, K.; Tissot, F.; Stock, S. Distal lower-extremity pain and work postures in the Quebec population. Am. J. Public Health 2008, 98, 705–713. [Google Scholar] [CrossRef] [PubMed]
- Tissot, F.; Messing, K.; Stock, S. Studying the relationship between low back pain and working postures among those who stand and those who sit most of the working day. Ergonomics 2009, 52, 1402–1418. [Google Scholar] [CrossRef]
- Côté, P.; van der Velde, G.; Cassidy, J.D.; Carroll, L.J.; Hogg-Johnson, S.; Holm, L.W.; Carragee, E.J.; Haldeman, S.; Nordin, M.; Hurwitz, E.L.; et al. The burden and determinants of neck pain in workers: Results of the Bone and Joint Decade 2000–2010 Task Force on Neck Pain and Its Associated Disorders. Eur. Spine J. 2009, 32, S70–S86. [Google Scholar]
- Wijnhoven, H.A.H.; De Vet, H.C.W.; Picavet, H.S.J. Prevalence of musculoskeletal disorders is systematically higher in women than in men. Clin. J. Pain 2006, 22, 717–724. [Google Scholar] [CrossRef]
- Cham, R.; Redfern, M.S. Effect of flooring on standing comfort and fatigue. Hum. Factors 2001, 43, 381–391. [Google Scholar] [CrossRef] [PubMed]
- Orlando, A.R.; King, P.M. Relationship of demographic variables on perception of fatigue and discomfort following prolonged standing under various flooring conditions. J. Occup. Rehabil. 2004, 14, 63–76. [Google Scholar] [CrossRef] [PubMed]
- White, H. Where the feet hit the floor. Occup. Health Saf. 2002, 71, 164. [Google Scholar] [PubMed]
- Brownie, J.; Martin, B.J. Muscle fatigue and discomfort associated with standing and walking: Comparison of work surfaces. In Proceedings of the 19th Triennial Congress of the International Ergonomics Association, Melbourne, Australia, 9–12 August 2015. [Google Scholar]
- Stuart-Buttle, C.; Marras, W.; Kim, J. The influence of anti-fatigue mats on back and leg fatigue. In Proceedings of the Human Factors and Ergonomics Society Annual Meeting, Los Angeles, CA, USA,, 1 October 1993; pp. 769–773. [Google Scholar]
- Zhang, H.h.; Yan, S.h.; Fang, C.; Guo, X.y.; Zhang, K. Clinical evaluation and gait characteristics before and after total knee arthroplasty based on a portable gait analyzer. Orthop. Surg. 2016, 8, 360–366. [Google Scholar] [CrossRef]
- Barbieri, F.A.; dos Santos, P.C.R.; Vitório, R.; van Dieën, J.H.; Gobbi, L.T.B. Effect of muscle fatigue and physical activity level in motor control of the gait of young adults. Gait Posture 2013, 38, 702–707. [Google Scholar] [CrossRef]
- Barbieri, F.A.; dos Santos, P.C.R.; Simieli, L.; Orcioli-Silva, D.; van Dieën, J.H.; Gobbi, L.T.B. Interactions of age and leg muscle fatigue on unobstructed walking and obstacle crossing. Gait Posture 2014, 39, 985–990. [Google Scholar] [CrossRef]
- Longpré, H.S.; Potvin, J.R.; Maly, M.R. Biomechanical changes at the knee after lower limb fatigue in healthy young women. Clin. Biomech. 2013, 28, 441–447. [Google Scholar] [CrossRef]
- Zhang, H.-h.; Yan, S.-h.; Fang, C.; Zhang, K. To evaluate the operation effect of total hip arthroplasty with portable gait analyzer. J. Med. Biomech. 2015, 30, 361–366. [Google Scholar]
- Sun, J.; Liu, Y.c.; Yan, S.h.; Wang, S.s.; Lester, D.K.; Zeng, J.z.; Miao, J.; Zhang, K. Clinical gait evaluation of patients with lumbar spine stenosis. Orthop. Surg. 2018, 10, 32–39. [Google Scholar] [CrossRef]
- Zheng, C.f.; Liu, Y.c.; Hu, Y.c.; Xia, Q.; Miao, J.; Zhang, J.d.; Zhang, K. Correlations of Japanese Orthopaedic Association Scoring Systems with Gait Parameters in Patients with Degenerative Spinal Diseases. Orthop. Surg. 2016, 8, 447–453. [Google Scholar] [CrossRef]
- Baghdadi, A.; Megahed, F.M.; Esfahani, E.T.; Cavuoto, L.A. A machine learning approach to detect changes in gait parameters following a fatiguing occupational task. Ergonomics 2018, 61, 1116–1129. [Google Scholar] [CrossRef]
- Sandroff, B.M.; Klaren, R.E.; Pilutti, L.A.; Motl, R.W. Oxygen cost of walking in persons with multiple sclerosis: Disability matters, but why? Mult. Scler. Int. 2014, 2014, 162765. [Google Scholar] [CrossRef]
- Sacco, R.; Bussman, R.; Oesch, P.; Kesselring, J.; Beer, S. Assessment of gait parameters and fatigue in MS patients during inpatient rehabilitation: A pilot trial. J. Neurol. 2011, 258, 889–894. [Google Scholar] [CrossRef] [PubMed]
- Motl, R.W.; Sandroff, B.M.; Suh, Y.; Sosnoff, J.J. Energy cost of walking and its association with gait parameters, daily activity, and fatigue in persons with mild multiple sclerosis. Neurorehabilit. Neural Repair 2012, 26, 1015–1021. [Google Scholar] [CrossRef] [PubMed]
- Kalron, A. Association between perceived fatigue and gait parameters measured by an instrumented treadmill in people with multiple sclerosis: A cross-sectional study. J. Neuroeng. Rehabil. 2015, 12, 1–9. [Google Scholar] [CrossRef] [PubMed]
- Voskuil, V.R.; Stroup, S.; Leyden, M. Acceptability and usability of a wearable activity tracker and application among inactive adolescent girls. Phys. Act. Health 2020, 4, 52–61. [Google Scholar] [CrossRef]
- Shin, G.; Jarrahi, M.H.; Fei, Y.; Karami, A.; Gafinowitz, N.; Byun, A.; Lu, X. Wearable activity trackers, accuracy, adoption, acceptance and health impact: A systematic literature review. J. Biomed. Inform. 2019, 93, 103153. [Google Scholar] [CrossRef] [PubMed]
- Evenson, K.R.; Goto, M.M.; Furberg, R.D. Systematic review of the validity and reliability of consumer-wearable activity trackers. Int. J. Behav. Nutr. Phys. Act. 2015, 12, 1–22. [Google Scholar] [CrossRef]
- Zhang, K.; Werner, P.; Sun, M.; Pi-Sunyer, F.X.; Boozer, C.N. Measurement of human daily physical activity. Obes. Res. 2003, 11, 33–40. [Google Scholar] [CrossRef]
- Zhang, K.; Pi-Sunyer, F.X.; Boozer, C.N. Improving energy expenditure estimation for physical activity. Med. Sci. Sports Exerc. 2004, 36, 883–889. [Google Scholar] [CrossRef]
- Gorelick, M.L.; Bizzini, M.; Maffiuletti, N.A.; Munzinger, J.P.; Munzinger, U. Test–retest reliability of the IDEEA system in the quantification of step parameters during walking and stair climbing. Clin. Physiol. Funct. Imaging 2009, 29, 271–276. [Google Scholar] [CrossRef] [PubMed]
- Liu, Y.-C.; Xia, Q.; Hu, Y.-C.; Zhang, J.-D.; Bai, J.-Q.; Ji, N.; Zhang, K. Evaluation of gait characteristics of cervical spondylotic myelopathy patients by a portable gait analyzer. Chin. J. Tissue Eng. Res. 2014, 18, 1774. [Google Scholar]
- Li, W.; Yi, P.; Wu, Y.; Pan, L.; Li, J. A new intrusion detection system based on KNN classification algorithm in wireless sensor network. J. Electr. Comput. Eng. 2014, 2014, 240217. [Google Scholar] [CrossRef]
- Qu, X. Effects of lower-limb muscular fatigue on stair gait. J. Biomech. 2015, 48, 4059–4064. [Google Scholar] [CrossRef] [PubMed]
- Ying, J.; Cen, X.; Yu, P. Effects of eccentric exercise on skeletal muscle injury: From an ultrastructure aspect: A review. Phys. Act. Health 2021, 5, 15–20. [Google Scholar] [CrossRef]
- Liu, Z.; Wang, L.; Kong, F.; Huang, X.; Tang, Z.; He, S.; Vink, P. The effect of the standing angle on reducing fatigue among prolonged standing workers. Work 2021, 68, S281–S287. [Google Scholar] [CrossRef]
- Ko, S.-u.; Hausdorff, J.M.; Ferrucci, L. Age-associated differences in the gait pattern changes of older adults during fast-speed and fatigue conditions: Results from the Baltimore longitudinal study of ageing. Age Ageing 2010, 39, 688–694. [Google Scholar] [CrossRef]
- Granacher, U.; Wolf, I.; Wehrle, A.; Bridenbaugh, S.; Kressig, R.W. Effects of muscle fatigue on gait characteristics under single and dual-task conditions in young and older adults. J. Neuroeng. Rehabil. 2010, 7, 1–12. [Google Scholar] [CrossRef]
- Yu, P.; Liang, M.; Fekete, G.; Baker, J.S.; Gu, Y. Effect of running-induced fatigue on lower limb mechanics in novice runners. Technol. Health Care 2021, 29, 231–242. [Google Scholar] [CrossRef]
- Pope, J.P.; Pelletier, L.G.; Guertin, C. Examining the Role Ones’ Stage of Change Plays in Understanding the Relationship Between Motivation and Physical Activity. Phys. Act. Health 2021, 5, 120–132. [Google Scholar] [CrossRef]







| N | Age (year) | Weight (kg) | Height (m) | Female/Male |
|---|---|---|---|---|
| 18 | 23.2 ± 1.6 | 61.1 ± 8.0 | 1.68 ± 0.06 | 10/8 |
| Indexes (Unit) | Ground | Anti-Fatigue Mat | Before Standing | ||||||
|---|---|---|---|---|---|---|---|---|---|
| Male | Female | Average | Male | Female | Average | Male | Female | Average | |
| Walking speed (m/s) | 1.17 ± 0.02 | 1.05 ± 0.03 * | 1.10 ± 0.06 | 1.14 ± 0.10 | 1.14 ± 0.09 | 1.14 ± 0.09 | 1.11 ± 0.05 | 1.17 ± 0.10 | 1.15 ± 0.09 |
| Stride length (m) | 1.26 ± 0.07 | 1.14 ± 0.02 *# | 1.19 ± 0.08 | 1.23 ± 0.10 | 1.19 ± 0.06 | 1.20 ± 0.07 | 1.22 ± 0.06 | 1.24 ± 0.04 | 1.23 ± 0.05 |
| Step frequency (step/minute) | 109.51 ± 1.60 | 109.98 ± 4.03 | 109.78 ± 3.23 | 109.94 ± 2.70 | 114.33 ± 4.83 | 112.86 ± 4.72 | 108.23 ± 1.56 | 112.40 ± 6.24 | 110.61 ± 5.25 |
| Single support time/double support time (%) | 3.45 ± 0.45 | 3.14 ± 1.78 | 3.27 ± 0.36 | 3.15 ± 0.04 | 3.15 ± 0.14 | 3.15 ± 0.12 | 3.29 ± 0.41 | 3.45 ± 0.41 | 3.38 ± 0.42 |
| Swing work (g/1 g = 9.8 ) | 0.63 ± 0.05 | 0.64 ± 0.11 | 0.63 ± 0.09 | 0.57 ± 0.07 | 0.65 ± 0.21 | 0.62 ± 0.18 | 0.63 ± 0.02 | 0.76 ± 0.27 | 0.70 ± 0.21 |
| Leg falling strength (g/1 g = 9.8 | 1.61 ± 0.16 | 1.65 ± 0.25 # | 1.64 ± 0.21 # | 1.70 ± 0.09 | 1.66 ± 0.21 # | 1.68 ± 0.18 | 1.88 ± 0.33 | 1.97 ± 0.32 | 1.93 ± 0.33 |
| Foot | Ankle | Lower Leg | Knee | Upper Leg | Hip | Lower Back | |
|---|---|---|---|---|---|---|---|
| Ground | 4.28 ± 0.73 | 2.67 ± 0.75 | 2.83 ± 0.76 | 3.28 ± 0.87 | 2.17 ± 0.90 | 2.61 ± 0.89 | 2.61 ± 0.76 |
| Mat | 2.39 ± 0.59 | 2.22 ± 0.53 | 2.50 ± 0.76 | 2.94 ± 1.08 | 2.06 ± 0.91 | 2.28 ± 0.73 | 2.56 ± 1.01 |
| k-Value | Parameter Selection | ||
|---|---|---|---|
| Gender, Height, Weight, Walking Speed, Stride Length, Step Frequency, Single Support Time/Double Support Time, Swing Work, and Leg Falling Strength | Walking Speed, Stride Length, Step Frequency, Single Support Time/Double Support Time, Swing Work, and Leg Falling Strength | Walking Speed, Stride Length, Step Frequency, and Single Support Time/Double Support Time | |
| k = 3 | 25.0% | 25.0% | 25.0% |
| k = 4 | 75.0% | 50.0% | 50.0% |
| k = 5 | 50.0% | 37.5% | 37.5% |
| k = 6 | 62.5% | 25.0% | 25.0% |
| k = 7 | 62.5% | 25.0% | 25.0% |
| k = 8 | 50.0% | 12.5% | 12.5% |
Publisher’s Note: MDPI stays neutral with regard to jurisdictional claims in published maps and institutional affiliations. |
© 2021 by the authors. Licensee MDPI, Basel, Switzerland. This article is an open access article distributed under the terms and conditions of the Creative Commons Attribution (CC BY) license (https://creativecommons.org/licenses/by/4.0/).
Share and Cite
Lu, Z.; Sun, D.; Xu, D.; Li, X.; Baker, J.S.; Gu, Y. Gait Characteristics and Fatigue Profiles When Standing on Surfaces with Different Hardness: Gait Analysis and Machine Learning Algorithms. Biology 2021, 10, 1083. https://doi.org/10.3390/biology10111083
Lu Z, Sun D, Xu D, Li X, Baker JS, Gu Y. Gait Characteristics and Fatigue Profiles When Standing on Surfaces with Different Hardness: Gait Analysis and Machine Learning Algorithms. Biology. 2021; 10(11):1083. https://doi.org/10.3390/biology10111083
Chicago/Turabian StyleLu, Zhenghui, Dong Sun, Datao Xu, Xin Li, Julien S. Baker, and Yaodong Gu. 2021. "Gait Characteristics and Fatigue Profiles When Standing on Surfaces with Different Hardness: Gait Analysis and Machine Learning Algorithms" Biology 10, no. 11: 1083. https://doi.org/10.3390/biology10111083
APA StyleLu, Z., Sun, D., Xu, D., Li, X., Baker, J. S., & Gu, Y. (2021). Gait Characteristics and Fatigue Profiles When Standing on Surfaces with Different Hardness: Gait Analysis and Machine Learning Algorithms. Biology, 10(11), 1083. https://doi.org/10.3390/biology10111083

