Digital Twin Geometry for Fibrous Air Filtration Media
Abstract
1. Introduction
2. Literature Review: Virtual Three-Dimensional Geometric Models
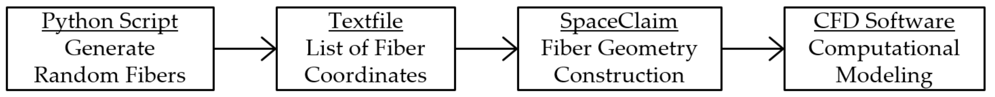
3. Materials and Methods: Scripting a Three-Dimensional Digital Twin
4. Results: Filter Solidity, Face Coverage, Thickness, and Flow Resistance
5. Discussion: Analytical Modeling of Digital Twin Filter Geometry Performance
5.1. Example Digital Media Generation
5.2. Maximum HEPA Flow Resistance
5.3. Minimum HEPA Filtration Efficiency
5.4. Fiber Diameter Sensitivity Analysis
6. Conclusions
Author Contributions
Funding
Data Availability Statement
Conflicts of Interest
Appendix A
Appendix A.1. Analytical Modeling of Air Filtration

Appendix A.2. Kuwabara Cell Model

| Symbol and Description | Calculations and Boundary Conditions | |
|---|---|---|
| Stream function | ||
| Vector Laplacian | ||
| Solid Volume Fraction | ||
| b | Distance to boundary | |
| Mean velocity inside cell | ||
| Radial velocity | ||
| Tangential velocity | ||
| Vorticity | ||

Appendix A.3. Particle Deposition Mechanics

Appendix A.4. Single Fiber Penetration and Efficiency
| Mechanism | Particle Size | Particle Diameter (μm) | Explanation |
|---|---|---|---|
| Diffusion | Very Small | 0 < < 100 | Particles stray from flowlines by Brownian diffusion and collide with fibers |
| Interception | Medium | 100 < < 200 | Particles follow flowlines and collide with fibers within one radius of flowline |
| Inertial Impaction | Large | > 300 | Particles stray from flowlines by inertia and collide with fibers |
| Gravitational | Very Large | > 500 | Particles stray from flowlines by force of gravity |
Appendix A.5. Interception Efficiency

Appendix A.6. Inertial Impaction Efficiency

Appendix A.7. Diffusion Efficiency ED

Appendix A.8. Diffusion-Interception Efficiency
Appendix A.9. Gravitational Settling Efficiency Eg
Appendix A.10. Total Filter Efficiency

Appendix A.11. Air Flow Resistance
Appendix A.12. Effective Fiber Diameter
Appendix A.13. Filter Figure of Merit (FOM)
| Term | Description | Unit of Measurement |
|---|---|---|
| Filter media cross sectional area | m2 | |
| Mobility | s/kg | |
| b | Distance to boundary (Kuwabara model) | m |
| Cunningham slip correction factor | dimensionless | |
| Count of particles approaching fiber | dimensionless | |
| Count of particles escaping by fiber | dimensionless | |
| Diffusion coefficient | m2/s | |
| Characteristic dimension | m | |
| Fiber diameter | m | |
| Effective fiber diameter | m | |
| Aerosol particle diameter | m | |
| Most penetrating particle size | m | |
| Combined single fiber efficiency of components | dimensionless | |
| Minimum SFE (Lee and Liu) | dimensionless | |
| SFE diffusion component | dimensionless | |
| SFE for interception of diffusing particles | dimensionless | |
| SFE electrostatic component | dimensionless | |
| Total Filter Efficiency | dimensionless | |
| SFE gravity component | dimensionless | |
| SFE inertial impaction component | dimensionless | |
| SFE interception component | dimensionless | |
| Force of drag on a particle | N | |
| Figure of Merit, also Quality Factor | Pa−1 | |
| Gravitational coefficient for SFE component | dimensionless | |
| Gravitational constant (9.81) | m/s2 | |
| Knudsen number | dimensionless | |
| Kuwabara hydrodynamic factor | dimensionless | |
| Boltzmann constant, 1.38 × 10−23 J/K | J/K | |
| Mass of the particle | kg | |
| Single fiber penetration | dimensionless | |
| Total filter penetration | dimensionless | |
| Peclet number | dimensionless | |
| Volumetric flow rate of air | m3/s | |
| Ratio of particle-to-fiber diameter | dimensionless | |
| Reynolds number | dimensionless | |
| Fiber radius | m | |
| Particle radius | m | |
| Particle stopping distance | m | |
| Stokes number | dimensionless | |
| Absolute Temperature | K | |
| Thickness of the air filter media | m | |
| Air velocity | m/s | |
| Radial velocity (Kuwabara model) | m/s | |
| Tangential velocity (Kuwabara model) | m/s | |
| Solidity, solid volume fraction, packing density | dimensionless | |
| Pressure differential, flow resistance | Pa | |
| Air viscosity | Pa·s | |
| Mean free path of air, approximately 65 nm | m | |
| Mean air velocity inside cell (Kuwabara model) | m/s | |
| Initial velocity of a particle (mobility) | m/s | |
| Terminal velocity of a particle (mobility) | m/s | |
| Air density | kg/m3 | |
| Density of the particle | kg/m3 | |
| Relaxation time | s | |
| Stream function (Kuwabara model) | dimensionless | |
| Vorticity (Kuwabara model) | rotations/s | |
| Vector Laplacian (Kuwabara model) | dimensionless |
| Term | Description | Value | SI Units |
|---|---|---|---|
| Filter cross sectional area | 1.00 m2 | 1.00 m2 | |
| Volumetric flow rate of air | 6.00 m3/min | 1.00 × 10−1 m3/s | |
| Air velocity | 10.0 cm/s | 1.00 × 10−1 m/s | |
| Fiber diameter | 2.0 μm | 2.00 × 10−6 m | |
| Fiber radius | 1.0 μm | 1.00 × 10−6 m | |
| Particle diameter | 300 nm | 3.00 × 10−7 m | |
| Particle radius | 150 nm | 1.50 × 10−7 m | |
| Particle-to-fiber ratio | 15% | ||
| Particle density | 1.0 g/cm3 | 1.00 × 103 kg/m3 | |
| Particle mass | 14.14 ag | 1.414 × 10−17 kg | |
| Mean free path of air | 65.3 nm | 6.53 × 10−8 m | |
| Boltzmann constant | 1.38 × 10−23 J/K | 1.38 × 10−23 J/K | |
| Absolute Temperature | 293 K | 2.93 × 102 K | |
| Air density | 1.2 kg/m3 | 1.2 kg/m3 | |
| Gravitational constant | 9.81 m/s2 | 9.81 m/s2 | |
| Efficiency Calculations | |||
| Air viscosity | 1.813 × 10−5 Pa·s | 1.813 × 10−5 Pa·s | |
| Reynolds number | 0.01324 | ||
| Hydrodynamic factor | 0.797 | ||
| Knudsen number | 0.0653 | ||
| Ratio | 0.218 | ||
| SFE interception | 0.0233 | ||
| Slip correction factor | 1.547 | ||
| Diffusion coefficient | 1.221 × 10−10 m2/s | 1.221 × 10−10 m2/s | |
| Peclet number | 1638.2 | ||
| SFE diffusion | 0.01439 | ||
| Diffusion interception | 9.69 × 10−3 | ||
| Force of drag on particle | 5.13 pN | 5.13 × 10−12 N | |
| Mobility | 3.02 × 1010 s/kg | 3.02 × 1010 s/kg | |
| Relaxation time | 427 ns | 4.27 × 10−7 s | |
| Particle stopping distance | 42.7 nm | 4.27 × 10−8 m | |
| Stokes number | 0.02134 | ||
| factor | 0.432 | ||
| SFE inertial impaction | 0.00725 | ||
| Terminal velocity | 4.19 μm/s | 4.19 × 10−6 m/s | |
| Gravitational coefficient | 4.19 × 10−5 | ||
| SFE gravity component | 2.02 × 10−9 | ||
| Single fiber efficiency | 5.46% | ||
| Single fiber penetration | 94.54% | ||
| Total filter penetration | 17.6% | ||
| Total filter efficiency | 82.4% | ||
| Pressure Drop Calculation | |||
| Davies model | 0.7206 | ||
| Pressure differential | 326.5 Pa | 3.265 × 102 Pa | |
| Figure of Merit Calculation | |||
| Figure of Merit | 0.00306 Pa−1 | 3.06 × 10−3 Pa−1 |
References
- Berry, G.; Parsons, A.; Morgan, M.; Rickert, J.; Cho, H. A review of methods to reduce the probability of the airborne spread of COVID-19 in ventilation systems and enclosed spaces. Environ. Res. 2022, 203, 111765. [Google Scholar] [CrossRef]
- U.S. Department of Energy. Nuclear Air Cleaning Handbook, 4th ed.2003. Available online: https://www.standards.doe.gov/standards-documents/1100/1169-bhdbk-2003-ch2/@@images/file (accessed on 29 October 2021).
- Bergman, W.; Taylor, R.D.; Miller, H.H.; Bierman, A.H.; Hebard, H.D.; Daroza, R.A.; Lum, B.Y. Enhanced Filtration Program at LLL—A Progress Report. In Proceedings of the 15th DOE/NRC Nuclear Air Cleaning and Treatment Conference, Boston, MA, USA, 1 August 1978. [Google Scholar]
- Haslam, J.J.; Mitchell, M.A. Ceramic Filter with Nanofibers. US 2013/0048579 A1, 28 February 2013. [Google Scholar]
- Bogle, B.; Kelly, J.; Haslam, J. Transient Heating and Thermomechanical Stress Modeling of Ceramic HEPA Filters; Lawrence Livermore National Lab. (LLNL): Livermore, CA, USA, 2017. [Google Scholar] [CrossRef]
- Kelly, J.P.; Haslam, J.J.; Mitchell, M.A.; Makeswaran, N.; Maguire, J.; Finkenauer, L. NSRD-12, Novel Mini-Tubular HEPA Media for Nuclear Facility Ventilation Systems; Lawrence Livermore National Lab. (LLNL): Livermore, CA, USA, 2018. [Google Scholar] [CrossRef]
- Mitchell, M.; Bergman, W.; Haslam, J. Ceramic HEPA Filter Program. In Proceedings of the International Society for Nuclear Air Treatment Technologies 32nd Nuclear Air Cleaning Conference, Denver, CO, USA, 7–11 May 2012. [Google Scholar]
- Hwang, S.; Roh, J.; Park, W.M. Comparison of the relative performance efficiencies of melt-blown and glass fiber filter media for managing fine particles. Aerosol Sci. Technol. 2018, 52, 451–458. [Google Scholar] [CrossRef]
- Davies, C.N. Air Filtration; Academic Press: Cambridge, MA, USA, 1973. [Google Scholar]
- Hinds, W.C. Aerosol Technology: Properties, Behavior, and Measurement of Airborne Particles, 2nd ed.; Wiley: New York, NY, USA, 1999. [Google Scholar]
- Brown, R.C. Air Filtration: An Integrated Approach to the Theory and Applications of Fibrous Filters; Pergamon Press: Oxford, UK; New York, NY, USA, 1993. [Google Scholar]
- Saleh, A.; Tafreshi, H.V.; Pourdeyhimi, B. An analytical approach to predict pressure drop and collection efficiency of dust-load pleated filters. Sep. Purif. Technol. 2016, 161, 80–87. [Google Scholar] [CrossRef]
- Saleh, A.; Hosseini, S.; Tafreshi, H.V.; Pourdeyhimi, B. 3-D microscale simulation of dust-loading in thin flat-sheet filters: A comparison with 1-D macroscale simulations. Chem. Eng. Sci. 2013, 99, 284–291. [Google Scholar] [CrossRef]
- Yousefi, S.H.; Tang, C.; Tafreshi, H.V.; Pourdeyhimi, B. Empirical model to simulate morphology of electrospun polycaprolactone mats. J. Appl. Polym. Sci. 2019, 136, 48242. [Google Scholar] [CrossRef]
- Moghadam, A.; Yousefi, S.H.; Tafreshi, H.V.; Pourdeyhimi, B. Characterizing nonwoven materials via realistic microstructural modeling. Sep. Purif. Technol. 2019, 211, 602–609. [Google Scholar] [CrossRef]
- Payatakes, A.; Gradon, L. Dendritic deposition of aerosol particles in fibrous media by inertial impaction and interception. Chem. Eng. Sci. 1980, 35, 1083–1096. [Google Scholar] [CrossRef]
- Kuwabara, S. The Forces experienced by Randomly Distributed Parallel Circular Cylinders or Spheres in a Viscous Flow at Small Reynolds Numbers. J. Phys. Soc. JPN. 1959, 14, 527–532. [Google Scholar] [CrossRef]
- Lee, K.W.; Liu, B.Y.H. Theoretical Study of Aerosol Filtration by Fibrous Filters. Aerosol Sci. Technol. 1982, 1, 147–161. [Google Scholar] [CrossRef]
- Moelter, W.; Fissan, H. Structure of a High Efficiency Glass Fiber Filter Medium. Aerosol Sci. Technol. 1997, 27, 447–461. [Google Scholar] [CrossRef]
- Happel, J. Viscous flow relative to arrays of cylinders. AIChE J. 1959, 5, 174–177. [Google Scholar] [CrossRef]
- Spielman, L.; Goren, S.L. Model for predicting pressure drop and filtration efficiency in fibrous media. Environ. Sci. Technol. 1968, 2, 279–287. [Google Scholar] [CrossRef]
- Faessel, M.; Delisée, C.; Bos, F.; Castéra, P. 3D Modelling of random cellulosic fibrous networks based on X-ray tomography and image analysis. Compos. Sci. Technol. 2005, 65, 1931–1940. [Google Scholar] [CrossRef]
- Wang, Q.; Maze, B.; Tafreshi, H.V.; Pourdeyhimi, B. A case study of simulating submicron aerosol filtration via lightweight spun-bonded filter media. Chem. Eng. Sci. 2006, 61, 4871–4883. [Google Scholar] [CrossRef]
- Wang, Q.; Maze, B.; Tafreshi, H.V.; Pourdeyhimi, B. Simulating through-plane permeability of fibrous materials with different fiber lengths. Model. Simul. Mater. Sci. Eng. 2007, 15, 855–868. [Google Scholar] [CrossRef]
- Maze, B.; Tafreshi, H.V.; Pourdeyhimi, B. Geometrical modeling of fibrous materials under compression. J. Appl. Phys. 2007, 102, 073533. [Google Scholar] [CrossRef]
- Maze, B.; Tafreshi, H.V.; Wang, Q.; Pourdeyhimi, B. A simulation of unsteady-state filtration via nanofiber media at reduced operating pressures. J. Aerosol Sci. 2007, 38, 550–571. [Google Scholar] [CrossRef]
- Hosseini, S.; Tafreshi, H.V. 3-D simulation of particle filtration in electrospun nanofibrous filters. Powder Technol. 2010, 201, 153–160. [Google Scholar] [CrossRef]
- Fotovati, S.; Tafreshi, H.V.; Pourdeyhimi, B. Influence of fiber orientation distribution on performance of aerosol filtration media. Chem. Eng. Sci. 2010, 65, 5285–5293. [Google Scholar] [CrossRef]
- Karakoç, A.; Hiltunen, E.; Paltakari, J. Geometrical and spatial effects on fiber network connectivity. Compos. Struct. 2017, 168, 335–344. [Google Scholar] [CrossRef]
- Yousefi, S.H.; Tafreshi, H.V. Modeling electrospun fibrous structures with embedded spacer particles: Application to aerosol filtration. Sep. Purif. Technol. 2020, 235, 116184. [Google Scholar] [CrossRef]
- Yousefi, S.H.; Venkateshan, D.G.; Tang, C.; Tafreshi, H.V.; Pourdeyhimi, B. Effects of electrospinning conditions on microstructural properties of polystyrene fibrous materials. J. Appl. Phys. 2018, 124, 235307. [Google Scholar] [CrossRef]
- Tafreshi, H.V.; Rahman, M.A.; Jaganathan, S.; Wang, Q.; Pourdeyhimi, B. Analytical expressions for predicting permeability of bimodal fibrous porous media. Chem. Eng. Sci. 2009, 64, 1154–1159. [Google Scholar] [CrossRef]
- Gervais, P.-C.; Bardin-Monnier, N.; Thomas, D. Permeability modeling of fibrous media with bimodal fiber size distribution. Chem. Eng. Sci. 2012, 73, 239–248. [Google Scholar] [CrossRef]
- Mead-Hunter, R.; King, A.J.; Kasper, G.; Mullins, B.J. Computational fluid dynamics (CFD) simulation of liquid aerosol coalescing filters. J. Aerosol Sci. 2013, 61, 36–49. [Google Scholar] [CrossRef]
- Grothaus, M.; Klar, A.; Maringer, J.; Stilgenbauer, P.; Wegener, R. Application of a three-dimensional fiber lay-down model to non-woven production processes. J. Math. Ind. 2014, 4, 4. [Google Scholar] [CrossRef]
- Abishek, S.; King, A.; Mead-Hunter, R.; Golkarfard, V.; Heikamp, W.; Mullins, B. Generation and validation of virtual nonwoven, foam and knitted filter (separator/coalescer) geometries for CFD simulations. Sep. Purif. Technol. 2017, 188, 493–507. [Google Scholar] [CrossRef]
- American Society of Mechanical Engineers. Code on Nuclear Air and Gas Treatment ASME AG-1-2019; ASME: New York, NY, USA, 2020. [Google Scholar]
- Beckman, I.; Lozano, C.; Freeman, E.; Riveros, G. Fiber Selection for Reinforced Additive Manufacturing. Polymers 2021, 13, 2231. [Google Scholar] [CrossRef]
- Rao, N.; Faghri, M. Computer Modeling of Aerosol Filtration by Fibrous Filters. Aerosol Sci. Technol. 1988, 8, 133–156. [Google Scholar] [CrossRef]
- Kouropoulos, G. The Effect of the Reynolds number of air flow to the particle collection efficiency of a fibrous filter medium with cylindrical section. J. Urban Environ. Eng. 2014, 8, 3–10. [Google Scholar] [CrossRef]
- Henry, F.S.; Ariman, T. An Evaluation of the Kuwabara Model. Part. Sci. Technol. 1983, 1, 1–20. [Google Scholar] [CrossRef]
- Lee, K.W.; Liu, B.Y.H. Experimental Study of Aerosol Filtration by Fibrous Filters. Aerosol Sci. Technol. 1981, 1, 35–46. [Google Scholar] [CrossRef]
- Lee, K.W.; Liu, B.Y.H. On the Minimum Efficiency and the Most Penetrating Particle Size for Fibrous Filters. J. Air Pollut. Control Assoc. 1980, 30, 377–381. [Google Scholar] [CrossRef]
- Wang, Q. Investigation of Aerosol Filtratoin via Fibrous Filters. NC State University Libraries, 6 November 2008. Available online: https://repository.lib.ncsu.edu/handle/1840.16/5338 (accessed on 29 October 2021).













| Author | Year | Description |
|---|---|---|
| Faessel et al [22] | 2005 | 3-D model generated with Aphelion software and Visual ToolKit |
| Wang et al [24] | 2007 | 3-D model with straight cylinders |
| Maze et al [25] | 2007 | 3-D model using stacked layers of square cross sectional fibers |
| Tafreshi et al [32] | 2009 | 3-D model generated as Boolean voxel based geometry using GeoDict software |
| Fotovati et al [28] | 2010 | 3-D model generated with FORTRAN code |
| Hoseinni and Tafreshi [27] | 2010 | 3-D model generated with C++ code using randomness algorithm |
| Gervais et al [33] | 2012 | Bi-modal fibrous media generated as voxel based geometry using GeoDict |
| Saleh et al [13] | 2013 | 3-D model generated with C++ code using randomness algorithm |
| Mead-Hunter et al [34] | 2013 | 3-D model generated using a custom Blender script |
| Grothaus et al [35] | 2014 | 3-D surrogate air-lay process with stochastic differential equations |
| Karakoc et al [29] | 2017 | Stochastic straight fibers trimmed to fit the domain, coded in Mathematica |
| Abishek et al [36] | 2017 | Generation of straight and curved fibers from line segments in Blender |
| Yousefi and Tafreshi [30] | 2020 | Physics-based modeling technique to simulate electrospun fibrous media with embedded spacer particles |
| Kn | Category | ||
|---|---|---|---|
| . | ntinuum (Non-Slip) | m | |
| Slip Flow | |||
| Transient | |||
| Free Molecule Range | |||
Publisher’s Note: MDPI stays neutral with regard to jurisdictional claims in published maps and institutional affiliations. |
© 2021 by the authors. Licensee MDPI, Basel, Switzerland. This article is an open access article distributed under the terms and conditions of the Creative Commons Attribution (CC BY) license (https://creativecommons.org/licenses/by/4.0/).
Share and Cite
Beckman, I.P.; Berry, G.; Cho, H.; Riveros, G. Digital Twin Geometry for Fibrous Air Filtration Media. Fibers 2021, 9, 84. https://doi.org/10.3390/fib9120084
Beckman IP, Berry G, Cho H, Riveros G. Digital Twin Geometry for Fibrous Air Filtration Media. Fibers. 2021; 9(12):84. https://doi.org/10.3390/fib9120084
Chicago/Turabian StyleBeckman, Ivan P., Gentry Berry, Heejin Cho, and Guillermo Riveros. 2021. "Digital Twin Geometry for Fibrous Air Filtration Media" Fibers 9, no. 12: 84. https://doi.org/10.3390/fib9120084
APA StyleBeckman, I. P., Berry, G., Cho, H., & Riveros, G. (2021). Digital Twin Geometry for Fibrous Air Filtration Media. Fibers, 9(12), 84. https://doi.org/10.3390/fib9120084

