Effects of Flat-Shaped Face Layer Particles and Core Layer Particles of Intentionally Greater Thickness on the Properties of Wood-Reduced Particleboard
Abstract
:1. Introduction
2. Materials and Methods
2.1. Material
2.1.1. Flat-Shaped Face Layer Particle (Wafer)
2.1.2. Lab-Made Core Layer Particle of Intentionally Greater Thickness
2.1.3. Plant-Made Face and Core Layer Particles of Typical Thickness
2.1.4. Adhesive, Paraffin, and Hardener
2.2. Board Manufacturing
2.3. Experimental Setup
2.4. Particle Size Characterization
2.4.1. Sieve Analysis
2.4.2. Image Analysis-Based Length and Width Measurement
2.4.3. Manual Thickness Gauging
2.5. Specimen Preparation and Testing Procedure
- 12 (4 × 3) for measuring bending strength (modulus of rupture (MOR)) and bending modulus (modulus of elasticity (MOE)) according to DIN EN 310:1993-08,
- 24 (8 × 3) for measuring internal bond strength (IB) according to DIN EN 319:1993-08,
- 15 (5 × 3) for measuring the swelling in thickness after immersion in water (thickness swelling = TS) according to DIN EN 317:1993-08, and
- 9 (3 × 3) for measuring the density profile.
2.6. Statistical Analysis
2.7. Shift of Data to Targeted Board Density
3. Results
3.1. Particle Size Characterization
3.1.1. Sieve Analysis
3.1.2. Image Analysis-Based Length and Width Measurement
Measuring of FL, CL and T
Measuring of W
3.1.3. Manual Thickness Gauging
3.2. Board Properties
3.2.1. Test Specimen Thickness and Density
3.2.2. Density Profile
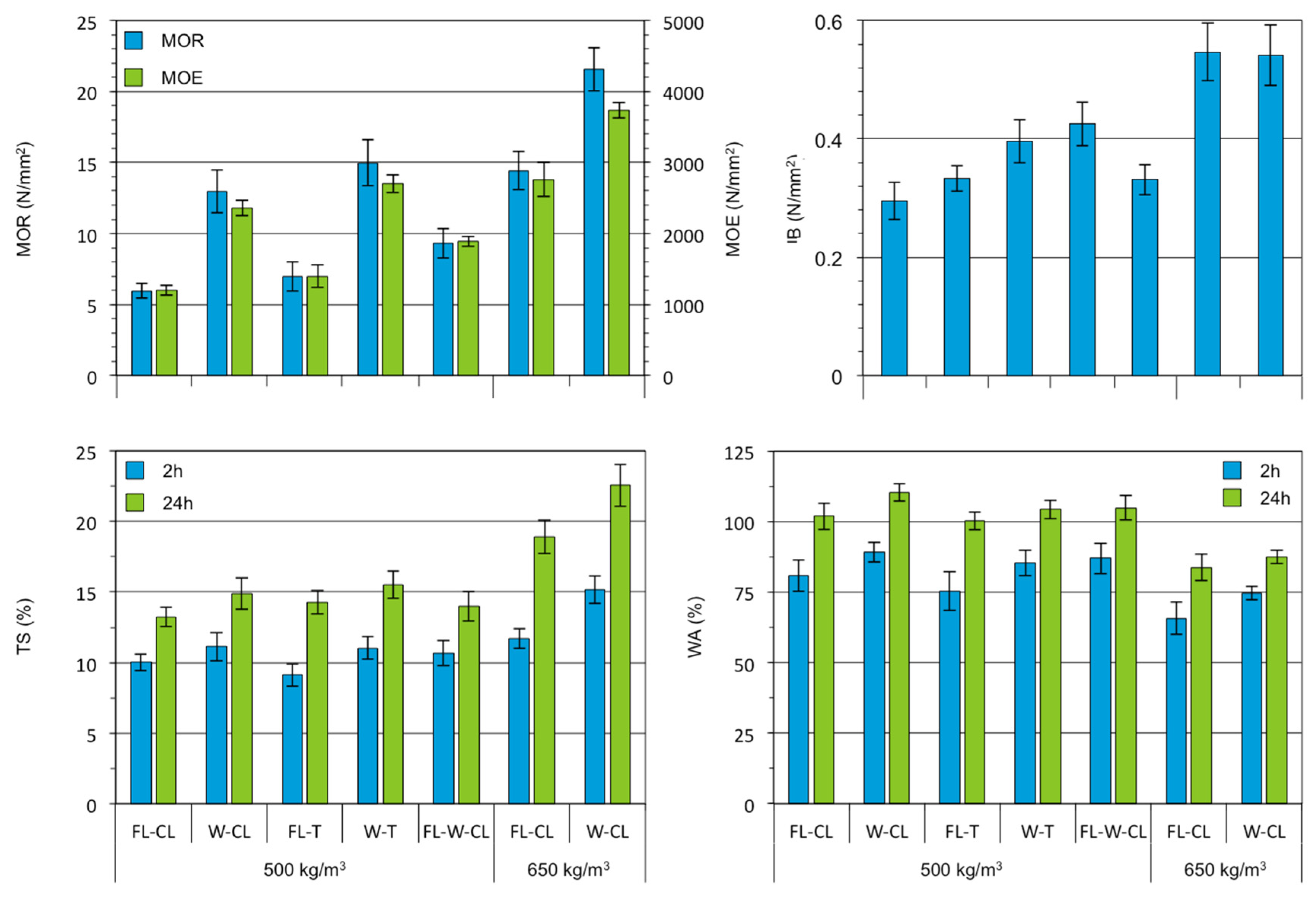
3.2.3. Bending Properties
3.2.4. Internal Bond Strength
3.2.5. Thickness Swelling
3.2.6. Water Absorption
4. Discussion
5. Conclusions
Author Contributions
Funding
Acknowledgments
Conflicts of Interest
Cited Standards
- DIN 66165-1:2016-08, Partikelgrößenanalyse—Siebanalyse—Teil1: Grundlagen [Particle size analysis—Sieving analysis—Part 1: Fundamentals]
- DIN 66165-2:2016-08, Partikelgrößenanalyse—Siebanalyse—Teil 2: Durchführung [Particle size analysis—Sieving analysis—Part 2: Procedure]
- DIN EN 310:1993-08, Holzwerkstoffe; Bestimmung des Biege-Elastizitätsmoduls und der Biegefestigkeit; Deutsche Fassung EN 310:1993 [Wood-based panels; determination of modulus of elasticity in bending and of bending strength; German version EN 310:1993]
- DIN EN 317:1993-08, Spanplatten und Faserplatten; Bestimmung der Dickenquellung nach Wasserlagerung; Deutsche Fassung EN 317:1993 [Particleboards and fibreboards; determination of swelling in thickness after immersion in water; German version EN 317:1993]
- DIN EN 319:1993-08, Spanplatten und Faserplatten; Bestimmung der Zugfestigkeit senkrecht zur Plattenebene; Deutsche Fassung EN 319:1993 [Particleboards and fibreboards; determination of tensile strength perpendicular to the plane of the board; German version EN 319:1993]
- DIN EN 323:1993-08, Holzwerkstoffe; Bestimmung der Rohdichte; Deutsche Fassung EN 323:1993 [Wood-based panels; determination of density; German version EN 323:1993]
- DIN ISO 9276-1:2004-09, Darstellung der Ergebnisse von Partikelgrößenanalysen—Teil 1: Grafische Darstellung (ISO 9276-1:1998) [Representation of results of particle size analysis—Part 1: Graphical representation (ISO 9276-1:1998)
- ISO 13322-1:2014-05, Particle size analysis—Image analysis methods—Part 1: Static image analysis methods
- ISO 13322-2:2006-11, Particle size analysis—Image analysis methods—Part 2: Dynamic image analysis methods
References
- Knauf, M. Understanding the consumer: Multi-modal market research on consumer attitudes in Germany towards lightweight furniture and lightweight materials in furniture design. Eur. J. Wood Wood Prod. 2015, 73, 259–270. [Google Scholar] [CrossRef]
- Klauditz, W.; Stegmann, G. About the suitability of poplar wood for the production of particleboards. Holzforschung 1957, 11, 174–179. (In German) [Google Scholar]
- Plath, E. Influence of gross density on the properties of wood-based boards. Holz Roh Werkst. 1963, 21, 104–108. (In German) [Google Scholar] [CrossRef]
- Keylwerth, R. Achieved and achievable reduction of anisotropy in wood-based boards. Holz Roh Werkst. 1959, 17, 234–238. (In German) [Google Scholar] [CrossRef]
- Liiri, O. Investigations on properties of wood particle boards. Paperi Puu 1961, 43, 3–18. [Google Scholar]
- Istek, A.; Siradag, H. The effect of density on particleboard properties. In Proceedings of the International Caucasian Forestry Symposium (ICFS), Artvin, Turkey, 25–26 October 2013; pp. 932–938. [Google Scholar]
- Benthien, J.T.; Ohlmeyer, M. Influence of face-to-core layer ratio and core layer resin content on the properties of density-decreased particleboards. Eur. J. Wood Wood Prod. 2017, 75, 55–62. [Google Scholar] [CrossRef]
- Sackey, E.K.; Semple, K.E.; Oh, S.W.; Smith, G.D. Improving core bond strength of particleboard through particle size redistribution. Wood Fiber Sci. 2008, 40, 214–224. [Google Scholar]
- Benthien, J.T.; Lüdtke, J.; Ohlmeyer, M. Effect of increasing core layer particle thickness on lightweight particleboard properties. Eur. J. Wood Wood Prod. 2019, 77, 1029–1043. [Google Scholar] [CrossRef]
- Wyss, O. On the patent history of particleboard. Holz Roh Werkst. 1981, 39, 399–404. [Google Scholar] [CrossRef]
- Klauditz, W. Development, status and significance of particleboard production for the wood industry. Holz Roh Werkst. 1955, 13, 405–421. [Google Scholar] [CrossRef]
- Deppe, H.J. Strands. In Wood Encyclopedia, 4th ed.; Lohmann, U., Ed.; DRW-Verlag: Stuttgart, Germany, 2003; Volume 2, pp. 450–451. ISBN 3-87181-355-9. (In German) [Google Scholar]
- Keylwerth, R. On the mechanics of the multilayer particle board. Holz Roh Werkst. 1958, 16, 419–430. (In German) [Google Scholar] [CrossRef]
- Kollmann, F. Wood-based Boards—Particleboards and Wood Particle Castings, Raw Materials, Manufacturing, Planned Costs, Quality Control etc.; Springer: Berlin, Germany, 1966; p. 535. ISBN 978-3-642-50247-7. (In German) [Google Scholar]
- Turner, H.D. Effect of particle size and shape on strength and dimensional stability of resin-bonded wood-particle panels. For. Prod. J. 1954, 4, 210–223. [Google Scholar]
- Kitahara, K.; Kasagi, K. Effects of raw chip dimensions on the physical and mechanical properties of chip-board. Wood Ind. 1955, 10, 406–412. [Google Scholar]
- Post, P.W. Effect of particle geometry and resin content on bending strength of oak flake boards. For. Prod. J. 1958, 8, 317–322. [Google Scholar]
- Brumbaugh, J. Effect of flake dimensions on properties of particle boards. For. Prod. J. 1960, 10, 243–246. [Google Scholar]
- Dunky, M.; Niemz, P. Wood-based Boards and Adhesives—Technology and Influencing Factors; Springer: Berlin, Germany, 2002; pp. 668–670. ISBN 978-3-642-62754-5. (In German) [Google Scholar]
- Liiri, O.; Kivistö, A.; Saarinen, A. The influence of wood species, chip size and binder on the strength and swelling of particleboards with higher elastomechanical properties. Holzforsch. Holzverwert. 1977, 29, 117–122. (In German) [Google Scholar]
- Niemz, P. Investigations on the influence of structure on the properties of particle board—Part 1: Influence of particle size, board density, solid resin content and solid paraffin content. Holztechnologie 1982, 23, 206–213. (In German) [Google Scholar]
- Niemz, P. Influence of selected structural parameters on the tensile and compressive strength of particleboards. Holz Roh Werkst. 1990, 48, 361–364. (In German) [Google Scholar] [CrossRef]
- Niemz, P.; Bauer, S. Relationship between structure and properties of particleboard. Part 2: Shear modulus, shear strength, bending strength. Holzforsch. Holzverwert. 1991, 43, 68–70. (In German) [Google Scholar]
- Istek, A.; Aydin, U.; Özlüsoylu, I. The effect of chip size on the particleboard properties. In Proceedings of the International Congress on Engineering and Life Science (ICELIS), Kastamouno, Turkey, 26–29 April 2018; pp. 439–444. [Google Scholar]
- Benthien, J.T.; Ohlmeyer, M.; Schneider, M.; Stehle, T. Experimental determination of the compression resistance of differently shaped wood particles as influencing parameter on wood-reduced particleboard manufacturing. Eur. J. Wood Wood Prod. 2018, 76, 937–945. [Google Scholar] [CrossRef]
- Benthien, J.T.; Bähnisch, C.; Heldner, S.; Ohlmeyer, M. Effect of fiber size distribution on medium-denstiy fibreboard properties caused by varied streaming time and temperature of defibration process. Wood Fiber Sci. 2014, 46, 175–185. [Google Scholar]
- Seppke, B.; Bähnisch, C.; Benthien, J.T.; Heldner, S.; Ohlmeyer, M. A Concurrent Skeleton-based Approach for the Characterization of Wood Fibers with Sub-pixel Precision for Fiber Board Production. In Proceedings of the 10th International Conference on Mass Data Analysis of Images and Signals (MDA), Hamburg, Germany, 11–14 July 2015. [Google Scholar]
- Jensen, U.; Kehr, E. Quantitative evaluation of density profiles of particleboard and MDF. Holz Roh Werkst. 1995, 53, 16. (In German) [Google Scholar] [CrossRef]







| Increased Dimension/ | Change | Source | ||
|---|---|---|---|---|
| Board Property | ||||
| Wood particle length | ||||
| MOR | Increase | [20,21] | ||
| MOE | Increase | [21] | ||
| IB | Minimum for medium chip length; increase sharply with shorter chips | [20] | ||
| TS | Decrease | [21] | ||
| Wood particle thickness | ||||
| MOR | (1) | Minimum for medium chip length, depending on chip length | [20] | |
| (2) | Decrease | [17,21,22] | ||
| (3) | Depending on chip length, no clear correlation | [18] | ||
| MOE | Maximum for medium chip thickness | [23] | ||
| IB | (1) | Increase | [20] | |
| (2) | Maximum for medium chip thickness | [21] | ||
| TS | (1) | Increase | [20] | |
| (2) | Slight increase | [21] | ||
| Board Type | Wood Usage | Target Density (kg/m3) | Particle Type | Layer Structure | ||
|---|---|---|---|---|---|---|
| Face Layer | Core Layer | |||||
| 1 | (FL-CL) | Low | 500 | FL | CL | FL-CL-FL |
| 2 | (W-CL) | Low | 500 | W | CL | W-CL-W |
| 3 | (FL-T) | Low | 500 | FL | T | FL-T-FL |
| 4 | (W-T) | Low | 500 | W | T | W-T-W |
| 5 | (FL-W-CL) | Low | 500 | FL and W | CL | FL-W-CL-W-FL |
| 6 | (FL-CL) | Typical | 650 | FL | CL | FL-CL-FL |
| 7 | (W-CL) | Typical | 650 | W | CL | W-CL-W |
| Investigated Effect | Compared | Wood Usage | |
|---|---|---|---|
| Layer Structure | Board Types | ||
| Alternative use of flat-shaped face layer particles | W-CL-W vs. FL-CL-FL | BT 2 vs. BT 1 | Low |
| BT 7 vs. BT 6 | Typical | ||
| W-T-W vs. FL-T-FL | BT 4 vs. BT 3 | Low | |
| Partial replacement of the typical face layer particles | FL-W-CL-W-FL vs. FL-CL-FL | BT 5 vs. BT 1 | Low |
| Alternative use of the core layer particle of intentionally greater thickness | FL-T-FL vs. FL-CL-FL | BT 3 vs. BT 1 | Low |
| W-T-W vs. W-CL-W | BT 4 vs. BT 2 | ||
| Flat-shaped face layer particles or core layer particle of intentionally greater thickness to maintain the properties of low wood usage boards on the level of those of typical wood usage | W-CL-W, FL-T-FL, W-T-W, FL-W-CL-W-FL vs. FL-CL | BT 2, BT 3, BT 4, BT 5 vs. BT 6 | Low vs. typical |
| Low wood usage | FL-CL-FL | BT 1 vs. BT 6 | Low vs. typical |
| W-CL-W | BT 2 vs. BT 7 | Low vs. typical | |
| Particle Material | MV (mm) | D10 (mm) | D50 (mm) | D90 (mm) |
|---|---|---|---|---|
| FL | 0.8 (4%) - | 0.3 (3%) - | 0.7 (5%) - | 1.4 (4%) - |
| CL | 2.8 (5%) A | 1.1 (6%) A | 2.4 (7%) A | 5.1 (3%) A |
| T | 2.4 (5%) B | 1.0 (7%) A | 2.1 (6%) A | 4.1 (6%) B |
| Particle Dimension/ | MV | D10 | D50 | D90 | Max | |
|---|---|---|---|---|---|---|
| Particle Type | (mm) | (mm) | (mm) | (mm) | (mm) | |
| Length | ||||||
| FL | 1.7 (3%) - | 1.1 (1%) - | 1.5 (4%) - | 2.7 (4%) - | 10.9 (16%) - | |
| CL | 9.5 (15%) A | 3.2 (13%) A | 7.9 (19%) A | 17.7 (13%) A | 41.9 (27%) A | |
| T | 6.6 (7%) B | 2.4 (10%) B | 5.4 (8%) A | 11.9 (8%) B | 38.7 (25%) A | |
| Width | ||||||
| FL | 0.6 (4%) - | 0.3 (3%) - | 0.6 (5%) - | 1.1 (4%) - | 4.0 (6%) - | |
| CL | 2.0 (12%) a | 0.6 (36%) a | 1.8 (12%) a | 3.6 (14%) a | 13.2 (27%) a | |
| T | 1.7 (7%) a | 0.5 (45%) a | 1.5 (3%) a | 2.9 (10%) a | 9.5 (4%) a | |
| Board Type | Wood Usage | Target Density (kg/m3) | Sample Thickness (mm) | Sample Density (kg/m3) | |||||||||
|---|---|---|---|---|---|---|---|---|---|---|---|---|---|
| Gravimetric Determination | Radiometric Determination | ||||||||||||
| MV (CV) HG | Different from Target | Relative Difference to Target | MV (CV) HG | Different from Target | Relative Difference to Target | n | MV (CV) | ||||||
| 1 | (FL-CL) | Low | 500 | 16.1 (1%) C | Yes | 0% | 497 (3%) DE | No | −1% | 8 | 492 (4%) | ||
| 2 | (W-CL) | Low | 500 | 16.5 (1%) A | Yes | 3% | 492 (2%) E | Yes | −2% | 9 | 470 (5%) | ||
| 3 | (FL-T) | Low | 500 | 15.7 (2%) D | Yes | −2% | 510 (5%) C | Yes | 2% | 9 | 496 (7%) | ||
| 4 | (W-T) | Low | 500 | 16.2 (1%) B | Yes | 2% | 504 (3%) CD | No | 1% | 8 | 491 (3%) | ||
| 5 | (FL-W-CL) | Low | 500 | 15.8 (2%) D | Yes | −1% | 505 (2%) CD | Yes | 1% | 9 | 483 (4%) | ||
| 6 | (FL-CL) | Typical | 650 | 15.9 (3%) D | No | −1% | 647 (3%) A | No | 0% | 9 | 641 (3%) | ||
| 7 | (W-CL) | Typical | 650 | 16.5 (1%) A | Yes | 3% | 631 (2%) B | Yes | −3% | 7 | 603 (3%) | ||
| Board Type | Wood Usage | Target Density (kg/m3) | n | Maximum Density (kg/m3) | Minimum Core Layer Density (kg/m3) | Density Gradient (-) | |||
|---|---|---|---|---|---|---|---|---|---|
| Upper Face Layer | Lower Face Layer | Face Layers Mean Value | |||||||
| MV (CV) | MV (CV) | MV (CV) HG | MV (CV) HG | ||||||
| 1 | (FL-CL) | Low | 500 | 8 | 615 (6%) | 642 (5%) | 628 (5%) CD | 407 (3%) C | 1.55 |
| 2 | (W-CL) | Low | 500 | 9 | 543 (5%) | 551 (6%) | 547 (6%) E | 427 (6%) BC | 1.28 |
| 3 | (FL-T) | Low | 500 | 9 | 640 (8%) | 656 (10%) | 648 (9%) CD | 402 (7%) BC | 1.61 |
| 4 | (W-T) | Low | 500 | 8 | 597 (4%) | 607 (4%) | 602 (4%) D | 431 (3%) BC | 1.40 |
| 5 | (FL-W-CL) | Low | 500 | 9 | 640 (7%) | 665 (7%) | 653 (7%) C | 417 (4%) BC | 1.57 |
| 6 | (FL-CL) | Typical | 650 | 9 | 940 (4%) | 932 (5%) | 936 (4%) A | 520 (2%) A | 1.80 |
| 7 | (W-CL) | Typical | 650 | 7 | 827 (3%) | 828 (2%) | 828 (2%) B | 519 (4%) A | 1.60 |
| Data Set Used/ Board Type | Wood Usage | Target Density (kg/m3) | Bending Properties | IB (N/mm2) | Thickness Swelling | Water Absorption | ||||
|---|---|---|---|---|---|---|---|---|---|---|
| MOR (N/mm2) | MOE (N/mm2) | 2 h (%) | 24 h (%) | 2 h (%) | 24 h (%) | |||||
| Measured data | ||||||||||
| 1 | (FL-CL) | Low | 500 | 5.9 (9%) F | 1200 (6%) F | 0.29 (11%) E | 10.0 (6%) C | 13.2 (5%) E | 80.8 (7%) BC | 101.9 (5%) BC |
| 2 | (W-CL) | Low | 500 | 13.0 (12%) C | 2360 (4%) C | 0.33 (7%) D | 11.1 (9%) BC | 14.9 (7%) CD | 89.2 (4%) A | 110.3 (3%) A |
| 3 | (FL-T) | Low | 500 | 7.0 (15%) E | 1396 (11%) E | 0.40 (9%) C | 9.1 (9%) D | 14.3 (6%) DE | 75.4 (9%) CD | 100.2 (3%) C |
| 4 | (W-T) | Low | 500 | 15.0 (11%) B | 2700 (4%) B | 0.43 (9%) B | 11.0 (7%) B | 15.5 (6%) C | 85.4 (5%) AB | 104.4 (3%) BC |
| 5 | (FL-W-CL) | Low | 500 | 9.3 (11%) D | 1887 (4%) D | 0.33 (8%) D | 10.7 (8%) BC | 14.0 (8%) DE | 87.0 (6%) A | 104.9 (4%) B |
| 6 | (FL-CL) | Typical | 650 | 14.4 (9%) B | 2763 (9%) B | 0.55 (9%) A | 11.7 (6%) B | 18.9 (6%) B | 65.7 (9%) E | 83.7 (6%) D |
| 7 | (W-CL) | Typical | 650 | 21.6 (7%) A | 3737 (3%) A | 0.54 (9%) A | 15.2 (6%) A | 22.6 (7%) A | 74.7 (3%) D | 87.4 (3%) D |
| Shifted data | ||||||||||
| 1 | (FL-CL) | Low | 500 | 5.9 (6%) g | 1187 (2%) g | 0.30 (7%) g | 9.9 (4%) de | 13.3 (3%) e | 79.7 (5%) b | 101.4 (3%) c |
| 2 | (W-CL) | Low | 500 | 14.8 (6%) b | 2474 (3%) d | 0.34 (5%) e | 11.3 (8%) bc | 15.2 (7%) c | 87.9 (3%) a | 108.7 (1%) a |
| 3 | (FL-T) | Low | 500 | 6.3 (9%) f | 1284 (3%) f | 0.39 (6%) d | 9.1 (9%) e | 13.9 (3%) d | 77.3 (8%) b | 101.2 (3%) c |
| 4 | (W-T) | Low | 500 | 13.8 (6%) d | 2621 (3%) c | 0.42 (5%) c | 10.9 (7%) bc | 15.2 (3%) c | 85.8 (5%) a | 104.9 (3%) b |
| 5 | (FL-W-CL) | Low | 500 | 9.3 (11%) e | 1886 (4%) e | 0.33 (7%) f | 10.6 (8%) cd | 13.8 (7%) d | 87.5 (4%) a | 105.8 (2%) b |
| 6 | (FL-CL) | Typical | 650 | 14.3 (5%) c | 2737 (2%) b | 0.55 (7%) b | 11.7 (6%) b | 19.1 (4%) b | 64.4 (3%) d | 82.6 (2%) e |
| 7 | (W-CL) | Typical | 650 | 22.7 (6%) a | 3867 (2%) a | 0.58 (6%) a | 15.5 (6%) a | 23.6 (5%) a | 72.1 (1%) c | 84.8 (1%) d |
© 2020 by the authors. Licensee MDPI, Basel, Switzerland. This article is an open access article distributed under the terms and conditions of the Creative Commons Attribution (CC BY) license (http://creativecommons.org/licenses/by/4.0/).
Share and Cite
Benthien, J.T.; Ohlmeyer, M. Effects of Flat-Shaped Face Layer Particles and Core Layer Particles of Intentionally Greater Thickness on the Properties of Wood-Reduced Particleboard. Fibers 2020, 8, 46. https://doi.org/10.3390/fib8070046
Benthien JT, Ohlmeyer M. Effects of Flat-Shaped Face Layer Particles and Core Layer Particles of Intentionally Greater Thickness on the Properties of Wood-Reduced Particleboard. Fibers. 2020; 8(7):46. https://doi.org/10.3390/fib8070046
Chicago/Turabian StyleBenthien, Jan T., and Martin Ohlmeyer. 2020. "Effects of Flat-Shaped Face Layer Particles and Core Layer Particles of Intentionally Greater Thickness on the Properties of Wood-Reduced Particleboard" Fibers 8, no. 7: 46. https://doi.org/10.3390/fib8070046
APA StyleBenthien, J. T., & Ohlmeyer, M. (2020). Effects of Flat-Shaped Face Layer Particles and Core Layer Particles of Intentionally Greater Thickness on the Properties of Wood-Reduced Particleboard. Fibers, 8(7), 46. https://doi.org/10.3390/fib8070046
