Loading Dynamics of Cold Atoms into a Hollow-Core Photonic Crystal Fiber
Abstract
1. Introduction
2. Materials and Methods
3. Results and Discussion
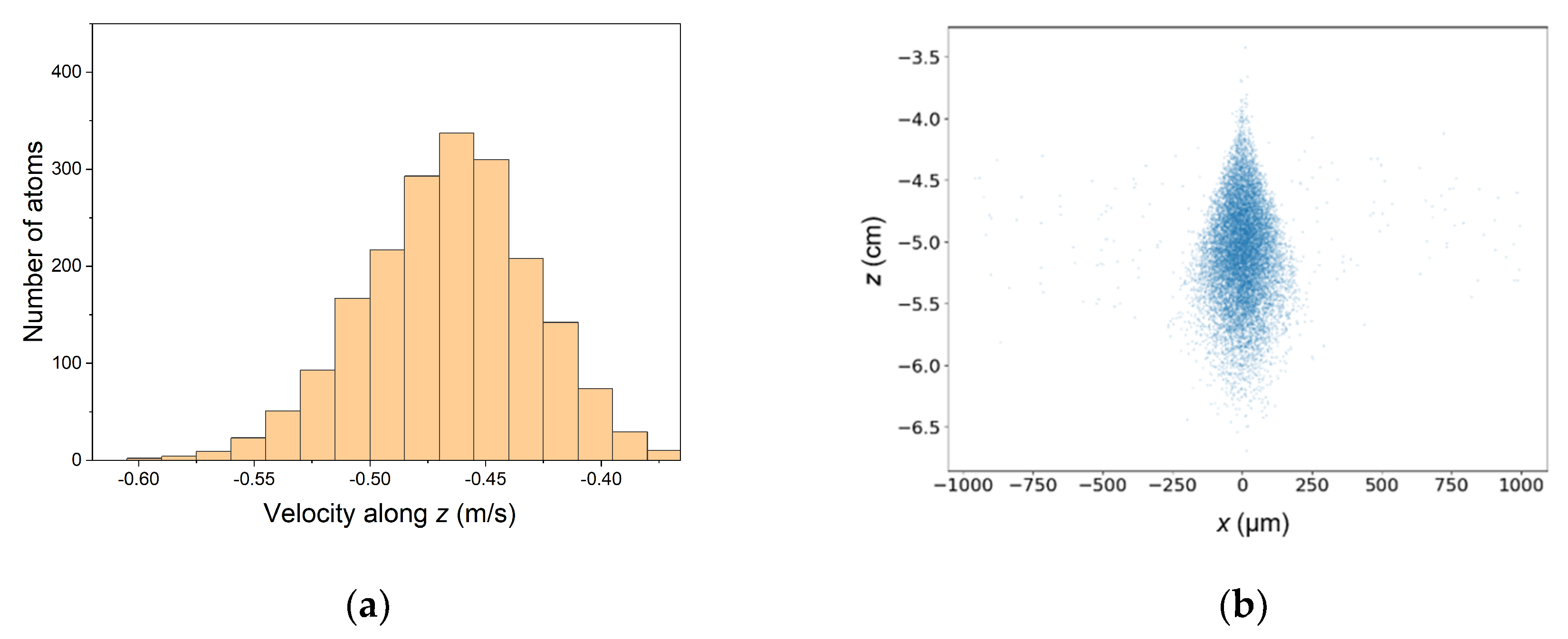
3.1. LP01 Mode of the Optical Dipole Beam
3.2. Superposition of LP01 and LP11 Modes of the Optical Dipole Beam
4. Conclusions
Author Contributions
Funding
Conflicts of Interest
References
- Markos, C.; Travers, J.C.; Abdolvand, A.; Eggleton, B.J.; Bang, O. Hybrid photonic-crystal fiber. Rev. Mod. Phys. 2017, 89, 045003. [Google Scholar] [CrossRef]
- Debord, B.; Amrani, F.; Vincetti, L.; Gérôme, F.; Benabid, F. Hollow-core fiber technology: The rising of gas photonics. Fibers 2019, 7, 16. [Google Scholar] [CrossRef]
- Grimm, R.; Weidemüller, M.; Ovchinnikov, Y.B. Optical dipole traps for neutral atoms. Adv. At. Mol. Opt. Phys. 2000, 42, 95–170. [Google Scholar]
- Bajcsy, M.; Hofferberth, S.; Balic, V.; Peyronel, T.; Hafezi, M.; Zibrov, A.S.; Vuletić, V.; Lukin, M.D. Efficient all optical switching using slow light within a hollow fiber. Phys. Rev. Lett. 2009, 102, 203902. [Google Scholar] [CrossRef] [PubMed]
- Blatt, F.; Halfmann, T.; Peters, T. One-dimensional ultracold medium of extreme optical depth. Opt. Lett. 2014, 39, 446. [Google Scholar] [CrossRef] [PubMed]
- Blatt, F.; Simeonov, L.S.; Halfmann, T.; Peters, T. Stationary light pulses and narrowband light storage in a laser-cooled ensemble loaded into a hollow-core fiber. Phys. Rev. A 2016, 94, 043833. [Google Scholar] [CrossRef]
- Peters, T.; Wang, T.-P.; Neumann, A.; Simeonov, L.S.; Halfmann, T. Single-photon-level narrowband memory in a hollow-core photonic bandgap fiber. Optics Express 2020, 28, 5340–5354. [Google Scholar] [CrossRef] [PubMed]
- Xin, M.; Leong, W.S.; Chen, Z.; Lan, S.-Y. An atom interferometer inside a hollow-core photonic crystal fiber. Sci. Adv. 2018, 4, e1701723. [Google Scholar] [CrossRef] [PubMed]
- Xin, M.; Leong, W.S.; Chen, Z.; Lan, S.-Y. Transporting long-lived quantum spin coherence in a photonic crystal fiber. Phys. Rev. Lett. 2019, 122, 163901. [Google Scholar] [CrossRef] [PubMed]
- Langbecker, M.; Noaman, M.; Kjærgaard, N.; Benabid, F.; Windpassinger, P. Rydberg excitation of cold atoms inside a hollow core fiber. Phys. Rev. A 2017, 96, 041402(R). [Google Scholar] [CrossRef]
- Yoon, T.; Ding, Z.; Flannery, J.; Rajabi, F.; Bajcsy, M. Monitoring Raman emission through state population in cold atoms confined inside a hollow-core fiber. Optics Express 2019, 27, 17592–17600. [Google Scholar] [CrossRef] [PubMed]
- Okaba, S.; Yu, D.; Vincetti, L.; Benabid, F.; Katori, H. Superradiance from lattice-confined atoms inside hollow core fiber. Commun. Phys. 2019, 2, 136. [Google Scholar] [CrossRef]
- Hilton, A.P.; Perrella, C.; Benabid, F.; Sparkes, B.M.; Luiten, A.N.; Light, P.S. High-efficiency cold-atom transport into a waveguide trap. Phys. Rev. Appl. 2018, 10, 044034. [Google Scholar] [CrossRef]
- Okaba, S.; Takano, T.; Benabid, F.; Bradley, T.; Vincetti, L.; Maizelis, Z.; Yampol’skii, V.; Nori, F.; Katori, H. Lamb-Dicke spectroscopy of atoms in a hollow-core photonic crystal fiber. Nat. Commun. 2014, 5, 4096. [Google Scholar] [CrossRef]
- Vorrath, S.; Möller, S.A.; Windpassinger, P.; Bongs, K.; Sengstock, K. Efficient guiding of cold atoms through a photonic band gap fiber. New J. Phys. 2010, 12, 123015. [Google Scholar] [CrossRef]
- Bajcsy, M.; Hofferberth, S.; Peyronel, T.; Balic, V.; Liang, Q.; Zibrov, A.S.; Vuletić, V.; Lukin, M.D. Laser-cooled atoms inside a hollow-core photonic-crystal fiber. Phys. Rev. A 2011, 83, 63830. [Google Scholar] [CrossRef]
- Christensen, C.A.; Will, S.; Saba, M.; Jo, G.B.; Shin, Y.I.; Ketterle, W.; Pritchard, D. Trapping of ultracold atoms in a hollow-core photonic crystal fiber. Phys. Rev. A 2008, 78, 033429. [Google Scholar] [CrossRef]
- Metcalf, H.; van der Straten, P. Laser Cooling and Trapping; Springer: Berlin/Heidelberg, Germany, 1999. [Google Scholar]
- Bradley, T.D.; Wheeler, N.V.; Jasion, G.T.; Gray, D.; Hayes, J.; Gouveia, M.A.; Sandoghchi, S.R.; Chen, Y.; Poletti, F.; Richardson, D.; et al. Modal content in hypocycloid Kagomé hollow core photonic crystal fibers. Optics Express 2016, 24, 15798–15812. [Google Scholar] [CrossRef] [PubMed]
- Snyder, A.W.; Young, W.R. Modes of optical waveguides. JOSA 1978, 68, 297–309. [Google Scholar] [CrossRef]
- Huang, C.; Kuan, P.-C.; Lan, S.-Y. Laser cooling of 85Rb atoms to the recoil-temperature limit. Phys. Rev. A 2018, 97, 023403. [Google Scholar] [CrossRef]






| Parameters | Our Work | Reference [13] | Reference [16] |
|---|---|---|---|
| MOT temperature | 10 μK | 5 μK | 40 μK |
| MOT center position | (0,0,5) mm | (0,0,25) mm | (0,0,6) mm |
| MOT 1/e2 radius | 2 mm | 1 mm | N.A. |
| Dipole beam power | 0.5 W (313 μK trap depth) | 1 W (14 mK trap depth) | 25 mW (10 mK trap depth) |
| Dipole beam wavelength | 821 nm | 797.25 nm | 802 nm |
| Length of the fiber | 4 cm | 10 cm | 3 cm |
| Core diameter | 64 μm | 45 μm | 7 μm |
| Efficiency | 0.19% (simulation) | 3.2% (experiment) | 3% (experiment) |
| Parameters | Loading Efficiency |
|---|---|
| Reference parameters | 0.19% |
| MOT temperature: 1 μK | 0.39% |
| Dipole beam power: 0.17 mW (106 μK trap depth) | 0.1% |
| MOT position: (0.28, 0, 5) mm | 0.17% |
| MOT position: (0.42, 0, 5) mm | 0.18% |
© 2020 by the authors. Licensee MDPI, Basel, Switzerland. This article is an open access article distributed under the terms and conditions of the Creative Commons Attribution (CC BY) license (http://creativecommons.org/licenses/by/4.0/).
Share and Cite
Wang, Y.; Chai, S.; Xin, M.; Leong, W.S.; Chen, Z.; Lan, S.-Y. Loading Dynamics of Cold Atoms into a Hollow-Core Photonic Crystal Fiber. Fibers 2020, 8, 28. https://doi.org/10.3390/fib8050028
Wang Y, Chai S, Xin M, Leong WS, Chen Z, Lan S-Y. Loading Dynamics of Cold Atoms into a Hollow-Core Photonic Crystal Fiber. Fibers. 2020; 8(5):28. https://doi.org/10.3390/fib8050028
Chicago/Turabian StyleWang, Yu, Shijie Chai, Mingjie Xin, Wui Seng Leong, Zilong Chen, and Shau-Yu Lan. 2020. "Loading Dynamics of Cold Atoms into a Hollow-Core Photonic Crystal Fiber" Fibers 8, no. 5: 28. https://doi.org/10.3390/fib8050028
APA StyleWang, Y., Chai, S., Xin, M., Leong, W. S., Chen, Z., & Lan, S.-Y. (2020). Loading Dynamics of Cold Atoms into a Hollow-Core Photonic Crystal Fiber. Fibers, 8(5), 28. https://doi.org/10.3390/fib8050028

