Modeling of Coupled Heat and Mass Transfers in a Stabilized Earthen Building Envelope with Thatched Fibers
Abstract
1. Introduction
2. Materials and Methods
3. Formulation of the Problem
3.1. Initial Conditions
3.2. Boundary Conditions
4. Numerical Resolution
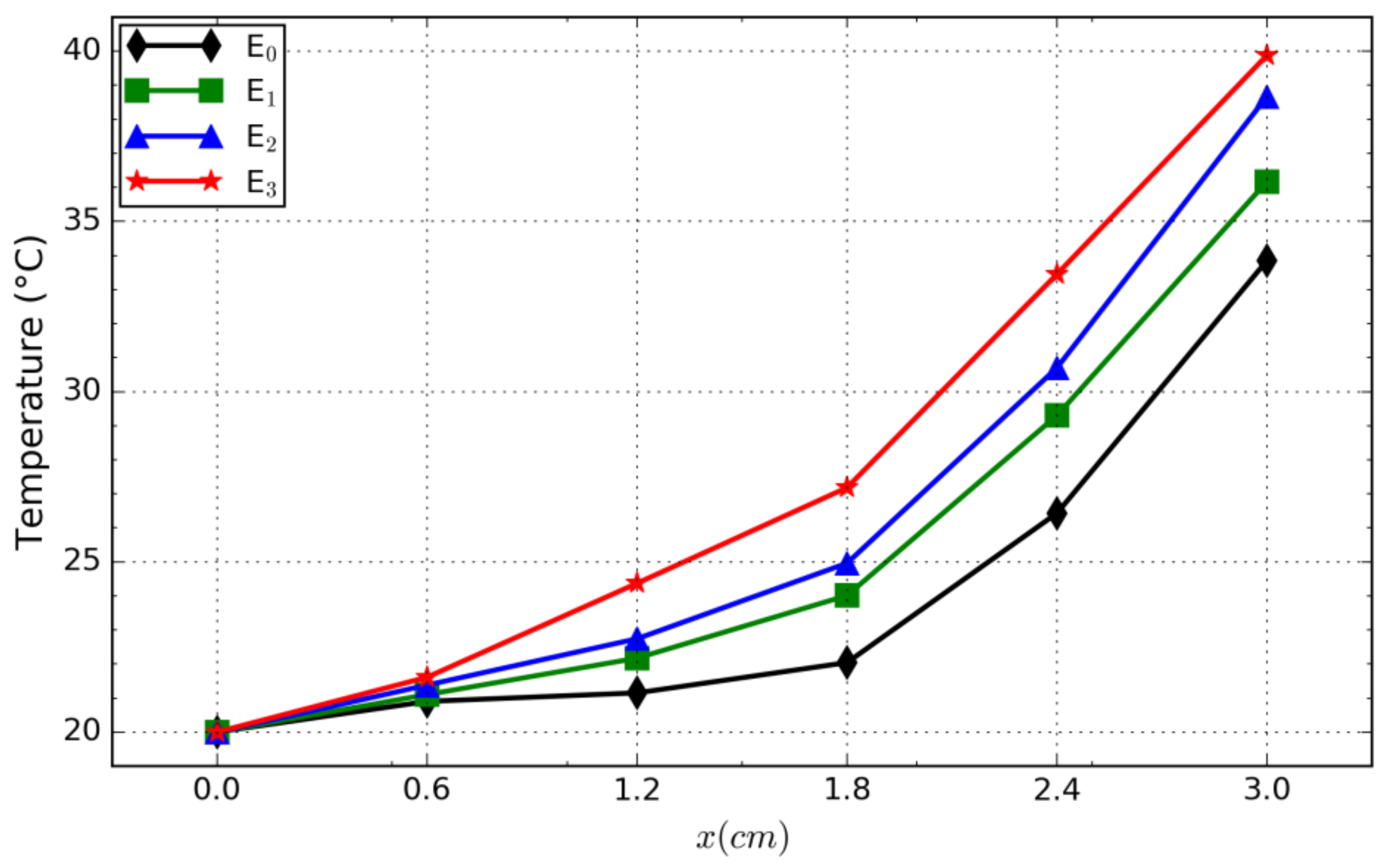
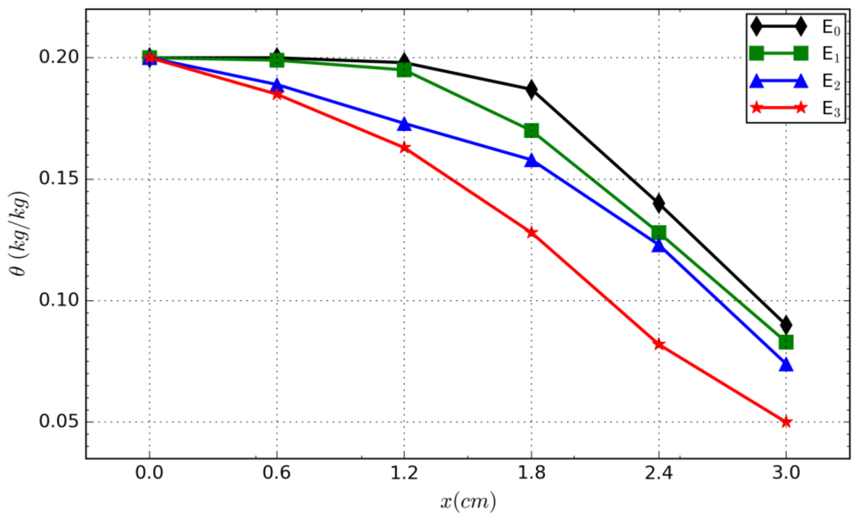
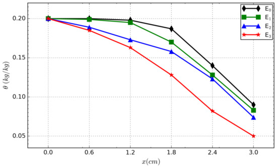
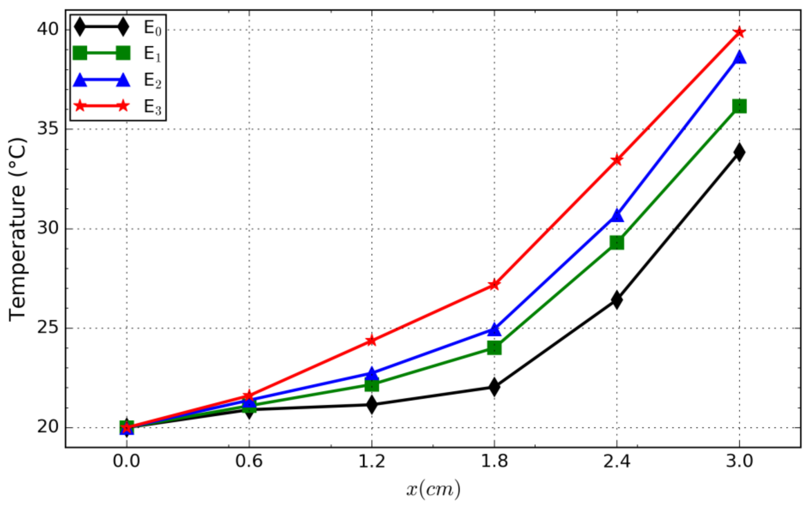
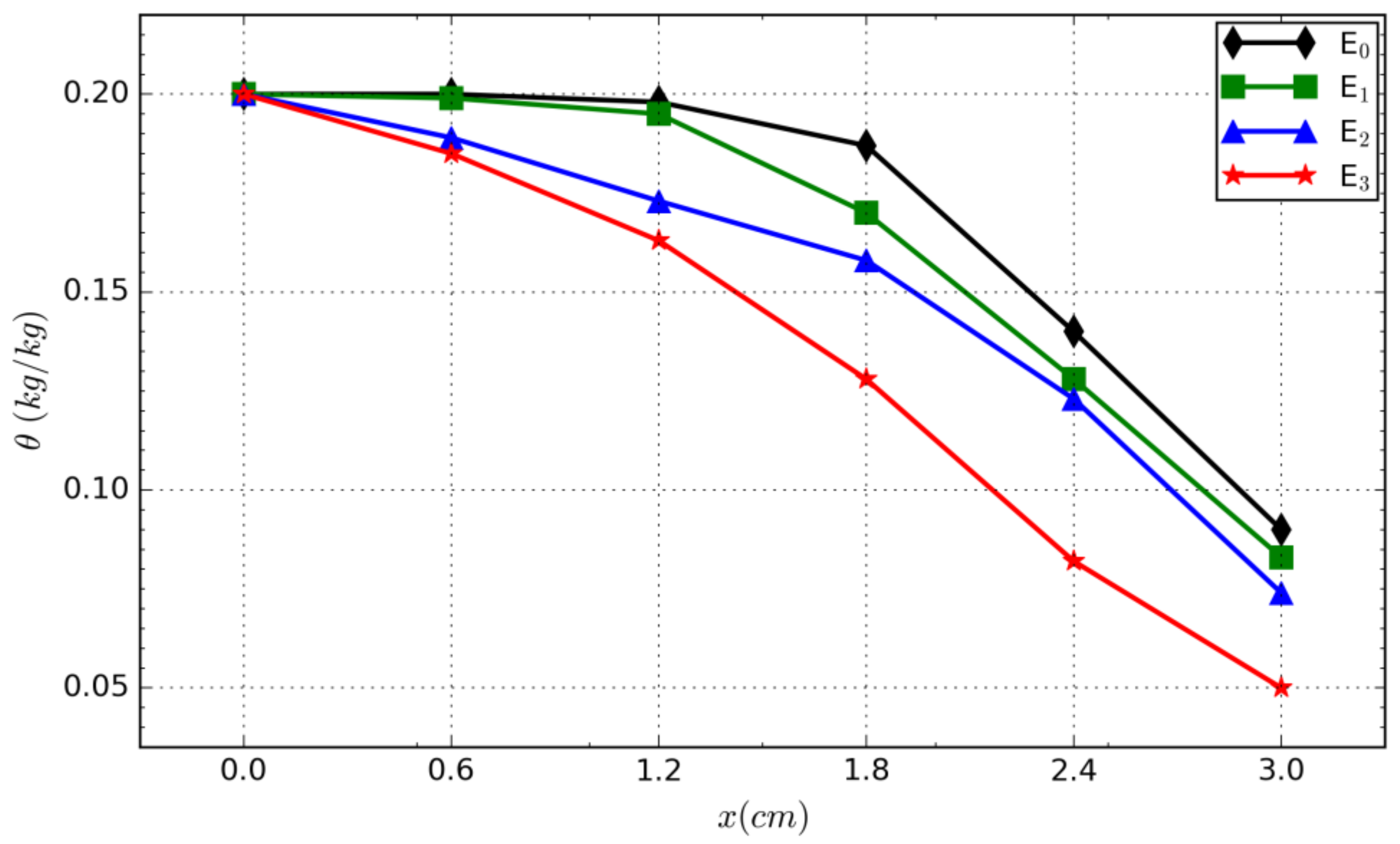
5. Results and Discussions
6. Conclusions
Author Contributions
Funding
Acknowledgments
Conflicts of Interest
Nomenclature
| Specific heat | |
| Moisture diffusivity | |
| Heat convection transfer coefficient | |
| Mass convection transfer coefficient | |
| e | Wall tchikness (m) |
| Latent heat of vaporisation (J) | |
| P | Pressure (Pa) |
| T | Temperature (°C) |
| t | Time (s) |
| Greek symbols | |
| Thermal conductivity | |
| Phase change rate | |
| Mass density () | |
| Global thermomigration coefficient | |
| Moisture content (kg/kg) | |
| Subscripts | |
| L | Liquid |
| V | Vapour |
| 0 | Initial |
| 1 | Internal side |
| 2 | External side |
| Far wall | |
References
- Beguin, J.B.; Kalt, M.; Leroy, J.L.; Louis, D.; Makary, J.; Pelloux, P.; Peronne, H.N. L’habitat au Cameroun; Paris-VIIe, Editions de l’Union Française; Publication de l’office de la recherche scientifique Outre-Mer: Paris, France, 1952. [Google Scholar]
- Meukam, P.; Noumowe, A.; Kofane, T.C. Thermo Physical Properties of Lateritic Soil Bricks: Influence of Water Content; International Atomic Energy Agency (IAEA): Vienna, Austria, 2002; Volume 34, p. 22, IC/2002/157; Available online: https://inis.iaea.org/collection/NCLCollectionStore/_Public/34/035/34035601.pdf (accessed on 10 August 2018).
- Petkova-Slipets, R.; Zlateva, P. A thermal insulating properties of straw filled environmentally friendly building materials. Civ. Environ. Eng. 2017, 13, 52–57. [Google Scholar] [CrossRef]
- Janssen, H.; Blocken, B.; Carmeliet, J. Conservative modelling of the moisture and heat transfer in building components under atmospheric excitation. Int. J. Heat Mass Transf. 2007, 50, 1128–1140. [Google Scholar] [CrossRef]
- Qin, M.; Belarbi, R.; Aït-Mokhtar, A. Transfer function method to calculate simultaneous heat and moisture transfer in porous building materials. In Proceedings of the Annex 41 MOIST-ENG, Working Meeting, Kyoto, Japan, 3–5 April 2006. [Google Scholar]
- Djongyang, N.; Tchinda, R.; Njomo, D. A study of coupled heat and mass transfer across a porous building component in intertropical conditions. Energy Build. 2009, 41, 461–469. [Google Scholar] [CrossRef]
- Hens, H.L.S.C. Combined heat, air, moisture modelling: A look back, how, of help? Build. Environ. 2015, 91, 138–151. [Google Scholar] [CrossRef]
- Sotehi, N.; Chaker, A. Numerical analysis of simultaneous heat and mass transfer in cork lightweight concretes used in building envelopes. Phys. Procedia 2014, 55, 429–436. [Google Scholar] [CrossRef]
- Chang, W.J.; Weng, C.-I. An analytical solution to coupled heat and moisture diffusion transfer in porous materials. Int. J. Heat Mass Transf. 2000, 43, 3621–3632. [Google Scholar] [CrossRef]
- Liua, F.; Jia, B.; Chena, B.; Geng, W. Moisture transfer in building envelope and influence on heat transfer. Procedia Eng. 2017, 205, 3654–3661. [Google Scholar] [CrossRef]
- Meukam, P. Modeling of Heat and Mass Transfer in Lateritic Building Envelopes; IC/2002/157; International Atomic Energy Agency (IAEA): Vienna, Austria, 2004; Volume 34, p. 22, IC/2004/111; Available online: http://www.ictp.it/~pub_off (accessed on 10 August 2018).
- Philip, J.R.; De Vries, D.A. Moisture movement in porous media under temperature gradients. Trans. Am. Geophys. Union 1957, 38, 222–232. [Google Scholar] [CrossRef]
- Tamene, Y.; Abboudi, S.; Bougriou, C. Study of heat and moisture diffusion through a wall exposed to solar heat flux. J. Eng. Sci. Technol. 2011, 6, 429–444. [Google Scholar]
- Nitcheu, M.; Meukam, P.; Damfeu, J.C.; Njomo, D. Thermomechanical characterization of compressed clay bricks reinforced by thatch fibres for the optimal use in building. Mater. Sci. Appl. 2018. submitted. [Google Scholar]
- Luikov, A.V. Heat and Mass Transfer in Capillary-Porous Bodies; Chap 6; Pergamon Press: Oxford, UK, 1966; pp. 1–531. [Google Scholar]
- Belarbi, N.; Saighi, M. Etude Comparative des Méthodes D’évaluation du Taux D’évaporation à Partir d’une Surface D’eau Libre: Application Aux Régions Arides et semi Arides en Algérie, 13èmes Journées Internationales de Thermique; ENStimac: Albi, France, 2007. [Google Scholar]
- World Meteorological Organization. Guide to Meteorological Instruments and Methods of Observation, annex4-B? Formulae for the Computation of Measures of Humidity; World Meteorological Organization: Geneva, Switzerland, 2008. [Google Scholar]
- Gerald, C.F.; Wheatley, P.O. Applied Numerical Analysis, 7th ed.; Addison Wesley Publishing Company: Boston, MA, USA, 1978. [Google Scholar]
- Remache, L.; Belhamri, A. Modélisation du séchage par convection. Revue des Energies Renouvelables CISM’08 Oum El Bouaghi. Available online: https://www.cder.dz/download/CISM08_26.pdf (accessed on 10 August 2018).
- Chikhi, A. Etude du Comportement Thermo-Hydrique des Parois des Bâtiments. Influence des Effets de L’état Hygrothermique et des Propriétés Thermo-Physiques. Ph.D. Thesis, Université Constantine, Constantine, Algeria, 2006; pp. 1–157. [Google Scholar]





| Designation. | |||
|---|---|---|---|
| E0 | 1775.86 | 0.710 | 870.46 |
| E1 | 1770.61 | 0.642 | 869.57 |
| E2 | 1751.91 | 0.549 | 867.18 |
| E3 | 1745.95 | 0.511 | 861.73 |
© 2018 by the authors. Licensee MDPI, Basel, Switzerland. This article is an open access article distributed under the terms and conditions of the Creative Commons Attribution (CC BY) license (http://creativecommons.org/licenses/by/4.0/).
Share and Cite
Nitcheu, M.; Njomo, D.; Meukam, P.; Talla, C.F. Modeling of Coupled Heat and Mass Transfers in a Stabilized Earthen Building Envelope with Thatched Fibers. Fibers 2018, 6, 75. https://doi.org/10.3390/fib6040075
Nitcheu M, Njomo D, Meukam P, Talla CF. Modeling of Coupled Heat and Mass Transfers in a Stabilized Earthen Building Envelope with Thatched Fibers. Fibers. 2018; 6(4):75. https://doi.org/10.3390/fib6040075
Chicago/Turabian StyleNitcheu, Madeleine, Donatien Njomo, Pierre Meukam, and Cyrille Fotsing Talla. 2018. "Modeling of Coupled Heat and Mass Transfers in a Stabilized Earthen Building Envelope with Thatched Fibers" Fibers 6, no. 4: 75. https://doi.org/10.3390/fib6040075
APA StyleNitcheu, M., Njomo, D., Meukam, P., & Talla, C. F. (2018). Modeling of Coupled Heat and Mass Transfers in a Stabilized Earthen Building Envelope with Thatched Fibers. Fibers, 6(4), 75. https://doi.org/10.3390/fib6040075

