Structural and Mechanical Characterisation of Five Agave Fibres for Sustainable Textile Applications
Highlights
- Five Agave varieties produced spinnable fibres exhibiting pronounced variability in microstructure and single-fibre mechanical behaviour as a function of both species and leaf section.
- Fibres extracted from the middle leaf section generally showed higher tensile performances compared to the basal and upper sections, highlighting a pronounced longitudinal heterogeneity along the agave leaf.
- The results demonstrate that both species selection and leaf-position management are key parameters for optimising agave fibre performance in textile applications.
- Appropriate fibre selection and blending strategies are required to control intra-leaf variability and to produce homogeneous yarns from agave fibres, supporting their potential use as sustainable bio-based textile resources.
Abstract
1. Introduction
2. Materials and Methods
2.1. Plant Material and Sampling
2.2. Fibre Extraction
2.3. Scanning Electron Microscopy (SEM) Observations
2.4. Physical Characterisation
2.5. Mechanical Characterisation
2.6. Statistical Analysis
- Intra-plant analysis
- Inter-plant analysis
3. Results and Discussions
3.1. Fibre Extraction Behaviour
3.2. SEM Morphology of Agave Fibres
- Agave salmiana crassispina
- The basal section tended to exhibit a locally more compact morphology compared to the upper section; however, this difference remains subtle in the SEM observations and should be interpreted qualitatively (Figure 8);
- In Figure 8 (B ×300), two technical fibres are visible in partial adhesion, with a distinct separation line apparent at the centre of the image.
- Agave salmiana salmiana
- Agave tecta
- Agave ingens marginata
- Agave mapisaga
3.3. Apparent Agave Fibres Diameter Analysis
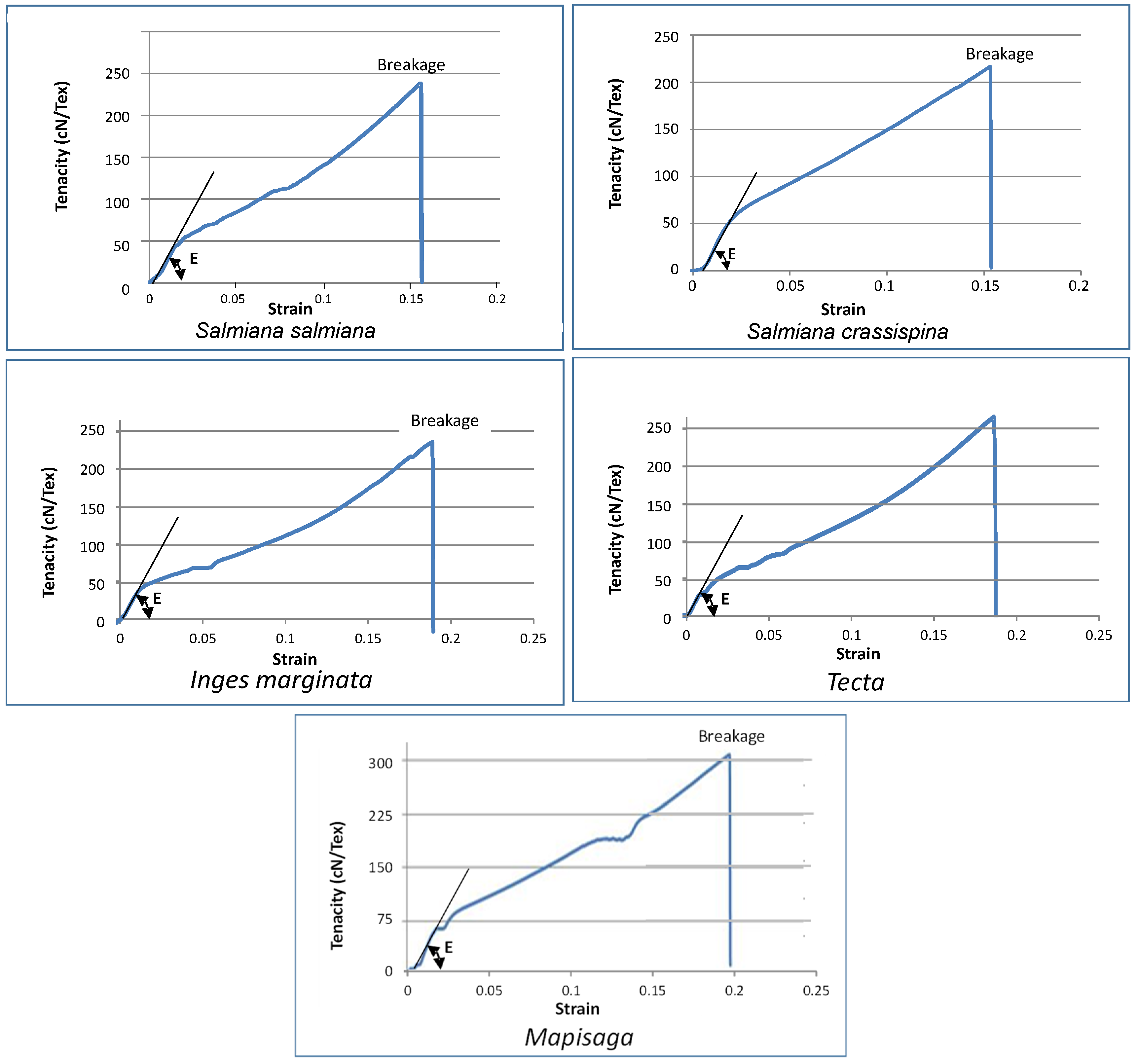
3.4. Mechanical Properties
3.5. Fracture Surface Analysis
4. Conclusions
Author Contributions
Funding
Data Availability Statement
Conflicts of Interest
Appendix A
| Agave Species | Leaf Section | Diameter (µm) (Mean ± SD) | CV (%) |
|---|---|---|---|
| Agave salmiana crassispina | Basal | 45.80 ± 9.40 | 19.90 |
| Middle | 38.60 ± 8.70 | 22.50 | |
| Upper | 33.70 ± 13.30 | 28.18 | |
| Agave salmiana salmiana | Basal | 47.65 ± 9.68 | 20.32 |
| Middle | 43.25 ± 5.38 | 12.45 | |
| Upper | 35.65 ± 4.86 | 13.65 | |
| Agave tecta | Basal | 46.14 ± 15.01 | 32.54 |
| Middle | 44.16 ± 14.00 | 31.71 | |
| Upper | 38.56 ± 11.21 | 29.07 | |
| Agave ingens marginata | Basal | 39.85 ± 5.08 | 12.75 |
| Middle | 37.35 ± 7.83 | 20.97 | |
| Upper | 34.90 ± 4.88 | 13.98 | |
| Agave mapisaga | Basal | 45.65 ± 6.13 | 13.42 |
| Middle | 32.00 ± 5.14 | 16.07 | |
| Upper | 28.65 ± 3.70 | 12.90 |
References
- Thyavihalli Girijappa, Y.G.; Mavinkere Rangappa, S.; Parameswaranpillai, J.; Siengchinm, S. Natural Fibers as Sustainable and Renewable Resource for Development of Eco-Friendly Composites: A Comprehensive Review. Front. Mater. 2019, 6, 226. [Google Scholar] [CrossRef]
- Balakrishnan, S.; Wickramasinghe, G.L.D.; Samudrika Wijayapala, U.G. Investigation on improving banana fiber fineness for textile application. Text. Res. J. 2019, 89, 4398–4409. [Google Scholar] [CrossRef]
- Md, N.T.; Haleem, M.Y.M.A. Investigation for the Effect of Agave Fiber on the properties of concrete. J. Adv. Sci. Technol. 2016, 11, 22, E-ISSN: 2230-9659. [Google Scholar]
- Lewin, M. Book Handbook of Fibre Chemistry, 3rd ed.; CRC Press: Boca Raton, FL, USA, 2006. [Google Scholar] [CrossRef]
- Nobel, S. Desert Wisdom/Agaves and Cacti: CO2, Water, Climate Change; Madrono: Berkeley, CA, USA, 2010; Volume 57. [Google Scholar] [CrossRef]
- El Oudiani, A.; Msahli, S.; Jaouadi, M.; Sakly, F.; Chaabouni, Y.; Drean, J.-Y. Les Fibers D’agave Americana L.; Edilivre: Paris, France, 2016. [Google Scholar]
- Reyes-Samilpa, A.; Antonio Reyes-Aguero, J.; Alvarez-Fuentes, G.; Rogelio Aguirre Rivera, J.; Van t Hooft, A. Physical Characterization of the Fibers of Agave salmiana and A. mapisaga (Asparagaceae) from the Mezquital Valley, Mexico. J. Nat. Fibres 2022, 19, 3710–3717. [Google Scholar] [CrossRef]
- Chaabouni, Y.; Drean, J.-Y.; Msahli, S.; Sakli, F. Morpholigical Characterization of Individual Fibre of Agave americana L. Text. Res. J. 2006, 76, 367–374. [Google Scholar] [CrossRef]
- Whewell, C. Matthews’ Textile Fibers: Their physical microscopical and chemical properties. Nature 1948, 161, 581–582. [Google Scholar] [CrossRef]
- Martínez-Palacios, A.; Gómez–Sierra, J.M.; Sáenz–Romero, C.; Pérez–Nasser, N. Genetic diversity of Agave cupreata trel. et berger. Considerations for its conservation. Rev. Fitotec. Mex. 2011, 34, 159, ISSN 0187-7380. [Google Scholar]
- Msahli, S. Etude Du Potentiel Textile Des Fibres D’agave Americana. Ph.D. Thesis, Université of Haute Alsace, Mulhouse, France, 2002. [Google Scholar]
- Chaabouni, Y. Caractérisation de la Microstructure de la fibre D’agave Americana L., Contribution à l’étude de Composites Renforces par des Fibres D’agave. Ph.D. Thesis, Université of Haute Alsace, Mulhouse, France, 2005. [Google Scholar]
- Hulle, A.; Kadole, P.; Kathar, P. Agave Americana Leaf Fibers. Fibers 2015, 3, 64–75. [Google Scholar] [CrossRef]
- Ramakrishnan, T.; Aravinth, K. Study on Properties of New Biodegradable Plant Fiber (Agave decipiens) for Polymer Reinforcement. Glob. NEST J. 2023, 25, 31–40. [Google Scholar] [CrossRef]
- Kablan, R. Etude d’Agave de Guadeloupe: Leurs métabolites (Structure et Activité) et Leurs Structures Fibreuses (Cristallinité de la Cellulose et Propriétés Des Fibres). Ph.D. Thesis, Université des Antilles, Pointe-à-Pitre, Français, 2023. [Google Scholar]
- Msahli, S.; Chaabouni, Y.; Faouzi, S.; Drean, J.Y. Mechanical Behavior of Agave Americana L. Fibers: Correlation between Fine Structure and Mechanical Properties. J. Appl. Sci. 2007, 7, 3951–3957. [Google Scholar] [CrossRef]
- Manonyane Albertina, M.M. Extraction, Variability, Enzymatic Biosoftening and Evaluation of Physico-Mechanical Properties of Agave americana L. fibre. Ph.D. Thesis, University of the Free State, Bloemfontein, South Africa, 2020. Available online: https://hdl.handle.net/11660/11278 (accessed on 28 January 2026).
- Belaadi, A.; Bezazi, A.; Bourchak, M.; Scarpa, F. Thermochemical and statistical mechanical properties of natural sisal fibres. Compos. Part B Eng. 2014, 67, 481–489. [Google Scholar] [CrossRef]
- Harzallah, O.; Benzina, H.; Drean, J.Y. Physical and Mechanical Properties of Cotton Fibres: Single Fibre Failure. Text. Res. J. 2010, 80, 1093–1102. [Google Scholar] [CrossRef]
- Sikame Tagne, N.R.; Njeugna, E.; Ndapeu, D.; Fokwa, D.; Médard, F.; Drean, J.-Y.; Harzallah, O. Investigation of the Physical and Mechanical Properties of Raffia Vinifera Fibers along the Stem. J. Nat. Fibers 2017, 14, 621–633. [Google Scholar] [CrossRef]
- Ahmad, F.; Choi, H.S.; Park, M.K. A review: Natural fiber composites selection in view of mechanical, light weight, and economic properties. Macromol. Mater. Eng. 2015, 300, 10–24. [Google Scholar] [CrossRef]
- Msahli, S.; Jaouadi, M.; Sakly, F.; Drean, J.-Y. Study of the Mechanical Properties of Fibers Extracted from Tunisian Agaveamericana L. J. Nat. Fibers 2015, 12, 552–560. [Google Scholar] [CrossRef]
- Morton, W.; Hearle, J. Physical Properties of Textile Fibres, 4th ed.; Woodhead Publishing: Cambridge, UK, 2008. [Google Scholar] [CrossRef]
- Msahli, S.; Drean, J.-Y.; Sakli, F. Evaluating the Fineness of Agave Americana L. Fibres. Text. Res. J. 2005, 75, 540–543. [Google Scholar] [CrossRef]
- Ott, L.; Longnecker, M. An Introduction to Statistical Methods and Data Analysis, 7th ed.; Texas A&M University: College Station, TX, USA, 2021. [Google Scholar]
- Montgomery, D.; Runger, C.R. Applied Statistics and Probability for Engineers, 5th ed.; Wiley: Hoboken, NJ, USA, 2014; ISBN 9781118744123. [Google Scholar]
- Student. The Probable Error of a Mean; Biometrika, Oxford University: Oxford, UK, 1908; Volume 6, pp. 1–25. Available online: https://www.jstor.org/stable/2331554 (accessed on 28 January 2026).
- Sahu, P.K. Analysis of Variance and Experimental Designs. In Research Methodology: A Guide for Researchers in Agricultural Science, Social Science and Other Related Fields; Springer: Karnataka, India, 2013. [Google Scholar] [CrossRef]
- Reddy, T.A.; Henze, G.P. Making Statistical Inferences from Samples. In Applied Data Analysis and Modeling for Energy Engineers and Scientists; Springer: Cham, Switzerland, 2023; pp. 123–168. [Google Scholar] [CrossRef]
- Montgomery, C. Design and Analysis of Experiments, 10th ed.; Wiley: Hoboken, NJ, USA, 2019. [Google Scholar]
- Sathishkumar, T.P.; Navaneethakrishnan, P.; Shankar, S.; Rajasekar, R.; Rajini, N. Characterization of natural fiber and composites. J. Reinf. Plast. Compos. 2013, 32, 1457–1476. [Google Scholar] [CrossRef]
- Béakou, A.; Ntenga, R.; Lepetit, J.; Ateba, J.A.; Ayina, L.O. Physico-chemical and microstructural characterization of “Rhectophyllum camerunense” plant fiber. Compos. Part A Appl. Sci. Manuf. 2008, 39, 67–74. [Google Scholar] [CrossRef]
- Belouadah, Z.; Ati, A.; Rokbi, M. Characterization of new natural cellulosic fiber from Lygeum spartum L. Carbohydr. Polym. 2015, 134, 429–437. [Google Scholar] [CrossRef] [PubMed]
















| Agave Species | Density (g/cm3) | Diameter (µm) | Tensile Strength (MPa) | Young’s Modulus (GPa) | Elongation at Break (%) | References |
|---|---|---|---|---|---|---|
| Agave sisalana | 1.38–1.45 | 76–403 | 347–577 | 9–22 | 2–7 | [4,18,19,20,21] |
| Agave fourcroydes | ~1.40 | 100–350 | 300–600 | 8–20 | 2–6 | [4,22] |
| Agave americana | ~1.40 | 120–400 | 300–700 | 6–18 | 1–5 | [6,8,11,13,16,20,21] |
| Agave cantala | ~1.40 | 120–350 | 350–650 | 8–20 | 2–6 | [21,21] |
| Agave tequilana | 1.38–1.42 | 90–300 | 400–800 | 10–25 | 2–5 | [20,21] |
| Agave spp. (various species) | — | 30–120 | 75–510 | 5–25 | up to 18 | [7,13,14,16,17] |
| Agave Variety | Extraction Quality | Fibre Organisation | Gel Content | Irritation Potential |
|---|---|---|---|---|
| Salmiana crassispina | Fairly easy | Bundled | High | Weak |
| Salmiana salmiana | Fairly easy | Bundled | High | Very weak |
| tecta | Fairly easy | Bundled | Low | Very strong |
| Ingens marginata | Easy | Individualised | Low | Weak |
| mapisaga | Very easy | Individualised | None | Very weak |
| Section | Mean Diameter (µm) | Standard Deviation (µm) | Variance (µm2) | Normalised Variance | Difference Between Means | z-Value | |
|---|---|---|---|---|---|---|---|
| Agave salmiana crassispina | B | 45.80 | 9.4 | 88.36 | 0.88 | 1.28 | 6.79 |
| M | 38.60 | 8.7 | 75.69 | 0.76 | 1.60 | 3.15 | |
| H | 33.70 | 13.3 | 176.89 | 1.77 | 1.60 | 2.27 | |
| Agave salmiana salmiana | B | 47.40 | 9.4 | 88.36 | 0.88 | 1.28 | 6.79 |
| M | 38.70 | 8.7 | 75.69 | 0.76 | 1.60 | 3.15 | |
| H | 43.70 | 13.3 | 176.89 | 1.77 | 1.60 | 2.27 | |
| Agave tecta | B | 46.10 | 15.0 | 225.00 | 2.25 | 1.98 | 5.35 |
| M | 44.20 | 14.0 | 196.00 | 1.96 | 2.00 | 3.82 | |
| H | 38.60 | 11.2 | 125.44 | 1.25 | 1.73 | 3.38 | |
| Agave ingens marginata | B | 39.90 | 5.1 | 25.80 | 0.26 | 0.93 | 2.70 |
| M | 37.40 | 7.8 | 61.30 | 0.61 | 0.90 | 2.70 | |
| H | 34.90 | 4.8 | 23.00 | 0.23 | 0.70 | 7.10 | |
| Agave mapisaga | B | 45.70 | 5.1 | 37.50 | 0.40 | 0.80 | 16.90 |
| M | 32.00 | 5.2 | 27.50 | 0.27 | 0.60 | 5.20 | |
| H | 28.70 | 3.7 | 13.60 | 0.14 | 0.70 | 23.80 |
| Agave Species | Leaf Section | Breaking Force (cN) | Elongation at Break (%) | Tenacity (cN·tex−1) | Young’s Modulus (GPa) |
|---|---|---|---|---|---|
| Agave salmiana crassispina | B | 404.78 ± 92.60 | 45.82 ± 19.80 | 224.22 ± 54.60 | 5.36 ± 1.28 |
| M | 278.40 ± 120.90 | 26.12 ± 7.81 | 215.64 ± 115.33 | 9.11 ± 2.09 | |
| H | 401.48 ± 153.30 | 16.91 ± 5.03 | 174.21 ± 80.69 | 12.09 ± 2.76 | |
| Agave salmiana salmiana | B | 338.71 ± 108.90 | 26.44 ± 19.80 | 211.72 ± 54.60 | 8.90 ± 2.58 |
| M | 344.16 ± 79.90 | 18.50 ± 7.81 | 276.48 ± 115.33 | 17.49 ± 5.25 | |
| H | 330.72 ± 74.80 | 17.50 ± 16.91 | 347.80 ± 80.69 | 23.79 ± 7.14 | |
| Agave tecta | B | 400.70 ± 158.90 | 19.70 ± 3.00 | 232.90 ± 79.20 | 14.65 ± 8.79 |
| M | 519.90 ± 184.90 | 19.60 ± 3.10 | 307.40 ± 94.00 | 17.69 ± 10.64 | |
| H | 561.40 ± 176.40 | 15.70 ± 3.70 | 250.80 ± 136.30 | 21.15 ± 13.74 | |
| Agave ingens marginata | B | 234.90 ± 117.80 | 23.50 ± 5.30 | 271.20 ± 169.50 | 21.16 ± 5.63 |
| M | 239.30 ± 71.70 | 24.30 ± 5.70 | 288.70 ± 204.00 | 26.20 ± 6.95 | |
| H | 282.20 ± 144.10 | 17.90 ± 3.10 | 297.30 ± 152.70 | 27.20 ± 8.08 | |
| Agave mapisaga | B | 322.80 ± 176.60 | 21.50 ± 5.90 | 228.70 ± 117.40 | 11.48 ± 3.10 |
| M | 262.70 ± 69.70 | 20.10 ± 6.50 | 502.40 ± 512.90 | 21.85 ± 7.79 | |
| H | 198.90 ± 99.80 | 12.20 ± 2.60 | 275.00 ± 45.50 | 25.74 ± 6.95 |
| Fibers | Diameter (µm) | Density (g/cm3) | Tensile Strength (MPa) | Young’s Modulus (GPa) | Specific Strength (MPa·cm3/g) | Specific Modulus (GPa·cm3/g) | Elongation at Break (%) | References |
|---|---|---|---|---|---|---|---|---|
| Hemp | – | 1.48 | 550–900 | 70 | 372–608 | 47.3 | 1.6 | [31] |
| Flax | – | 1.5 | 800–1500 | 27.6–80 | 535–1000 | 18.4–53 | 1.2–3.2 | — |
| Ramie | 50 | 1.50 | 220–938 | 44–128 | 147–625 | 29.3–85 | 2–3.8 | — |
| Kenaf | 70–250 | 1.45 | 930 | 53 | 641 | 36.5 | 1.6 | — |
| Jute | 40–350 | 1.46 | 393–800 | 10–30 | 269–548 | 6.85–20.6 | 1.5–2.5 | — |
| Abaca | – | — | 400 | 12 | — | — | 8 | — |
| Bamboo | 240–330 | 0.60–1.10 | 500 | 35.9 | 454.5–833.3 | 32.6–59.9 | 3–7 | [31,32] |
| Sisal | 50–300 | 1.45 | 530–640 | 9.4–22 | 6.5–15.2 | 3.7–14 | 2–7 | — |
| Rhectophyllum C. | – | 0.947 | 219.1–895.1 | 2.763 | 231.36–847.66 | 2.42–9.83 | 1–9 | [33] |
| Empty fruit bunch | 330–340 | — | 49 | 2.763 | — | — | — | [33] |
| Lygeum spartum L. | 180–433 | — | 64.63–403.87 | 4.17–37.27 | — | — | 1.49–7.34 | [33] |
| Agave (general) | 178–403 | 1.20 | 63–211 | 1.08–3 | 52.5–175.84 | 0.9–2.5 | 16.9–70.98 | [32,33] |
| Agave salmiana crassispina | 34–46 | ≈1.3–1.5 | ≈300–600 | 231–400 | 231–400 | — | 5–20 | Current work |
| Agave salmiana salmiana | 36–48 | ≈1.3–1.5 | ≈300–600 | 231–400 | 231–400 | — | 5–20 | Current work |
| Agave ingens marginata | 35–40 | ≈1.3–1.5 | ≈250–550 | 192–367 | 192–367 | — | 5–20 | Current work |
| Agave tecta | 39–46 | ≈1.3–1.5 | ≈250–550 | 192–367 | 192–367 | — | 5–20 | Current work |
| Agave mapisaga | 29–47 | ≈1.3–1.5 | ≈250–600 | 192–367 | 192–367 | — | 5–20 | Current work |
Disclaimer/Publisher’s Note: The statements, opinions and data contained in all publications are solely those of the individual author(s) and contributor(s) and not of MDPI and/or the editor(s). MDPI and/or the editor(s) disclaim responsibility for any injury to people or property resulting from any ideas, methods, instructions or products referred to in the content. |
© 2026 by the authors. Licensee MDPI, Basel, Switzerland. This article is an open access article distributed under the terms and conditions of the Creative Commons Attribution (CC BY) license.
Share and Cite
Almohamad, R.; Drean, J.-Y.; Peschel, L.; Harzallah, O. Structural and Mechanical Characterisation of Five Agave Fibres for Sustainable Textile Applications. Fibers 2026, 14, 24. https://doi.org/10.3390/fib14020024
Almohamad R, Drean J-Y, Peschel L, Harzallah O. Structural and Mechanical Characterisation of Five Agave Fibres for Sustainable Textile Applications. Fibers. 2026; 14(2):24. https://doi.org/10.3390/fib14020024
Chicago/Turabian StyleAlmohamad, Ramia, Jean-Yves Drean, Laurence Peschel, and Omar Harzallah. 2026. "Structural and Mechanical Characterisation of Five Agave Fibres for Sustainable Textile Applications" Fibers 14, no. 2: 24. https://doi.org/10.3390/fib14020024
APA StyleAlmohamad, R., Drean, J.-Y., Peschel, L., & Harzallah, O. (2026). Structural and Mechanical Characterisation of Five Agave Fibres for Sustainable Textile Applications. Fibers, 14(2), 24. https://doi.org/10.3390/fib14020024

