Assessing the Role of Recycled Tyre Polymer Fibres (RTPFs) on the Key Hydration Processes Governing Autogenous Shrinkage
Abstract
1. Introduction
2. Materials and Methods
2.1. Materials
2.2. Material Characterisation
2.3. Methodology and Mix Design
2.4. Methods
3. Results
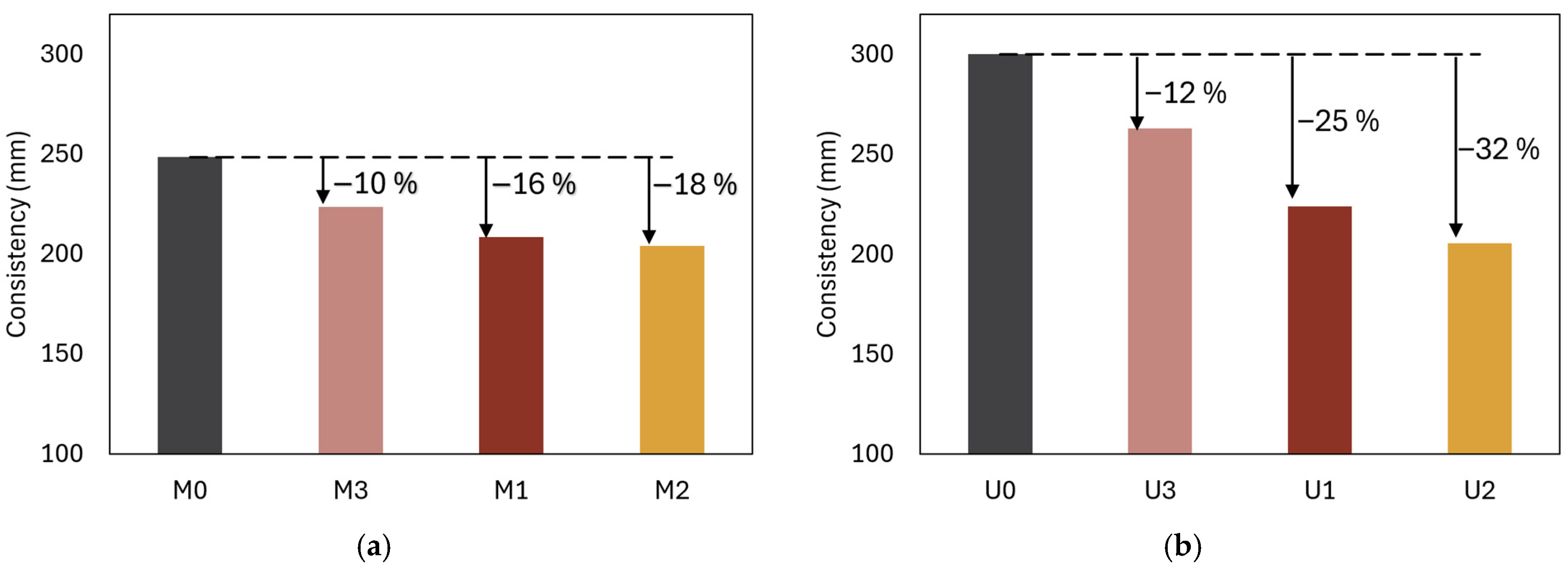
3.1. Workability
3.2. Setting Time
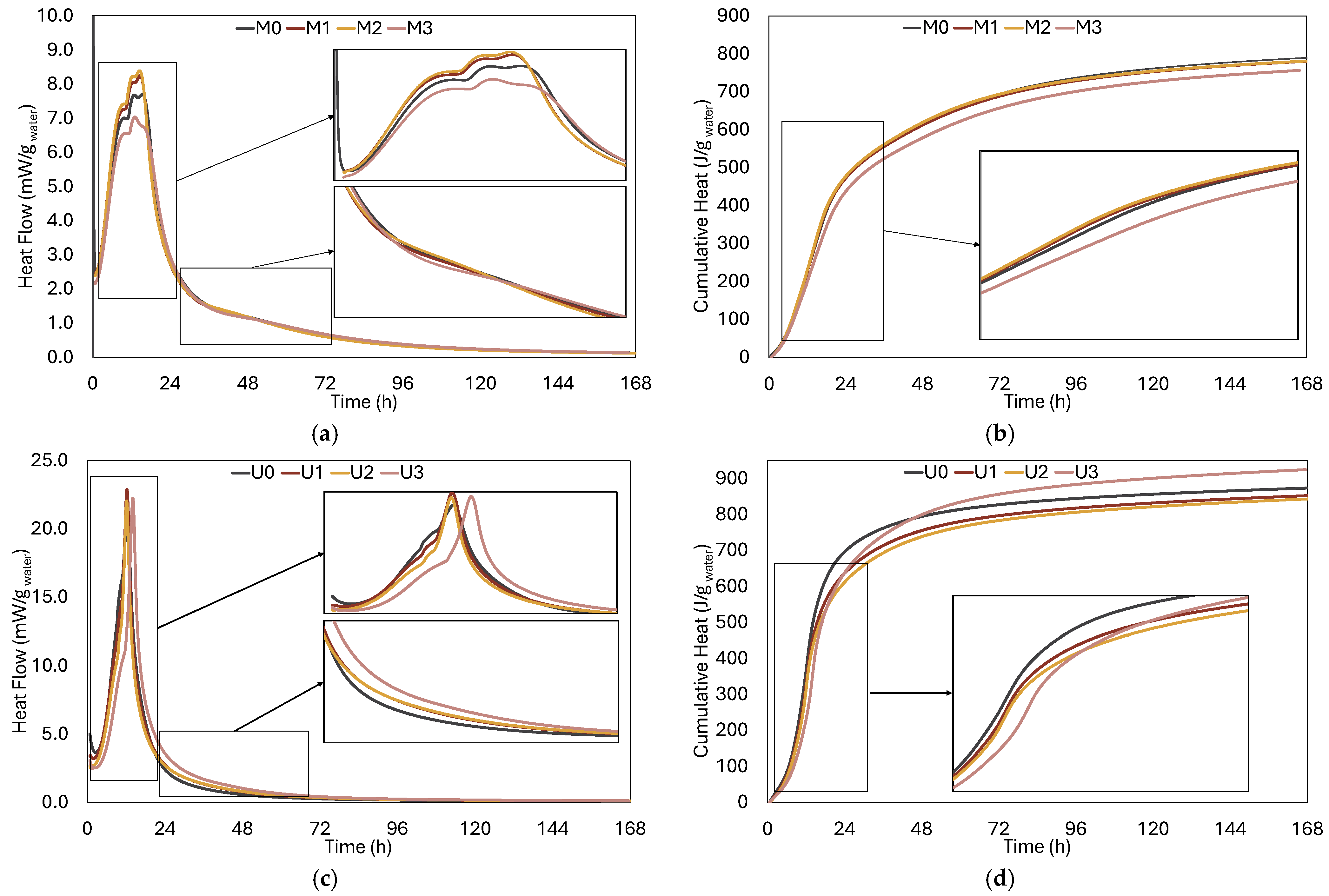
3.3. Heat of Hydration and Degree of Hydration
3.4. Pore Morphology
3.5. Change in Internal Relative Humidity
3.6. Autogenous Shrinkage
3.7. Compressive Strength
4. Discussion
5. Conclusions
- ―
- RTPFs decrease consistency and shorten setting time, by acting as long inclusions that require wetting, and they increase internal fraction, restrict movement, and accelerate network formation. These effects are more pronounced in low-w/c mixtures, where the matrix is stiffer and more sensitive to fibre-induced hindrance.
- ―
- The RTPFs retain a limited amount of water on their surfaces and in fibre bundles, releasing it when strong moisture gradients develop, particularly in low w/c systems. RTPF-containing mixtures maintained higher RH than the reference by up to ~6% after several days.
- ―
- RTPF alters hydration kinetics locally but does not suppress overall hydration. Calorimetry showed modified acceleration peaks and cumulative heat, especially in mixtures with pre-wetted RTPF and additional water. However, DOH values converge towards those of the reference mixtures by 7 days.
- ―
- RTPF inclusion resulted in lower autogenous shrinkage, with the effect being more pronounced in mixtures with lower w/c. By prolonging higher internal RH and modifying pore structure, RTPF lowers the rate and magnitude of autogenous shrinkage. The beneficial effect is strongest when RTPFs are pre-wetted and additional water is supplied by RTPFs, rather than simply added to the mixture.
- ―
- Mixtures with RTPF indicate higher total porosity and coarsen the pore size distribution, particularly for M mixtures. RTPF-related ITZs formed and entrapped air, and increased the volume of coarse pores.
- ―
- Strength reductions are modest—up to ~16% at 28 days for M mixtures and below 10% for U mixtures—and correlate with increased porosity and coarser pores, not with fundamental changes in bulk hydration. All U mixtures still achieve compressive strengths above 100 MPa at 28 days.
Author Contributions
Funding
Data Availability Statement
Acknowledgments
Conflicts of Interest
References
- Official Journal of the European Communities. L182 Directive 1999/31/EC of the Council of 26 April 1999 on the Landfill of Waste; European Union: Brussels, Belgium, 1999; pp. 1–19. [Google Scholar]
- Official Journal of the European Union. L334 Directive 2010/75/EU of the European Parliament and of the Council of 24 November 2010 on Industrial Emissions (Integrated Pollution Prevention and Control); European Union: Brussels, Belgium, 2010; pp. 17–119. [Google Scholar]
- Xiao, Z.; Pramanik, A.; Basak, A.K.; Prakash, C.; Shankar, S. Material recovery and recycling of waste tyres-A review. Clean. Mater. 2022, 5, 100115. [Google Scholar] [CrossRef]
- Astute Analytica Tire Recycling Market: Market Size, Industry Dynamics, Opportunity Analysis and Forecast for 2025–2033. 2025. Available online: https://www.astuteanalytica.com/industry-report/tire-recycling-market (accessed on 3 December 2025).
- Parres, F.; Crespo-Amorós, J.E.; Nadal-Gisbert, A. Characterization of Fibers Obtained from Shredded Tires. J. Appl. Polym. Sci. 2009, 113, 2053–2738. [Google Scholar] [CrossRef]
- Onuaguluchi, O.; Banthia, N. Durability performance of polymeric scrap tire fibers and its reinforced cement mortar. Mater. Struct. Constr. 2017, 50, 158. [Google Scholar] [CrossRef]
- Baričević, A.; Jelčić Rukavina, M.; Pezer, M.; Štirmer, N. Influence of recycled tire polymer fibers on concrete properties. Cem. Concr. Compos. 2018, 91, 29–41. [Google Scholar] [CrossRef]
- Mrduljaš, B.; Baričević, A.; Pucić, I.; Carević, I.; Didulica, K. Alkali resistance of selected waste fibres to model cement environment. Case Stud. Constr. Mater. 2023, 19, e02411. [Google Scholar] [CrossRef]
- Liu, J.; Farzadnia, N.; Shi, C.; Ma, X. Shrinkage and strength development of UHSC incorporating a hybrid system of SAP and SRA. Cem. Concr. Compos. 2019, 97, 175–189. [Google Scholar] [CrossRef]
- Tamashiro, J.R.; Angel de la Rubia, M.; Rubio-Marcos, F.; Rojas-Hernandez, R.E.; Silva, L.H.P.; de Paiva, F.F.G.; Kinoshita, A.; Terrades, A.M. Doping engineering for controlled hydration and mechanical properties in Portland cement mortar with ultra-low ZnO concentration. J. Build. Eng. 2023, 78, 107748. [Google Scholar] [CrossRef]
- Tran, T.Q.; Li, S.; Ji, B.; Zhao, X.; Rahat, M.H.H.; Nguyen, T.N.; Le, B.C.; Zhang, W.; Brand, A.S. Mitigation of zinc and organic carbon leached from end-of-life tire rubber in cementitious composites. Constr. Build. Mater. 2024, 432, 136589. [Google Scholar] [CrossRef]
- Mrduljaš, B.; Mauko Pranjić, A.; Štefančic, M.; Didulica, K.; Baričević, A. Influence of Alkali-resistant Glass Fibers Distribution on Properties of Cementitious Composites. In Durability of Building Materials and Components for Sustainability; Li, K., Fang, D., Eds.; Tsinghua University: Beijing, China, 2023. [Google Scholar]
- Zhong, H.; Chen, M.; Zhang, M. Engineering properties of sustainable engineered cementitious composites with recycled tyre polymer fibres. Constr. Build. Mater. 2023, 370, 130672. [Google Scholar] [CrossRef]
- Chen, M.; Sun, Z.; Tu, W.; Yan, X.; Zhang, M. Behaviour of recycled tyre polymer fibre reinforced concrete at elevated temperatures. Cem. Concr. Compos. 2021, 124, 104257. [Google Scholar] [CrossRef]
- Serdar, M.; Baričević, A.; Jelčić Rukavina, M.; Pezer, M.; Bjegović, D.; Štirmer, N. Shrinkage Behaviour of Fibre Reinforced Concrete with Recycled Tyre Polymer Fibres. Int. J. Polym. Sci. 2015, 2015, 9. [Google Scholar] [CrossRef]
- Baričević, A.; Pezer, M.; Jelčić Rukavina, M.; Serdar, M.; Štirmer, N. Effect of polymer fibers recycled from waste tires on properties of wet-sprayed concrete. Constr. Build. Mater. 2018, 176, 135–144. [Google Scholar] [CrossRef]
- Liu, X.; Feng, P.; Lyu, C.; Ye, S. The role of sulfate ions in tricalcium aluminate hydration: New insights. Cem. Concr. Res. 2020, 130, 105973. [Google Scholar] [CrossRef]
- Mehta, P.K.; Monteiro, P.J.M. Concrete: Structure, Properties and Materials, 4th ed.; McGraw-Hill: Columbus, OH, USA, 1986; Volume 8. [Google Scholar]
- Tran, N.P.; Gunasekara, C.; Law, D.W.; Houshyar, S.; Setunge, S.; Cwirzen, A. A critical review on drying shrinkage mitigation strategies in cement-based materials. J. Build. Eng. 2021, 38, 102210. [Google Scholar] [CrossRef]
- Aïtcin, P.C. Portland Cement; Elsevier Ltd.: Amsterdam, The Netherlands, 2016. [Google Scholar]
- Marchon, D.; Flatt, R.J. Mechanisms of Cement Hydration; Elsevier Ltd.: Amsterdam, The Netherlands, 2016. [Google Scholar]
- Zhang, M.H.; Sisomphon, K.; Ng, T.S.; Sun, D.J. Effect of superplasticizers on workability retention and initial setting time of cement pastes. Constr. Build. Mater. 2010, 24, 1700–1707. [Google Scholar] [CrossRef]
- Von Daake, H.; Stephan, D. Setting of cement with controlled superplasticizer addition monitored by ultrasonic measurements and calorimetry. Cem. Concr. Compos. 2016, 66, 24–37. [Google Scholar] [CrossRef]
- Li, P.; Yu, Q.; Brouwers, H.J. Effect of PCE-type superplasticizer on early-age behaviour of ultra-high performance concrete (UHPC). Constr. Build. Mater. 2017, 153, 740–750. [Google Scholar] [CrossRef]
- Abadassi, M.; El Bitouri, Y.; Azéma, N.; Garcia-Diaz, E. Effect of Excessive Bleeding on the Properties of Cement Mortar. Constr. Mater. 2023, 3, 164–179. [Google Scholar] [CrossRef]
- Eik, M.; Antonova, A.; Puttonen, J. Phase contrast tomography to study near-field effects of polypropylene fibres on hardened cement paste. Cem. Concr. Compos. 2020, 114, 103800. [Google Scholar] [CrossRef]
- Sultangaliyeva, F.; Carré, H.; La Borderie, C.; Zuo, W.; Keita, E.; Roussel, N. Influence of flexible fibers on the yield stress of fresh cement pastes and mortars. Cem. Concr. Res. 2020, 138, 106221. [Google Scholar] [CrossRef]
- He, S.; Li, Z.; Yang, E.H. Quantitative characterization of anisotropic properties of the interfacial transition zone (ITZ) between microfiber and cement paste. Cem. Concr. Res. 2019, 122, 136–146. [Google Scholar] [CrossRef]
- He, S.; Chen, Y.; Liang, M.; Yang, E.H.; Schlangen, E. Distribution of porosity surrounding a microfiber in cement paste. Cem. Concr. Compos. 2023, 142, 105188. [Google Scholar] [CrossRef]
- Lin, C.; Kanstad, T.; Jacobsen, S.; Ji, G. Bonding property between fiber and cementitious matrix: A critical review. Constr. Build. Mater. 2023, 378, 131169. [Google Scholar] [CrossRef]
- Kassimi, F.; Khayat, K.H. Shrinkage of high-performance fiber-reinforced concrete with adapted rheology. Constr. Build. Mater. 2020, 232, 117234. [Google Scholar] [CrossRef]
- Mohajerani, A.; Hui, S.Q.; Mirzababaei, M.; Arulrajah, A.; Horpibulsuk, S.; Kadir, A.A.; Rahman, M.T.; Maghool, F. Amazing types, properties, and applications of fibres in construction materials. Materials 2019, 12, 2513. [Google Scholar] [CrossRef]
- Shen, Y.; Li, Q.; Huang, B.; Liu, X.; Xu, S. Effects of PVA fibers on microstructures and hydration products of cementitious composites with and without fly ash. Constr. Build. Mater. 2022, 360, 129533. [Google Scholar] [CrossRef]
- Machovič, V.; Lapčák, L.; Borecká, L.; Lhotka, M.; Andertová, J.; Kopecký, L.; Mišková, L. Microstructure of interfacial transition zone between PET fibres and cement paste. Acta Geodyn. Geomater. 2013, 10, 121–127. [Google Scholar] [CrossRef]
- Tran, N.P.; Gunasekara, C.; Law, D.W.; Houshyar, S.; Setunge, S. Microstructural characterisation of cementitious composite incorporating polymeric fibre: A comprehensive review. Constr. Build. Mater. 2022, 335, 127497. [Google Scholar] [CrossRef]
- Gamage, N.; Patrisia, Y.; Gunasekara, C.; Law, D.W.; Houshyar, S.; Setunge, S. Shrinkage induced crack control of concrete integrating synthetic textile and natural cellulosic fibres: Comparative review analysis. Constr. Build. Mater. 2024, 427, 136275. [Google Scholar] [CrossRef]
- Pakravan, H.R.; Ozbakkaloglu, T. Synthetic fibers for cementitious composites: A critical and in-depth review of recent advances. Constr. Build. Mater. 2019, 207, 491–518. [Google Scholar] [CrossRef]
- Rostami, R.; Zarrebini, M.; Mandegari, M.; Mostofinejad, D.; Abtahi, S.M. A review on performance of polyester fibers in alkaline and cementitious composites environments. Constr. Build. Mater. 2020, 241, 117998. [Google Scholar] [CrossRef]
- Choi, Y.C. Hydration and internal curing properties of plant-based natural fiber-reinforced cement composites. Case Stud. Constr. Mater. 2022, 17, e01690. [Google Scholar] [CrossRef]
- Zhang, X.X.; Pel, L.; Smeulders, D. Influence of water-soluble leachates from natural fibers on the hydration and microstructure of cement paste studied by nuclear magnetic resonance. Cem. Concr. Res. 2024, 185, 107629. [Google Scholar] [CrossRef]
- Zhang, X.X.; Ji, Y.L.; Pel, L.; Sun, Z.; Smeulders, D. Early-age hydration and shrinkage of cement paste with coir fibers as studied by Nuclear Magnetic Resonance. Constr. Build. Mater. 2022, 336, 127460. [Google Scholar] [CrossRef]
- ASTM C204-18e1; Test Methods for Fineness of Hydraulic Cement by Air-Permeability Apparatus. ASTM International: West Conshohocken, PA, USA, 2018.
- ASTM D2402; Test Method for Water Retention of Textile Fibers (Centrifuge Procedure). ASTM International: West Conshohocken, PA, USA, 2018.
- EN 1015-3:1999/A1:2004; Methods of Test for Mortar for Masonry—Part 3: Determination of Consistence of Fresh Mortar (by Flow Table), Adopted as HRN EN 1015-3:2000/A1:2005. European Committee for Standardization: Brussels, Belgium, 2005.
- EN 196-3:2005; Methods of Testing Cement—Part 3: Determination of Setting Times and Soundness, Adopted as HRN EN 196-3:2009. European Committee for Standardization: Brussels, Belgium, 2009.
- Gwon, S.; Choi, Y.C.; Shin, M. Internal curing of cement composites using kenaf cellulose microfibers. J. Build. Eng. 2022, 47, 103867. [Google Scholar] [CrossRef]
- Hu, J.; Ge, Z.; Wang, K. Influence of cement fineness and water-to-cement ratio on mortar early-age heat of hydration and set times. Constr. Build. Mater. 2014, 50, 657–663. [Google Scholar] [CrossRef]
- Saladi, N.; Montanari, L.; Mohebbi, A.; Cooper, M.A.; Graybeal, B. Assessing the setting behavior of ultra-high performance concrete. Mater. Struct. 2024, 57, 143. [Google Scholar] [CrossRef]
- Linderoth, O.; Wadsö, L.; Jansen, D. Long-term cement hydration studies with isothermal calorimetry. Cem. Concr. Res. 2021, 141, 106344. [Google Scholar] [CrossRef]
- ASTM C1698-19; Standard Test Method for Autogenous Strain of Cement Paste and Mortar. ASTM International: West Conshohocken, PA, USA, 2019.
- EN 1015-11:2019; Methods of Test for Mortar for Masonry—Part 11: Determination of Flexural and Compressive Strength of Hardened Mortar, Adopted as HRN EN 1015-11:2019. European Committee for Standardization: Brussels, Belgium, 2019.
- Zhutovsky, S.; Kovler, K. Effect of internal curing on durability-related properties of high performance concrete. Cem. Concr. Res. 2012, 42, 20–26. [Google Scholar] [CrossRef]
- Wyrzykowski, M.; Lura, P. Effect of relative humidity decrease due to self-desiccation on the hydration kinetics of cement. Cem. Concr. Res. 2016, 85, 75–81. [Google Scholar] [CrossRef]
- Scrivener, K.; Snellings, R.; Lothenbach, B. A Practical Guide to Microstructural Analysis of Cementitious Materials, 1st ed.; Scrivener, K., Snellings, R., Lothenbach, B., Eds.; CRC Press: Boca Raton, FL, USA, 2016. [Google Scholar]
- Moro, F.; Böhni, H. Ink-bottle effect in mercury intrusion porosimetry of cement-based materials. J. Colloid Interface Sci. 2002, 246, 135–149. [Google Scholar] [CrossRef] [PubMed]
- Mohr, B.J.; Hood, K.L. Influence of bleed water reabsorption on cement paste autogenous deformation. Cem. Concr. Res. 2010, 40, 220–225. [Google Scholar] [CrossRef]
- Chen, M.; Chen, W.; Zhong, H.; Chi, D.; Wang, Y.; Zhang, M. Experimental study on dynamic compressive behaviour of recycled tyre polymer fibre reinforced concrete. Cem. Concr. Compos. 2019, 98, 95–112. [Google Scholar] [CrossRef]
- Emdadi, A.; Mehdipour, I.; Libre, N.A.; Shekarchi, M. Optimized workability and mechanical properties of FRCM by using fiber factor approach: Theoretical and experimental study. Mater. Struct. 2015, 48, 1149–1161. [Google Scholar] [CrossRef]
- Grünewald, S. Fibre Reinforcement and the Rheology of Concrete; Roussel, N., Ed.; Woodhead Publishing Limited: Cambridge, UK, 2012. [Google Scholar]
- Khayat, K.H.; Meng, W.; Vallurupalli, K.; Teng, L. Rheological properties of ultra-high-performance concrete—An overview. Cem. Concr. Res. 2019, 124, 105828. [Google Scholar] [CrossRef]
- Xu, L.; Deng, F.; Chi, Y. Nano-mechanical behavior of the interfacial transition zone between steel-polypropylene fiber and cement paste. Constr. Build. Mater. 2017, 145, 619–638. [Google Scholar] [CrossRef]













| Mass % | |||||||||||
|---|---|---|---|---|---|---|---|---|---|---|---|
| P2O5 | Na2O | K2O | CaO | MgO | Al2O3 | TiO2 | Fe2O3 | SiO2 | MnO2 | SO3 | LOI |
| 0.16 | 0.30 | 0.86 | 64.50 | 1.20 | 4.97 | 0.10 | 2.47 | 20.03 | 0.08 | 1.89 | 3.40 |
| ID | RTPF | w/c |
|---|---|---|
| M0/U0 | - | 0.40/0.22 |
| M1/U1 | RTPFd | 0.40/0.22 |
| M2/U2 | RTPFw | 0.40/0.22 |
| M3/U3 | RTPFw | 0.42/0.24 |
| Test | Standard | Specimen | No. of Samples |
|---|---|---|---|
| Consistency | EN 1015-3 [44] | - | 1 |
| Setting time | EN 196-3 [45] | Φ/h = 60–70/40 mm | 2 |
| Relative Humidity | - | Φ/h = 45/40 mm | 2 |
| Isothermal calorimetry | - | glass ampoules | 8 |
| Mercury intrusion porosimetry | - | ~2.5 g | 2 |
| Autogenous shrinkage | ASTM C1698 [50] | Φ/h = 29/420 mm | 3 |
| Compressive strength | EN 1015-11 [51] | 40/40/160 mm | 3 |
| Scanning electron microscope | - | Φ = 25 mm | 1 |
| Method | M0 | M1 | M2 | M3 | U0 | U1 | U2 | U3 | |
|---|---|---|---|---|---|---|---|---|---|
| Vicat apparatus | IST (min) | 332.1 | 271.7 | 283.6 | 309.2 | 247.7 | 132.6 | 152.5 | 187.6 |
| FST (min) | 453.1 | 380.6 | 368.3 | 434.3 | 323.5 | 281.4 | 226.6 | 344.7 | |
| Isothermal Calorimetry | IST (min) | 283.2 | 280.6 | 282.0 | 288.2 | 435.9 | 427.8 | 418.2 | 505.0 |
| FST (min) | 593.2 | 584.3 | 589.8 | 607.7 | 742.6 | 733.5 | 728.1 | 843.3 | |
| Porosity (%) | 1 Day | 3 Days | 7 Days |
|---|---|---|---|
| M0 | 26.26 | 21.53 | 18.51 |
| M1 | 21.15 | 28.82 | 21.79 |
| M2 | 23.56 | 20.12 | 20.14 |
| M3 | 26.51 | 24.74 | 21.53 |
| U0 | 13.24 | 11.09 | 9.92 |
| U1 | 14.03 | 11.89 | 10.87 |
| U2 | 13.45 | 13.17 | 13.67 |
| U3 | 14.38 | 12.38 | 11.82 |
| Mixture ID | Compressive Strength (MPa) | |||
|---|---|---|---|---|
| 24 h | 72 h | 168 h | 28 Days | |
| M0 | 25.7 ± 1.1 | 55.8 ± 1.2 | 58.9 ± 2.0 | 69.3 ± 1.3 |
| M1 | 16.6 ± 0.8 | 39.1 ± 0.9 | 47.0 ± 0.4 | 58.2 ± 1.3 |
| M2 | 26.5 ± 0.3 | 49.7 ± 0.6 | 59.9 ± 1.8 | 64.8 ± 3.4 |
| M3 | 27.5 ± 0.7 | 51.2 ± 0.9 | 57.6 ± 1.1 | 65.8 ± 0.5 |
| U0 | 72.4 ± 0.3 | 81.1 ± 1.2 | 93.8 ± 3.2 | 116.2 ± 2.4 |
| U1 | 72.4 ± 0.7 | 82.0 ± 1.9 | 91.7 ± 2.6 | 108.1 ± 3.4 |
| U2 | 72.5 ± 2.5 | 81.5 ± 1.0 | 90.2 ± 0.9 | 109.4 ± 2.2 |
| U3 | 65.6 ± 0.7 | 81.7 ± 2.9 | 92.7 ± 1.7 | 104.6 ± 2.3 |
Disclaimer/Publisher’s Note: The statements, opinions and data contained in all publications are solely those of the individual author(s) and contributor(s) and not of MDPI and/or the editor(s). MDPI and/or the editor(s) disclaim responsibility for any injury to people or property resulting from any ideas, methods, instructions or products referred to in the content. |
© 2025 by the authors. Licensee MDPI, Basel, Switzerland. This article is an open access article distributed under the terms and conditions of the Creative Commons Attribution (CC BY) license (https://creativecommons.org/licenses/by/4.0/).
Share and Cite
Didulica, K.; Baričević, A.; Zalar Serjun, V. Assessing the Role of Recycled Tyre Polymer Fibres (RTPFs) on the Key Hydration Processes Governing Autogenous Shrinkage. Fibers 2025, 13, 165. https://doi.org/10.3390/fib13120165
Didulica K, Baričević A, Zalar Serjun V. Assessing the Role of Recycled Tyre Polymer Fibres (RTPFs) on the Key Hydration Processes Governing Autogenous Shrinkage. Fibers. 2025; 13(12):165. https://doi.org/10.3390/fib13120165
Chicago/Turabian StyleDidulica, Katarina, Ana Baričević, and Vesna Zalar Serjun. 2025. "Assessing the Role of Recycled Tyre Polymer Fibres (RTPFs) on the Key Hydration Processes Governing Autogenous Shrinkage" Fibers 13, no. 12: 165. https://doi.org/10.3390/fib13120165
APA StyleDidulica, K., Baričević, A., & Zalar Serjun, V. (2025). Assessing the Role of Recycled Tyre Polymer Fibres (RTPFs) on the Key Hydration Processes Governing Autogenous Shrinkage. Fibers, 13(12), 165. https://doi.org/10.3390/fib13120165

