Algorithm for Solving a System of Coupled Nonlinear Schrödinger Equations by the Split-Step Method to Describe the Evolution of a High-Power Femtosecond Optical Pulse in an Optical Polarization Maintaining Fiber
Abstract
1. Introduction
2. System GNLSE for Single-Mode Polarization-Maintaining Optical Fiber
3. Solution of CNLSE by Using the SSFM
4. Algorithm for the Execution of the Linear Operator SSFM
5. Known Algorithms for Executing the Nonlinear SSFM Operator
6. The New Algorithm for Calculating the Nonlinear Operator of the SSFM for Solving a System of Coupled GNLSE
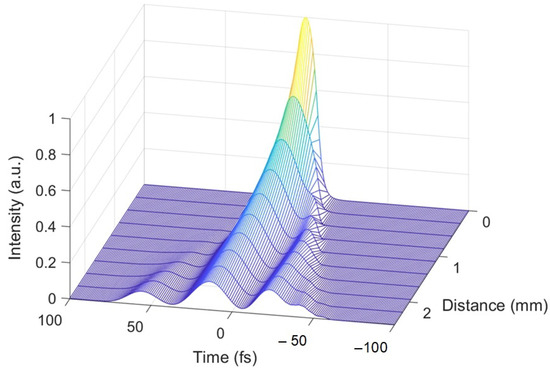
7. Results of Simulation of the Propagation of a High-Power Femtosecond Optical Pulse in a Single-Mode Polarization-Maintaining Optical Fiber
8. Compare Simulation Results with Experimental Data
9. Conclusions
Author Contributions
Funding
Institutional Review Board Statement
Informed Consent Statement
Data Availability Statement
Conflicts of Interest
References
- Anscombe, N. Femtosecond Future. Nat. Photon 2010, 4, 158. [Google Scholar] [CrossRef]
- Sibbett, W.; Lagatsky, A.A.; Brown, C.T.A. The Development and Application of Femtosecond Laser Systems. Opt. Express OE 2012, 20, 6989–7001. [Google Scholar] [CrossRef] [PubMed]
- Sugioka, K. Progress in Ultrafast Laser Processing and Future Prospects. Nanophotonics 2017, 6, 393–413. [Google Scholar] [CrossRef]
- Li, B.; Zhang, D.; Liu, J.; Tian, Y.; Gao, Q.; Li, Z. A Review of Femtosecond Laser-Induced Emission Techniques for Combustion and Flow Field Diagnostics. Appl. Sci. 2019, 9, 1906. [Google Scholar] [CrossRef]
- Debord, B.; Gérôme, F.; Paul, P.-M.; Husakou, A.; Benabid, F. 2.6 MJ Energy and 81 GW Peak Power Femtosecond Laser-Pulse Delivery and Spectral Broadening in Inhibited Coupling Kagome Fiber. In Proceedings of the 2015 Conference on Lasers and Electro-Optics (CLEO), San Jose, CA, USA, 10–15 May 2015; pp. 1–2. [Google Scholar]
- Fu, W.; Wright, L.G.; Wise, F.W. High-Power Femtosecond Pulses without a Modelocked Laser. Optica 2017, 4, 831–834. [Google Scholar] [CrossRef] [PubMed]
- Chung, H.-Y.; Liu, W.; Cao, Q.; Song, L.; Kärtner, F.X.; Chang, G. Megawatt Peak Power Tunable Femtosecond Source Based on Self-Phase Modulation Enabled Spectral Selection. Opt. Express 2018, 26, 3684–3695. [Google Scholar] [CrossRef]
- Larson, A.M.; Yeh, A.T. Delivery of Sub-10-Fs Pulses for Nonlinear Optical Microscopy by Polarization-Maintaining Single Mode Optical Fiber. Opt. Express 2008, 16, 14723–14730. [Google Scholar] [CrossRef]
- Le, T.; Tempea, G.; Cheng, Z.; Hofer, M.; Stingl, A. Routes to Fiber Delivery of Ultra-Short Laser Pulses in the 25 Fs Regime. Opt. Express 2009, 17, 1240–1247. [Google Scholar] [CrossRef]
- Michieletto, M.; Lyngsø, J.K.; Jakobsen, C.; Lægsgaard, J.; Bang, O.; Alkeskjold, T.T. Hollow-Core Fibers for High Power Pulse Delivery. Opt. Express 2016, 24, 7103–7119. [Google Scholar] [CrossRef]
- Kodama, Y.; Hasegawa, A. Nonlinear Pulse Propagation in a Monomode Dielectric Guide. IEEE J. Quantum Electron. 1987, 23, 510–524. [Google Scholar] [CrossRef]
- Boyd, R.W. Nonlinear Optics, 3rd ed.; Academic Press: Amsterdam, The Netherlands; Boston, MA, USA, 2008; ISBN 978-0-12-369470-6. [Google Scholar]
- Agrawal, G.P. Nonlinear Fiber Optics, 5th ed.; Elsevier: Amsterdam, The Netherlands; Academic Press: Cambridge, MA, USA, 2013; ISBN 978-0-12-397023-7. [Google Scholar]
- Marcuse, D.; Manyuk, C.R.; Wai, P.K.A. Application of the Manakov-PMD Equation to Studies of Signal Propagation in Optical Fibers with Randomly Varying Birefringence. J. Lightwave Technol. 1997, 15, 1735–1746. [Google Scholar] [CrossRef]
- Kalithasan, B.; Nakkeeran, K.; Porsezian, K.; Dinda, P.T.; Mariyappa, N. Ultra-Short Pulse Propagation in Birefringent Fibers—the Projection Operator Method. J. Opt. A Pure Appl. Opt. 2008, 10, 085102. [Google Scholar] [CrossRef]
- Mumtaz, S.; Essiambre, R.-J.; Agrawal, G.P. Nonlinear Propagation in Multimode and Multicore Fibers: Generalization of the Manakov Equations. J. Lightwave Technol. 2013, 31, 398–406. [Google Scholar] [CrossRef]
- Fedoruk, M.P.; Sidelnikov, O.S. Algorithms for Numerical Simulation of Optical Communication Links Based on Multimode Fiber. Comput. Technol. 2015, 20, 105–119. [Google Scholar]
- Wang, T. Maximum Norm Error Bound of a Linearized Difference Scheme for a Coupled Nonlinear Schrödinger Equations. J. Comput. Appl. Math. 2011, 235, 4237–4250. [Google Scholar] [CrossRef]
- Wang, D.; Xiao, A.; Yang, W. A Linearly Implicit Conservative Difference Scheme for the Space Fractional Coupled Nonlinear Schrödinger Equations. J. Comput. Phys. 2014, 272, 644–655. [Google Scholar] [CrossRef]
- Dehghan, M.; Taleei, A. A Chebyshev Pseudospectral Multidomain Method for the Soliton Solution of Coupled Nonlinear Schrödinger Equations. Comput. Phys. Commun. 2011, 182, 2519–2529. [Google Scholar] [CrossRef]
- Dehghan, M.; Abbaszadeh, M.; Mohebbi, A. Numerical Solution of System of N–Coupled Nonlinear Schrödinger Equations via Two Variants of the Meshless Local Petrov–Galerkin (MLPG) Method. Comput. Model. Eng. Sci. 2014, 100, 399–444. [Google Scholar]
- Sakhabutdinov, A.Z.; Anfinogentov, V.I.; Morozov, O.G.; Burdin, V.A.; Bourdine, A.V.; Gabdulkhakov, I.M.; Kuznetsov, A.A. Original Solution of Coupled Nonlinear Schrödinger Equations for Simulation of Ultrashort Optical Pulse Propagation in a Birefringent Fiber. Fibers 2020, 8, 34. [Google Scholar] [CrossRef]
- Sakhabutdinov, A.Z.; Anfinogentov, V.I.; Morozov, O.G.; Burdin, V.A.; Bourdine, A.V.; Kuznetsov, A.A.; Ivanov, D.V.; Ivanov, V.A.; Ryabova, M.I.; Ovchinnikov, V.V. Numerical Method for Coupled Nonlinear Schrödinger Equations in Few-Mode Fiber. Fibers 2021, 9, 1. [Google Scholar] [CrossRef]
- Chen, Y.; Zhu, H.; Song, S. Multi-Symplectic Splitting Method for the Coupled Nonlinear Schrodinger Equation. Comput. Phys. Commun. 2010, 181, 1231–1241. [Google Scholar] [CrossRef]
- Ma, Y.; Kong, L.; Hong, J.; Cao, Y. High-Order Compact Splitting Multisymplectic Method for the Coupled Nonlinear Schrödinger Equations. Comput. Math. Appl. 2011, 61, 319–333. [Google Scholar] [CrossRef]
- Taha, T.R.; Xu, X. Parallel Split-Step Fourier Methods for the Coupled Nonlinear Schrödinger Type Equations. J. Supercomput. 2005, 32, 5–23. [Google Scholar] [CrossRef]
- Wang, S.; Wang, T.; Zhang, L. Numerical Computations for N-Coupled Nonlinear Schrödinger Equations by Split Step Spectral Methods. Appl. Math. Comput. 2013, 222, 438–452. [Google Scholar] [CrossRef]
- Weideman, J.a.C.; Herbst, B.M. Split-Step Methods for the Solution of the Nonlinear Schrödinger Equation. SIAM J. Numer. Anal. 1986, 23, 485–507. [Google Scholar] [CrossRef]
- Sinkin, O.V.; Holzlohner, R.; Zweck, J.; Menyuk, C.R. Optimization of the Split-Step Fourier Method in Modeling Optical-Fiber Communications Systems. J. Lightwave Technol. 2003, 21, 61–68. [Google Scholar] [CrossRef]
- Strang, G. On the Construction and Comparison of Difference Schemes. SIAM J. Numer. Anal. 1968, 5, 506–517. [Google Scholar] [CrossRef]
- Long, V.C.; Viet, H.N.; Trippenbach, M.; Xuan, K.D. Propagation Technique for Ultrashort Pulses II: Numerical Methods to Solve the Pulse Propagation Equation. Comput. Methods Sci. Technol. 2008, 14, 13–19. [Google Scholar] [CrossRef]
- Xu, X.; Taha, T. Parallel Split-Step Fourier Methods for Nonlinear Schrödinger-Type Equations. J. Math. Model. Algorithms 2003, 2, 185–201. [Google Scholar] [CrossRef]
- Taha, T.R.; Ablowitz, M.I. Analytical and Numerical Aspects of Certain Nonlinear Evolution Equations. II. Numerical, Nonlinear Schrödinger Equation. J. Comput. Phys. 1984, 55, 203–230. [Google Scholar] [CrossRef]
- Zhukov, V.P.; Bulgakova, N.M.; Fedoruk, M.P. Nonlinear Maxwell’s and Schrödinger Equations for Describing the Volumetric Interaction of Femtosecond Laser Pulses with Transparent Solid Dielectrics: Effect of the Boundary Conditions. J. Opt. Technol. 2017, 84, 439–446. [Google Scholar] [CrossRef]
- Kogelnik, H. Ultrashort Pulse Propagation in Optical Fibers. In New Directions in Guided Wave and Coherent Optics; Ostrowsky, D.B., Spitz, E., Eds.; NATO ASI Series; Springer: Dordrecht, The Netherlands, 1984; pp. 43–60. ISBN 978-94-010-9550-1. [Google Scholar]
- Mamyshev, P.V.; Chernikov, S.V. Ultrashort-Pulse Propagation in Optical Fibers. Opt. Lett. 1990, 15, 1076–1078. [Google Scholar] [CrossRef] [PubMed]
- Lægsgaard, J. Mode Profile Dispersion in the Generalized Nonlinear Schrödinger Equation. Opt. Express 2007, 15, 16110–16123. [Google Scholar] [CrossRef]
- Trofimov, V.A.; Stepanenko, S.; Razgulin, A. Conservation Laws of Femtosecond Pulse Propagation Described by Generalized Nonlinear Schrödinger Equation with Cubic Nonlinearity. Math. Comput. Simul. 2021, 182, 366–396. [Google Scholar] [CrossRef]
- Copie, F.; Randoux, S.; Suret, P. The Physics of the One-Dimensional Nonlinear Schrödinger Equation in Fiber Optics: Rogue Waves, Modulation Instability and Self-Focusing Phenomena. Rev. Phys. 2020, 5, 100037. [Google Scholar] [CrossRef]
- Kozlov, S.A.; Sazonov, S.V. Nonlinear Propagation of Optical Pulses of a Few Oscillations Duration in Dielectric Media. J. Exp. Theor. Phys. 1997, 84, 221–228. [Google Scholar] [CrossRef]
- Maimistov, A.I. Some Models of Propagation of Extremely Short Electromagnetic Pulses in a Nonlinear Medium. Quantum Electron. 2000, 30, 287–304. [Google Scholar] [CrossRef]
- Schäfer, T.; Wayne, C.E. Propagation of Ultra-Short Optical Pulses in Cubic Nonlinear Media. Physica D Nonlinear Phenom. 2004, 196, 90–105. [Google Scholar] [CrossRef]
- Bespalov, V.G.; Kozlov, S.A.; Shpolyanskiy, Y.A.; Walmsley, I.A. Simplified Field Wave Equations for the Nonlinear Propagation of Extremely Short Light Pulses. Phys. Rev. A 2002, 66, 013811. [Google Scholar] [CrossRef]
- Leblond, H.; Mihalache, D. Few-Optical-Cycle Solitons: Modified Korteweg-de Vries Sine-Gordon Equation versus Other Non--Slowly-Varying-Envelope-Approximation Models. Phys. Rev. A 2009, 79, 063835. [Google Scholar] [CrossRef]
- Amiranashvili, S.; Vladimirov, A.G.; Bandelow, U. A Model Equation for Ultrashort Optical Pulses around the Zero Dispersion Frequency. Eur. Phys. J. D 2010, 58, 219–226. [Google Scholar] [CrossRef]
- Akamine, Y.; Doan, H.D.; Fushinobu, K. Finite-Difference Time Domain Analysis of Ultrashort Pulse Laser Light Propagation under Nonlinear Coupling. J. Therm. Sci. Technol. 2013, 8, 225–239. [Google Scholar] [CrossRef]
- Paasonen, V.I.; Fedoruk, M.P. Kompaktnaya dissipativnaya skhema dlya nelinejnogo uravneniya Shredingera. Comp. Tech. 2011, 16, 68–73. [Google Scholar]
- Zayed, E.M.E.; Alurrfi, K.A.E. The G′G,1G-Expansion Method and Its Applications to Two Nonlinear Schrödinger Equations Describing the Propagation of Femtosecond Pulses in Nonlinear Optical Fibers. Optik 2016, 127, 1581–1589. [Google Scholar] [CrossRef]
- Zayed, E.M.; Amer, Y.A. Many Exact Solutions for a Higher-Order Nonlinear Schrödinger Equation with Non-Kerr Terms Describing the Propagation of Femtosecond Optical Pulses in Nonlinear Optical Fibers. Comput. Math. Model. 2017, 28, 118–139. [Google Scholar] [CrossRef]
- Karpik, P.A. Investigation of differnece schemes for solving the nonlinear shrodinger equation. Vestnik SSUGT. 2019, 24, 198–219. [Google Scholar] [CrossRef]
- Amiranashvili, S.; Čiegis, R.; Radziunas, M. Numerical Methods for a Class of Generalized Nonlinear Schrödinger Equations. Kinet. Relat. Models 2015, 8, 215–234. [Google Scholar] [CrossRef]
- Burdin, V.A.; Bourdine, A.V. Simulation results of optical pulse nonlinear few-mode propagation over optical fiber. Appl. Photonics 2016, 3, 309–320. [Google Scholar] [CrossRef]
- Burdin, V.A.; Bourdine, A.V. Simulation of an ultrashort optical pulse propagation in a polarization-maintaining optical fiber. Appl. Photonics 2019, 6, 93–108. [Google Scholar]
- Deiterding, R.; Glowinski, R.; Oliver, H.; Poole, S. A Reliable Split-Step Fourier Method for the Propagation Equation of Ultra-Fast Pulses in Single-Mode Optical Fibers. J. Lightwave Technol. 2013, 31, 2008–2017. [Google Scholar] [CrossRef]
- Deiterding, R.; Poole, S.W. Robust Split-Step Fourier Methods for Simulating the Propagation of Ultra-Short Pulses in Single- and Two-Mode Optical Communication Fibers. In Splitting Methods in Communication, Imaging, Science, and Engineering; Glowinski, R., Osher, S.J., Yin, W., Eds.; Scientific Computation; Springer International Publishing: Cham, Switzerland, 2016; pp. 603–625. ISBN 978-3-319-41587-1. [Google Scholar]
- Wallstrom, T.C. On the Initial-Value Problem for the Madelung Hydrodynamic Equations. Phys. Lett. A 1994, 184, 229–233. [Google Scholar] [CrossRef]
- Espíndola-Ramos, E.; Silva-Ortigoza, G.; Sosa-Sánchez, C.T.; Julián-Macías, I.; González-Juárez, A.; de Jesús Cabrera-Rosas, O.; Ortega-Vidals, P.; Rickenstorff-Parrao, C.; Silva-Ortigoza, R. Classical Characterization of Quantum Waves: Comparison between the Caustic and the Zeros of the Madelung-Bohm Potential. J. Opt. Soc. Am. A 2021, 38, 303–312. [Google Scholar] [CrossRef] [PubMed]
- Chengsi, L. Least Square Method Based on Relative Error. Sci. Direct Work. 2001. Available online: https://papers.ssrn.com/sol3/papers.cfm?abstract_id=3153628 (accessed on 8 December 2021).
- Tofallis, C. Least Squares Percentage Regression. J. Mod. Appl. Stat. Methods 2009, 7, 2–12. [Google Scholar] [CrossRef]
- Karasawa, N.; Nakamura, S.; Morita, R.; Shigekawa, H.; Yamashita, M. Comparison between Theory and Experiment of Nonlinear Propagation for 4.5-Cycle Optical Pulses in a Fused-Silica Fiber. Mol. Cryst. Liq. Cryst. Sci. Technol. Sect. B Nonlinear Opt. 2000, 24, 133–135. [Google Scholar]
- Nakamura, S.; Li, L.; Karasawa, N.; Morita, R.; Shigekawa, H.; Yamashita, M. Measurements of Third-Order Dispersion Effects for Generation of High-Repetition-Rate, Sub-Three-Cycle Transform-Limited Pulses from a Glass Fiber. Jpn. J. Appl. Phys. 2002, 41, 1369–1373. [Google Scholar] [CrossRef][Green Version]
- Nakamura, S.; Koyamada, Y.; Yoshida, N.; Karasawa, N.; Sone, H.; Ohtani, M.; Mizuta, Y.; Morita, R.; Shigekawa, H.; Yamashita, M. Finite-Difference Time-Domain Calculation with All Parameters of Sellmeier’s Fitting Equation for 12-Fs Laser Pulse Propagation in a Silica Fiber. IEEE Photonics Technol. Lett. 2002, 14, 480–482. [Google Scholar] [CrossRef][Green Version]
- Nakamura, S.; Saeki, T.; Koyamada, Y. Observation of Slowly Varying Envelope Approximation Breakdown by Comparison between the Extended Finite-Difference Time-Domain Method and the Beam Propagation Method for Ultrashort-Laser-Pulse Propagation in a Silica Fiber. Jpn. J. Appl. Phys. 2004, 43, 7015–7025. [Google Scholar] [CrossRef]
- Nakamura, S.; Takasawa, N.; Koyamada, Y. Comparison Between Finite-Difference Time-Domain Calculation With All Parameters of Sellmeier’s Fitting Equation and Experimental Results for Slightly Chirped 12-Fs Laser Pulse Propagation in a Silica Fiber. J. Lightwave Technol. 2005, 23, 855–863. [Google Scholar] [CrossRef]
- Nakamura, S.; Takasawa, N.; Koyamada, Y.; Sone, H.; Xu, L.; Morita, R.; Yamashita, M. Extended Finite Difference Time Domain Analysis of Induced Phase Modulation and Four-Wave Mixing between Two-Color Femtosecond Laser Pulses in a Silica Fiber with Different Initial Delays. Jpn. J. Appl. Phys. 2005, 44, 7453–7459. [Google Scholar] [CrossRef]
- Nakamura, S. Comparison between Finite-Difference Time-Domain Method and Experimental Results for Femtosecond Laser Pulse Propagation; IntechOpen: London, UK, 2010; ISBN 978-953-307-242-5. [Google Scholar]
- F-SPV Polarization Maintaining Fiber. Available online: https://www.newport.com/p/F-SPV (accessed on 25 April 2021).
- Liu, Q.D.; Shi, L.; Ho, P.P.; Alfano, R.R.; Essiambre, R.-J.; Agrawal, G.P. Degenerate-Cross-Phase Modulation of Femtosecond Laser Pulses in a Birefringent Single-Mode Optical Fiber. IEEE Photonics Technol. Lett. 1997, 9, 1107–1109. [Google Scholar] [CrossRef]
- Okamoto, K.; Hosaka, T. Polarization-Dependent Chromatic Dispersion in Birefringent Optical Fibers. Opt. Lett. 1987, 12, 290–292. [Google Scholar] [CrossRef] [PubMed]
- Betts, R.A.; Tjugiarto, T.; Xue, Y.L.; Chu, P.L. Nonlinear Refractive Index in Erbium Doped Optical Fiber: Theory and Experiment. IEEE J. Quantum Electron. 1991, 27, 908–913. [Google Scholar] [CrossRef]
- Milam, D. Review and Assessment of Measured Values of the Nonlinear Refractive-Index Coefficient of Fused Silica. Appl. Opt. 1998, 37, 546–550. [Google Scholar] [CrossRef]
- Kuis, R.; Johnson, A.; Trivedi, S. Measurement of the Effective Nonlinear and Dispersion Coefficients in Optical Fibers by the Induced Grating Autocorrelation Technique. Opt. Express 2011, 19, 1755–1766. [Google Scholar] [CrossRef] [PubMed]
- Atieh, A.K.; Myslinski, P.; Chrostowski, J.; Galko, P. Measuring the Raman Time Constant (T/Sub R/) for Soliton Pulses in Standard Single-Mode Fiber. J. Lightwave Technol. 1999, 17, 216–221. [Google Scholar] [CrossRef]
- Snyder, A.W.; Love, J.D. Optical Waveguide Theory; Science paperbacks; Chapman and Hall: London, UK; New York, NY, USA, 1983; ISBN 978-0-412-09950-2. [Google Scholar]
- Burdin, V.A. Algorithm for Estimation of Material Dispersion of Fused Silica Glass Optical Fibers. Proc. SPIE 2015, 9533, 95330J. [Google Scholar]
- Wada, A.; Okude, S.; Sakai, T.; Yamauchi, R. Geo2 concentration dependence of nonlinear refractive index coefficients of silica-based optical fibers. Electron. Commun. Jpn. (Part I Commun.) 1996, 79, 12–19. [Google Scholar] [CrossRef]






| No | Parameter | Value |
|---|---|---|
| 1 | Index Profile | Step |
| 2 | Operating Wavelength | 633–780 nm |
| 3 | Cladding Diameter | 125 ± 1 μm |
| 4 | Coating Diameter | 245 ± 15 μm |
| 5 | Numerical Aperture | 0.14–0.18 |
| 6 | Fiber Type | Bow-Tie Polarization Maintaining Singlemode |
| 7 | Mode Field Diameter, Nominal | 2.8–3.7 µm @633 nm |
| 8 | Maximum Attenuation | ≤15 dB/km |
| 9 | Beat length | ≤2 mm |
| 10 | Cut-off Wavelength | 500–600 nm |
Publisher’s Note: MDPI stays neutral with regard to jurisdictional claims in published maps and institutional affiliations. |
© 2022 by the authors. Licensee MDPI, Basel, Switzerland. This article is an open access article distributed under the terms and conditions of the Creative Commons Attribution (CC BY) license (https://creativecommons.org/licenses/by/4.0/).
Share and Cite
Bourdine, A.V.; Burdin, V.A.; Morozov, O.G. Algorithm for Solving a System of Coupled Nonlinear Schrödinger Equations by the Split-Step Method to Describe the Evolution of a High-Power Femtosecond Optical Pulse in an Optical Polarization Maintaining Fiber. Fibers 2022, 10, 22. https://doi.org/10.3390/fib10030022
Bourdine AV, Burdin VA, Morozov OG. Algorithm for Solving a System of Coupled Nonlinear Schrödinger Equations by the Split-Step Method to Describe the Evolution of a High-Power Femtosecond Optical Pulse in an Optical Polarization Maintaining Fiber. Fibers. 2022; 10(3):22. https://doi.org/10.3390/fib10030022
Chicago/Turabian StyleBourdine, Anton V., Vladimir A. Burdin, and Oleg G. Morozov. 2022. "Algorithm for Solving a System of Coupled Nonlinear Schrödinger Equations by the Split-Step Method to Describe the Evolution of a High-Power Femtosecond Optical Pulse in an Optical Polarization Maintaining Fiber" Fibers 10, no. 3: 22. https://doi.org/10.3390/fib10030022
APA StyleBourdine, A. V., Burdin, V. A., & Morozov, O. G. (2022). Algorithm for Solving a System of Coupled Nonlinear Schrödinger Equations by the Split-Step Method to Describe the Evolution of a High-Power Femtosecond Optical Pulse in an Optical Polarization Maintaining Fiber. Fibers, 10(3), 22. https://doi.org/10.3390/fib10030022

