Physico-Mechanical and Antibacterial Properties of PLA/TiO2 Composite Materials Synthesized via Electrospinning and Solution Casting Processes
Abstract
1. Introduction
2. Materials and Methods
2.1. Materials
2.2. Electrospinning
2.3. Solution Casting
2.4. Morphological Characterization
2.5. Film Density Measurement
2.6. FTIR Analysis
2.7. Tensile Properties
2.8. Measurement of Water Solubility
2.9. WVP Measurement
2.10. Contact Angle Measurement
2.11. Light Transmittance and Opacity Measurements
2.12. Antimicrobial Test
3. Results and Discussions
3.1. Morphological Characteristics of PLA/TiO2 Nanofibers and PLA/TiO2 Films
3.2. Film Density
3.3. Contact Angle
3.4. FTIR Study
3.5. Water Solubility
3.6. Water Vapor Permeability
3.7. Light Transmittance and Opacity
3.8. Mechanical Properties
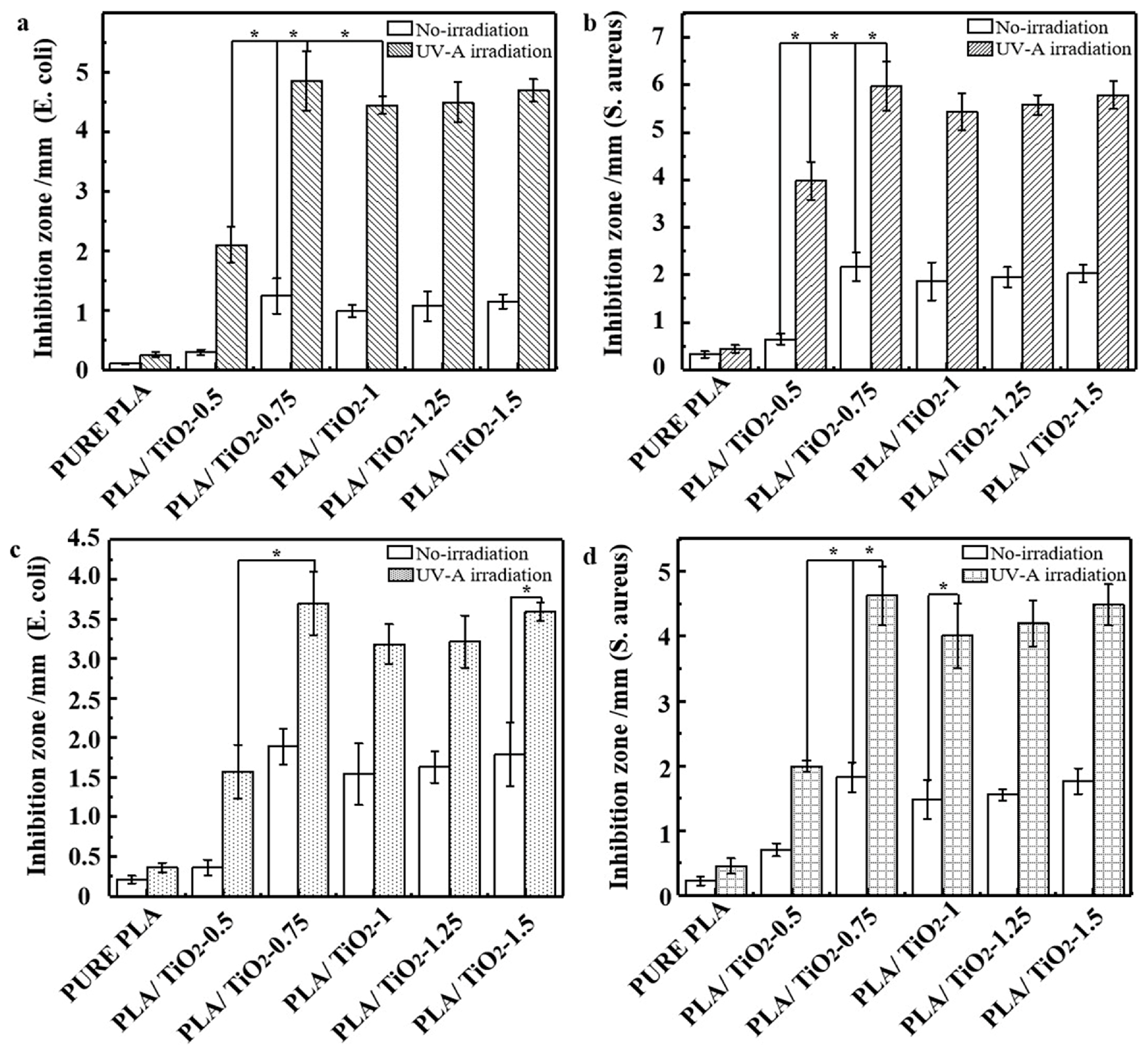
3.9. Antibacterial Property
4. Conclusions
Author Contributions
Funding
Conflicts of Interest
References
- Elsawy, M.A.; Kim, K.H.; Park, J.W.; Deep, A. Hydrolytic degradation of polylactic acid (PLA) and its composites. Renew. Sustain. Energy Rev. 2017, 79, 1346–1352. [Google Scholar] [CrossRef]
- Karamanlioglu, M.; Robson, G.D. The influence of biotic and abiotic factors on the rate of degradation of poly(lactic) acid (PLA) coupons buried in compost and soil. Polym. Degrad. Stab. 2013, 98, 2063–2071. [Google Scholar] [CrossRef]
- Rudnik, E.; Briassoulis, D.; Deep, A. Degradation behaviour of poly(lactic acid) films and fibres in soil under Mediterranean field conditions and laboratory simulations testing. Ind. Crop. Prod. 2011, 33, 648–658. [Google Scholar] [CrossRef]
- Chen, Y.; Zhao, H.; Wu, Y.; Huang, X.; Wang, L.; Guo, B. Effects of proton irradiation on structures and photo-catalytic property of nano-TiO2/CNTs films. Radiat. Phys. Chem. 2018, 153, 79–85. [Google Scholar] [CrossRef]
- Fonseca, C.; Ochoa, A.; Ulloa, M.T.; Alvarez, E.; Canales, D.; Zapata, P.A. Poly (lactic acid)/TiO2 nanocomposites as alternative biocidal and antifungal materials. Mater. Sci. Eng. C Mater. Biol. Appl. 2015, 57, 314–320. [Google Scholar] [CrossRef] [PubMed]
- Alizadeh Sani, M.; Ehsani, A.; Hashemi, M. Whey protein isolate/cellulose nanofiber/TiO2 nanoparticle/rosemary essential oil nanocomposite film: Its effect on microbial and sensory quality of lamb meat and growth of common foodborne pathogenic bacteria during refrigeration. Int. J. Food Microbiol. 2017, 251, 8–14. [Google Scholar] [CrossRef] [PubMed]
- Gumiero, M.; Peressini, D.; Pizzariello, A.; Sensidoni, A.; Iacumin, L.; Comi, G.; Toniolo, R. Effect of TiO2 photocatalytic activity in a HDPE-based food packaging on the structural and microbiological stability of a short-ripened cheese. Food Chem. 2013, 138, 1633–1640. [Google Scholar] [CrossRef]
- Toniatto, T.V.; Rodrigues, B.V.M.; Marsi, T.C.O.; Ricci, R.; Marciano, F.R.; Webster, T.J.; Lobo, A.O. Nanostructured poly (lactic acid) electrospun fiber with high loadings of TiO2 nanoparticles: Insights into bactericidal activity and cell viability. Mater. Sci. Eng. C Mater. Biol. Appl. 2017, 71, 381–385. [Google Scholar] [CrossRef]
- Xie, J.; Hung, Y.C. UV-A activated TiO2 embedded biodegradable polymer film for antimicrobial food packaging application. LWT 2018, 96, 307–314. [Google Scholar] [CrossRef]
- Xing, Y.; Li, X.; Zhang, L.; Xu, Q.; Che, Z.; Li, W.; Bai, Y.; Li, K. Effect of TiO2 nanoparticles on the antibacterial and physical properties of polyethylene-based film. Prog. Org. Coat. 2012, 73, 219–224. [Google Scholar] [CrossRef]
- Tunc, S.; Angellier, H.; Cahyana, Y.; Chalier, P.; Gontard, N.; Gastaldi, E. Functional properties of wheat gluten/montmorillonite nanocomposite films processed by casting. J. Membr. Sci. 2007, 289, 159–168. [Google Scholar] [CrossRef]
- Oleyaei, S.A.; Almasi, H.; Ghanbarzadeh, B.; Moayedi, A.A. Synergistic reinforcing effect of TiO2 and montmorillonite on potato starch nanocomposite films: Thermal, mechanical and barrier properties. Carbohydr. Polym. 2016, 152, 253–262. [Google Scholar] [CrossRef] [PubMed]
- Kouchak, M.; Ameri, A.; Naseri, B.; Boldaji, S.K. Chitosan and polyvinyl alcohol composite films containing nitrofurazone: Preparation and evaluation. Iran. J. Basic Med. Sci. 2014, 17, 14–20. [Google Scholar] [PubMed]
- Khanzadi, M.; Jafari, S.M.; Mirzaei, H.; Chegini, F.K.; Maghsoudlou, Y.; Dehnad, D. Physical and mechanical properties in biodegradable films of whey protein concentrate–pullulan by application of beeswax. Carbohydr. Polym. 2015, 118, 24–29. [Google Scholar] [CrossRef] [PubMed]
- Li, Y.; Jiang, Y.; Liu, F.; Ren, F.; Zhao, G.; Leng, X. Fabrication and characterization of TiO2/whey protein isolate nanocomposite film. Food Hydrocoll. 2011, 25, 1098–1104. [Google Scholar] [CrossRef]
- Kadam, D.M.; Thunga, M.; Wang, S.; Kessler, M.R.; Grewell, D.; Lamsal, B.; Yu, C. Preparation and characterization of whey protein isolate films reinforced with porous silica coated titania nanoparticles. J. Food Eng. 2013, 117, 133–140. [Google Scholar] [CrossRef]
- Lian, Z.; Zhang, Y.; Zhao, Y. Nano-TiO2 particles and high hydrostatic pressure treatment for improving functionality of polyvinyl alcohol and chitosan composite films and nano-TiO2 migration from film matrix in food simulants. Innov. Food Sci. Emerg. 2016, 33, 145–153. [Google Scholar] [CrossRef]
- Zhang, X.; Xiao, G.; Wang, Y.; Zhao, Y.; Su, H.; Tan, T. Preparation of chitosan-TiO2 composite film with efficient antimicrobial activities under visible light for food packaging applications. Carbohydr. Polym. 2017, 169, 101–107. [Google Scholar] [CrossRef]
- Salarbashi, D.; Tafaghodi, M.; Bazzaz, B.S.F. Soluble soybean polysaccharide/TiO2 bionanocomposite film for food application. Carbohydr. Polym. 2018, 186, 384–393. [Google Scholar] [CrossRef]
- Alippilakkotte, S.; Kumar, S.; Sreejith, L. Fabrication of PLA/Ag nanofibers by green synthesis method using Momordica charantia fruit extract for wound dressing applications. Colloid. Surf. A Physicochem. Eng. Asp. 2017, 529, 771–782. [Google Scholar] [CrossRef]
- Youssef, A.M.; Assem, F.M.; Abdel-Aziz, M.E.; Elaaser, M.; Ibrahim, O.A.; Mahmoud, M.; Abd El-Salam, M.H. Development of bionanocomposite materials and its use in coating of Ras cheese. Food Chem. 2019, 270, 467–475. [Google Scholar] [CrossRef]
- Qu, Y.; Wang, W.; Jing, L.; Song, S.; Shi, X.; Xue, L.; Fu, H. Surface modification of nanocrystalline anatase with CTAB in the acidic condition and its effects on photocatalytic activity and preferential growth of TiO2. Appl. Surf. Sci. 2010, 257, 151–156. [Google Scholar] [CrossRef]
- Deka, B.K.; Maji, T.K. Effect of TiO2 and nanoclay on the properties of wood polymer nanocomposite. Compos. Part A Appl. S 2011, 42, 2117–2125. [Google Scholar] [CrossRef]
- Tongnuanchan, P.; Benjakul, S.; Prodpran, T. Structural, morphological and thermal behaviour characterisations of fish gelatin film incorporated with basil and citronella essential oils as affected by surfactants. Food Hydrocoll. 2014, 41, 33–43. [Google Scholar] [CrossRef]
- Mallakpour, S.; Barati, A. Efficient preparation of hybrid nanocomposite coatings based on poly (vinyl alcohol) and silane coupling agent modified TiO2 nanoparticles. Prog. Org. coat. 2011, 71, 391–398. [Google Scholar] [CrossRef]
- Alemdar, A.; Sain, M. Biocomposites from wheat straw nanofibers: Morphology, thermal and mechanical properties. Compos. Sci. Technol. 2008, 68, 557–565. [Google Scholar] [CrossRef]
- Li, Y.; Chen, C.; Li, J.; Sun, X.S. Synthesis and characterization of bionanocomposites of poly (lactic acid) and TiO2 nanowires by in situ polymerization. Polymer 2011, 52, 2367–2375. [Google Scholar] [CrossRef]
- Oleyaei, S.A.; Zahedi, Y.; Ghanbarzadeh, B.; Moayedi, A.A. Modification of physicochemical and thermal properties of starch films by incorporation of TiO2 nanoparticles. Int. J. Biol. Macromol. 2016, 89, 256–264. [Google Scholar] [CrossRef]
- Toledo, L.; Racine, L.; Pérez, V.; Henríquez, J.P.; Auzely-Velty, R.; Urbano, B.F. Physical nanocomposite hydrogels filled with low concentrations of TiO2 nanoparticles: Swelling, networks parameters and cell retention studies. Mater. Sci. Eng. C 2018, 92, 769–778. [Google Scholar] [CrossRef]
- Alizadeh-Sani, M.; Khezerlou, A.; Ehsani, A. Fabrication and characterization of the bionanocomposite film based on whey protein biopolymer loaded with TiO2 nanoparticles, cellulose nanofibers and rosemary essential oil. Ind. Crop. Prod. 2018, 124, 300–315. [Google Scholar] [CrossRef]
- Qu, L.; Chen, G.; Dong, S.; Huo, Y.; Yin, Z.; Chen, S.C.Y. Improved mechanical and antimicrobial properties of zein/chitosan films by adding highly dispersed nano-TiO2. Ind. Crop. Prod. 2019, 130, 450–458. [Google Scholar] [CrossRef]
- Vejdan, A.; Ojagh, S.M.; Adeli, A.; Abdollahi, M. Effect of TiO2 nanoparticles on the physico-mechanical and ultraviolet light barrier properties of fish gelatin/agar bilayer film. LWT 2016, 71, 88–95. [Google Scholar] [CrossRef]
- Roilo, D.; Maestri, C.A.; Scarpa, M.; Bettotti, P.; Checchetto, R. Gas barrier and optical properties of cellulose nanofiber coatings with dispersed TiO2 nanoparticles. Surf. Coat. Technol. 2018, 343, 131–137. [Google Scholar] [CrossRef]
- Goudarzi, V.; Shahabi-Ghahfarrokhi, I.; Babaei-Ghazvini, A. Preparation of ecofriendly UV-protective food packaging material by starch/TiO2 bio-nanocomposite: Characterization. Int. J. Biol. Macromol. 2017, 95, 306–313. [Google Scholar] [CrossRef]
- El-Wakil, N.A.; Hassan, E.A.; Abou-Zeid, R.E.; Dufresne, A. Development of wheat gluten/nanocellulose/titanium dioxide nanocomposites for active food packaging. Carbohydr. Polym. 2015, 124, 337–346. [Google Scholar] [CrossRef]
- Baek, N.; Kim, Y.T.; Marcy, J.E.; Duncan, S.E.; O’Keefe, S.F. Physical properties of nanocomposite polylactic acid films prepared with oleic acid modified titanium dioxide. Food Packag. Shelf. 2018, 17, 30–38. [Google Scholar] [CrossRef]
- He, Q.; Zhang, Y.; Cai, X.; Wang, S. Fabrication of gelatin-TiO2 nanocomposite film and its structural, antibacterial and physical properties. Int. J. Biol. Macromol. 2016, 84, 153–160. [Google Scholar] [CrossRef]
- Athanasoulia, I.G.; Mikropoulou, M.; Karapati, S.; Tarantili, P.; Trapalis, C. Study of thermomechanical and antibacterial properties of TiO2/Poly(lactic acid) nanocomposites. Mater. Today Proc. 2018, 5, 27553–27562. [Google Scholar] [CrossRef]
- Sadeghi, K.; Shahedi, M. Physical, mechanical, and antimicrobial properties of ethylene vinyl alcohol copolymer/chitosan/nano-ZnO (ECNZn) nanocomposite films incorporating glycerol plasticizer. J. Food Meas. Charact. 2015, 10, 137–147. [Google Scholar] [CrossRef]
- Habiba, U.; Lee, J.J.L.; Joo, T.C.; Ang, B.C.; Afifi, A.M. Degradation of methyl orange and congo red by using chitosan/polyvinyl alcohol/TiO2 electrospun nanofibrous membrane. Int. J. Biol. Macromol. 2019, 131, 821–827. [Google Scholar] [CrossRef]
- Shaili, T.; Abdorreza, M.N.; Fariborz, N. Functional, thermal, and antimicrobial properties of soluble soybean polysaccharide biocomposites reinforced by nano TiO2. Carbohydr. Polym. 2015, 134, 726–731. [Google Scholar] [CrossRef]
- Wu, X.; Liu, Y.; Wang, W.; Han, Y.; Liu, A. Improved mechanical and thermal properties of gelatin films using a nano inorganic filler. J. Food Proc. Eng. 2017, 40, 450–458. [Google Scholar] [CrossRef]
- Li, S.; Zhao, S.; Qiang, S.; Chen, G.; Chen, Y.; Chen, Y. A novel zein/poly (propylene carbonate)/nano-TiO2 composite films with enhanced photocatalytic and antibacterial activity. Proc. Biochem. 2018, 70, 198–205. [Google Scholar] [CrossRef]








| Sample/Density (g/cm3) | Nanofiber | Film |
|---|---|---|
| PURE PLA | 0.98 ± 0.03 a | 1.01 ± 0.04 b |
| PLA/TiO2-0.5 | 0.64 ± 0.08 b | 0.73 ± 0.03 a |
| PLA/TiO2-0.75 | 0.30 ± 0.07 c | 0.33 ± 0.01 b |
| PLA/TiO2-1 | 0.28 ± 0.04 d | 0.27 ± 0.01 c |
| PLA/TiO2-1.25 | 0.36 ± 0.03 c | 0.43 ± 0.02 a |
| PLA/TiO2-1.5 | 0.39 ± 0.09 b | 0.55 ± 0.03 d |
| Sample/Water Solubility (%) | Nanofiber | Film |
|---|---|---|
| PURE PLA | 1.12 ± 0.3 a | 1.08 ± 0.2 b |
| PLA/TiO2-0.5 | 9.57 ± 0.8 b | 4.82 ± 0.4 a |
| PLA/TiO2-0.75 | 15.63 ± 0.7 c | 9.46 ± 0.6 b |
| PLA/TiO2-1 | 34.09 ± 1.4 d | 19.29 ± 0.9 c |
| PLA/TiO2-1.25 | 16.87 ± 1.3 c | 10.14 ± 0.3 a |
| PLA/TiO2-1.5 | 8.80 ± 0.9 b | 5.05 ± 0.2 d |
| Fiber | UVC (240 nm) | UVB (300 nm) | UVA (360 nm) |
|---|---|---|---|
| PURE PLA | 24.91 ± 1.90 a | 19.83 ± 2.00 c | 19.46 ± 1.22 c |
| PLA/TiO2-0.5 | 21.63 ± 2.28 a | 19.26 ± 1.90 c | 19.07 ± 1.29 c |
| PLA/TiO2-0.75 | 23.66 ± 1.83 a | 22.01 ± 2.55 a | 22.09 ± 2.90 a |
| PLA/TiO2-1 | 29.64 ± 0.91 b | 28.45 ± 1.92 b | 28.16 ± 3.08 b |
| PLA/TiO2-1.25 | 17.17 ± 1.63 c | 16.16 ± 1.76 d | 16.12 ± 2.30 d |
| PLA/TiO2-1.5 | 16.69 ± 0.58 c | 15.91 ± 1.92 c | 14.58 ± 2.57 c |
| Film | UVC (240 nm) | UVB (300 nm) | UVA (360 nm) |
|---|---|---|---|
| PURE PLA | 32.4 ± 2.15 a | 46.86 ± 0.60 a | 59.92 ± 0.70 a |
| PLA/TiO2-0.5 | 0.30 ± 0.05 b | 0.44 ± 0.06 c | 66.31 ± 11.2 a |
| PLA/TiO2-0.75 | 0.81 ± 0.06 b | 1.90 ± 0.01 b | 61.27 ± 4.10 a |
| PLA/TiO2-1 | 0.25 ± 0.01 b | 0.25 ± 0.65 c | 69.88 ± 1.65 a |
| PLA/TiO2-1.25 | 0.20 ± 0.01 b | 0.19 ± 0.05 c | 62.34 ± 3.05 a |
| PLA/TiO2-1.5 | 0.18 ± 0.04 c | 0.17 ± 0.03 c | 60.78 ± 2.31 c |
| Membrane | (a) Nanofibers | (b) Films | ||
|---|---|---|---|---|
| Visible (600 nm) (%) | Opacity | Visible (600 nm) (%) | Opacity | |
| PURE PLA | 0.96±0.02 a | 18.83 ± 2.01 a | 66.5 ± 2.20 a | 3.10 ± 0.35 a |
| PLA/TiO2-0.5 | 0.48 ± 0.05 b | 19.93 ± 0.94 a | 0.67 ± 0.71 b | 15.57 ± 0.36 a |
| PLA/TiO2-0.75 | 0.46 ± 0.03 b | 22.26 ± 0.90 b | 3.05 ± 0.01 b | 8.94 ± 0.059 b |
| PLA/TiO2-1 | 0.46 ± 0.01 b | 30.09 ± 2.01 c | 0.54 ± 0.06 b | 17.46 ± 0.38 c |
| PLA/TiO2-1.25 | 0.44 ± 0.02 b | 17.59 ± 1.00 a | 0.44 ± 0.05 b | 14.13 ± 0.29 a |
| PLA/TiO2-1.5 | 0.43 ± 0.01 b | 17.68 ± 0.43 a | 0.32 ± 0.02 b | 12.38 ± 0.20 a |
© 2019 by the authors. Licensee MDPI, Basel, Switzerland. This article is an open access article distributed under the terms and conditions of the Creative Commons Attribution (CC BY) license (http://creativecommons.org/licenses/by/4.0/).
Share and Cite
Feng, S.; Zhang, F.; Ahmed, S.; Liu, Y. Physico-Mechanical and Antibacterial Properties of PLA/TiO2 Composite Materials Synthesized via Electrospinning and Solution Casting Processes. Coatings 2019, 9, 525. https://doi.org/10.3390/coatings9080525
Feng S, Zhang F, Ahmed S, Liu Y. Physico-Mechanical and Antibacterial Properties of PLA/TiO2 Composite Materials Synthesized via Electrospinning and Solution Casting Processes. Coatings. 2019; 9(8):525. https://doi.org/10.3390/coatings9080525
Chicago/Turabian StyleFeng, Shiyi, Feng Zhang, Saeed Ahmed, and Yaowen Liu. 2019. "Physico-Mechanical and Antibacterial Properties of PLA/TiO2 Composite Materials Synthesized via Electrospinning and Solution Casting Processes" Coatings 9, no. 8: 525. https://doi.org/10.3390/coatings9080525
APA StyleFeng, S., Zhang, F., Ahmed, S., & Liu, Y. (2019). Physico-Mechanical and Antibacterial Properties of PLA/TiO2 Composite Materials Synthesized via Electrospinning and Solution Casting Processes. Coatings, 9(8), 525. https://doi.org/10.3390/coatings9080525
