Manufacturing and Assessment of Electrospun PVP/TEOS Microfibres for Adsorptive Heat Transformers
Abstract
1. Introduction
2. Materials and Methods
2.1. Electrospinning of Hybrid Microfibres
2.2. Microfibres Characterization
3. Results and Discussion
3.1. Microfibres Morphological Characterization
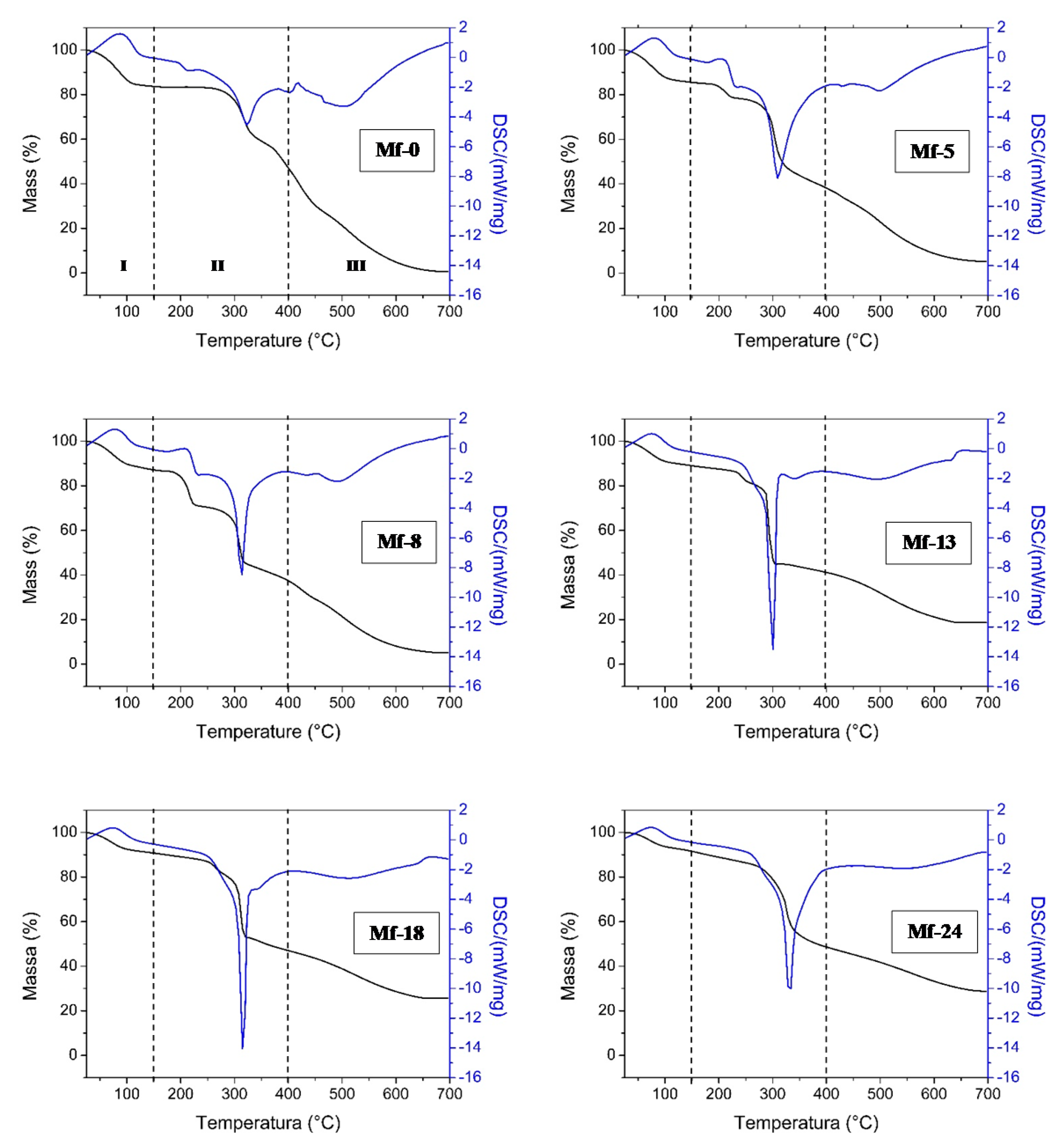
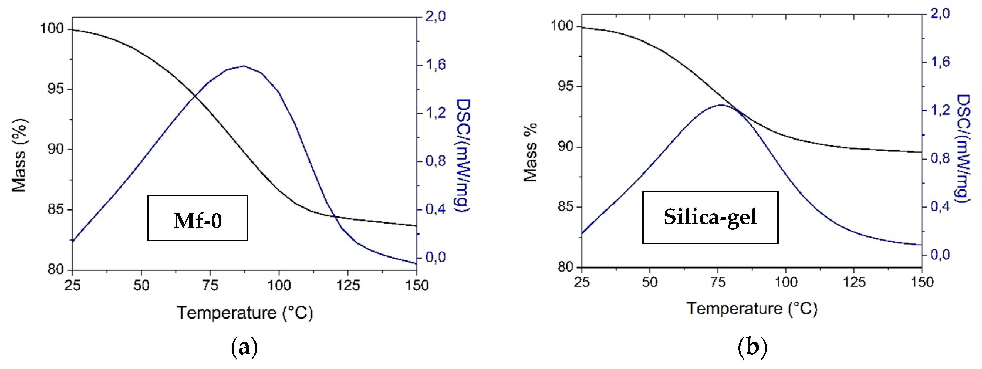
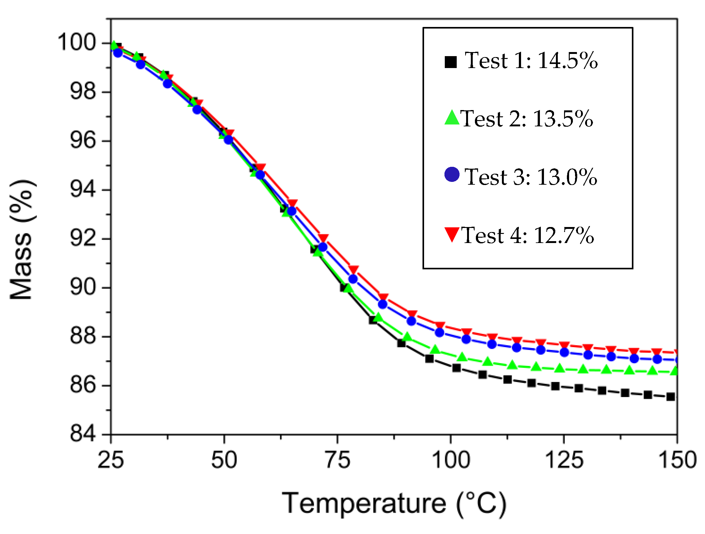
3.2. Microfibres Thermal Characterization
4. Conclusions
Author Contributions
Funding
Acknowledgments
Conflicts of Interest
References
- Li, D.; Xia, Y.; Li, B.D.; Xia, Y. Electrospinning of nanofibers: Reinventing the wheel? Adv. Mater. 2004, 16, 1151–1170. [Google Scholar] [CrossRef]
- Teo, W.E.; Ramakrishna, S. A review on electrospinning design and nanofibre assemblies. Nanotechnology 2006, 17, 89–106. [Google Scholar] [CrossRef] [PubMed]
- Bhardwaj, N.; Kundu, S.C. Electrospinning: A fascinating fiber fabrication technique. Biotechnol. Adv. 2010, 28, 325–347. [Google Scholar] [CrossRef] [PubMed]
- Angammana, C.J.; Jayaram, S.H. Fundamentals of electrospinning and processing technologies. Part. Sci. Technol. 2016, 34, 72–82. [Google Scholar] [CrossRef]
- Leach, M.K.; Feng, Z.; Tuck, S.J.; Corey, J.M. Electrospinning fundamentals: Optimizing solution and apparatus parameters. J. Vis. Exp. 2011, 47, 1–5. [Google Scholar] [CrossRef] [PubMed]
- Keun Kwon, I.; Kidoaki, S.; Matsuda, T. Electrospun nano- to microfiber fabrics made of biodegradable copolyesters: Structural characteristics, mechanical properties and cell adhesion potential. Biomaterials 2005, 26, 3929–3939. [Google Scholar] [CrossRef] [PubMed]
- Ke, P.; Jiao, X.-N.; Ge, X.-H.; Xiao, W.-M.; Yu, B. From macro to micro: Structural biomimetic materials by electrospinning. RSC Adv. 2014, 4, 39704–39724. [Google Scholar] [CrossRef]
- Kara, H.; Xiao, F.; Sarker, M.; Jin, T.Z.; Sousa, A.M.M.; Liu, C. Bio-based packaging. J. Appl. Polym. Sci. 2016, 133, 42475–42483. [Google Scholar]
- Chakraborty, A.; Leong, K.C.; Thu, K.; Saha, B.B.; Ng, K.C.; Leong, C. Theoretical insight of adsorption cooling. Appl. Phys. Lett. 2011, 98, 2–4. [Google Scholar] [CrossRef]
- Santori, G.; Luberti, M. Thermodynamics of thermally-driven adsorption compression. Sustain. Mater. Technol. 2016, 10, 1–9. [Google Scholar] [CrossRef]
- Ge, T.S.; Wang, R.Z.; Xu, Z.Y.; Pan, Q.W.; Du, S.; Chen, X.M. Solar heating and cooling: Present and future development. Renew. Energy 2018, 126, 1126–1140. [Google Scholar] [CrossRef]
- Meunier, F. Solid sorption heat powered cycles for cooling and heat pumping applications. Appl. Therm. Eng. 1998, 18, 715–729. [Google Scholar] [CrossRef]
- Cacciola, G.; Restuccia, G. Reversible adsorption heat pump: A thermodynamic model. Int. J. Refrig. 1995, 18, 100–106. [Google Scholar] [CrossRef]
- Flanigen, E.M. Molecular sieve zeolite technology-the first twenty-five years. Pure Appl. Chem. 1980, 52, 2191–2211. [Google Scholar] [CrossRef]
- Castillo, J.M.; Silvestre-Albero, J.; Rodriguez-Reinoso, F.; Vlugt, T.J.H.; Calero, S. Water adsorption in hydrophilic zeolites: Experiment and simulation. Phys. Chem. Chem. Phys. 2013, 15, 17374–17382. [Google Scholar] [CrossRef]
- Srivastava, N.C.; Eames, I.W. A review of adsorbents and adsorbates in solid–vapour adsorption heat pump systems. Appl. Therm. Eng. 1998, 18, 707–714. [Google Scholar] [CrossRef]
- Bonaccorsi, L.; Calabrese, L.; Proverbio, E. Low temperature single-step synthesis of zeolite y coatings on aluminium substrates. Microporous Mesoporous Mater. 2011, 144, 40–45. [Google Scholar] [CrossRef]
- Janchen, J.; Stach, H.; Ja, J. Shaping adsorption properties of nano-porous molecular sieves for solar thermal energy storage and heat pump applications. Sol. Energy 2013, 104, 16–18. [Google Scholar] [CrossRef]
- Kohler, T.; Hinze, M.; Müller, K.; Schwieger, W. Temperature independent description of water adsorption on zeotypes showing a type V adsorption isotherm. Energy 2017, 135, 227–236. [Google Scholar] [CrossRef]
- Ammann, J.M.; Michel, B.; Ruch, P.W. Characterization of transport limitations in SAPO-34 adsorbent coatings for adsorption heat pumps. Int. J. Heat Mass Transf. 2019, 129, 18–27. [Google Scholar] [CrossRef]
- Henninger, S.K.; Jeremias, F.; Kummer, H.; Janiak, C. MOFs for use in adsorption heat pump processes. Eur. J. Inorg. Chem. 2012, 2012, 2625–2634. [Google Scholar] [CrossRef]
- Yu, N.; Wang, R.Z.; Wang, L.W. Sorption thermal storage for solar energy. Prog. Energy Combust. Sci. 2013, 39, 489–514. [Google Scholar] [CrossRef]
- Saha, B.B.; Uddin, K.; Pal, A.; Thu, K. Emerging sorption pairs for heat pump applications: An overview. JMST Adv. 2019, 4, 1–20. [Google Scholar] [CrossRef]
- Goldsworthy, M.J. Measurements of water vapour sorption isotherms for RD silica gel, AQSOA-Z01, AQSOA-Z02, AQSOA-Z05 and CECA zeolite 3A. Microporous Mesoporous Mater. 2014, 196, 59–67. [Google Scholar] [CrossRef]
- Demir, H.; Mobedi, M.; Ulku, S. A review on adsorption heat pump: Problems and solutions. Renew. Sustain. Energy Rev. 2008, 12, 2381–2403. [Google Scholar] [CrossRef]
- Aristov, Y.I. Optimal adsorbent for adsorptive heat transformers: Dynamic considerations. Int. J. Refrig. 2009, 32, 675–686. [Google Scholar] [CrossRef]
- Sapienza, A.; Gullì, G.; Calabrese, L.; Palomba, V.; Frazzica, A.; Brancato, V. An innovative adsorptive chiller prototype based on 3 hybrid coated/granular adsorbers. Appl. Energy 2016, 179, 929–938. [Google Scholar] [CrossRef]
- Bendix, P.; Füldner, G.; Möllers, M.; Kummer, H.; Schnabel, L.; Henninger, S. Optimization of power density and metal-to-adsorbent weight ratio in coated adsorbers for adsorptive heat transformation applications. Appl. Therm. Eng. 2017, 124, 83–90. [Google Scholar] [CrossRef]
- Tatlier, M.; Erdem-Senatalar, A. Effects of metal mass on the performance of adsorption heat pumps utilizing zeolite 4A coatings synthesized on heat exchanger tubes. Int. J. Refrig. 2000, 23, 260–266. [Google Scholar] [CrossRef]
- Schnabel, L.; Tatlier, M.; Schmidt, F.; Erdem-Şenatalar, A. Adsorption kinetics of zeolite coatings directly crystallized on metal supports for heat pump applications (adsorption kinetics of zeolite coatings). Appl. Therm. Eng. 2010, 30, 1409–1416. [Google Scholar] [CrossRef]
- Henninger, S.K.; Ernst, S.-J.J.; Gordeeva, L.; Bendix, P.; Fröhlich, D.; Grekova, A.D. New materials for adsorption heat transformation and storage. Renew. Energy 2017, 110, 59–68. [Google Scholar] [CrossRef]
- Bonaccorsi, L.; Proverbio, E.; Freni, A.; Restuccia, G. In situ growth of zeolites on metal foamed supports for adsorption heat pumps. J. Chem. Eng. Jpn. 2007, 40, 1307–1312. [Google Scholar] [CrossRef]
- Wittstadt, U.; Füldner, G.; Laurenz, E.; Warlo, A.; Große, A.; Herrmann, R. A novel adsorption module with fiber heat exchangers: Performance analysis based on driving temperature differences. Renew. Energy 2016, 110, 154–161. [Google Scholar] [CrossRef]
- Calabrese, L.; Bonaccorsi, L.; Freni, A.; Proverbio, E. Silicone composite foams for adsorption heat pump applications. Sustain. Mater. Technol. 2017, 12, 27–34. [Google Scholar] [CrossRef]
- Malara, A.; Frontera, P.; Bonaccorsi, L.; Antonucci, P.L. Hybrid zeolite SAPO-34 fibres made by electrospinning. Materials 2018, 11, 2555. [Google Scholar] [CrossRef] [PubMed]
- Peniche, C.; Zaldívar, D.; Pazos, M.; Páz, S.; Bulay, A.; Román, J.S. Study of the thermal degradation of poly(N-vinyl-2-pyrrolidone) by thermogravimetry–FTIR. J. Appl. Polym. Sci. 1993, 50, 485–493. [Google Scholar] [CrossRef]
- Loría-Bastarrachea, M.I.; Herrera-Kao, W.; Cauich-Rodríguez, J.V.; Cervantes-Uc, J.M.; Vázquez-Torres, H.; Ávila-Ortega, A. A TG/FTIR study on the thermal degradation of poly(vinyl pyrrolidone). J. Therm. Anal. Calorim. 2011, 104, 737–742. [Google Scholar] [CrossRef]
- Chuangchote, S.; Sagawa, T.; Yoshikawa, S. Electrospinning of poly(vinyl pyrrolidone): Effects of solvents on electrospinnability for the fabrication of poly(p-phenylene vinylene) and TiO2 nanofibers. J. Appl. Polym. Sci. 2009, 114, 2777–2791. [Google Scholar] [CrossRef]
- Huang, S.; Zhou, L.; Li, M.C.; Wu, Q.; Kojima, Y.; Zhou, D. Preparation and properties of electrospun poly (vinyl pyrrolidone)/cellulose nanocrystal/silver nanoparticle composite fibers. Materials 2016, 9, 523. [Google Scholar] [CrossRef]
- Teo, W.-E.; Inai, R.; Ramakrishna, S. Technological advances in electrospinning of nanofibers. Sci. Technol. Adv. Mater. 2011, 12, 19. [Google Scholar] [CrossRef]
- Jiang, F.; Dai, L.; Yao, Y. Polyamide 6-LiCl nanofibrous membrane as low-temperature regenerative desiccant with improved stability. Nanotechnology 2018, 29, 2–9. [Google Scholar] [CrossRef] [PubMed]
- Huang, Z.M.; Zhang, Y.Z.; Kotaki, M.; Ramakrishna, S. A review on polymer nanofibers by electrospinning and their applications in nanocomposites. Compos. Sci. Technol. 2003, 63, 2223–2253. [Google Scholar] [CrossRef]
- Hotaling, N.A.; Bharti, K.; Kriel, H.; Simon, C.G. DiameterJ: A validated open source nanofiber diameter measurement tool. Biomaterials 2015, 61, 327–338. [Google Scholar] [CrossRef] [PubMed]
- Shin, Y.M.M.; Hohman, M.M.M.; Brenner, M.P.P.; Rutledge, G.C.C. Experimental characterization of electrospinning: The electrically forced jet and instabilities. Polymer 2001, 42, 09955–09967. [Google Scholar] [CrossRef]
- Chalaev, D.M.; Aristov, Y. Assessment of the operation of a low-temperature adsorption refrigerator. Therm. Eng. 2006, 53, 240–244. [Google Scholar] [CrossRef]
- Da, Z.L.; Zhang, Q.Q.; Wu, D.M.; Yang, D.Y.; Qiu, F.X. Synthesis, characterization and thermal properties of inorganic-organic hybrid. Express Polym. Lett. 2007, 1, 698–703. [Google Scholar] [CrossRef]








| Sample | TEOS in the PVP/EtOH Sol. (wt.%) |
|---|---|
| Mf-0 | 0 |
| Mf-5 | 5 |
| Mf-8 | 8 |
| Mf-13 | 13 |
| Mf-18 | 18 |
| Mf-24 | 24 |
| Sample | Mean Diam. (m) | St. Dev. (m) | Initial Si wt.% (Dry Base) | Microfibres Si wt.% (EDX) | Error % (EDX) |
|---|---|---|---|---|---|
| Mf-0 | 3.61 | 0.86 | 0 | 0 | 0 |
| Mf-5 | 1.25 | 0.23 | 4.3 | 4.0 | 3.3 |
| Mf-8 | 1.54 | 0.37 | 6.7 | 5.8 | 3.2 |
| Mf-13 | 2.13 | 0.52 | 11.8 | 12.6 | 1.6 |
| Mf-18 | 3.14 | 0.56 | 16.8 | 26.1 | 1.3 |
| Mf-24 | 5.52 | 1.72 | 23.4 | 28.0 | 1.2 |
| Sample | Endothermic peak Temp. (°C) | Weight loss at T = 150°C (%) | Weight loss at T = 400 °C (%) | Final Mass at T = 700 °C (%) |
|---|---|---|---|---|
| Mf-0 | 87.0 | 16.4 | 50.2 | 0.6 |
| Mf-5 | 80.9 | 14.6 | 61.6 | 5.2 |
| Mf-8 | 80.7 | 13.0 | 62.3 | 5.4 |
| Mf-13 | 74.7 | 11.0 | 60.4 | 18.1 |
| Mf-18 | 74.4 | 9.4 | 53.8 | 25.6 |
| Mf-24 | 73.8 | 8.6 | 52.3 | 28.7 |
© 2019 by the authors. Licensee MDPI, Basel, Switzerland. This article is an open access article distributed under the terms and conditions of the Creative Commons Attribution (CC BY) license (http://creativecommons.org/licenses/by/4.0/).
Share and Cite
Frontera, P.; Kumita, M.; Malara, A.; Nishizawa, J.; Bonaccorsi, L. Manufacturing and Assessment of Electrospun PVP/TEOS Microfibres for Adsorptive Heat Transformers. Coatings 2019, 9, 443. https://doi.org/10.3390/coatings9070443
Frontera P, Kumita M, Malara A, Nishizawa J, Bonaccorsi L. Manufacturing and Assessment of Electrospun PVP/TEOS Microfibres for Adsorptive Heat Transformers. Coatings. 2019; 9(7):443. https://doi.org/10.3390/coatings9070443
Chicago/Turabian StyleFrontera, Patrizia, Mikio Kumita, Angela Malara, Junya Nishizawa, and Lucio Bonaccorsi. 2019. "Manufacturing and Assessment of Electrospun PVP/TEOS Microfibres for Adsorptive Heat Transformers" Coatings 9, no. 7: 443. https://doi.org/10.3390/coatings9070443
APA StyleFrontera, P., Kumita, M., Malara, A., Nishizawa, J., & Bonaccorsi, L. (2019). Manufacturing and Assessment of Electrospun PVP/TEOS Microfibres for Adsorptive Heat Transformers. Coatings, 9(7), 443. https://doi.org/10.3390/coatings9070443

