Surface Treatment for Improving Durability of Aluminum-Lithium Adhesive-Bonded Joints under Hot-Humid Exposure
Abstract
1. Introduction
2. Materials and Methods
2.1. Materials
2.2. Surface Treatment
2.3. Hot-Humid Exposure
2.4. Electrochemical Measurement
2.5. Surface Characteristics
2.6. Fourier Transform Infrared Spectroscopy (FTIR) Analysis
2.7. Strength Testing
3. Results and Discussion
3.1. Effect of Different Surface Treatment on Strength Degradation
3.1.1. Surface Morphologies Produced by Different Treatments
3.1.2. Contact Angles on Surfaces Created by Different Treatments
3.1.3. Effect of Surface Morphologies on Strength Degradation
3.1.4. Effect of Surface Morphologies on Failure Modes
3.2. Effect of Combined Treatment on Joint Durability
3.2.1. Surface Characteristics Generated by Combined Mechanical/PAA Treatment
3.2.2. Contact Angles on Surfaces Created by Different Combined Treatments
3.2.3. Effect of Surface Roughness on Strength Degradation
3.2.4. Effect of Surface Roughness on Failure Modes
3.3. Degradation Mechanisms of Joints with Different Surface Treatments under Hot-Humid Exposure
3.3.1. Effect of Hot-Humid Exposure on FM 94 Adhesive Properties
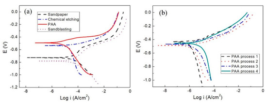
3.3.2. Effect of Surface Characteristics on Corrosion Resistance
3.3.3. Effect of Surface Characteristics on Moisture Diffusion
4. Conclusions
- (1)
- Hot-humid exposure resulted in the degradation of the bond strength and changes in the failure modes. PAA-treated joints with porous structures exhibited good durability after exposure, with a decrease in strength of 10.5%; however, joints treated by sandpaper abrading, sandblasting, and chemical etching exhibited less durability and strength reductions of 25%, 26.3%, and 20.1%, respectively.
- (2)
- The combination of porous structures with moderate surface roughness was observed to improve the durability after hot-humid exposure; joints treated by PAA after inducing the surface roughness of 2.85 μm exhibited the best durability, with a strength decrease of only 6% after exposure; however, PAA-treated surfaces with excessive surface roughness of 4.21 μm exhibited 13.2% strength reduction.
- (3)
- Porous and moderate rough surfaces produced by the combined mechanical/PAA method positively affected joint durability under hot-humid exposure, while the effect of excessive roughness was limited. The porous and moderate roughness structure could protect the substrate from corrosion and decrease the rate of moisture diffusion from the bonding interface, thereby both reducing the degradation of the bonding interface and improving the durability of the joint.
Author Contributions
Funding
Conflicts of Interest
References
- Han, X.; Jin, Y.; Zhang, W.; Hou, W.; Yu, Y. Characterisation of moisture diffusion and strength degradation in an epoxy-based structural adhesive considering a post-curing process. J. Adhes. Sci. Technol. 2018, 32, 1643–1657. [Google Scholar] [CrossRef]
- Wu, Y.; Lin, J.; Wang, P.-C.; Zheng, R.; Wu, Q. Effect of long-term neutral salt spray exposure on durability of adhesive-bonded Zr–Ti coated aluminum joint. Int. J. Adhes. Adhes. 2016, 64, 97–108. [Google Scholar] [CrossRef]
- Zheng, R.; Lin, J.P.; Wang, P.C.; Wu, Y.R. Effect of hot-humid exposure on static strength of adhesive-bonded aluminum alloys. Defence Technol. 2015, 11, 220–228. [Google Scholar] [CrossRef]
- Liu, S.; Cheng, X.; Zhang, Q.; Zhang, J.; Bao, J.; Guo, X. An investigation of hygrothermal effects on adhesive materials and double lap shear joints of CFRP composite laminates. Compos. Part. B.Eng. 2016, 91, 431–440. [Google Scholar] [CrossRef]
- Heshmati, M.; Haghani, R.; Al-Emrani, M. Durability of bonded FRP-to-steel joints: Effects of moisture, de-icing salt solution, temperature and FRP type. Compos. Part. B. Eng. 2017, 119, 153–167. [Google Scholar] [CrossRef]
- Shimizu, K.; Malmos, K.; Spiegelhauer, S.-A.; Hinke, J.; Holm, A.H.; Pedersen, S.U.; Daasbjerg, K.; Hinge, M. Durability of PEEK adhesive to stainless steel modified with aryldiazonium salts. Int. J. Adhes. Adhes. 2014, 51, 1–12. [Google Scholar] [CrossRef]
- Zhang, F.; Yang, X.; Xia, Y.; Zhou, Q.; Wang, H.P.; Yu, T.X. Experimental study of strain rate effects on the strength of adhesively bonded joints after hygrothermal exposure. Int. J. Adhes. Adhes. 2015, 56, 3–12. [Google Scholar] [CrossRef]
- Wu, Y.; Lin, J.; Carlson, B.E.; Lu, P.; Balogh, M.P.; Irish, N.P.; Mei, Y. Effect of laser ablation surface treatment on performance of adhesive-bonded aluminum alloys. Surf. Coat. Tech. 2016, 304, 340–347. [Google Scholar] [CrossRef]
- LaPlante, G.; Ouriadov, A.V.; Lee-Sullivan, P.; Balcom, B.J. Anomalous moisture diffusion in an epoxy adhesive detected by magnetic resonance imaging. J. Appl. Polym. Sci. 2008, 109, 1350–1359. [Google Scholar] [CrossRef]
- Doyle, G.; Pethrick, R.A. Environmental effects on the ageing of epoxy adhesive joints. Int. J. Adhes. Adhes. 2009, 29, 77–90. [Google Scholar] [CrossRef]
- Underhill, P.R.; DuQuesnay, D.L. The role of corrosion/oxidation in the failure of aluminum adhesive joints under hot, wet conditions. Int. J. Adhes. Adhes. 2006, 26, 88–93. [Google Scholar] [CrossRef]
- Mubashar, A.; Ashcroft, I.A.; Critchlow, G.W.; Crocombe, A.D. Moisture absorption–desorption effects in adhesive joints. Int. J. Adhes. Adhes. 2009, 29, 751–760. [Google Scholar] [CrossRef]
- Qin, G.; Na, J.; Tan, W.; Mu, W.; Ji, J. Failure prediction of adhesively bonded CFRP-Aluminum alloy joints using cohesive zone model with consideration of temperature effect. J. Adhes. 2018, 1–24. [Google Scholar] [CrossRef]
- Mubashar, A.; Ashcroft, I.A.; Critchlow, G.W.; Crocombe, A.D. Strength prediction of adhesive joints after cyclic moisture conditioning using a cohesive zone model. Eng. Fract. Mech. 2011, 78, 2746–2760. [Google Scholar] [CrossRef]
- Leger, R.; Roy, A.; Grandidier, J.C. A study of the impact of humid aging on the strength of industrial adhesive joints. Int. J. Adhes. Adhes. 2013, 44, 66–77. [Google Scholar] [CrossRef]
- Wang, X.; Lin, J.; Min, J.; Wang, P.; Sun, C. Effect of atmospheric pressure plasma treatment on strength of adhesive-bonded aluminum AA5052. J. Adhes. 2018, 94, 701–722. [Google Scholar] [CrossRef]
- Liu, Z.X.; Sun, R.N.; Mao, Z.P.; Wang, P.C. Effects of phosphate pretreatment and hot-humid environmental exposure on static strength of adhesive-bonded magnesium AZ31 sheets. Surf. Coat. Technol. 2012, 206, 3517–3525. [Google Scholar] [CrossRef]
- Xu, Y.; Li, H.; Shen, Y.; Liu, S.; Wang, W.; Tao, J. Improvement of adhesion performance between aluminum alloy sheet and epoxy based on anodizing technique. Int. J. Adhes. Adhes. 2016, 70, 74–80. [Google Scholar] [CrossRef]
- Tiringer, U.; Kovač, J.; Milošev, I. Effects of mechanical and chemical pre-treatments on the morphology and composition of surfaces of aluminium alloys 7075-T6 and 2024-T3. Corros. Sci. 2017, 119, 46–59. [Google Scholar] [CrossRef]
- Sun, Z.; Huang, M. Fatigue crack propagation of new aluminum lithium alloy bonded with titanium alloy strap. Chin. J. Aeronaut. 2013, 26, 601–605. [Google Scholar] [CrossRef]
- Zanni-Deffarges, M.P.; Shanahan, M.E.R. Diffusion of water into an epoxy adhesive: Comparison between bulk behaviour and adhesive joints. Int. J. Adhes. Adhes. 1995, 15, 137–142. [Google Scholar] [CrossRef]
- Zhang, F.; Wang, H.P.; Hicks, C.; Yang, X.; Carlson, B.E.; Zhou, Q. Experimental study of initial strengths and hygrothermal degradation of adhesive joints between thin aluminum and steel substrates. Int. J. Adhes. Adhes. 2013, 43, 14–25. [Google Scholar] [CrossRef]
- Zhou, J.; Lucas, J.P. Hygrothermal effects of epoxy resin. Part I: the nature of water in epoxy. Polymer 1999, 40, 5505–5512. [Google Scholar] [CrossRef]

















| Fe | Si | Cu | Mn | Mg | Ag | Zn | Li | Zr | Ti | Al |
|---|---|---|---|---|---|---|---|---|---|---|
| 0.028 | 0.014 | 3.64 | 0.29 | 0.71 | 0.32 | 0.36 | 0.68 | 0.12 | 0.026 | Bal. |
| Treatment | Specific Parameters |
|---|---|
| Sandpaper | 320 mesh |
| Sandblasting | 60 mesh brown fused alumina abrasive, 0.3 MPa pressure, treated for 20 s |
| Chemical etching | Treated in 1 mol/L CuCl2 solution for 10 s, ultrasonically cleaned for 15 min |
| Phosphoric acid anodization (PAA) | Anodized in 100 g/L phosphoric acid solution, 20 V, 30 °C, treated for 25 min |
| Process | Pre-Treatment | PAA Parameters |
|---|---|---|
| 1 | Sandpaper abraded, (320 mesh) | Anodized in 100 g/L phosphoric acid solution, 20 V, 30 °C, treated for 25 min |
| 2 | Sandpaper abraded, (80 mesh) | |
| 3 | Sandblasting, (60 mesh, 0.3 MPa pressure, 20 s) | |
| 4 | Sandblasting, (30 mesh, 0.3 MPa pressure, 20 s) |
| Parameters | Sandpaper | Sandblasting | Chemical Etching | PAA |
|---|---|---|---|---|
| Ra (μm) | 0.39 | 2.75 | 1.55 | 0.82 |
| Rq (μm) | 0.49 | 3.52 | 2.31 | 1.27 |
| Rt (μm) | 3.07 | 21.36 | 12.19 | 7.31 |
| Rp (μm) | 1.45 | 10.16 | 6.85 | 1.55 |
| Rv (μm) | −1.62 | −11.2 | −5.94 | −5.76 |
| Treatment | Corrosion Potential (V) | Corrosion Current Density (A·cm−2) | Strength Degradation after Exposure (%) |
|---|---|---|---|
| Sandpaper | −0.75 | 4.9 × 10−5 | 25 |
| Sandblasting | −0.78 | 5.5 × 10−5 | 26.3 |
| Chemical etching | −0.54 | 3.4 × 10−5 | 20.1 |
| PAA | −0.49 | 2.2 × 10−6 | 10.5 |
| PAA Process | Corrosion Potential (V) | Corrosion Current Density (A·cm−2) | Strength Degradation after Exposure (%) |
|---|---|---|---|
| 1 | −0.43 | 1.9 × 10−6 | 10.9 |
| 2 | −0.49 | 1.2 × 10−6 | 8.6 |
| 3 | −0.47 | 0.8 × 10−6 | 6.0 |
| 4 | −0.45 | 4.8 × 10−6 | 13.2 |
© 2019 by the authors. Licensee MDPI, Basel, Switzerland. This article is an open access article distributed under the terms and conditions of the Creative Commons Attribution (CC BY) license (http://creativecommons.org/licenses/by/4.0/).
Share and Cite
Li, J.; Li, Y.; Huang, M.; Xiang, Y.; Bi, R.; Tu, C.; Wang, B. Surface Treatment for Improving Durability of Aluminum-Lithium Adhesive-Bonded Joints under Hot-Humid Exposure. Coatings 2019, 9, 346. https://doi.org/10.3390/coatings9060346
Li J, Li Y, Huang M, Xiang Y, Bi R, Tu C, Wang B. Surface Treatment for Improving Durability of Aluminum-Lithium Adhesive-Bonded Joints under Hot-Humid Exposure. Coatings. 2019; 9(6):346. https://doi.org/10.3390/coatings9060346
Chicago/Turabian StyleLi, Jian, Yibo Li, Minghui Huang, Yanhong Xiang, Rengui Bi, Chuiqian Tu, and Bisheng Wang. 2019. "Surface Treatment for Improving Durability of Aluminum-Lithium Adhesive-Bonded Joints under Hot-Humid Exposure" Coatings 9, no. 6: 346. https://doi.org/10.3390/coatings9060346
APA StyleLi, J., Li, Y., Huang, M., Xiang, Y., Bi, R., Tu, C., & Wang, B. (2019). Surface Treatment for Improving Durability of Aluminum-Lithium Adhesive-Bonded Joints under Hot-Humid Exposure. Coatings, 9(6), 346. https://doi.org/10.3390/coatings9060346
