Three-Dimensional Casson Nanofluid Thin Film Flow over an Inclined Rotating Disk with the Impact of Heat Generation/Consumption and Thermal Radiation
Abstract
1. Introduction
2. Problem Formulation
3. Solution by Homotopy Analysis Method
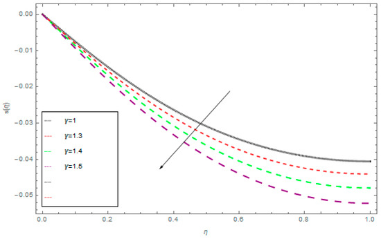
4. Results and Discussion
5. Conclusions
- Smaller values of the Prandtl number enhance the thermal boundary layer.
- An increasing value of the magnetic field stops the fluid motion.
- Larger amounts of the thermal radiation parameter and thermophoretic parameter enhances the thermal boundary layer.
- The Casson fluid parameter produces a resistance force and its increasing value decreases the fluid motion.
Author Contributions
Funding
Acknowledgments
Conflicts of Interest
Nomenclature
| Nb | Brownian motion parameter |
| T | Cauchy stress tensor |
| C | Concentration of the fluid |
| h | Film thickness |
| M | Magnetic parameter |
| Nu | Nusselt number |
| Pr | Prandtl number |
| Nt | Thermoporetic parameter |
| R | Radiation parameter |
| x, y, z | Rectangular coordinates |
| Re | Reynold number |
| Sh | Sherwood number |
| Cf | Skin friction coefficient |
| W | Spraying velocity |
| T∞ | Temperature of the fluid at large distance |
| f | Transformed dependent variable |
| u | Velocity component in x-direction |
| v | Velocity component in y-direction |
| μ | Coefficient of viscosity |
| γ | Casson fluid parameter |
| ρ | Density of the fluid |
| p | Fluid pressure |
| I | Identity tensor chord |
| v | Kinematic viscosity |
| Ω | Rotation parameter |
| τ | Shearing stress |
| ψ | Stream function |
| β | Thickness of the fluid |
| η | Transformed independent variable |
| ∞ | Condition at infinity |
References
- Liang, M.; Liu, Y.; Xiao, B.; Yang, S.; Wang, Z.; Han, H. An analytical model for the transverse permeability of gas diffusion layer with electrical double-layer effects in proton exchange membrane full cells. Int. J. Hydrogen Energy 2018, 43, 17880–17888. [Google Scholar] [CrossRef]
- Long, G.; Liu, S.; Xu, G.; Wong, S.W.; Chen, H.; Xiao, B.A. Perforation-erosion model for hydraulic-fracturing applications. SPE. Prod. Oper. 2018, 33, 770–783. [Google Scholar] [CrossRef]
- Xiao, B.; Wang, W.; Zhang, X.; Long, G.; Chen, H.; Cai, H.; Deng, L.A. Novel fractal model for relative permeability of gas diffusion layer in proton exchange membrane fuel cell with capillary pressure effect. Fractals 2019, 27, 1950012. [Google Scholar] [CrossRef]
- Choi, S.; Eastman, J. Enhancing thermal conductivity of fluids with nanoparticles. In Proceedings of the ASME International Mechanical Engineering Congress and Exposition, San Francisco, CA, USA, 12–17 November 1995. [Google Scholar]
- Bhatti, M.M.; Zeeshan, A.; Ellah, R. Simultaneous effects of coagulation and variable magnetic field on peristaltically induced motion of Jeffrey nanofluid containing gyrotactic microorganism. Microvasc. Res. 2017, 110, 32–42. [Google Scholar] [CrossRef]
- Ellahi, R. The effects of MHD and temperature dependent viscosity on the flow of non-Newtonian nanofluid in a pipe: Analytical solutions. Appl. Math. Model. 2013, 37, 1451–1467. [Google Scholar] [CrossRef]
- Hatami, M.; Ganji, D.D. Thermal and flow analysis of microchannel heat sink (MCHS) cooled by Cu water nanofluid using porous media approach and least square method. Energy Convers. Manag. 2014, 78, 347–358. [Google Scholar] [CrossRef]
- Hatami, M.; Sheikholeslami, M.; Ganji, D.D. Laminar flow and heat transfer of nanofluid between contracting and rotating disks by least square method. Powder Technol. 2014, 253, 769–779. [Google Scholar] [CrossRef]
- Srinivasacharya, D.; Shafeeurrahman, M. Hall and ion slip effects on mixed convection flow of nanofluid between two concentric cylinders. J. Assoc. Arab Univ. Basic Appl. Sci. 2017, 24, 223–231. [Google Scholar] [CrossRef]
- Khan, W.; Pop, I. Boundary-layer flow of a nanofluid past a stretching sheet. Int. J. Heat Mass Transf. 2010, 53, 2477–2483. [Google Scholar] [CrossRef]
- Khanafer, K.; Vafai, K.; Lightstone, M.; Buoyancydriven. Heat transfer enhancement in a two-dimensional enclosure utilizing nanofluids. Int. J. Heat Mass Transf. 2003, 46, 3639–3653. [Google Scholar] [CrossRef]
- Mahanthesh, B.; Gireesha, B.J.; Gorla, R.S.R. Unsteady three-dimensional MHD flow of a nano Eyring-Powell fluid past a convectively heated stretching sheet in the presence of thermal radiation, viscous dissipation and Joule heating. J. Assoc. Arab Univ. Basic Appl. Sci. 2017, 23, 75–84. [Google Scholar] [CrossRef]
- Rashidi, M.M.; Abelman, S.; Mehr, N.F. Entropy generation in steady MHD flow due to a rotating porous disk in a nanofluid. Int. J. Heat Mass Transf. 2013, 62, 515–525. [Google Scholar] [CrossRef]
- Rashidi, M.M.; Dinarvand, S. Purely analytic approximate solutions for steady three-dimensional problem of condensation film on inclined rotating disk by homotopy analysis method. Nonlinear Anal. Real World Appl. 2009, 10, 2346–2356. [Google Scholar] [CrossRef]
- Gul, T.; Khan, M.A.; Khan, A.; Shuaib, M. Fractional-order three-dimensional thin-film nanofluid flow on an inclined rotating disk. Eur. Phys. J. Plus 2018, 133, 500–5011. [Google Scholar] [CrossRef]
- Saleh, H.; Alali, E.; Ebaid, A. Medical applications for the flow of carbon-nanotubes suspended nanofluids in the presence of convective condition using Laplace transform. J. Assoc. Arab Univ. Basic Appl. Sci. 2017, 24, 206–212. [Google Scholar] [CrossRef]
- Sheikholeslami, M.; Gorji-Bandpy, M.; Ganji, D.D. Numerical investigation of MHD effects on Al2O3-water nanofluid flow and heat transfer in a semi-annulus enclosure using LBM. Energy 2013, 60, 501–510. [Google Scholar] [CrossRef]
- Sheikholeslami, M.; Hatami, M.; Ganji, D.D. Analytical investigation of MHD nanofluid flow in a semi-porous channel. Powder Technol. 2013, 246, 327–336. [Google Scholar] [CrossRef]
- Abolbashari, M.H.; Freidoonimehr, N.; Rashidi, M.M. Analytical modeling of entropy generation for Casson nano-fluid flow induced by a stretching surface. Entropy 2015, 6, 542–552. [Google Scholar] [CrossRef]
- Hayat, T.; Muhammad, T.; Shehzad, S.A.; Alsaed, A. Three-dimensional boundary layer flow of Maxwell nanofluid. Appl. Math. Mech. Engl. Ed. 2015, 36, 747–762. [Google Scholar] [CrossRef]
- Malik, M.Y.; Khan, I.; Hussain, A.; Salahuddin, T. Mixed convection flow of MHD Erying-Powell nanofluid over a stretching sheet. A numerical study. AIP Adv. 2015, 5, 117–118. [Google Scholar] [CrossRef]
- Nadeem, S.; Haq, R.U.; Khan, Z.H. Numerical study of MHD boundary layer flow of a Maxwell fluid past a stretching sheet in the presence of nanoparticles. J. Taiwan Inst. Chem. Eng. 2014, 45, 121–126. [Google Scholar] [CrossRef]
- Raju, C.S.K.; Sandeep, N.; Malvandi, A. Free convective heat and mass transfer of MHD non-Newtonian nanofluids over a cone in the presence of non-uniform heat source/sink. J. Mol. Liq. 2016, 221, 101–115. [Google Scholar] [CrossRef]
- Rokni, H.B.; Alsaad, D.M.; Valipour, P. Electro hydrodynamic nanofluid flow and heat transfer between two plates. J. Mol. Liq. 2016, 216, 583–589. [Google Scholar] [CrossRef]
- Nadeem, S.; Rizwan, U.H.; Khan, Z.H. Numerical solution of non-Newtonian nanofluid flow over a stretching sheet. J. Appl. Nano Sci. 2014, 5, 625–631. [Google Scholar] [CrossRef]
- Shehzad, S.A.; Hayat, A.; Alsaedi, A. MHD flow of Jeffrey nanofluid with convective boundary conditions. Braz. Soc. Mech. Sci. Eng. 2014, 3, 873–883. [Google Scholar] [CrossRef]
- Sheikholeslami, M.; Hatami, H.M.; Ganji, D.D. Nanofluid flow and heat transfer in a rotating system in the presence of a magnetic field. J. Mol. Liq. 2014, 190, 112–120. [Google Scholar] [CrossRef]
- Mahmoodi, M.; Kandelousi, S.H. Kerosene−alumina nanofluid flow and heat transfer for cooling application. J. Cent. South Univ. 2016, 23, 983–990. [Google Scholar] [CrossRef]
- Shah, Z.; Islam, S.; Ayaz, H.; Khan, S. Radiative heat and mass transfer analysis of micropolar nanofluid flow of casson fluid between two rotating parallel plates with effects of hall current. ASME J. Heat Transf. 2019, 141, 022401. [Google Scholar] [CrossRef]
- Shah, Z.; Islam, S.; Gul, T.; Bonyah, E.; Khan, M.A. Three dimensional third grade nanofluid flow in a rotating system between parallel plates with Brownian motion and thermophoresis effects. Results Phys. 2018, 10, 36–45. [Google Scholar] [CrossRef]
- Shah, Z.; Islam, S.; Gul, T.; Bonyah, E.; Khan, M.A. The electrical MHD and hall current impact on micropolar nanofluid flow between rotating parallel plates. Results Phys. 2018, 9, 1201–1214. [Google Scholar] [CrossRef]
- Shah, Z.; Gul, T.; Khan, A.M.; Ali, I.; Islam, S. Effects of hall current on steady three dimensional non Newtonian nanofluid in a rotating frame with Brownian motion and thermophoresis effects. J. Eng. Technol. 2017, 6, 280–296. [Google Scholar]
- Sheikholeslami, M. CuO-water nanofluid flow due to magnetic field inside a porous media considering Brownian motion. J. Mol. Liq. 2018, 249, 921–929. [Google Scholar] [CrossRef]
- Sheikholeslami, M.; Shah, Z.; Tassaddiq, A.; Shafee, A.; Khan, I. Application of electric field transfer in an enclosure including double for augmentation of ferrofluid heat moving walls. IEEE Access 2019, 7, 21048–21056. [Google Scholar] [CrossRef]
- Sheikholeslami, M.; Shah, Z.; Shafi, A.; khan, I.; Itili, I. Uniform magnetic force impact on water based nanofluid thermal behavior in a porous enclosure with ellipse shaped obstacle. Sci. Rep. 2019. [Google Scholar] [CrossRef]
- Sheikholeslami, M. Fe3O4-Ethylene glycol nanofluid forced convection inside a porous enclosure in existence of Coulomb force. J. Mol. Liq. 2018, 249, 429–437. [Google Scholar] [CrossRef]
- Pour, M.; Nassab, S. Numerical investigation of forced laminar convection flow of nanofluids over a backward facing step under bleeding condition. J. Mech. 2012, 28, N7–N12. [Google Scholar] [CrossRef]
- Nasir, S.; Islam, S.; Gul, T.; Shah, Z.; Khan, M.A.; Khan, W.; Khan, A.Z.; Khan, S. Three-dimensional rotating flow of MHD single wall carbon nanotubes over a stretching sheet in presence of thermal radiation. Appl. Nano Sci. 2018, 8, 1361–1378. [Google Scholar] [CrossRef]
- Sandeep, N.; Malvandi, A. Enhanced heat transfer in liquid thin film flow of non-Newtonian nanofluids embedded with graphene nanoparticles. Adv. Powder Technol. 2016, 27, 2448–2456. [Google Scholar] [CrossRef]
- Wang, C.Y. Liquid film on an unsteady stretching surface. Q. Appl. Math. 1990, 84, 601–610. [Google Scholar] [CrossRef]
- Usha, R.; Sridharan, R. On the motion of a liquid film on an unsteady stretching surface. ASME Fluids Eng. 1993, 150, 43–48. [Google Scholar] [CrossRef]
- Liu, I.C.; Andersson, I.H. Heat transfer in a liquid film on an unsteady stretching sheet. Int. J. Therm. Sci. 2008, 47, 766–772. [Google Scholar] [CrossRef]
- Aziz, R.C.; Hashim, I.; Alomari, A.K. Thin film flow and heat transfer on an unsteady stretching sheet with internal heating. Meccanica 2011, 46, 349–357. [Google Scholar] [CrossRef]
- Tawade, L.; Abel, M.; Metri, P.G.; Koti, A. Thin film flow and heat transfer over an unsteady stretching sheet with thermal radiation internal heating in presence of external magnetic field. Int. J. Adv. Appl. Math. Mech. 2016, 3, 29–40. [Google Scholar]
- Anderssona, H.I.; Aarseth, J.B.; Dandapatb, B.S. Heat transfer in a liquid film on an unsteady stretching. Int. J. Heat Mass Transf. 2000, 43, 69–74. [Google Scholar] [CrossRef]
- Gul, T.; Haleem, I.; Ullah, I.; Khan, M.A.; Bonyah, E.; Khan, I.; Shuaib, M. The study of the entropy generation in a thin film flow with variable fluid properties past over a stretching sheet. Adv. Mech. Eng. 2018, 10, 1–15. [Google Scholar] [CrossRef]
- Gul, T. Scattering of a thin layer over a nonlinear radially extending surface with Magneto hydrodynamic and thermal dissipation. Surf. Rev. Lett. 2019, 26, 1850123. [Google Scholar] [CrossRef]
- Alsagri, A.S.; Nasir, S.; Gul, T.; Islam, S.; Nisar, K.S.; Shah, K.S.; Khan, I. MHD thin film flow and thermal analysis of blood with CNTs nanofluid. Coatings 2019, 9, 175. [Google Scholar] [CrossRef]
- Shah, Z.; Bonyah, E.; Islam, S.; Khan, W.; Ishaq, M. Radiative MHD thin film flow of Williamson fluid over an unsteady permeable stretching. Heliyon 2018, 4, e00825. [Google Scholar] [CrossRef]
- Ullah, A.; Alzahrani, E.O.; Shah, Z.; Ayaz, M.; Islam, S. Nanofluids thin film flow of reiner-philippoff fluid over an unstable stretching surface with brownian motion and thermophoresis effects. Coatings 2019, 9, 21. [Google Scholar] [CrossRef]
- Khan, A.S.; Nie, Y.; Shah, Z. Impact of thermal radiation and heat source/sink on MHD time-dependent thin-film flow of Oldroyed-B, Maxwell, and Jeffry Fluids over a stretching surface. Processes 2019, 7, 191. [Google Scholar] [CrossRef]
- Chen, C.H. Heat transfer in a power-law liquid film over a unsteady stretching sheet. J. Heat Mass Transf. 2003, 39, 791–796. [Google Scholar] [CrossRef]
- Chen, C.H. Effect of viscous dissipation on heat transfer in a non-Newtonian liquid film over an unsteady stretching sheet. J. Non-Newton. Fluid Mech. 2006, 135, 128–135. [Google Scholar] [CrossRef]
- Wang, C.; Pop, L. Analysis of the flow of a power-law liquid film on an unsteady stretching surface by means of homotopy analysis method. J. Non-Newton. Fluid Mech. 2006, 138, 161–172. [Google Scholar] [CrossRef]
- Mahmoud, M.A.A. On flow and heat transfer in a thin liquid film over an unsteady stretching sheet with variable fluid properties and radiation. Open Sci. J. Math. Appl. 2015, 3, 14–18. [Google Scholar]
- Hatami, M.; Jing, D.; Majeed, A.Y. Three-dimensional analysis of condensation nanofluid film on an inclined rotating disk by efficient analytical methods. Arab. J. Basic Appl. Sci. 2018, 25, 28–37. [Google Scholar] [CrossRef][Green Version]
- Jawad, M.; Shah, Z.; Islam, S.; Bonyah, E.; Khan, Z.A. Darcy-Forchheimer flow of MHD nanofluid thin film flow with Joule dissipation and Navier’s partial slip. J. Phys. Commun. 2018, 11, 115014. [Google Scholar] [CrossRef]
- Jawad, M.; Shah, Z.; Islam, S.; Majdoubi, J.; Tlili, I.; Khan, W.; Khan, I. Impact of nonlinear thermal radiation and the viscous dissipation effect on the unsteady three-dimensional rotating flow of single-wall carbon nanotubes with aqueous suspensions. Symmetry 2019, 11, 207. [Google Scholar] [CrossRef]
- Nasir, S.; Shah, Z.; Islam, S.; Khan, W.; Bonyah, E.; Ayaz, M.; Khan, A. Three dimensional Darcy-Forchheimer radiated flow of single and multiwall carbon nanotubes over a rotating stretchable disk with convective heat generation and absorption. AIP Adv. 2019, 9, 035031. [Google Scholar] [CrossRef]
- Feroz, N.; Shah, Z.; Islam, S.; Alzahrani, E.O.; Khan, W. Entropy generation of carbon nanotubes flow in a rotating channel with hall and ion-slip effect using effective thermal conductivity model. Entropy 2019, 21, 52. [Google Scholar] [CrossRef]
- Alharbi, S.O.; Dawar, A.; Shah, Z.; Khan, W.; Idrees, M.; Islam, S.; Khan, I. Entropy generation in MHD eyring–powell fluid flow over an unsteady oscillatory porous stretching surface under the impact of thermal radiation and heat source/sink. Appl. Sci. 2018, 8, 2588. [Google Scholar] [CrossRef]
- Nasir, S.; Shah, Z.; Islam, S.; Khan, W.; Khan, S.N. Radiative flow of magneto hydrodynamics single-walled carbon nanotube over a convectively heated stretchable rotating disk with velocity slip effect. Adv. Mech. Eng. 2019, 11, 1–11. [Google Scholar] [CrossRef]
- Khan, A.S.; Nie, Y.; Shah, Z.; Dawar, A.; Khan, W.; Islam, S. Three-dimensional nanofluid flow with heat and mass transfer analysis over a linear stretching surface with convective boundary conditions. Appl. Sci. 2018, 8, 2244. [Google Scholar] [CrossRef]













| f(η) | HAM Solution | Numerical Solution | Absolute Error |
|---|---|---|---|
| 0.0 | 0.000000 | −2.812710 × 10−10 | 2.812710 × 10−10 |
| 0.1 | 0.003258 | 0.003258 | 5.703240 × 10−8 |
| 0.2 | 0.012408 | 0.012408 | 2.280140 × 10−7 |
| 0.3 | 0.026573 | 0.026573 | 5.104210 × 10−7 |
| 0.4 | 0.044948 | 0.044948 | 8.995600 × 10−7 |
| 0.5 | 0.066795 | 0.066793 | 1.388520 × 10−6 |
| 0.6 | 0.091431 | 0.091429 | 1.965710 × 10−6 |
| 0.7 | 0.118224 | 0.118221 | 2.615740 × 10−6 |
| 0.8 | 0.146586 | 0.146583 | 3.327870 × 10−6 |
| 0.9 | 0.175966 | 0.175962 | 4.078740 × 10−6 |
| 1.0 | 0.205842 | 0.205837 | 4.847430 × 10−6 |
| k(η) | HAM Solution | Numerical Solution | Absolute Error |
|---|---|---|---|
| 0.0 | 0.000000 | 3.431260 × 10−8 | 3.431260 × 10−8 |
| 0.1 | 0.082367 | 0.082366 | 2.022930 × 10−7 |
| 0.2 | 0.155134 | 0.155134 | 4.388100 × 10−7 |
| 0.3 | 0.218705 | 0.218705 | 6.667190 × 10−7 |
| 0.4 | 0.273439 | 0.273438 | 8.749510 × 10−7 |
| 0.5 | 0.319620 | 0.319619 | 1.071030 × 10−6 |
| 0.6 | 0.357437 | 0.357436 | 1.231030 × 10−6 |
| 0.7 | 0.386981 | 0.386980 | 1.356500 × 10−6 |
| 0.8 | 0.408247 | 0.408246 | 1.432420 × 10−6 |
| 0.9 | 0.421138 | 0.421137 | 1.471570 × 10−6 |
| 1.0 | 0.425484 | 0.425483 | 1.467400 × 10−6 |
| g(η) | HAM Solution | Numerical Solution | Absolute Error |
|---|---|---|---|
| 0.0 | 1.000000 | 1.000000 | 1.286450 × 10−8 |
| 0.1 | 0.950141 | 0.950139 | 2.377450 × 10−6 |
| 0.2 | 0.903441 | 0.903436 | 4.705070 × 10−6 |
| 0.3 | 0.860810 | 0.860803 | 6.954740 × 10−6 |
| 0.4 | 0.822957 | 0.822948 | 9.080750 × 10−6 |
| 0.5 | 0.790417 | 0.790406 | 0.000011 |
| 0.6 | 0.763566 | 0.763553 | 0.000013 |
| 0.7 | 0.742641 | 0.742627 | 0.000014 |
| 0.8 | 0.727756 | 0.727740 | 0.000015 |
| 0.9 | 0.718908 | 0.718892 | 0.000016 |
| 1.0 | 0.715997 | 0.715981 | 0.000016 |
| s(η) | HAM Solution | Numerical Solution | Absolute Error |
|---|---|---|---|
| 0.0 | 0.000000 | −7.170820 × 10−9 | 7.170820 × 10−9 |
| 0.1 | −0.019540 | −0.019539 | 1.154300 × 10−6 |
| 0.2 | −0.038351 | −0.038349 | 2.304890 × 10−6 |
| 0.3 | −0.055850 | −0.055846 | 3.427710 × 10−6 |
| 0.4 | −0.071593 | −0.071588 | 4.501730 × 10−6 |
| 0.5 | −0.085251 | −0.085246 | 5.509380 × 10−6 |
| 0.6 | −0.096596 | −0.096590 | 6.416000 × 10−6 |
| 0.7 | −0.105479 | −0.105471 | 7.187270 × 10−6 |
| 0.8 | −0.111819 | −0.111811 | 7.792270 × 10−6 |
| 0.9 | −0.115595 | −0.115587 | 8.183170 × 10−6 |
| 1.0 | −0.116839 | −0.116831 | 8.326040 × 10−6 |
| θ(η) | HAM Solution | Numerical Solution | Absolute Error |
|---|---|---|---|
| 0.0 | 0.000000 | −1.777730 × 10−9 | 1.777730 × 10−9 |
| 0.1 | 0.116628 | 0.116628 | 1.151200 × 10−7 |
| 0.2 | 0.232964 | 0.232964 | 2.309850 × 10−7 |
| 0.3 | 0.348690 | 0.348690 | 3.439950 × 10−7 |
| 0.4 | 0.463468 | 0.463469 | 4.517690 × 10−7 |
| 0.5 | 0.576946 | 0.576946 | 5.526490 × 10−7 |
| 0.6 | 0.688763 | 0.688763 | 6.424670 × 10−7 |
| 0.7 | 0.798558 | 0.798559 | 7.163620 × 10−7 |
| 0.8 | 0.905975 | 0.905976 | 7.751320 × 10−7 |
| 0.9 | 1.010670 | 1.010670 | 8.130730 × 10−7 |
| 1.0 | 1.112300 | 1.112300 | 8.304690 × 10−7 |
| ϕ(η) | HAM Solution | Numerical Solution | Absolute Error |
|---|---|---|---|
| 0.0 | 0.000000 | −2.935480 × 10−9 | 2.935480 × 10−9 |
| 0.1 | 0.109309 | 0.109309 | 8.676730 × 10−8 |
| 0.2 | 0.218448 | 0.218448 | 1.752770 × 10−7 |
| 0.3 | 0.327225 | 0.327226 | 2.613220 × 10−7 |
| 0.4 | 0.435439 | 0.435440 | 3.434820 × 10−7 |
| 0.5 | 0.542882 | 0.542883 | 4.241530 × 10−7 |
| 0.6 | 0.649351 | 0.649352 | 4.969910 × 10−7 |
| 0.7 | 0.754655 | 0.754656 | 5.581250 × 10−7 |
| 0.8 | 0.858619 | 0.858620 | 6.055710 × 10−7 |
| 0.9 | 0.961090 | 0.961091 | 6.356540 × 10−7 |
| 1.0 | 1.061940 | 1.061940 | 6.465200 × 10−7 |
© 2019 by the authors. Licensee MDPI, Basel, Switzerland. This article is an open access article distributed under the terms and conditions of the Creative Commons Attribution (CC BY) license (http://creativecommons.org/licenses/by/4.0/).
Share and Cite
Saeed, A.; Shah, Z.; Islam, S.; Jawad, M.; Ullah, A.; Gul, T.; Kumam, P. Three-Dimensional Casson Nanofluid Thin Film Flow over an Inclined Rotating Disk with the Impact of Heat Generation/Consumption and Thermal Radiation. Coatings 2019, 9, 248. https://doi.org/10.3390/coatings9040248
Saeed A, Shah Z, Islam S, Jawad M, Ullah A, Gul T, Kumam P. Three-Dimensional Casson Nanofluid Thin Film Flow over an Inclined Rotating Disk with the Impact of Heat Generation/Consumption and Thermal Radiation. Coatings. 2019; 9(4):248. https://doi.org/10.3390/coatings9040248
Chicago/Turabian StyleSaeed, Anwar, Zahir Shah, Saeed Islam, Muhammad Jawad, Asad Ullah, Taza Gul, and Poom Kumam. 2019. "Three-Dimensional Casson Nanofluid Thin Film Flow over an Inclined Rotating Disk with the Impact of Heat Generation/Consumption and Thermal Radiation" Coatings 9, no. 4: 248. https://doi.org/10.3390/coatings9040248
APA StyleSaeed, A., Shah, Z., Islam, S., Jawad, M., Ullah, A., Gul, T., & Kumam, P. (2019). Three-Dimensional Casson Nanofluid Thin Film Flow over an Inclined Rotating Disk with the Impact of Heat Generation/Consumption and Thermal Radiation. Coatings, 9(4), 248. https://doi.org/10.3390/coatings9040248

