A Note on the Surface Deterioration of Scrimber Composites Exposed to Artificial Ageing
Abstract
1. Introduction
2. Materials and Methods
2.1. Preparation of Scrimber Composites
2.2. Artificial Ageing
2.3. Color Determination
2.4. Gloss Analysis
2.5. Roughness Analysis
2.6. Surface Wettability
2.7. FTIR Analysis
3. Results and Discussion
3.1. Color Changes
3.2. Gloss Changes
3.3. Roughness Changes
3.4. Surface Wettability
3.5. Surface Free Energy
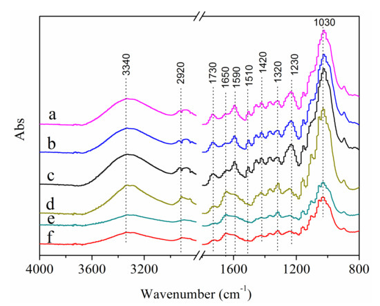
3.6. FTIR Spectroscopy
4. Conclusions
Author Contributions
Funding
Acknowledgments
Conflicts of Interest
References
- Bao, M.; Li, N.; Huang, C.; Chen, Y.; Yu, W.; Yu, Y. Fabrication, physical-mechanical properties and morphological characterizations of novel scrimber composite. Eur. J. Wood Wood Prod. 2019, 77, 741–747. [Google Scholar] [CrossRef]
- Zhang, Y.; Qi, Y.; Huang, Y.; Yu, Y.; Liang, Y.; Yu, W. Influence of veneer thickness, mat formation and resin content on some properties of novel poplar scrimbers. Holzforschung 2018, 72, 673–680. [Google Scholar] [CrossRef]
- Zhang, Y.; Qi, Y.; Huang, Y.; Yu, W. Manufacturing technology, application and future development of high-performance wood scrimber in China. Chin. Wood Ind. 2018, 32, 14–17. [Google Scholar]
- Evans, P.; Mathews, M.J.C.B.; Schmalzl, K.; Ayer, S.; Kiguchi, M.; Kataoka, Y. Weathering and surface protection of wood. In Handbook of Environmental Degradation of Materials; William Andrew Inc.: Norwich, UK, 2005. [Google Scholar]
- Feist, W.C. Outdoor wood weathering and protection. Archaeol. Wood Prop. Chem. Preserv. 1990, 196, 263–298. [Google Scholar]
- Evans, P.D.; Kraushaar, S.; Cullis, I.; Liu, C.; Sèbe, G. Photostabilization of wood using low molecular weight phenol formaldehyde resin and hindered amine light stabilizer. Polym. Degrad. Stab. 2013, 98, 158–168. [Google Scholar] [CrossRef]
- Li, N.; Chen, Y.; Bao, Y.; Zhang, Z.; Wu, Z.; Chen, Z. Evaluation of UV-permeability and photo-oxidisability of organic ultraviolet radiation-absorbing coatings. Appl. Surf. Sci. 2015, 332, 186–191. [Google Scholar] [CrossRef]
- Li, N.; Rao, F.; He, L.; Yang, S.; Bao, Y.; Huang, C.; Bao, M.; Chen, Y. Evaluation of biochar properties exposing to solar radiation: A promotion on surface activities. Chem. Eng. J. 2019, 123353. [Google Scholar] [CrossRef]
- Kataoka, Y.; Kiguchi, M.; Fujiwara, T.; Evans, P. The effects of within-species and between-species variation in wood density on the photodegradation depth profiles of sugi (Cryptomeria japonica) and hinoki (Chamaecyparis obtusa). J. Wood Sci. 2005, 51, 531–536. [Google Scholar] [CrossRef]
- ASTM International. ASTM G154-12a Standard Practice for Operating Fluorescent Ultraviolet (UV) Lamp Apparatus for Exposure of Nonmetallic Materials; ASTM International: West Conshohocken, PA, USA, 2014. [Google Scholar]
- ASTM International. ASTM D523 Standard Test Method for Specular Gloss; ASTM International: West Conshohocken, PA, USA, 2014. [Google Scholar]
- Bao, M.; Huang, X.; Jiang, M.; Li, N.; Yu, Y.; Yu, W. Study on the changes in surface characteristics of Populus tomentosa due to thermo-hydro-process. J. Wood Sci. 2018, 64, 264–278. [Google Scholar] [CrossRef]
- Rao, F.; Chen, Y.; Li, N.; Zhao, X.; Bao, Y.; Wu, Z.; Ren, D.; Xu, J.; Cai, H. Preparation and characterization of outdoor bamboo-fiber-reinforced composites with different densities. Bioresources 2017, 12, 6789–6811. [Google Scholar] [CrossRef]
- Kanbayashi, T.; Kataoka, Y.; Ishikawa, A.; Matsunaga, M.; Kobayashi, M.; Kiguchi, M. Confocal Raman microscopy reveals changes in chemical composition of wood surfaces exposed to artificial weathering. J. Photochem. Photobiol. B Biol. 2018, 187, 136–140. [Google Scholar] [CrossRef] [PubMed]
- Lin, Y.; Kringstad, K. Some reactions in the photoinduced discoloration of lignin. Nor. Skogind. 1971, 25, 252–256. [Google Scholar]
- Cogulet, A.; Blanchet, P.; Landry, V. Wood degradation under UV irradiation: A lignin characterization. J. Photochem. Photobiol. B Biol. 2016, 158, 184–191. [Google Scholar] [CrossRef] [PubMed]
- Wang, X.; Ren, H. Surface deterioration of moso bamboo (Phyllostachys pubescens) induced by exposure to artificial sunlight. J. Wood Sci. 2009, 55, 47–52. [Google Scholar] [CrossRef]
- Bao, M.; Huang, X.; Zhang, Y.; Yu, W.; Yu, Y. Effect of density on the hygroscopicity and surface characteristics of hybrid poplar compreg. J. Wood Sci. 2016, 62, 441–451. [Google Scholar] [CrossRef]
- Mohan, T.; Kargl, R.; Doliška, A.; Vesel, A.; Köstler, S.; Ribitsch, V. Wettability and surface composition of partly and fully regenerated cellulose thin films from trimethylsilyl cellulose. J. Colloid Interface Sci. 2011, 358, 604–610. [Google Scholar] [CrossRef] [PubMed]
- Huang, X.; Kocaefe, D.; Kocaefe, Y.; Boluk, Y.; Krause, C. Structural analysis of heat-treated birch (Betule papyrifera) surface during artificial weathering. Appl. Surf. Sci. 2013, 264, 117–127. [Google Scholar] [CrossRef]
- Chirkova, J.; Andersone, I.; Irbe, I.; Spince, B.; Andersons, B. Lignins as agents for bio-protection of wood. Holzforschung 2011, 65, 497–502. [Google Scholar] [CrossRef]
- Li, N.; Bao, M.; Rao, F.; Shu, Y.; Huang, C.; Huang, Z.; Chen, Y.; Bao, Y.; Guo, R.; Xiu, C. Improvement of surface photostability of bamboo scrimber by application of organic UV absorber coatings. J. Wood Sci. 2019, 65, 7. [Google Scholar] [CrossRef]





| Samples | Density (g/cm3) | Resin Content (%) | Contact Angle | Surface Free Energy (mJ/m2) | ||||||
|---|---|---|---|---|---|---|---|---|---|---|
| Water | Formamide | Diiodomethane | ||||||||
| Control Samples | 0.85 | 13 | 68.36 | 81.20 | 56.92 | 30.35 | 2.92 | 42.02 | 22.16 | 52.52 |
| 1.00 | 13 | 82.14 | 82.87 | 62.36 | 27.22 | 1.12 | 19.63 | 9.39 | 36.61 | |
| 1.15 | 13 | 85.13 | 83.21 | 65.59 | 25.37 | 0.63 | 15.67 | 6.30 | 31.66 | |
| 1.00 | 8 | 80.08 | 80.92 | 57.43 | 30.05 | 1.45 | 21.04 | 11.07 | 41.12 | |
| 1.00 | 13 | 82.14 | 82.87 | 62.36 | 27.22 | 1.12 | 19.63 | 9.39 | 36.61 | |
| 1.00 | 18 | 84.20 | 83.59 | 66.41 | 24.90 | 0.68 | 17.20 | 6.84 | 31.74 | |
| Weathered Samples | 0.85 | 13 | 83.76 | 98.54 | 54.56 | 31.70 | 9.42 | 34.29 | 35.95 | 67.65 |
| 1.00 | 13 | 85.48 | 99.90 | 59.32 | 28.96 | 8.36 | 32.40 | 32.93 | 61.89 | |
| 1.15 | 13 | 101.70 | 104.10 | 60.77 | 28.13 | 6.79 | 11.90 | 17.98 | 46.11 | |
| 1.00 | 8 | 82.59 | 96.06 | 53.45 | 32.33 | 8.48 | 33.55 | 33.74 | 66.07 | |
| 1.00 | 13 | 85.48 | 99.90 | 59.32 | 28.96 | 8.36 | 32.40 | 32.93 | 61.89 | |
| 1.00 | 18 | 89.68 | 104.90 | 62.32 | 27.24 | 9.47 | 33.85 | 34.49 | 61.09 | |
© 2019 by the authors. Licensee MDPI, Basel, Switzerland. This article is an open access article distributed under the terms and conditions of the Creative Commons Attribution (CC BY) license (http://creativecommons.org/licenses/by/4.0/).
Share and Cite
Bao, M.; Rao, F.; He, S.; Bao, Y.; Wu, Z.; Li, N.; Chen, Y. A Note on the Surface Deterioration of Scrimber Composites Exposed to Artificial Ageing. Coatings 2019, 9, 846. https://doi.org/10.3390/coatings9120846
Bao M, Rao F, He S, Bao Y, Wu Z, Li N, Chen Y. A Note on the Surface Deterioration of Scrimber Composites Exposed to Artificial Ageing. Coatings. 2019; 9(12):846. https://doi.org/10.3390/coatings9120846
Chicago/Turabian StyleBao, Minzhen, Fei Rao, Sheng He, Yongjie Bao, Zaixing Wu, Neng Li, and Yuhe Chen. 2019. "A Note on the Surface Deterioration of Scrimber Composites Exposed to Artificial Ageing" Coatings 9, no. 12: 846. https://doi.org/10.3390/coatings9120846
APA StyleBao, M., Rao, F., He, S., Bao, Y., Wu, Z., Li, N., & Chen, Y. (2019). A Note on the Surface Deterioration of Scrimber Composites Exposed to Artificial Ageing. Coatings, 9(12), 846. https://doi.org/10.3390/coatings9120846

