Simple and Rapid High-Yield Synthesis of Sub-100 nm Nano-SiO2·0.5H2O Particles Based on Wollastonite
Abstract
:1. Introduction
2. Materials and Methods
2.1. Materials
2.2. Synthesis of Nano-SiO2·0.5H2O Particles
2.3. Measurements
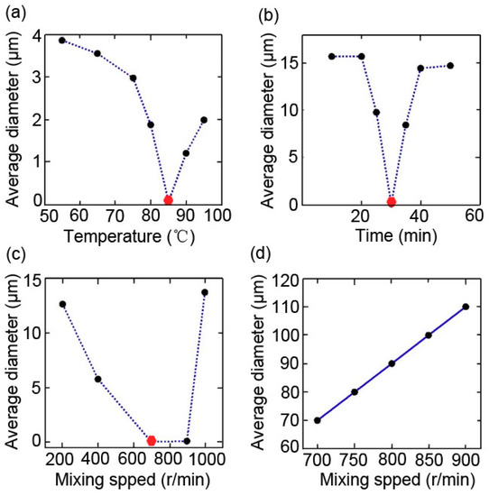
3. Results and Discussions
4. Conclusions
Author Contributions
Funding
Conflicts of Interest
References
- Luo, D.; Liu, J. Research progress on preparation of white carbon black from silicate ore. Inorg. Chem. Ind. 2008, 2008, 5. [Google Scholar]
- Su, L.; Xie, J.; Xu, Y.; Wang, L.; Wang, Y.; Ren, M. Preparation and lithium storage performance of yolk-shell Si@void@C nanocomposites. Phys. Chem. Chem. Phys. 2015, 17, 17562–17565. [Google Scholar] [CrossRef] [PubMed]
- Choi, S.-S.; Park, B.-H.; Song, H. Influence of filler type and content on properties of styrene-butadiene rubber (SBR) compound reinforced with carbon black or silica. Polym. Adv. Technol. 2004, 15, 122–127. [Google Scholar] [CrossRef]
- Liu, B.; Sun, J.; Tan, G.; Liu, K.; Li, L.; Liu, Y. Effects of Nanometer Carbon Black on Performance of Low-Carbon MgO-C Composites. J. Iron Steel Res. Int. 2010, 17, 75–78. [Google Scholar] [CrossRef]
- Shen, J.; Wang, H.; Zhou, Y.; Ye, N.; Wang, Y.; Wang, L. Hollow mesoporous frameworks without the annealing process for high-performance lithium–ion batteries: A case for anatase TiO2. Chem. Eng. J. 2013, 228, 724–730. [Google Scholar] [CrossRef]
- Li, J.; Huang, J.; Zhao, J.; Qu, Y. Development status and market prospect of white carbon black. Sci. Technol. Chem. Ind. 2011, 19, 67–71. [Google Scholar]
- Jing, X. Status and Prospect of White Black Carbon from Non-metallic Minerals. China Non-Met. Min. Ind. Her. 2002, 2002, 5. [Google Scholar]
- Li, S.; Haiyan, Q. Preparation and application of white carbon black. Inorg. Salt Ind. 2008, 40, 8–11. [Google Scholar]
- He, Q.; Li, A.; Zhang, Y.; Liu, S.; Guo, Y.; Kong, L. A study on mechanical and tribological properties of silicone rubber reinforced with white carbon black. Tribol. Mater. Surf. Interfaces 2018, 12, 9–16. [Google Scholar] [CrossRef]
- Liu, D.-Z.; Fan, Z.-L.; Sun, P.-Q.; Dong, X.-R. Solution properties of chlorinated polypropylene and maleic anhydride grafted chlorinated polypropylene. Phys. Chem. Liq. 2004, 42, 551–560. [Google Scholar] [CrossRef]
- Wang, Z.; Zhang, Y.; Zhang, K.; Hu, G. Study on Non-isothermal Crystallization Kinetics of Polyamide 11/Silica Nanocomposites. Eng. Plast. Appl. 2012, 40, 70–73. [Google Scholar]
- Wang, Y.; Yang, H.; Xu, H. DNA-like dye-sensitized solar cells based on TiO2 nanowire-covered nanotube bilayer film electrodes. Mater. Lett. 2010, 64, 164–166. [Google Scholar] [CrossRef]
- Stober, W.; Fink, A.; Bohn, E. Controlled Growth of Monodisperse Silica Spheres in the Micron Size Range. J. Colloid Interface Sci. 1968, 26, 62–69. [Google Scholar] [CrossRef]
- Tzounis, L.; Contreras-Caceres, R.; Schellkopf, L.; Jehnichen, D.; Fischer, D.; Cai, C.; Uhlmann, P.; Stamm, M. Controlled Growth of Ag Nanoparticles Decorated onto the Surface of SiO2 Spheres: A Nanohybrid System with Combined SERS and Catalytic Properties. RSC Adv. 2014, 4, 17846–17855. [Google Scholar] [CrossRef]
- Tzounis, L.; Logothetidis, S. Fe3O4@SiO2 Core Shell Particles as Platforms for the Decoration of Ag Nanoparticles. Mater. Today Proc. 2017, 4, 7076–7082. [Google Scholar] [CrossRef]
- Checmanowski, J.G.; Gluszek, J.; Masalski, J. Role of Nanosilica and Surfactants in preparation of SiO2 coatings by sol-gel process. Ochr. Przed Koroz. 2002, 11, 214–218. [Google Scholar]
- Barthel, H.; Rösch, L.; Weis, J. Fumed Silica-Production, Properties, and Applications. In Organosilicon Chemistry Set; Wiley-VCH Verlag GmbH: Weinheim, Germany, 1996; pp. 761–778. [Google Scholar]
- Wang, Y.; Yang, H.; Liu, Y.; Wang, H.; Shen, H.; Yan, J.; Xu, H. The use of Ti meshes with self-organized TiO2 nanotubes as photoanodes of all-Ti dye-sensitized solar cells. Prog. Photovolt. Res. Appl. 2010, 18, 285–290. [Google Scholar]
- Jesionowski, T. Preparation of spherical silica in emulsion systems using the co-precipitation technique. Mater. Chem. Phys. 2009, 113, 839–849. [Google Scholar] [CrossRef]
- Nandiyanto, A.B.D.; Kim, S.-G.; Iskandar, F.; Okuyama, K. Synthesis of spherical mesoporous silica nanoparticles with nanometer-size controllable pores and outer diameters. Microporous Mesoporous Mater. 2009, 120, 447–453. [Google Scholar] [CrossRef]
- Xu, K.; Sun, Q.; Guo, Y.; Zhang, Y.; Dong, S. Preparation of super-hydrophobic white carbon black from nano-rice husk ash. Res. Chem. Intermed. 2014, 40, 1965–1973. [Google Scholar] [CrossRef]
- Khan, M.; Saha, M.; Sultana, S.; Ahmed, A. Preparation and Characterization of White Carbon Black from Rice Husk. J. Environ. Sci. Nat. Resour. 2017, 9, 1–7. [Google Scholar] [CrossRef]
- Zhen, L.; Keqin, C. Experimental research on the preparation of white carbon black by acid treatment of wollastonite. Conserv. Utili. Mineral. Resources 1999, 1, 18–20. [Google Scholar]
- Chunsheng, L. To Analyze the Principle of Reaction and the Kinetics of Preparing Silica from Wollastonite. China Non-Met. Min. Ind. Her. 2006, 55, 32–35. [Google Scholar]
- Yang, C.M.; Cho, A.T.; Pan, F.M.; Tsai, T.G.; Chao, K.J. Spin-on Mesoporous Silica Films with Ultralow Dielectric Constants, Ordered Pore Structures, and Hydrophobic Surfaces. Adv. Mater. 2001, 13, 1099–1102. [Google Scholar] [CrossRef]
- Wang, H.; Liu, G.; Huang, J.; Zhou, Y.; Yao, Q.; Ma, S.; Cao, K.; Liu, Y.; Wu, W.; Sun, W.; et al. Performance of an environmentally friendly anti-scalant in CaSO4 scale inhibition. Desalin. Water Treat. 2015, 53, 8–14. [Google Scholar] [CrossRef]
- Tzounis, L.; Kirsten, M.; Simon, F.; Mader, E.; Stamm, M. The Interphase Microstructure and Electrical Properties of Glass Fibers Covalently and Non-covalently Bonded with Multiwall Carbon Nanotubes. Carbon 2014, 73, 310–324. [Google Scholar] [CrossRef]
- Bi, Z.; Zhang, Z.; Xu, F.; Qian, Y.; Yu, J. Wettability, Oil Recovery, and Interfacial Tension with an SDBS–Dodecane–Kaolin System. J. Colloid Interface Sci. 1999, 214, 368–372. [Google Scholar] [CrossRef]
- Wang, B.-X.; Zhao, Y.; Zhao, X.-P. The wettability, size effect and electrorheological activity of modified titanium oxide nanoparticles. Coll. Surfaces A Physicochem. Eng. Asp. 2007, 295, 27–33. [Google Scholar] [CrossRef]
- Gu, C.; Zhang, J.; Tu, J. A strategy of fast reversible wettability changes of WO3 surfaces between superhydrophilicity and superhydrophobicity. J. Colloid Interface Sci. 2010, 352, 573–579. [Google Scholar] [CrossRef]
- Wang, X.-J.; Zhu, D.-S.; Yang, S. Investigation of pH and SDBS on enhancement of thermal conductivity in nanofluids. Chem. Phys. Lett. 2009, 470, 107–111. [Google Scholar] [CrossRef]
- Park, S.; Ruoff, R.S. Chemical methods for the production of graphenes. Nat. Nanotechnol. 2009, 4, 217–224. [Google Scholar] [CrossRef] [PubMed]
- Zinatloo-Ajabshir, S.; Mortazavi-Derazkola, S.; Salavati-Niasari, M. Nd2O3 nanostructures: Simple synthesis, characterization and its photocatalytic degradation of methylene blue. J. Mol. Liq. 2017, 234, 430–436. [Google Scholar] [CrossRef]
- Su, L.; Jiang, J.; Wang, L.; Wang, Y.; Ren, M. MnO QD/Graphene Dot Fabrics: A Versatile Nanohybrid Material. ChemElectroChem 2015, 2, 789–794. [Google Scholar] [CrossRef]
- Tan, X.; Fang, M.; Chen, C.; Yu, S.; Wang, X. Counterion effects of nickel and sodium dodecylbenzene sulfonate adsorption to multiwalled carbon nanotubes in aqueous solution. Carbon 2008, 46, 1741–1750. [Google Scholar] [CrossRef]
- Du, Y.; Du, X.; George, S.M. Mechanism of Pyridine-Catalyzed SiO2 Atomic Layer Deposition Studied by Fourier Transform Infrared Spectroscopy. J. Phys. Chem. C 2007, 111, 219–226. [Google Scholar] [CrossRef]
- Wang, Y.; Liu, Y.; Yang, H.; Wang, H.; Shen, H.; Li, M.; Yan, J. An investigation of DNA-like structured dye-sensitized solar cells. Curr. Appl. Phys. 2010, 10, 119–123. [Google Scholar] [CrossRef]






| Element | Weight % | Atomic % |
|---|---|---|
| C | 18.15 | 26.35 |
| O | 48.63 | 52.94 |
| Na | 0.83 | 0.63 |
| Si | 31.47 | 19.58 |
| S | 0.92 | 0.5 |
| Totals | 100.00 | |
© 2019 by the authors. Licensee MDPI, Basel, Switzerland. This article is an open access article distributed under the terms and conditions of the Creative Commons Attribution (CC BY) license (http://creativecommons.org/licenses/by/4.0/).
Share and Cite
Chen, X.; Zheng, Y.; Jiang, Y.; Ji, Y.; Wang, S.; Yu, F. Simple and Rapid High-Yield Synthesis of Sub-100 nm Nano-SiO2·0.5H2O Particles Based on Wollastonite. Coatings 2019, 9, 662. https://doi.org/10.3390/coatings9100662
Chen X, Zheng Y, Jiang Y, Ji Y, Wang S, Yu F. Simple and Rapid High-Yield Synthesis of Sub-100 nm Nano-SiO2·0.5H2O Particles Based on Wollastonite. Coatings. 2019; 9(10):662. https://doi.org/10.3390/coatings9100662
Chicago/Turabian StyleChen, Xiaolong, Yutong Zheng, Yuzhi Jiang, Yaxiong Ji, Shifeng Wang, and Fujia Yu. 2019. "Simple and Rapid High-Yield Synthesis of Sub-100 nm Nano-SiO2·0.5H2O Particles Based on Wollastonite" Coatings 9, no. 10: 662. https://doi.org/10.3390/coatings9100662
APA StyleChen, X., Zheng, Y., Jiang, Y., Ji, Y., Wang, S., & Yu, F. (2019). Simple and Rapid High-Yield Synthesis of Sub-100 nm Nano-SiO2·0.5H2O Particles Based on Wollastonite. Coatings, 9(10), 662. https://doi.org/10.3390/coatings9100662

