Characterization of Flake Boron Nitride Prepared from the Low Temperature Combustion Synthesized Precursor and Its Application for Dye Adsorption
Abstract
1. Introduction
2. Results and Discussion
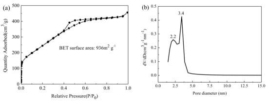
2.1. Characterization of the Flake BN
2.2. Adsorption Performance of Flake BN
3. Experimental Section
3.1. Chemicals and Reagents
3.2. Preparation of BN
3.3. Characterization
3.4. Water Treatment
3.5. Regeneration
4. Conclusions
Author Contributions
Funding
Conflicts of Interest
References
- Fan, L.; Luo, C.; Li, X.; Lu, F.; Qiu, H.; Sun, M. Fabrication of novel magnetic chitosan grafted with graphene oxide to enhance adsorption properties for methyl blue. J. Hazard. Mater. 2012, 215, 272–279. [Google Scholar] [CrossRef] [PubMed]
- Guo, J.Z.; Li, B.; Liu, L.; Lv, K. Removal of methylene blue from aqueous solutions by chemically modified bamboo. Chemosphere 2014, 111, 225–231. [Google Scholar] [CrossRef] [PubMed]
- Zhang, F.; Zhao, Z.; Tan, R. Selective and effective adsorption of methyl blue by barium phosphate nano-flake. J. Colloid Interface Sci. 2012, 386, 277–284. [Google Scholar] [CrossRef] [PubMed]
- Li, J.; Lin, J.; Xu, X. Porous boron nitride with a high surface area: Hydrogen storage and water treatment. Nanotechnology 2013, 24, 155603. [Google Scholar] [CrossRef] [PubMed]
- Zhao, H.; Song, X.; Zeng, H. 3D white graphene foam scavengers: Vesicant-assisted foaming boosts the gram-level yield and forms hierarchical pores for superstrong pollutant removal applications. NPG Asia Mater. 2015, 7, e168. [Google Scholar] [CrossRef]
- Bhatnagar, A.; Jain, A.K. A comparative adsorption study with different industrial wastes as adsorbents for the removal of cationic dyes from water. J. Colloid Interface Sci. 2005, 281, 49–55. [Google Scholar] [CrossRef] [PubMed]
- Razali, M.; Kim, J.F.; Attfield, M.; Budd, P.M.; Drioli, E.; Lee, Y.M.; Szekely, G. Sustainable wastewater treatment and recycling in membrane manufacturing. Green Chem. 2015, 17, 5196–5205. [Google Scholar] [CrossRef]
- Qin, K.; Li, F.; Xu, S.; Wang, T.; Liu, C. Sequential removal of phosphate and cesium by using zirconium oxide: A demonstration of designing sustainable adsorbents for green water treatment. Chem. Eng. J. 2017, 322, 275–280. [Google Scholar] [CrossRef]
- Ganji, M.D.; Mirnejad, A.; Najafi, A. Theoretical investigation of methane adsorption onto boron nitride and carbon nanotubes. Sci. Technol. Adv. Mater. 2010, 11, 045001. [Google Scholar] [CrossRef] [PubMed]
- Li, J.; Jia, H.; Lin, J. Free-standing membranes made of activated boron nitride for efficient water cleaning. RSC Adv. 2015, 5, 71537–71543. [Google Scholar] [CrossRef]
- Lvova, N.A.; Ananina, O.Y. Theoretical study of the adsorption properties of porous boron nitride nanosheets. Comput. Mater. Sci. 2016, 115, 11–17. [Google Scholar] [CrossRef]
- Li, J.; Xiao, X.; Xu, X. Activated boron nitride as an effective adsorbent for metal ions and organic pollutants. Sci. Rep. 2013, 3, 3208. [Google Scholar] [CrossRef] [PubMed]
- Hou, X.; Yu, Z.; Chou, K.C. Facile synthesis of hexagonal boron nitride fibers with uniform morphology. Ceram. Int. 2013, 39, 6427–6431. [Google Scholar] [CrossRef]
- Pakdel, A.; Zhi, C.; Bando, Y.; Nakayama, T.; Golberg, D. A comprehensive analysis of the CVD growth of boron nitride nanotubes. Nanotechnology 2012, 23, 215601. [Google Scholar] [CrossRef] [PubMed]
- Zhao, L.; Zhang, Y.J.; Gong, H.Y. Preparation and characterisation of boron nitride whiskers. Mater. Res. Innov. 2010, 14, 189–191. [Google Scholar] [CrossRef]
- Dibandjo, P.; Chassagneux, F.; Bois, L.; Sigala, C.; Miele, P. Comparison between SBA-15 silica and CMK-3 carbon nanocasting for mesoporous boron nitride synthesis. J. Mater. Chem. 2005, 15, 1917–1923. [Google Scholar] [CrossRef]
- Lei, W.; Portehault, D.; Liu, D.; Qin, S.; Chen, Y. Porous boron nitride nanosheets for effective water cleaning. Nat. Commun. 2013, 4, 1777. [Google Scholar] [CrossRef] [PubMed]
- Zhang, X.; Lian, G.; Zhang, S.; Cui, D.; Wang, Q. Boron nitride nanocarpets: Controllable synthesis and their adsorption performance to organic pollutants. CrystEngComm 2012, 14, 4670–4676. [Google Scholar] [CrossRef]
- Xue, Y.; Dai, P.; Jiang, X. Template-free synthesis of boron nitride foam-like porous monoliths and their high-end applications in water purification. J. Mater. Chem. A 2016, 4, 1469–1478. [Google Scholar] [CrossRef]
- Li, J.; Huang, Y.; Liu, Z. Chemical activation of boron nitride fibers for improved cationic dye removal performance. J. Mater. Chem. A 2015, 3, 8185–8193. [Google Scholar] [CrossRef]
- Shah, I.K.; Pre, P.; Alappat, B.J. Steam regeneration of adsorbents: An experimental and technical review. Chem. Sci. Trans. 2013, 2, 1078–1088. [Google Scholar]
- Wang, S.; Li, H.; Xie, S.; Liu, S.; Xu, L. Physical and chemical regeneration of zeolitic adsorbents for dye removal in wastewater treatment. Chemosphere 2006, 65, 82–87. [Google Scholar] [CrossRef] [PubMed]
- Hou, X.; Yu, Z.; Li, Y.; Chou, K.C. Preparation and properties of hexagonal boron nitride fibers used as high temperature membrane filter. Mater. Res. Bull. 2014, 49, 39–43. [Google Scholar] [CrossRef]
- Zhu, H.L.; Han, Q.X.; Wu, J.; Meng, X.L.; Cui, H.Z. Large scale synthesis of nanoporous BN flake with high surface areas. J. Cryst. Growth 2016, 434, 19–24. [Google Scholar] [CrossRef]
- Zheng, M.; Gu, Y.; Xu, Z.; Liu, Y. Synthesis and characterization of boron nitride nanoropes. Mater. Lett. 2007, 61, 1943–1945. [Google Scholar] [CrossRef]
- Pakdel, A.; Bando, Y.; Golberg, D. Plasma-assisted interface engineering of boron nitride nanostructure films. ACS Nano 2014, 8, 10631–10639. [Google Scholar] [CrossRef] [PubMed]
- Li, P.; Zhao, X.; Jia, C.J.; Sun, H.; Sun, L.; Cheng, X.; Liu, L.; Fan, W. ZnWO4/BiOI heterostructures with highly efficient visible light photocatalytic activity: The case of interface lattice and energy level match. J. Mater. Chem. A 2013, 1, 3421–3429. [Google Scholar] [CrossRef]
- Weng, Q.; Wang, X.; Zhi, C.; Bando, Y.; Golberg, D. Boron nitride porous microbelts for hydrogen storage. ACS Nano 2013, 7, 1558–1565. [Google Scholar] [CrossRef] [PubMed]
- Li, Q.; Yang, T.; Yang, Q.; Wang, F.; Chou, K.C.; Hou, X. Porous hexagonal boron nitride whiskers fabricated at low temperature for effective removal of organic pollutants from water. Ceram. Int. 2016, 42, 8754–8762. [Google Scholar] [CrossRef]
- Kannan, N.; Sundaram, M.M. Kinetics and mechanism of removal of methylene blue by adsorption on various carbons-a comparative study. Dyes Pigment. 2001, 51, 25–40. [Google Scholar] [CrossRef]
- Kooh, M.R.R.; Dahri, M.K.; Lim, L.B. The removal of Rhodamine B dye from aqueous solution using Casuarina equisetifolia needles as adsorbent. Cogent Environ. Sci. 2016, 2, 1140553. [Google Scholar] [CrossRef]
- Guo, Z.; Zhang, J.; Liu, H. Ultra-high Rhodamine B adsorption capacities from an aqueous solution by activated carbon derived from Phragmites australis doped with organic acid by phosphoric acid activation. RSC Adv. 2016, 6, 40818–40827. [Google Scholar] [CrossRef]
- Anandkumar, J.; Mandal, B. Adsorption of chromium (VI) and Rhodamine B by surface modified tannery waste: Kinetic, mechanistic and thermodynamic studies. J. Hazard. Mater. 2011, 186, 1088–1096. [Google Scholar] [CrossRef] [PubMed]
- Kooh, M.R.R.; Lim, L.B.; Lim, L.H.; Dahri, M.K. Separation of toxic Rhodamine B from aqueous solution using an efficient low-cost material, Azolla pinnata, by adsorption method. Environ. Monit. Assess. 2016, 188, 108. [Google Scholar] [CrossRef] [PubMed]
- Lian, G.; Zhang, X.; Si, H.; Wang, J.; Cui, D.; Wang, Q. Boron nitride ultrathin fibrous nanonets: One-step synthesis and applications for ultrafast adsorption for water treatment and selective filtration of nanoparticles. ACS Appl. Mater. Interface 2013, 5, 12773–12778. [Google Scholar] [CrossRef] [PubMed]
- Postai, D.L.; Demarchi, C.A.; Zanatta, F.; Melo, D.C.C.; Rodrigues, C.A. Adsorption of Rhodamine B and methylene blue dyes using waste of seeds of Aleurites moluccana, a low cost adsorbent. Alex. Eng. J. 2016, 55, 1713–1723. [Google Scholar] [CrossRef]
- Zhang, Y.J.; Liu, L.C.; Ni, L.L.; Wang, B.L. A facile and low-cost synthesis of granulated blast furnace slag-based cementitious material coupled with Fe2O3 catalyst for treatment of dye wastewater. Appl. Catal. B Environ. 2013, 138, 9–16. [Google Scholar] [CrossRef]
- Shen, J.; Wu, Y.N.; Zhang, B.; Li, F. Adsorption of Rhodamine B dye by biomimetic mesoporous SiO2 nanosheets. Clean Technol. Environ. 2015, 17, 2289–2298. [Google Scholar] [CrossRef]
- Xue, L.; Lu, B.; Wu, Z.S.; Ge, C.; Wang, P.; Zhang, R.; Zhang, X.D. Synthesis of mesoporous hexagonal boron nitride fibers with high surface area for efficient removal of organic pollutants. Chem. Eng. J. 2014, 243, 494–499. [Google Scholar] [CrossRef]
- Kupai, J.; Razali, M.; Buyuktiryaki, S.; Kecili, R.; Szekely, G. Long-term stability and reusability of molecularly imprinted polymers. Polym. Chem. 2017, 8, 666–673. [Google Scholar] [CrossRef] [PubMed]
- Nagia, F.A.; El-Mohamedy, R.S.R. Dyeing of wool with natural anthraquinone dyes from Fusarium oxysporum. Dyes Pigment 2007, 75, 550–555. [Google Scholar] [CrossRef]










© 2018 by the authors. Licensee MDPI, Basel, Switzerland. This article is an open access article distributed under the terms and conditions of the Creative Commons Attribution (CC BY) license (http://creativecommons.org/licenses/by/4.0/).
Share and Cite
Qu, J.; Li, Q.; Luo, C.; Cheng, J.; Hou, X. Characterization of Flake Boron Nitride Prepared from the Low Temperature Combustion Synthesized Precursor and Its Application for Dye Adsorption. Coatings 2018, 8, 214. https://doi.org/10.3390/coatings8060214
Qu J, Li Q, Luo C, Cheng J, Hou X. Characterization of Flake Boron Nitride Prepared from the Low Temperature Combustion Synthesized Precursor and Its Application for Dye Adsorption. Coatings. 2018; 8(6):214. https://doi.org/10.3390/coatings8060214
Chicago/Turabian StyleQu, Jinglong, Qun Li, Chang Luo, Jin Cheng, and Xinmei Hou. 2018. "Characterization of Flake Boron Nitride Prepared from the Low Temperature Combustion Synthesized Precursor and Its Application for Dye Adsorption" Coatings 8, no. 6: 214. https://doi.org/10.3390/coatings8060214
APA StyleQu, J., Li, Q., Luo, C., Cheng, J., & Hou, X. (2018). Characterization of Flake Boron Nitride Prepared from the Low Temperature Combustion Synthesized Precursor and Its Application for Dye Adsorption. Coatings, 8(6), 214. https://doi.org/10.3390/coatings8060214
