Analysis of Sn Concentration Effect on Morphological, Optical, Electrical and Photonic Properties of Spray-Coated Sn-Doped CdO Thin Films
Abstract
:1. Introduction
2. Materials and Methods
3. Results and Discussion
3.1. Structural Analysis
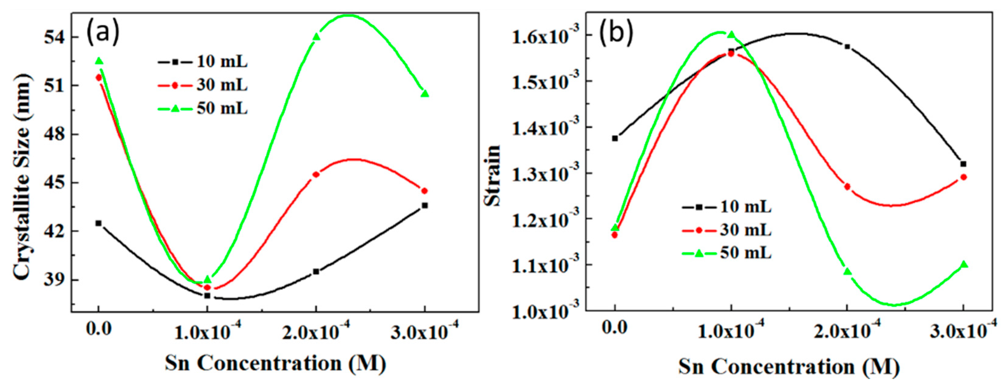
3.2. Crystallite Size and Strain Analysis
3.3. Morphological Evaluation
3.4. Optical Characterization
3.5. Electrical Properties
3.6. Photodiode Analysis
4. Conclusions
Author Contributions
Acknowledgments
Conflicts of Interest
References
- Duta, M.; Anastasescu, M.; Calderon-Moreno, J.M.; Predoana, L.; Preda, S.; Nicolescu, M.; Stroescu, H.; Bratan, V.; Dascalu, I.; Aperathitis, E.; et al. Sol-gel versus sputtering indium tin oxide films as transparent conducting oxide materials. J. Mater. Sci. Mater. Electron. 2016, 27, 4913–4922. [Google Scholar] [CrossRef]
- Sumanth, Y.A.; Sujatha1, R.A.; Mahalakshmi1, S.; Karthika, P.C.; Nithiyanantham, S.; Saravanan, S.; Azagiri1, M. Synthesis and characterization of nanophase zinc oxide materials. J. Mater. Sci. Mater. Electron. 2016, 27, 1616–1621. [Google Scholar] [CrossRef]
- Rana, A.S.; Lee, J.Y.; Shahid, A.; Kim, H.S. Growth method-dependent and defect density-oriented structural, optical, conductive, and physical properties of solution-grown ZnO nanostructures. Nanomaterials 2017, 7, 266. [Google Scholar] [CrossRef] [PubMed]
- Mohamed, S.H.; Hadia, N.M.A.; Diab, A.K.; Abdel Hakeem, A.M. Synthesis, photoluminescence and optical constants evaluations of ultralong CdO nanowires prepared by vapor transport. J. Alloys Compd. 2014, 609, 68–72. [Google Scholar] [CrossRef]
- Babu, P.M.; Rao, G.V.; Reddy, P.S.; Uthanna, S. Bias voltage dependence properties of cadmium oxide films deposited by d.c. reactive magnetron sputtering. J. Mater. Sci. Mater. Electron. 2004, 15, 389–394. [Google Scholar] [CrossRef]
- Ismail, R.A.; Rasheed, B.G.; Salm, E.T.; Al-Hadethy, M. High transmittance—Low resistivity cadmium oxide films grown by reactive pulsed laser deposition. J. Mater. Sci. Mater. Electron. 2007, 18, 1027–1030. [Google Scholar] [CrossRef]
- Kaviyarasu, K.; Manikandan, E.; Paulraj, P.; Mohamed, S.B.; Kennedy, J. One dimensional well-aligned CdO nanocrystal by solvothermal method. J. Alloys Compd. 2014, 593, 67–70. [Google Scholar] [CrossRef]
- Aydına, C.; El-Nasser, H.M.; Yakuphanoglua, F.; Yahia, I.S.; Aksoy, M. Nanopowder synthesis of aluminum doped cadmium oxide via sol-gel calcination processing. J. Alloys Compd. 2011, 509, 854–858. [Google Scholar] [CrossRef]
- Akın, S.; Karanfil, G.; Gultekin, A.; Sonmezoglu, S. Improvement of physical properties of CdO thin films by Au–Ag nanocluster cooping. J. Alloys Compd. 2013, 579, 272–278. [Google Scholar] [CrossRef]
- Wongcharoen, N.; Gaewdang, T.; Wongcharoen, T. Electrical properties of Al-doped CdO thin films prepared by thermal evaporation in vacuum. Energy Procedia 2012, 15, 361–370. [Google Scholar] [CrossRef]
- Helen, S.J.; Devadason, S.; Mahalingam, T. Improved physical properties of spray pyrolysed Al:CdO nanocrystalline thin films. J. Mater. Sci. Mater. Electron. 2016, 27, 4426–4432. [Google Scholar] [CrossRef]
- Zhao, W.; Zhou, Q.; Zhang, X.; Wu, X. A study on Ti-doped ZnO transparent conducting thin films fabricated by pulsed laser deposition. Appl. Surf. Sci. 2014, 305, 481–486. [Google Scholar] [CrossRef]
- Biju, Z.; Wen, H. Influence of substrate temperature on the structural and properties of In-doped CdO films prepared by PLD. J. Semicond. 2013, 34, 053003. [Google Scholar] [CrossRef]
- Thambidurai, M.; Muthukumarasamy, N.; Ranjitha, A.; Velauthapillai, D. Structural and optical properties of Ga-doped CdO nanocrystalline thin films. Superlattices Microstruct. 2015, 86, 559–563. [Google Scholar] [CrossRef]
- Gao, W.; Yang, S.; Yang, S.; Lv, L.; Du, Y. Synthesis and magnetic properties of Mn doped CuO nanowires. Phys. Lett. A 2010, 375, 180–182. [Google Scholar] [CrossRef]
- Atay, F.; Akyuz, I.; Kose, S.; Ketenci, E.; Bilgin, V. Optical, structural and surface characterization of CdO:Mg films. J. Mater. Sci. Mater. Electron. 2011, 22, 492–498. [Google Scholar] [CrossRef]
- Ravichandran, A.T.; Xavier, A.R.; Pushpanathan, K.; Nagabhushana, B.M.; Chandramohan, R. Structural and optical properties of Zn doped CdO nanoparticles synthesized by chemical precipitation method. J. Mater. Sci. Mater. Electron. 2016, 27, 2693–2700. [Google Scholar] [CrossRef]
- Thirumoorthi, M.; Prakash, J.T.J. A study of Tin doping effects on physical properties of CdO thin films prepared by sol-gel spin coating method. J. Asian Ceram. Soc. 2016, 4, 39–45. [Google Scholar] [CrossRef]
- Pan, L.L.; Li, G.Y.; Xiao, S.S.; Zhao, L.; Lian, J.S. Bandgap variation in grain size controlled nanostructured CdO thin films deposited by pulsed-laser method. J. Mater. Sci. Mater. Electron. 2014, 25, 1003–1012. [Google Scholar] [CrossRef]
- Zhao, Z.; Morel, D.L.; Ferekides, C.S. Electrical and optical properties of tin-doped CdO films deposited by atmospheric metalorganic chemical vapor deposition. Thin Solid Films 2002, 413, 203–211. [Google Scholar] [CrossRef]
- Sahin, B.; Taskopru, T.; Bayansal, F. Bandgap variation of nanostructure tin doped CdO films via SILAR processing. Ceram. Int. 2014, 40, 8709–8714. [Google Scholar] [CrossRef]
- De Leon-Gutierrez, L.R.; Cayente-Romero, J.J.; Peza-Tapia, J.M.; Barrera-Calva, E.; Martinez-Flores, J.C.; Ortega-Lopez, M. Some physical properties of Sn-doped CdO thin films prepared by chemical bath deposition. Mater. Lett. 2006, 60, 3866–3870. [Google Scholar] [CrossRef]
- Dhivya, P.; Prasad, A.K.; Sridharan, M. Magnetron sputtered nanostructured cadmium oxide films for ammonia sensing. J. Solid State Chem. 2014, 214, 24–29. [Google Scholar] [CrossRef]
- Makori, N.E.; Amatalo, I.A.; Karimi, P.M.; Njoroge, W.K. Optical and electrical properties of CdO: Sn thin films for solar cell applications. Int. J. Optoelectron. Eng. 2014, 4, 11–15. [Google Scholar]
- Usharani, K.; Raja, N.; Manjula, N.; Nagarethinam, V.S.; Balu, A.R. Characteristic analysis on the suitability of CdO thin films towards optical device applications—substrate temperature effect. Int. J. Thin Films Sci. Technol. 2015, 4, 89–96. [Google Scholar]
- Gupta, R.K.; Ghosh, K.; Patel, R.; Mishra, S.R.; Kahol, P.K. Highly conducting and transparent tin-doped CdO thin films for optoelectronic applications. Mater. Lett. 2008, 62, 4103–4105. [Google Scholar] [CrossRef]
- Zheng, B.J.; Lian, J.S.; Zhao, L.; Jiang, Q. Optical and electrical properties of Sn-doped CdO thin films obtained by pulse laser deposition. Vacuum 2011, 85, 861–865. [Google Scholar] [CrossRef]
- Ghosh, S.; Saha, M.; Paul, S.; De, S.K. Shape controlled plasmonic Sn doped CdO colloidal nanocrystals: A synthetic route to maximize the figure of merit of transparent conducting oxide. Small 2017, 13, 1602469. [Google Scholar] [CrossRef] [PubMed]
- Sciti, D.; Celotti, G.; Pezzotti, G.; Guicciardi, S. On the toughening mechanisms of MoSi2 reinforced Si3N4 ceramics. Appl. Phys. A 2007, 86, 243–248. [Google Scholar] [CrossRef]
- Cullity, B.D.; Rstock, S. Elements of X-ray Diffraction; Prentice Hall: Upper Saddle River, NJ, USA, 2001. [Google Scholar]
- Cakmak, H.M.; Cetinkara, H.A.; Kahraman, S.; Bayansal, F.; Tepe, M.; Guder, H.S.; Çipiloglu, M.A. Effects of thermal oxidation temperature on vacuum evaporated tin dioxide film. Superlattices Microstruct. 2012, 51, 421–429. [Google Scholar] [CrossRef]
- Humayun, Q.; Kashif, M.; Hashim, U. Structural, optical, electrical, and photoresponse properties of postannealed Sn-doped ZnO nanorods. J. Nanomater. 2013, 2013, 792930. [Google Scholar] [CrossRef]
- Rana, A.S.; Chang, S.B.; Chae, H.U.; Kim, H.S. Structural, optical, electrical and morphological properties of different concentration sol-gel ZnO seeds and consanguineous ZnO nanostructured growth dependence on seeds. J. Alloys Compd. 2017, 729, 571–582. [Google Scholar] [CrossRef]
- Kim, H.; Horwitz, J.S.; Kushto, G.P.; Qadri, S.B.; Kafafi, Z.H.; Chrisey, D.B. Transparent conducting Zr-doped In2O3 thin films for organic light-emitting diodes. Appl. Phys. Lett. 2001, 78, 1050. [Google Scholar] [CrossRef]
- Yakuphanoglu, F. Nanocluster n-CdO thin film by sol-gel for solar cell applications. Appl. Surf. Sci. 2010, 257, 1413–1419. [Google Scholar] [CrossRef]
- Tauc, J. Optical properties and electronic structure of amorphous Ge and Si. Mater. Res. Bull. 1968, 3, 37–46. [Google Scholar] [CrossRef]
- Saha, B.; Thapa, R.; Chattopadhyay, K.K. Bandgap widening in highly conducting CdO thin film by Ti incorporation through radio frequency magnetron sputtering technique. Solid State Commun. 2008, 145, 33–37. [Google Scholar] [CrossRef]
- El-Nahass, M.M.; Ali, M.H.; El-Denglawey, A. Structural and optical properties of nano-spin coated sol-gel porous TiO2 films. Trans. Nonferrous Met. Soc. China 2012, 22, 3003–3011. [Google Scholar] [CrossRef]
- Schrode, D.K. Semiconductor Material and Device Characterization, 3rd ed.; Wiley-IEEE Press: Hoboken, NJ, USA, 2006; ISBN 978-0-471-73906-7. [Google Scholar]
- Shockley, W. The Theory of p-n Junction in Semiconductors and p-n Junction Transistors. Bell Labs Tech. J. 1949, 28, 435–489. [Google Scholar] [CrossRef]
- Kathalingam, A.; Rhee, J.K. Fabrication and characterization of solution processed n-ZnO nanowire/p-Si heterojunction device. J. Nanosci. Nanotechnol. 2012, 12, 6948–6954. [Google Scholar] [CrossRef] [PubMed]













| Material | Cadmium Acetate (mL) | Stannic Chloride (mL) |
|---|---|---|
| CdO | 50 (0.05 M) | Nil |
| Sn:CdO | 25 (0.05 M) | 25 (0.1 mM) |
| Sn:CdO | 25 (0.05 M) | 25 (0.2 mM) |
| Sn:CdO | 25 (0.05 M) | 25 (0.3 mM) |
| λ (nm) | CdO | Sn:CdO | ||||||||||
|---|---|---|---|---|---|---|---|---|---|---|---|---|
| 0.05 M | 0.05 M:0.1 mM | 0.05 M:0.2 mM | 0.05 M:0.3 mM | |||||||||
| 10 | 30 | 50 | 10 | 30 | 50 | 10 | 30 | 50 | 10 | 30 | 50 | |
| 350 | 16.15 | 2.12 | 1.22 | 2.05 | 25.65 | 3.25 | 28.75 | 9.20 | 5.23 | 22.55 | 2.55 | 0.30 |
| 500 | 62.65 | 45.09 | 37.10 | 42.75 | 65.80 | 43.74 | 63.32 | 49.33 | 41.45 | 58.14 | 31.63 | 21.91 |
| 900 | 90.50 | 88.78 | 87.95 | 85.73 | 87.67 | 87.76 | 88.48 | 83.90 | 83.91 | 86.35 | 82.04 | 78.58 |
| Solution Volume (mL) | Band Gap (eV) | |||
|---|---|---|---|---|
| 0 mM | Sn-Doping Concentration | |||
| 0.1 mM | 0.2 mM | 0.3 mM | ||
| 10 | 2.48 | 2.55 | 2.55 | 2.59 |
| 30 | 2.52 | 2.58 | 2.63 | 2.44 |
| 50 | 2.54 | 2.61 | 2.69 | 2.47 |
| λ (nm) | Sn-Doping Concentration | |||
|---|---|---|---|---|
| 0 mM | 0.1 mM | 0.2 mM | 0.3 mM | |
| 800 | 1.3984 | 1.3925 | 1.5239 | 1.6556 |
| 550 | 2.1530 | 1.7215 | 2.0880 | 2.8922 |
| 350 | 58.2339 | 7.3754 | 20.6148 | 50.8272 |
© 2018 by the authors. Licensee MDPI, Basel, Switzerland. This article is an open access article distributed under the terms and conditions of the Creative Commons Attribution (CC BY) license (http://creativecommons.org/licenses/by/4.0/).
Share and Cite
Kathalingam, A.; Kesavan, K.; Rana, A.U.H.S.; Jeon, J.; Kim, H.-S. Analysis of Sn Concentration Effect on Morphological, Optical, Electrical and Photonic Properties of Spray-Coated Sn-Doped CdO Thin Films. Coatings 2018, 8, 167. https://doi.org/10.3390/coatings8050167
Kathalingam A, Kesavan K, Rana AUHS, Jeon J, Kim H-S. Analysis of Sn Concentration Effect on Morphological, Optical, Electrical and Photonic Properties of Spray-Coated Sn-Doped CdO Thin Films. Coatings. 2018; 8(5):167. https://doi.org/10.3390/coatings8050167
Chicago/Turabian StyleKathalingam, A., K. Kesavan, Abu Ul Hassan Sarwar Rana, Joonhyeon Jeon, and Hyun-Seok Kim. 2018. "Analysis of Sn Concentration Effect on Morphological, Optical, Electrical and Photonic Properties of Spray-Coated Sn-Doped CdO Thin Films" Coatings 8, no. 5: 167. https://doi.org/10.3390/coatings8050167
APA StyleKathalingam, A., Kesavan, K., Rana, A. U. H. S., Jeon, J., & Kim, H.-S. (2018). Analysis of Sn Concentration Effect on Morphological, Optical, Electrical and Photonic Properties of Spray-Coated Sn-Doped CdO Thin Films. Coatings, 8(5), 167. https://doi.org/10.3390/coatings8050167

